New Anti-HBV C-Boivinopyranosyl Flavones from Alternanthera philoxeroides
Abstract
:1. Introduction
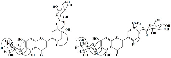
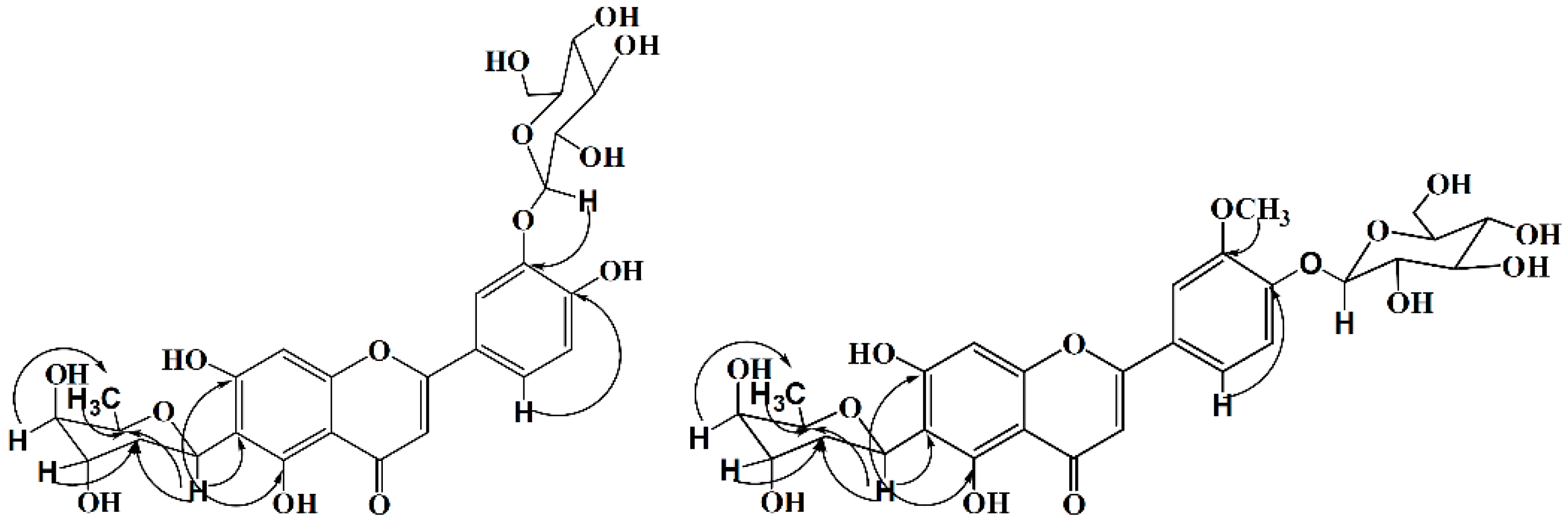
2. Results and Discussion
3. Experimental
3.1. General Experimental Procedures
3.2. Plant Materials
3.3. Extraction and Isolation
3.4. Anti-HBV Assay
3.4.1. Inhibition Assay of HBsAg and HBeAg Secretions HepG
3.4.2. MTT-Based Cytotoxicity Assay
4. Conclusions
Acknowledgments
Author Contributions
Conflicts of Interest
References
- Bhattacharya, D.; Thio, C.L. Review of hepatitis B therapeutics. Clin. Infect. Dis. 2010, 51, 1201–1208. [Google Scholar] [CrossRef] [PubMed]
- Liaw, Y.F.; Brunetto, M.R.; Hadziyannis, S. The natural history of chronic HBV infection and geographical differences. Antivir. Ther. 2010, 15, 25–33. [Google Scholar] [CrossRef] [PubMed]
- Mirandola, S.; Campagnolo, D.; Bortoletto, G.; Franceschini, L.; Marcolongo, M.; Al-berti, A. Large-scale survey of naturally occurring HBV polymerase mutations associated with anti-HBV drug resistance in untreated patients with chronic hepatitis B. J. Viral Hepat. 2011, 18, 212–216. [Google Scholar] [CrossRef] [PubMed]
- Cui, X.L.; Wang, Y.; Kokudo, N. Traditional Chinese medicine and related active compounds against hepatitis B virus infection. BioSci. Trends 2010, 2, 39–47. [Google Scholar]
- Qiu, L.P.; Chen, K.P. Anti-HBV agents derived from botanical origin. Fitoterapia 2013, 84, 140–157. [Google Scholar] [CrossRef] [PubMed]
- Fang, J.B.; Duan, H.Q.; Zhang, Y.W.; Yoshihisa, T. Chemical constituents from herb of Alternanthera philoxeroides. China J. Chin. Mater. Med. 2006, 13, 1072–1075. [Google Scholar]
- Van, H.L.; Karalic, I.; Van, C.S.; Defore, D.; Heyerick, A. Antioxidant flavone glycosides from the leaves of Fargesia robusta. J. Nat. Prod. 2010, 9, 1573–1577. [Google Scholar]
- Wang, G.J.; Chen, Y.M.; Wang, T.M.; Lee, C.K.; Chen, K.J.; Lee, T.H. Flavonoids with iNOS inhibitory activity from Pogonatherum crinitum. J. Ethnopharmacol. 2008, 1, 71–78. [Google Scholar] [CrossRef] [PubMed]
- Fan, W.Q.; Xiong, M.X.; Ma, Z.; Li, Q.Y.; Liu, Y.W. Chemical constituents of Alternanthera philoxeroides. Chin. J. Nat. Med. 2008, 2, 112–115. [Google Scholar] [CrossRef]
- Tian, Y.; Sun, L.M.; Li, B.; Liu, X.Q.; Dong, J.X. New anti-HBV caryophyllane-type sesquiterpenoids from Euphorbia humifusa Willd. Fitoterapia 2011, 82, 251–254. [Google Scholar] [CrossRef] [PubMed]
- Sample Availability: Not available.


| Position | Compound 1 | Compound 2 | ||
|---|---|---|---|---|
| δH | δC | δH | δC | |
| 2 | 163.5 | 163.2 | ||
| 3 | 6.83 (s) | 103.4 | 7.03 (s) | 104.0 |
| 4 | 182.0 | 182.1 | ||
| 5 | 157.1 | 157.2 | ||
| 6 | 110.4 | 110.4 | ||
| 7 | 162.5 | 162.6 | ||
| 8 | 6.58 (s) | 94.8 | 6.63 (s) | 95.0 |
| 9 | 156.1 | 156.2 | ||
| 10 | 103.2 | 103.5 | ||
| 1′ | 121.2 | 123.9 | ||
| 2′ | 7.79 (d, J = 1.8 Hz) | 114.4 | 7.63 (d, J = 2.4 Hz) | 110.2 |
| 3′ | 145.6 | 149.8 | ||
| 4′ | 150.7 | 149.2 | ||
| 5′ | 6.96 (d, J = 8.4 Hz) | 121.9 | 7.25 (d, J = 8.8 Hz) | 115.0 |
| 6′ | 7.65 (dd, J = 1.8, 8.4 Hz) | 116.4 | 7.66 (dd, J = 2.4, 8.8 Hz) | 120.5 |
| boivinose | ||||
| 1′′ | 5.30 (dd, J = 2.7, 12.3 Hz) | 67.3 | 5.34 (dd, J = 2.8, 12.4 Hz) | 67.4 |
| 2′′ | 1.48 (d, J = 13.8 Hz) | 31.4 | 1.50 (d, J = 14.0 Hz) | 31.4 |
| 2.19 (ddd, J = 2.7, 4.2, 13.8 Hz) | 2.21 (ddd, J = 2.4, 3.2, 14.0 Hz) | |||
| 3′′ | 3.83 (br.s) | 66.5 | 3.85 (br.s) | 66.5 |
| 4′′ | 3.23 (br.s) | 68.6 | 3.25 (br.s) | 68.7 |
| 5′′ | 4.02 (q, J = 6.6 Hz) | 70.6 | 3.90 (q, J = 6.0 Hz) | 70.6 |
| 6′′ | 1.14 (d, J = 6.6 Hz) | 17.1 | 1.16 (d, J = 6.0 Hz) | 17.1 |
| glucose | ||||
| 1′′′ | 4.89 (d, J = 7.2 Hz) | 101.9 | 5.08 (d, J = 7.2 Hz) | 99.5 |
| 2′′′ | 3.32 (m) | 73.3 | 3.33 (m) | 73.1 |
| 3′′′ | 3.30 (m) | 75.9 | 3.30 (m) | 76.8 |
| 4′′′ | 3.15 (m) | 70.1 | 3.17 (m) | 69.6 |
| 5′′′ | 3.47 (m) | 77.4 | 3.36 (m) | 77.1 |
| 6′′′ | 3.77 (m) | 60.9 | 3.47 (m) | 60.6 |
| 3.48 (m) | 3.68 (m) | |||
| -OCH3 | 3.90 (s) | 56 | ||
| Compound | IC50 (μM) | CC50 (μM) | |
|---|---|---|---|
| HBsAg | HBeAg | ||
| 1 | 28.65 | NE | >519 |
| 2 | 22.20 | NE | >253 |
| 3 | 31.54 | NE | >519 |
| 4 | 11.39 | 39.78 | 60.10 |
| 5 | NE | NE | <21.81 |
© 2016 by the authors. Licensee MDPI, Basel, Switzerland. This article is an open access article distributed under the terms and conditions of the Creative Commons by Attribution (CC-BY) license ( http://creativecommons.org/licenses/by/4.0/).
Share and Cite
Li, B.; Guo, Q.-L.; Tian, Y.; Liu, S.-J.; Wang, Q.; Chen, L.; Dong, J.-X. New Anti-HBV C-Boivinopyranosyl Flavones from Alternanthera philoxeroides. Molecules 2016, 21, 336. https://doi.org/10.3390/molecules21030336
Li B, Guo Q-L, Tian Y, Liu S-J, Wang Q, Chen L, Dong J-X. New Anti-HBV C-Boivinopyranosyl Flavones from Alternanthera philoxeroides. Molecules. 2016; 21(3):336. https://doi.org/10.3390/molecules21030336
Chicago/Turabian StyleLi, Bin, Qing-Lan Guo, Ying Tian, Shi-Jun Liu, Qiong Wang, Li Chen, and Jun-Xing Dong. 2016. "New Anti-HBV C-Boivinopyranosyl Flavones from Alternanthera philoxeroides" Molecules 21, no. 3: 336. https://doi.org/10.3390/molecules21030336
APA StyleLi, B., Guo, Q.-L., Tian, Y., Liu, S.-J., Wang, Q., Chen, L., & Dong, J.-X. (2016). New Anti-HBV C-Boivinopyranosyl Flavones from Alternanthera philoxeroides. Molecules, 21(3), 336. https://doi.org/10.3390/molecules21030336
