Modified Polyacrylic Acid-Zinc Composites: Synthesis, Characterization and Biological Activity
Abstract
:1. Introduction
2. Results and Discussion
2.1. Scanning Electron Microscopy
2.2. FT-IR Analysis
2.2.1. Imide Derivative of Polyacrylic Acids 5a to 5c
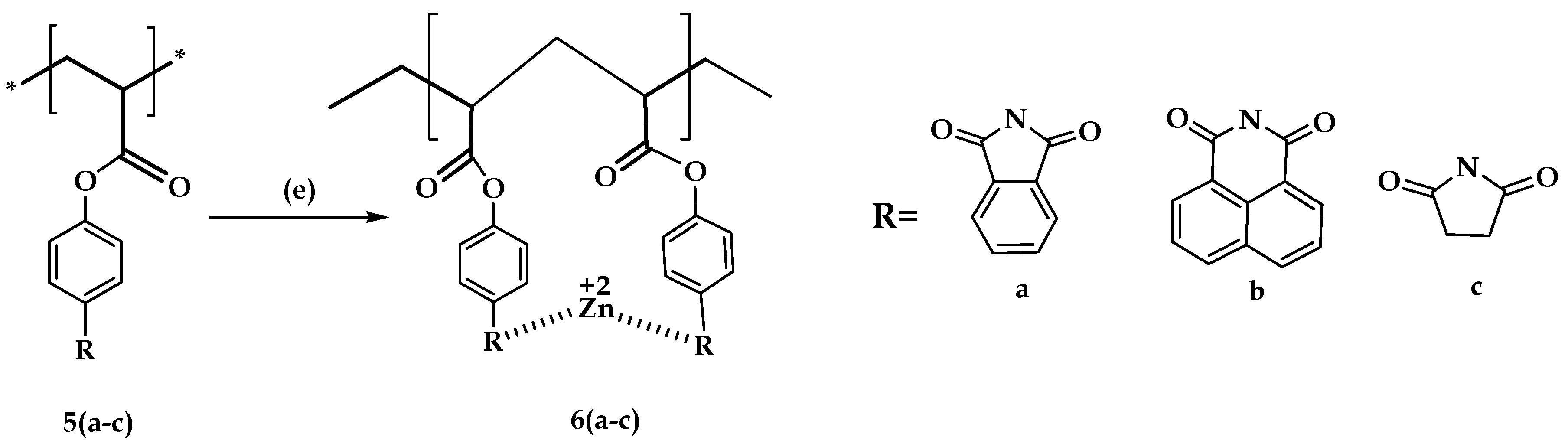
2.2.2. Zinc Complexes of the Imide Derivative of Polyacrylic Acid 6a to 6c
2.3. 1H-NMR Analysis
2.3.1. Imide Derivative of Polyacrylic Acids 5a to 5c
2.3.2. Zinc Complexes of the Imide Derivative of Polyacrylic Acid 6a to 6c
2.4. Thermo-Gravimetric Analysis
2.5. Differential Scanning Calorimetry
2.6. Biological Evaluation
2.6.1. Antibacterial Activity
2.6.2. Antifungal Activity
3. Experimental Section
3.1. Materials and Strains
3.2. Methods
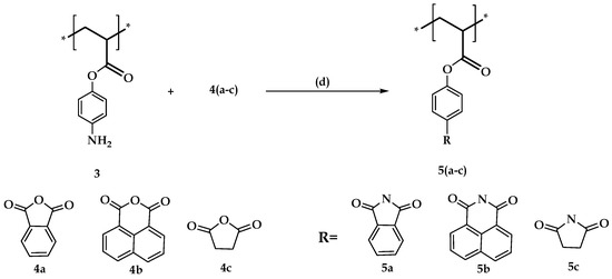
3.2.1. Synthesis of Polyacrylic Acid 2
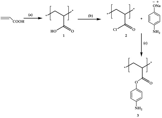
3.2.2. Synthesis of Amino Phenol Derivative of Polyacrylic Acid 3
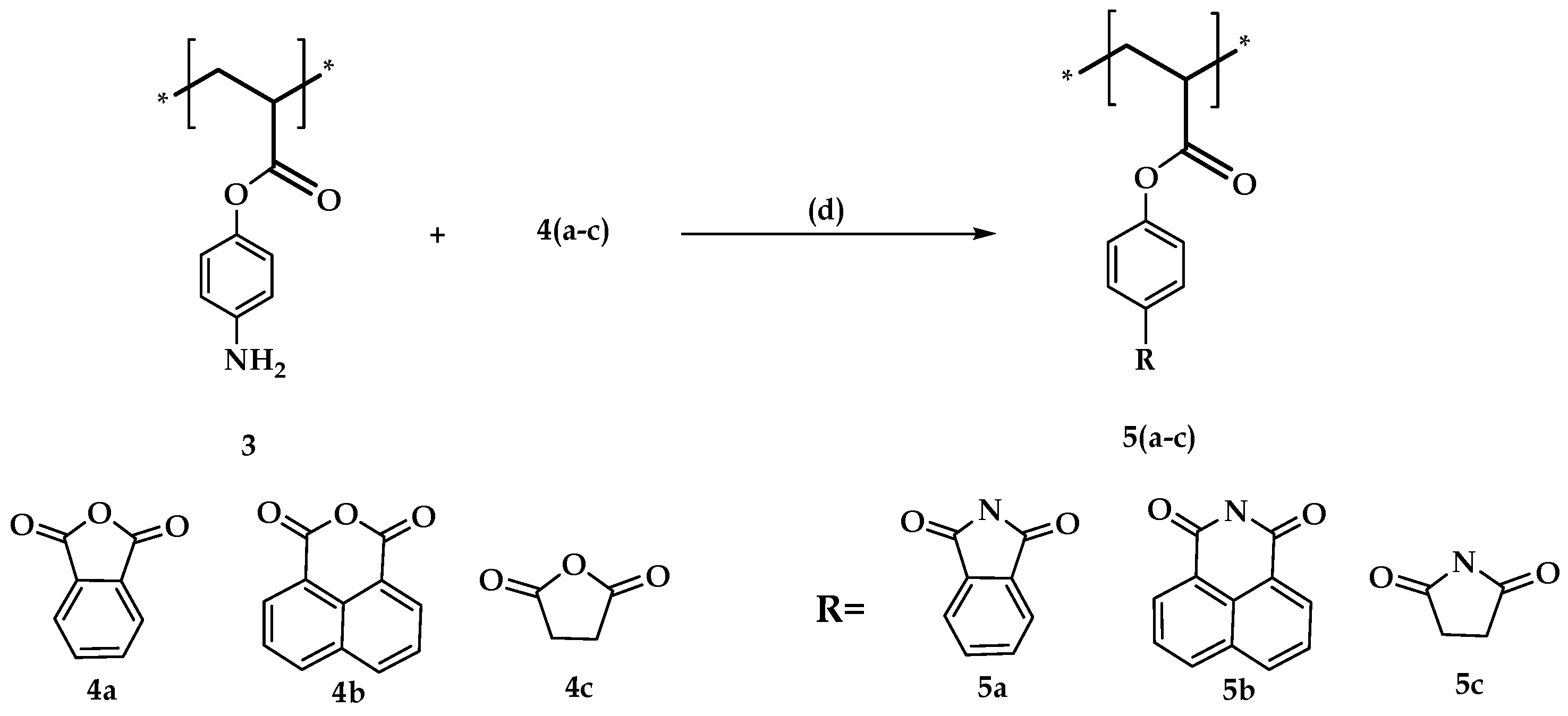
3.2.3. Synthesis of Imide Derivative of Polyacrylic Acids 5a to 5c
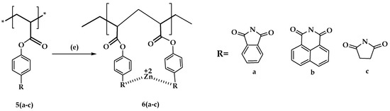
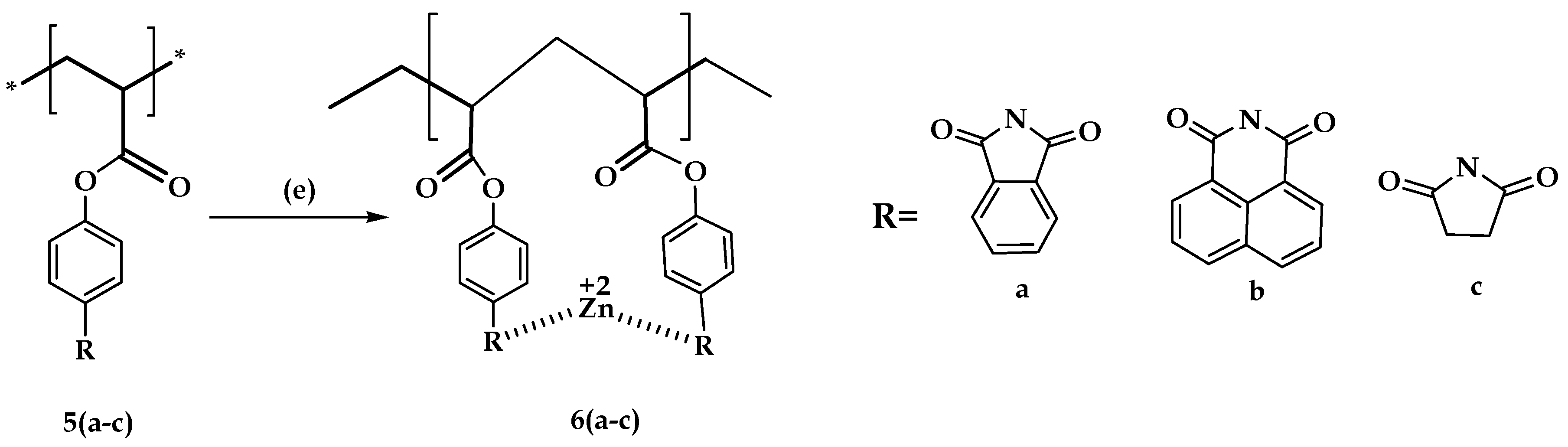
3.2.4. Synthesis of Zinc Complexes of the Imide Derivative of Polyacrylic Acid 6a to 6c
3.3. Methods of Characterization
3.4. Method of Antimicrobial Activity
Bacterial and Fungal Strains
4. Conclusion
Acknowledgments
Author Contributions
Conflicts of Interest
References
- Patil, D.S.; Pawar, S.A.; Devan, R.S.; Gang, M.G.; Ma, Y.-R.; Kim, J.H.; Patil, P.S. Electrochemical supercapacitor electrode material based on polyacrylic acid/polypyrrole/silver composite. Electrochim. Acta 2013, 105, 569–577. [Google Scholar] [CrossRef]
- Guo, T.-F.; Chang, S.-C.; Pyo, S.; Yang, Y. Vertically integrated electronic circuits via a combination of self-assembled polyelectrolytes, ink-jet printing, and electroless metal plating processes. Langmuir 2002, 18, 8142–8147. [Google Scholar] [CrossRef]
- Li, L.; Zhang, L.; Wang, T.; Wu, X.; Ren, H.; Wang, C.; Su, Z. Facile and scalable synthesis of novel spherical au nanocluster assemblies@ polyacrylic acid/calcium phosphate nanoparticles for dual-modal imaging-guided cancer chemotherapy. Small 2015, 11, 3162–3173. [Google Scholar] [CrossRef] [PubMed]
- Popelka, A.; Novák, I.; Lehocký, M.; Chodák, I.; Sedliačik, J.; Gajtanska, M.; Sedliačiková, M.; Vesel, A.; Junkar, I.; Kleinová, A. Anti-bacterial treatment of polyethylene by cold plasma for medical purposes. Molecules 2012, 17, 762–785. [Google Scholar] [CrossRef] [PubMed]
- Craciun, G.; Ighigeanu, D.; Manaila, E.; Stelescu, M.D. Synthesis and characterization of poly (acrylamide-co-acrylic acid) flocculant obtained by electron beam irradiation. Mater. Res. 2015, 18, 984–993. [Google Scholar] [CrossRef]
- Couto, D.; Sousa, R.; Andrade, L.; Leander, M.; Lopez-Quintela, M.A.; Rivas, J.; Freitas, P.; Lima, M.; Porto, G.; Porto, B. Polyacrylic acid coated and non-coated iron oxide nanoparticles are not genotoxic to human T lymphocytes. Toxicol. Lett. 2015, 234, 67–73. [Google Scholar] [CrossRef] [PubMed]
- Liu, Y.; Liu, Y.; Lee, J.-H.; Lee, C.; Park, M.; Kim, H.-Y. Ultrafine formation of optically transparent polyacrylonitrile/polyacrylic acid nanofibre fibrils via electrospinning at high relative humidity. Compos. Sci. Technol. 2015, 117, 404–409. [Google Scholar] [CrossRef]
- Yamaguchi, H.; Nakanishi, S.; Iba, H.; Itoh, T. Amorphous polymeric anode materials from poly (acrylic acid) and tin (ii) oxide for lithium ion batteries. J. Power Sources 2015, 275. [Google Scholar] [CrossRef]
- Wang, Y.; Wang, X.; Tang, S.; Vongehr, S.; Syed, J.A.; Meng, X. Highly processible and electrochemically active graphene-doped polyacrylic acid/polyaniline allowing the preparation of defect-free thin films for solid-state supercapacitors. RSC Adv. 2015, 5, 62670–62677. [Google Scholar] [CrossRef]
- Huang, Y.; Zhong, M.; Huang, Y.; Zhu, M.; Pei, Z.; Wang, Z.; Xue, Q.; Xie, X.; Zhi, C. A self-healable and highly stretchable supercapacitor based on a dual crosslinked polyelectrolyte. Nat. Commun. 2015, 6. [Google Scholar] [CrossRef]
- Chandrasekara, N.; Pashley, R. Study of a new process for the efficient regeneration of ion exchange resins. Desalination 2015, 357, 131–139. [Google Scholar] [CrossRef]
- Dharmalingam, V.; Sahayaraj, P.A.; Amalraj, A.J.; Shobana, R.; Mohan, R. The corrosion inhibition performance of polyacrylic acid with potassium sodium tartrate and Zn2+ for corrosion control of mild steel in aqueous solution. Int. Lett. Chem. Phys. Astron. 2015, 61, 135–146. [Google Scholar] [CrossRef]
- Xu, X.; Bai, B.; Ding, C.; Wang, H.; Suo, Y. Synthesis and properties of an ecofriendly superabsorbent composite by grafting the poly (acrylic acid) onto the surface of dopamine-coated sea buckthorn branches. Ind. Eng. Chem. Res. 2015, 54, 3268–3278. [Google Scholar] [CrossRef]
- López-Ortiz, A.; Collins-Martínez, V.H.; Hernández-Escobar, C.A.; Flores-Gallardo, S.G.; Zaragoza-Contreras, E.A. Protection of nio nanoparticles against leaching in acid medium by grafting of polyacrylic acid. Mater. Chem. Phys. 2008, 109, 306–310. [Google Scholar]
- Patel, R.; Jung, Y.E.; Kim, D.J.; Kim, S.J.; Kim, J.H. Poly (ethylene-co-acrylic acid)-g-poly (ethylene glycol) graft copolymer templated synthesis of mesoporous TiO2 thin films for quasi-solid-state dye sensitized solar cells. Thin Solid Films 2014, 552, 68–74. [Google Scholar] [CrossRef]
- Yan, J.; Huang, Y.; Miao, Y.-E.; Tjiu, W.W.; Liu, T. Polydopamine-coated electrospun poly (vinyl alcohol)/poly (acrylic acid) membranes as efficient dye adsorbent with good recyclability. J. Hazard. Mater. 2015, 283, 730–739. [Google Scholar] [CrossRef] [PubMed]
- Godnjavec, J.; Znoj, B.; Vince, J.; Steinbucher, M.; Žnidaršič, A.; Venturini, P. Stabilization of rutile TiO2 nanoparticles with glymo in polyacrylic clear coating. Mater. Technol. 2012, 46, 19–24. [Google Scholar]
- Pena, J.; Vallet-Regi, M.; Román, J.S. TiO2-polymer composites for biomedical applications. J. Biomed. Mater. Res. 1997, 35, 129–134. [Google Scholar] [PubMed]
- Tokuhisa, H.; Hammond, P.T. Solid-state photovoltaic thin films using TiO2, organic dyes, and layer-by-layer polyelectrolyte nanocomposites. Adv. Funct. Mater. 2003, 13, 831–839. [Google Scholar]
- Li, S.; Wang, H.; Huang, W.; Liu, X. Facile preparation of ph-sensitive poly(acrylic acid-co-acrylamide)/SiO2 hybrid hydrogels with high strength by in situ frontal polymerization. Colloid Polym. Sci. 2014, 292, 107–113. [Google Scholar] [CrossRef]
- Shahid, S.A.; Qidwai, A.A.; Anwar, F.; Ullah, I.; Rashid, U. Improvement in the water retention characteristics of sandy loam soil using a newly synthesized poly (acrylamide-co-acrylic acid)/AlZnFe2O4 superabsorbent hydrogel nanocomposite material. Molecules 2012, 17, 9397–9412. [Google Scholar] [CrossRef] [PubMed]
- Ejima, H.; Richardson, J.J.; Liang, K.; Best, J.P.; van Koeverden, M.P.; Such, G.K.; Cui, J.; Caruso, F. One-step assembly of coordination complexes for versatile film and particle engineering. Science 2013, 341, 154–157. [Google Scholar] [PubMed]
- Liang, K.; Ricco, R.; Doherty, C.M.; Styles, M.J.; Bell, S.; Kirby, N.; Mudie, S.; Haylock, D.; Hill, A.J.; Doonan, C.J. Biomimetic mineralization of metal-organic frameworks as protective coatings for biomacromolecules. Nat. Commun. 2015, 6. [Google Scholar] [CrossRef]
- Liang, K.; Richardson, J.J.; Ejima, H.; Such, G.K.; Cui, J.; Caruso, F. Peptide-tunable drug cytotoxicity via one-step assembled polymer nanoparticles. Adv. Mater. 2014, 26, 2398–2402. [Google Scholar] [PubMed]
- Nurkeeva, Z.S.; Khutoryanskiy, V.V.; Mun, G.A.; Sherbakova, M.V.; Ivaschenko, A.T.; Aitkhozhina, N.A. Polycomplexes of poly(acrylic acid) with streptomycin sulfate and their antibacterial activity. Eur. J. Pharm. Biopharm. 2004, 57, 245–249. [Google Scholar] [CrossRef]
- Gottenbos, B.; Grijpma, D.W.; van der Mei, H.C.; Feijen, J.; Busscher, H.J. Antimicrobial effects of positively charged surfaces on adhering gram-positive and gram-negative bacteria. J. Antimicrob. Chemother. 2001, 48, 7–13. [Google Scholar] [PubMed]
- Gottenbos, B.; van der Mei, H.C.; Klatter, F.; Grijpma, D.W.; Feijen, J.; Nieuwenhuis, P.; Busscher, H.J. Positively charged biomaterials exert antimicrobial effects on gram-negative bacilli in rats. Biomaterials 2003, 24, 2707–2710. [Google Scholar] [CrossRef]
- Popelka, A.; Novák, I.; Lehocký, M.; Junkar, I.; Mozetič, M.; Kleinová, A.; Janigová, I.; Šlouf, M.; Bílek, F.; Chodák, I. A new route for chitosan immobilization onto polyethylene surface. Carbohydr. Polym. 2012, 90, 1501–1508. [Google Scholar] [PubMed]
- Ping, X.; Wang, M.; Xuewu, G. Surface modification of poly (ethylene terephthalate)(PET) film by gamma-ray induced grafting of poly (acrylic acid) and its application in antibacterial hybrid film. Radiat. Phys. Chem. 2011, 80, 567–572. [Google Scholar] [CrossRef]
- Mosleh, S.; Gawish, S.; Khalil, F.; Bieniek, R. Properties and application of novel amphoteric polypropylene fabrics. J. Appl. Polym. Sci. 2005, 98, 2373–2379. [Google Scholar]
- Yang, J.M.; Lin, H.T.; Wu, T.H.; Chen, C.C. Wettability and antibacterial assessment of chitosan containing radiation-induced graft nonwoven fabric of polypropylene-g-acrylic acid. J. Appl. Polym. Sci. 2003, 90, 1331–1336. [Google Scholar] [CrossRef]
- Bajpai, A.K.; Mishra, A. Preparation and characterization of tetracycline-loaded interpenetrating polymer networks of carboxymethyl cellulose and poly (acrylic acid): Water sorption and drug release study. Polym. Int. 2005, 54, 1347–1356. [Google Scholar] [CrossRef]
- Koneru, B.; Shi, Y.; Wang, Y.-C.; Chavala, S.H.; Miller, M.L.; Holbert, B.; Conson, M.; Ni, A.; di Pasqua, A.J. Tetracycline-containing MCM-41 mesoporous silica nanoparticles for the treatment of Escherichia coli. Molecules 2015, 20, 19690–19698. [Google Scholar] [CrossRef] [PubMed]
- Pahontu, E.; Fala, V.; Gulea, A.; Poirier, D.; Tapcov, V.; Rosu, T. Synthesis and characterization of some new Cu (II), Ni (II) and Zn (II) complexes with salicylidene thiosemicarbazones: Antibacterial, antifungal and in vitro antileukemia activity. Molecules 2013, 18, 8812–8836. [Google Scholar] [CrossRef] [PubMed]
- Voronkov, M.; Antonik, L.; Kogan, A.; Lopyrev, V.; Fadeeva, T.; Marchenko, V.; Abzaeva, K. Antimicrobial and hemostatic effects of silver salts of poly (acrylic acid). Pharm. Chem.J. 2002, 36, 26–28. [Google Scholar]
- Abzaeva, K.; Voronkov, M.; Zhilitskaya, L.; Belozerskaya, G.; Makarov, V. Pharmacological properties of poly (zinc acrylate) ziacryl. Dokl. Biol. Sci. 2009, 424, 1–2. [Google Scholar] [CrossRef] [PubMed]
- Yamamoto, O. Influence of particle size on the antibacterial activity of zinc oxide. Int. J. Inorg. Mater. 2001, 3, 643–646. [Google Scholar] [CrossRef]
- Palza, H. Antimicrobial polymers with metal nanoparticles. Int. J. Mol. Sci. 2015, 16, 2099–2116. [Google Scholar] [CrossRef] [PubMed]
- Saha, J.; Podder, J. Crystallization of zinc sulphate single crystals and its structural, thermal and optical characterization. J. Bangladesh Acad. Sci. 2011, 35, 203–210. [Google Scholar]
- Goldman, E.; Green, L.H. Practical Handbook of Microbiology; CRC Press: Boca Raton, FL, USA, 2015. [Google Scholar]
- Perez, C.; Pauli, M.; Bazerque, P. An antibiotic assay by the agar well diffusion method. Acta Biol. Med. Exp. 1990, 15, 113–115. [Google Scholar]
- Kalemba, D.; Kunicka, A. Antibacterial and antifungal properties of essential oils. Curr. Med. Chem. 2003, 10, 813–829. [Google Scholar] [PubMed]
- Shumaila; Lakshmi, G.B.V.S.; Alam, M.; Siddiqui, A.M.; Zulfequar, M.; Husain, M. Synthesis and characterization of Se doped polyaniline. Curr. Appl. Phys. 2011, 11, 217–222. [Google Scholar] [CrossRef]
- Sample Availability: Samples of the compounds are not available from the authors.











| Sample | Weight Loss % at Various Temperatures | ||||||
|---|---|---|---|---|---|---|---|
| 200 °C | 300 °C | 400 °C | 500 °C | 600 °C | 700 °C | 800 °C | |
| 5a | 0 | 4.16 | 29.48 | 92.6 | 96.1 | 96.49 | 96.89 |
| 6a | 0 | 0.26 | 1.04 | 4.94 | 15.45 | 23.64 | 29.49 |
| 5b | 0 | 2.6 | 35.71 | 93.77 | 96.1 | 96.49 | 96.88 |
| 6b | 0 | 7.66 | 53.25 | 56.36 | 61.82 | 73.51 | 78.96 |
| 5c | 0.26 | 8.84 | 52.08 | 82.47 | 87.14 | 87.92 | 88.31 |
| 6c | 0 | 4.55 | 15.45 | 20.91 | 26.75 | 40.39 | 58.31 |
| Test Compounds a | MIC b (μg/mL) | |||
|---|---|---|---|---|
| 6a | 6b | 6c | Neomycin | |
| Staphylococcus aureus MTCC 96 | 300 | 18.75 | 18.75 | 18.75 |
| Klebsiella planticola MTCC 530 | 300 | 75 | 150 | 18.75 |
| Bacillus subtilis MTCC 121 | 75 | 75 | 37.5 | 18.75 |
| S. aureus MLS16 MTCC 2940 | 150 | 150 | 150 | 18.75 |
| Micrococcus luteus MTCC 2470 | 150 | 150 | 37.5 | 18.75 |
| Escherichia coli MTCC 739 | 150 | 150 | 75 | 18.75 |
| Pseudomonas aeruginosa MTCC 2453 | 150 | 75 | 75 | 18.75 |
| Test Compounds | Minimum Inhibitory Concentration (μg/mL) | |||
|---|---|---|---|---|
| 6a | 6b | 6c | Fluconazole | |
| Candida albicans MTCC 183 | 75 | 75 | 75 | 32 |
| Candida albicans MTCC 227 | 75 | 75 | 75 | 32 |
| Candida albicans MTCC 854 | 75 | 75 | 75 | 32 |
| Candida albicans MTCC 1637 | 75 | 75 | 75 | 64 |
| Candida albicans MTCC 3017 | 75 | 75 | 75 | 64 |
| Candida albicans MTCC 3018 | 150 | 150 | 150 | 32 |
| Candida albicans MTCC 3958 | 75 | 75 | 75 | 64 |
| Candida albicans MTCC 4748 | 75 | 75 | 75 | 32 |
| Candida albicans MTCC 7315 | 75 | 75 | 75 | 32 |
| Candida aaseri MTCC 1962 | 150 | 150 | 150 | 64 |
| Candida glabrata MTCC 3019 | 150 | 150 | 150 | 64 |
| Candida parapsilosis MTCC 1744 | 150 | 150 | 150 | 16 |
| Issatchenkia hanoiensis MTCC 4755 | 300 | 300 | 300 | 128 |
| Issatchenkia orientalis MTCC 3020 | 150 | 150 | 150 | 128 |
© 2016 by the authors. Licensee MDPI, Basel, Switzerland. This article is an open access article distributed under the terms and conditions of the Creative Commons by Attribution (CC-BY) license ( http://creativecommons.org/licenses/by/4.0/).
Share and Cite
Shaik, M.R.; Kuniyil, M.; Khan, M.; Ahmad, N.; Al-Warthan, A.; Siddiqui, M.R.H.; Adil, S.F. Modified Polyacrylic Acid-Zinc Composites: Synthesis, Characterization and Biological Activity. Molecules 2016, 21, 292. https://doi.org/10.3390/molecules21030292
Shaik MR, Kuniyil M, Khan M, Ahmad N, Al-Warthan A, Siddiqui MRH, Adil SF. Modified Polyacrylic Acid-Zinc Composites: Synthesis, Characterization and Biological Activity. Molecules. 2016; 21(3):292. https://doi.org/10.3390/molecules21030292
Chicago/Turabian StyleShaik, Mohammed Rafi, Mufsir Kuniyil, Mujeeb Khan, Naushad Ahmad, Abdulrahman Al-Warthan, Mohammed Rafiq H. Siddiqui, and Syed Farooq Adil. 2016. "Modified Polyacrylic Acid-Zinc Composites: Synthesis, Characterization and Biological Activity" Molecules 21, no. 3: 292. https://doi.org/10.3390/molecules21030292
APA StyleShaik, M. R., Kuniyil, M., Khan, M., Ahmad, N., Al-Warthan, A., Siddiqui, M. R. H., & Adil, S. F. (2016). Modified Polyacrylic Acid-Zinc Composites: Synthesis, Characterization and Biological Activity. Molecules, 21(3), 292. https://doi.org/10.3390/molecules21030292

