Next Article in Journal
The Alterations in the Expression and Function of P-Glycoprotein in Vitamin A-Deficient Rats as well as the Effect of Drug Disposition in Vivo
Next Article in Special Issue
Synthesis of Bioconjugate Sesterterpenoids with Phospholipids and Polyunsaturated Fatty Acids
Previous Article in Journal
The Prodrug Approach: A Successful Tool for Improving Drug Solubility
Previous Article in Special Issue
Chemoprevention of Breast Cancer by Dietary Polyphenols
 
 
Font Type:
Arial Georgia Verdana
Font Size:
Aa Aa Aa
Line Spacing:
Column Width:
Background:
Article

Synthesis of Novel Pyrido[4,3-e][1,2,4]triazino[3,2-c][1,2,4]thiadiazine 6,6-dioxide Derivatives with Potential Anticancer Activity

by
Jarosław Sławiński
1,*,
Aleksandra Grzonek
1,
Beata Żołnowska
1 and
Anna Kawiak
2,3
1
Department of Organic Chemistry, Medical University of Gdańsk, Al. Gen. J. Hallera 107, 80-416 Gdańsk, Poland
2
Department of Biotechnology, Intercollegiate Faculty of Biotechnology, University of Gdańsk and Medical University of Gdańsk, Ul. Kładki 24, 80-822 Gdańsk, Poland
3
Department of Human Physiology, Medical University of Gdańsk, Ul. Tuwima 15, 80-210 Gdańsk, Poland
*
Author to whom correspondence should be addressed.
Molecules 2016, 21(1), 41; https://doi.org/10.3390/molecules21010041
Submission received: 16 November 2015 / Revised: 21 December 2015 / Accepted: 22 December 2015 / Published: 29 December 2015

Abstract

:
A series of novel 3-/2,3-substituted pyrido[4,3-e][1,2,4]triazino[3,2-c][1,2,4]thiadiazine 6,6-dioxides 428 have been synthesized by the reaction of 3-amino-2-(4-thioxo-1,4-dihydropyridin-3-yl-sulfonyl)guanidine with either 2-oxoalkanoic acids and its esters, or phenylglyoxylic hydrates in glacial acetic acid. Some of them exhibited reasonable or moderate anticancer activity toward human cancer cell lines, HCT-116, MCF-7 and HeLa. The structure of this novel heterocyclic ring system was confirmed by 1D-NMR and 2D-NMR spectroscopic data including COSY, ROESY and HMBC, elemental analyses and MS spectrometry.

Graphical Abstract

1. Introduction

Cancer is the second most life threatening non-communicable disease after cardiovascular disease, according to the World Health Organization [1]. Despite the availability of numerous anticancer drugs, cancer is still hard to cure, especially without exhibiting any side effects. Due to the serious toxicity of conventional cytotoxic medicines contemporary medicinal chemistry is focused on the development of potent and selective anticancer drugs. Heterocyclic scaffolds play an important role for the design of novel drugs by enhancing their biological effects when fused with other ring systems. Among the many heteroaromatic rings, pyridothiadiazines constitutes an important framework of anticancer and antibacterial agents (IIII, Figure 1) [2] as well as anticancer and tuberculostatic compounds (IV, Figure 1) [3]. At the same time, there are also many reports indicating the significant anticancer properties of the 1,2,4-triazine fragment (VX, Figure 1) [4,5,6,7,8,9,10]. It is known that 2-alkylthio-5-chloro-N-(1,2,4-triazin-yl)benzenesulfonamides V exhibit anticancer activity against colon, CNS, melanoma, ovarian, breast, renal, and leukemia cell lines [4]. The 6-azauridine VI, an inhibitor of de novo pyrimidine biosynthesis, has been described as an effective agent for inducing remission of acute myelocytic leukemia in children [5]. Other analogs of 6-azauridine, the S-alkyl derivatives of 1,2,4-triazinone VII, present cytotoxic activities against human breast cancer (MCF-7), colon carcinoma (HCT-116) and hepatocellular carcinoma (Hep-G2) cell lines [6]. Tirapazamine VIII is a known bioreductive hypoxia-selective cytotoxin, currently undergoing a variety of phase I, II and III clinical trials for the treatment of various human cancers, including non-small cell lung, cervical, head and neck, and ovarian cancers. Tirapazamine derives its medicinal activity by inducing DNA damage in poorly oxygenated tumor cells [7]. The heterobicyclic derivative bearing the 1,2,4-triazine moiety IXa have demonstrated remarkable inhibitory effects against uterus cancer (SiHa) cells and human colon adenocarcinoma (LS 180) cells while simultaneously inducing DNA cleavage [8]. Moreover, its close analog IXb was identified as capable of inducing significantly higher levels of necrotic cells in human breast cancer (T47D) cell lines and human cervical epithelial carcinoma (HeLa) cells [9]. Some of 1,2,4-triazine-5-ones X have distinct antiptoliferative activities against the chronic myeloid leukemia (K-562) cell line combined with a low cytotoxicity [10].
Figure 1. Structures of known anticancer and antibacterial pyridinethiadiazine derivatives IIII [2], anticancer and tuberculostatic 3-heteroaryl-2H-pyrido[4,3-e][1,2,4]thiadiazines IV [3], anticancer 1,2,4-triazines VX [4,5,6,7,8,9,10] and novel 3-hydroxypyrido[4,3-e][1,2,4]triazino[3,2-c][1,2,4]thiadiazine 6,6-dioxides XI as well as 3-aryl-pyrido[4,3-e][1,2,4]triazino [3,2-c][1,2,4]thiadiazine 6,6-dioxides XII.
Figure 1. Structures of known anticancer and antibacterial pyridinethiadiazine derivatives IIII [2], anticancer and tuberculostatic 3-heteroaryl-2H-pyrido[4,3-e][1,2,4]thiadiazines IV [3], anticancer 1,2,4-triazines VX [4,5,6,7,8,9,10] and novel 3-hydroxypyrido[4,3-e][1,2,4]triazino[3,2-c][1,2,4]thiadiazine 6,6-dioxides XI as well as 3-aryl-pyrido[4,3-e][1,2,4]triazino [3,2-c][1,2,4]thiadiazine 6,6-dioxides XII.
Molecules 21 00041 g001
It has been known that arylsulfonamides exhibit a variety of biological activities including anticancer properties [11,12]. Our previous reports underlined the anticancer activity of arylsulfonamide analogues containing various heterocyclic ring systems attached to the benzenesulfonamide core [13,14,15,16,17,18]. Recently we have developed of a new method for the synthesis of 2,3-diaryl-9,9-dioxo-1H-9-thia-1,4,4a,7,10-pentaazaphenanthrene-2-ols [19]. This original class of compounds prompted us to investigate anticancer activity of arylsulfonamides modified by pyridothiadiazine and 1,2,4-triazine cores. In our research for novel various substituted pyrido[4,3-e][1,2,4]triazino-[3,2-c][1,2,4]thiadiazine 6,6-dioxides (XI,XII, Figure 1) with potential anticancer activity, we developed synthetic pathways for their preparation and evaluated their cytotoxic activity toward human cancer cell lines HCT-116, HeLa and MCF-7.

2. Results

2.1. Chemistry

The synthesis of the key starting material, i.e., 3-amino-2-(4-thioxo-1,4-dihydropyridin-3-yl-sul-fonyl)guanidine (3) was achieved in a three-step reaction sequence starting from 3-methylthio-1,1-dioxopyrido[4,3-e]-1,4,2-dithiazine (1) according to the previously described procedure [19] (Scheme 1).
Scheme 1. The three-step reaction for the synthesis of 3-amino-2-(4-thioxo-1,4-dihydropyridin-3-yl-sul-fonyl)guanidine (3). Reagents, conditions and yields: (i) 1 equiv. 25% NH3 aq, EtOH, 120 h, rt, 95%; (ii) 2 equiv. 99% N2H4 hydrate, dry MeOH, 30–40 h, 88%; (iii) AcOH, 88%.
Scheme 1. The three-step reaction for the synthesis of 3-amino-2-(4-thioxo-1,4-dihydropyridin-3-yl-sul-fonyl)guanidine (3). Reagents, conditions and yields: (i) 1 equiv. 25% NH3 aq, EtOH, 120 h, rt, 95%; (ii) 2 equiv. 99% N2H4 hydrate, dry MeOH, 30–40 h, 88%; (iii) AcOH, 88%.
Molecules 21 00041 g005
The desired 2-R2-3-hydroxypyrido[4,3-e][1,2,4]triazino[3,2-c][1,2,4]thiadiazine 6,6-dioxides 48 and 920 were obtained in facile “one-pot” reactions by treatment of aminoguanidine 3 with the appropriate 2-oxoalkanoic acids in glacial acetic acid at reflux for 50–90 h (compds. 48; Method A). Optimization of the reaction conditions by use of an equimolar amount of the appropriate esters in boiling glacial acetic acid i.e., ethyl phenylglyoxylate, caused a significant shortening of the reaction time up to 22–26 h (compds. 920; Method B), as outlined in Scheme 2. The proposed mechanism of this reaction involves the initial formation of an intermediate condensation product of type C, which undergoes an intramolecular addition-elimination reaction (SNAr) at the 4-position of the pyridine ring leading to the formation of pyridothiadiazine intermediate D with simultaneous H2S elimination. Final condensation reaction between carbonyl and amine group of D leads to the six-membered ring closure affording a novel heterocyclic ring system, namely pyrido[4,3-e][1,2,4]triazino[3,2-c][1,2,4]thiadiazine 6,6-dioxide (Scheme 2). Apparently, the elimination of hydrogen sulphide may be responsible for the elongation of the overall reaction time, due to the fact that gas H2S appears 10–15 h after the reaction initiation.
Scheme 2. Proposed mechanism for the formation of 2-R2-3-hydroxypyrido[4,3-e][1,2,4]triazino[3,2-c][1,2,4]thiadiazine 6,6-dioxides 420. Reagents and conditions: Method A: (i) the appropriate 2-oxo-alkanoic acid, (1.0 equiv.), glacial acetic acid, reflux 50–90 h; Method B: (ii) the appropriate ethyl phenylglyoxylate (1.0 equiv.), glacial acetic acid, reflux 22–26 h.
Scheme 2. Proposed mechanism for the formation of 2-R2-3-hydroxypyrido[4,3-e][1,2,4]triazino[3,2-c][1,2,4]thiadiazine 6,6-dioxides 420. Reagents and conditions: Method A: (i) the appropriate 2-oxo-alkanoic acid, (1.0 equiv.), glacial acetic acid, reflux 50–90 h; Method B: (ii) the appropriate ethyl phenylglyoxylate (1.0 equiv.), glacial acetic acid, reflux 22–26 h.
Molecules 21 00041 g006
An attempt was made to apply 3-amino-2-(4-thioxo-1,4-dihydropyridin-3-ylsulfonyl)guanidine (3) to the reaction with phenylglyoxal hydrates due to the well-known fact that in acidic conditions the electrophlicity of its formyl group is superior to that of a carbonyl group in the reaction with substituted aminoguanidines [20]. Such an approach may open a convenient way to obtain the similar pyrido[4,3-e][1,2,4]triazino[3,2-c][1,2,4]thiadiazine 6,6-dioxide heterocyclic ring system possessing however, a phenyl moiety in the 3 position, and not in the 2 position as we previously proved in the reactions with 2-oxoalkanoic acids or esters (Scheme 2).
Thus, treatment of aminoguanidine 3 with the appropriate phenylglyoxal hydrate in glacial acetic acid at reflux led to the expected 3-phenylpyrido[4,3-e][1,2,4]triazino[3,2-c][1,2,4]thiadiazine 6,6-dioxide derivatives 2128, as outlined in Scheme 3. We propose a similar mechanism for the formation of compounds 2128 which consists in the initial formation of an intermediate condensation product of type E as a result of the regioselective nucleophilic attack of amine group on the 2,2-dihydroxyethanone carbon atom (Scheme 3).
Scheme 3. Proposed mechanism for the formation of 3-phenylpyrido[4,3-e][1,2,4]triazino[3,2-c][1,2,4]thiadiazine 6,6-dioxides 2128. Reagents and conditions: The appropriate phenylglyoxal hydrate (1.0 equiv.), glacial acetic acid, reflux 23–31 h.
Scheme 3. Proposed mechanism for the formation of 3-phenylpyrido[4,3-e][1,2,4]triazino[3,2-c][1,2,4]thiadiazine 6,6-dioxides 2128. Reagents and conditions: The appropriate phenylglyoxal hydrate (1.0 equiv.), glacial acetic acid, reflux 23–31 h.
Molecules 21 00041 g007
The structures of 428 were confirmed by IR, NMR and MS data and elemental analyses. In the IR spectra of compounds 420 the characteristic OH group appeared as overlapping broad absorption bands in the 3543–3417 cm−1. In turn, in the 1H-NMR spectra of the compounds 428 the chemical shifts of protons H-7, H-9 and H-10 attributable to pyridine ring of the tricyclic fused ring system were found in the region of 9.06–9.25, 9.03–9.80 and 7.79–8.18 ppm, respectively (Figures S1–S28, see Supplementary Materials).

2.2. Anticancer Activity

Compounds 428 were evaluated in vitro for their effects on the viability of three human cancer cell lines: HCT-116 (colon cancer), HeLa (cervical cancer) and MCF-7 (breast cancer). The concentration required for 50% inhibition of cell viability IC50 was calculated and compared with the reference drug cisplatin, and the results are given in Table 1. The compounds 5, 15, 17, 2123 and 2528 exhibited either reasonable, moderate or weak anticancer activity against HCT-116 cell line, while five of them i.e., 22, 23, 25, 26 and 28 were also potent against MCF-7 and HeLa human cancer cell lines, whereas remaining compounds 4, 614, 16, 1820 and 24 were essentially inactive in tested concentration range.
Table 1. Cytotoxicity of compounds 428 toward human cancer cell lines *.
Table 1. Cytotoxicity of compounds 428 toward human cancer cell lines *.
CompoundsIC50 (μM) a
HCT-116HeLaMCF-7
4140 ± 7370 ± 11*
580 ± 2220 ± 7*
6160 ± 2700 ± 14300 ± 12
7250 ± 15470 ± 9*
8240 ± 9350 ± 7320 ± 6
9160 ± 3*650 ± 7
10***
11260 ± 15**
12180 ± 5*350 ± 21
13110 ± 2*520 ± 15
14***
1584 ± 2**
16200 ± 4**
1790 ± 4**
18270 ± 5310 ± 6*
19***
20250 ± 20*550 ± 16
2159 ± 1190 ± 694 ± 2
2213 ± 0.857 ± 225 ± 0.7
239 ± 0.225 ± 0.525 ± 1
24170 ± 11260 ± 8240 ± 5
2514 ± 156 ± 231 ± 1
2642 ± 183 ± 297 ± 3
2747 ± 1110 ± 3105 ± 3
2826 ± 0.549 ± 135 ± 3
Cisplatin3.8 ± 0.22.2 ± 0.23.0 ± 0.1
a Analysis was performed using the MTT assay after 72 h of incubation. Values are expressed as the mean ± SD of at least three independent experiments. * Viability of cell lines at 100 μM of tested compounds were approximately 100%.

3. Discussion

3.1. Anticancer Activity

As shown in Table 1 the HCT-116 cell line exhibited the relatively highest susceptibility to compounds 5, 15, 17, 2123 and 2528 with the average value of IC50 = 46.4 μM. Apparently, the presence of a mono- or tri-substituted phenyl moiety (Ar) at position 3 leads to the compounds with good profile of anticancer activity. Thus, the compounds 22, 23, 25, 26 and 28 exhibited inhibition of growth toward not only HCT-116 cell line at IC50 = 9–42 μM, but also for the HeLa and MCF-7 cells in the concentration range of IC50 = 25–83 μM, and IC50 = 25–97 μM, respectively. Among them, compounds 22, 23, 25 and 28 having variously substituted phenyl ring at position 3, i.e., 22 (Ar = 3-FC6H4), 23 (Ar = 4-F3CC6H4), 25 (Ar = 3-MeOC6H4) and 28 (Ar = 3,4,5-tri-MeOC6H2) exhibited relevant influence on cytotoxic activity toward HCT-116 cell line (IC50 = 9–26 μM).
Otherwise, the presence of unsubstituted phenyl ring 21 (Ar = Ph) or 3,4-disubstituted phenyl moieties 24 (Ar = 3,4-diFC6H4) and 27 (Ar = 3,4-diMeOC6H3) significantly decreases this activity. In general, the HeLa cell line was less susceptible to the tested compounds, with the exception of 23 (Ar = 4-F3CC6H4), which exhibited cytotoxic activity in the low micromolar range (IC50 = 25 μM), whereas 22 (Ar = 3-FC6H4), 25 (Ar = 3-MeOC6H4), 26 (Ar = 4-MeOC6H4) and 28 (Ar = 3,4,5-triMeOC6H2) inhibited cell growth in the higher concentration range IC50 = 49–83 μM. On the other hand, compounds 21 (Ar = Ph), 24 (Ar = 3,4-diFC6H4) and 27 (Ar = 3,4-diMeOC6H3) were inactive towards this cell line.
Cell growth inhibition of MCF-7 line occurred in the low concentration range IC50 = 25–35 μM by compounds 22 (Ar = 3-FC6H4), 23 (Ar = 4-F3CC6H4), 25 (Ar = 3-MeOC6H4) and 28 (Ar = 3,4,5-triMeOC6H2). Moreover, replacement of aryl substituent (Ar) in active compounds 25 and 28 by the differently substituted isomers, i.e., 26 (Ar = 4-MeOC6H2) or 27 (Ar = 3,4-diMeOC6H3) caused significant decreases in activity of 26 (IC50 = 97 µM) or the loss of activity (27) in tested concentration range (Table 1).
We found, that compounds 22 (Ar = 3-FC6H4), 23 (Ar = 4-F3CC6H4), 25 (Ar = 3-MeOC6H4) and 28 (Ar = 3,4,5-triMeOC6H2) exhibited strong cytotoxic activity against all of the tested cell lines in the relatively low or moderate concentrations range IC50 = 9–57 μM.
To summarize the biological test results, the replacement of an aryl (Ar) substituent by a hydroxy (OH) functionality at position 3 with simultaneously shifting of the substituent R2 = alkyl, benzyl, substituted aryl to the position 2 caused the loss of activity towards the HeLa and MCF-7 cell lines in compounds 720. Among a series of 2,3-substituted derivatives only weak activity against HCT-116 cell lines for 5 (R2 = Bn), 15 (R2 = 4-i-PrC6H4) and 17 (R2 = 4-t-BuC6H4) was observed.
The rational design of more effective and safe compounds may be supported by in silico approaches that predict the human in vivo metabolism and reactivity of small molecules. Therefore in the present studies we applied an on-line accessible tool for accurate prediction of xenobiotic metabolism sites, called XenoSite Cytochrome P450 Prediction Models [21] and estimated the stability of the most active compounds 22, 23, 25 and 28 in the presence of human liver microsomes. In silico results illustrated in Figure 2 show which atoms on a molecule are likely to be oxidized by human liver microsomes. Thus, it was found that the prominent compound 23 demonstrated not only the minimal IC50 values against tested cell lines, but also the high metabolic stability with regard to oxidative metabolic processes. In turn, drug toxicity, frequently described by the quantitative strength of a molecule’s reactivity with glutathione, was also predicted by use of the XenoSite Reactivity Model [22]. The results of the in silico analysis did not indicate any toxicity of compounds 22, 23, 25 and 28.
Figure 2. Sites of metabolism predicted for 22, 23, 25 and 28 by the XenoSite software [21]. The green color indicates more vulnerability to biotransformation than blue. Some significant differences are additionally pointed out.
Figure 2. Sites of metabolism predicted for 22, 23, 25 and 28 by the XenoSite software [21]. The green color indicates more vulnerability to biotransformation than blue. Some significant differences are additionally pointed out.
Molecules 21 00041 g002aMolecules 21 00041 g002b

3.2. NMR Studies

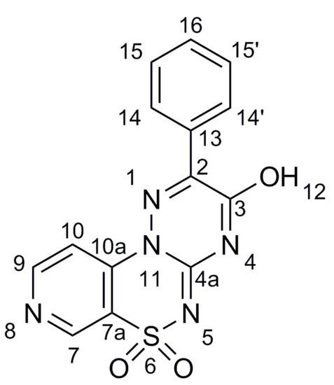
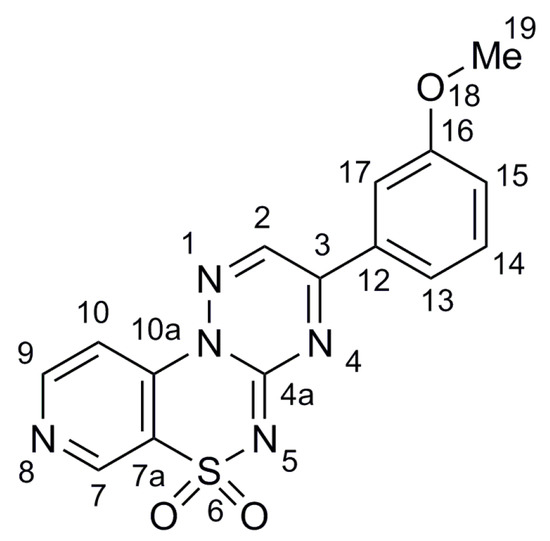
The two dimensional NMR spectroscopy studies, consisting of COSY, ROESY and HMBC experiments, resulted in structure confirmation of two various substituted isomers such as 2-phenyl-3-hydroxypyrido[4,3-e][1,2,4]triazino[3,2-c][1,2,4]thiadiazine 6,6-dioxide 7 (Figure 3) and monosubstituted counterpart, i.e., 3-(3-methoxyphenyl)pyrido[4,3-e][1,2,4]triazino[3,2-c][1,2,4]thiadiazine6,6-dioxide (25, Figure 4) by proton and carbon assignments, which are given in Table 2, Table 3, Table 4 and Table 5. The resonance signal of proton H7 in compound 7 was identified as the only one singlet showing correlations to four sp2 carbons C7a, C9, C10 and C10a in HMBC spectrum. The COSY spectrum of 7 allowed the connectivities within two structural blocks, namely C9-C10 and C14-C16 to be traced. The C7, C9-C10 and C14-C16 spin systems were distinguished by the presence of H7/H9 ROE and upon the C2/H14 heteronuclear correlation in HMBC spectrum. Finally, the assignments of quaternary sp2 carbon atoms C2, C7a, C10a and C13 were made upon several heteronuclear correlations observed in the HMBC spectrum, listed in Table 2 and Table 3.
Figure 3. The structure of 2-phenyl-3-hydroxypyrido[4,3-e][1,2,4]triazino[3,2-c][1,2,4]thiadiazine 6,6-dioxide 7; the atom numbers are correlated with the NMR results.
Figure 3. The structure of 2-phenyl-3-hydroxypyrido[4,3-e][1,2,4]triazino[3,2-c][1,2,4]thiadiazine 6,6-dioxide 7; the atom numbers are correlated with the NMR results.
Molecules 21 00041 g003
Figure 4. The structure of 3-(3-methoxyphenyl)pyrido[4,3-e][1,2,4]triazino[3,2-c][1,2,4]thiadiazine 6,6-dioxide 25; the atom numbers are correlated with the NMR results.
Figure 4. The structure of 3-(3-methoxyphenyl)pyrido[4,3-e][1,2,4]triazino[3,2-c][1,2,4]thiadiazine 6,6-dioxide 25; the atom numbers are correlated with the NMR results.
Molecules 21 00041 g004
Table 2. 1H-NMR data for 7.
Table 2. 1H-NMR data for 7.
Proton No.1H δ (ppm)3J (HH) Contacts (Hz)ROE Contacts
H-79.13-H-9
H-98.915.9 (H-10)H-7
H-108.115.9 (H-9)-
H-14, 14′8.107.3 (H-15, 15′)-
H-15, 15′7.597.3 (H-14, 14′); 7.4 (H-16)-
H-167.557.4 (H-15, 15′)-
Table 3. 13C-NMR data for 7 with long-range C/H couplings observed in HMBC spectrum.
Table 3. 13C-NMR data for 7 with long-range C/H couplings observed in HMBC spectrum.
Carbon No.13C δ (ppm)HMBC Protons
C-2147.5H-14
C-3154.3-
C-4a144.4-
C-7146.6H-10
C-7a120.8H-7, H-9, H-10
C-9154.4H-7, H-10
C-10111.6H-7, H-9
C-10a142.3H-7, H-9, H-10
C-13132.0H-14
C-14, 14′129.9H-14, 14′, H-15, 15′
C-15, 15′129.1H-16
C-16131.2H-16
Table 4. 1H-NMR data for 25.
Table 4. 1H-NMR data for 25.
Proton No.1H δ (ppm)3J (HH) Contacts (Hz)ROE Contacts
H-29.52-H-17, H-13
H-79.23--
H-99.025.8 (H-10)-
H-108.165.8 (H-9)-
H-138.037.9 (H-14)H-2
H-147.627.9 (H-13), 7.9 (H-15)-
H-157.39~8.0 (H-14)H-17, H-19
H-177.91-H-2, H-15, H-19
H-193.90-H-15, H-17
Table 5. 13C-NMR data for 25 with long-range C/H couplings observed in HMBC spectrum.
Table 5. 13C-NMR data for 25 with long-range C/H couplings observed in HMBC spectrum.
Carbon No.13C δ (ppm)HMBC Protons
C-2146.8-
C-3161.9H-2, H-13, H-17
C-4a131.0-
C-7146.1H-9
C-7a120.3H-7, H-9
C-9153.8H-7, H-10
C-10111.5H-7, H-9
C-10a141.7H-7, H-9, H-10
C-12137.0-
C-13122.0H-17, H-14, H-15
C-14121.3H-13, H-17, H-15
C-15133.1H-14
C-16160.0H-17, H-14, H-15
C-17113.5H-13, H-15
C-1955.7-
The resonance signals of protons H2, H7 and H17 in compound 25 were identified as singlets showing correlations to the appropriate sp2 carbon atoms, as follows: H2/C3, H7/C7a, H7/C9, H7/C10, H7/C10a, and H17/C3, H17/C13, H17/C16 in HMBC spectrum. The COSY spectrum showed 1H-1H correlations within two structural blocks, namely C9-C10 and C13-C15 to be traced. The C13-C15 spin system was distinguished by the presence of H2/H13, H15/H17 and H15/H19 ROEs and upon the C13/H14, C13/H15, C13/H17, C17/H13 and C17/H15 heteronuclear correlations. The presences of H2/H13, H2/H17 ROEs with C3/H2, C3/H13 and C3/H17 HBMC correlations revealed the position of the phenyl substituent. The assignments of quaternary sp2 carbons C3, C7a, C10a, and C16 were made upon several heteronuclear correlations observed in the HMBC spectrum, listed in Table 4 and Table 5.

4. Experimental Section

4.1. General Information

The melting points were determined on a SMP30 apparatus (Stuart, BIBY Scientific Ltd., Stone, UK) and are uncorrected. Infrared (IR) spectra were recorded on a Mattson Satellite FTIR spectrophotometer (Thermo, Madison, WI, USA). The NMR spectra were recorded on a Unity 500 Plus apparatus at 500 MHz (1H-NMR) and 125 MHz (13C-NMR) (Varian, Palo Alto, CA, USA). Chemical shifts are expressed as δ values in parts per million (ppm) relative to TMS as an internal standard, coupling constants (J) are given in Hertz; multiplicity in 1H-NMR is reported as singlet (s), broad singlet (br.s), doublet (d), triplet (t), and multiplet (m). The spectra of 13C- and one-dimensional 1H were collected with standard parameters. ROESY spectra was acquired in phase-sensitive mode with a spectral width of 3398 Hz. The ROESY spectrum was acquired with a mix time of 300 ms in a 1024 × 200 matrix with 24 accumulations per increment and processed in 1 K × 1 K matrix. COSY and HMBC experiments were performed with pulse field gradients. The COSY spectrum was acquired in 1024 × 256 matrix with 4 accumulations and processed in 1 K × 1 K matrix. The HMBC spectrum was acquired in phase sensitive mode. The spectral windows for 1H and 13C axes were 3398 Hz and 16341 Hz, respectively. Data were collected in 736 × 180 matrix and processed in 1 K × 1 K matrix. LC-MS analysis for compound 7: LCMS-IT-TOF LC-20A mass spectrometer (Shimadzu Scientific Instruments, Columbia, MD, USA) equipped with an electrospray ionization source capillary voltage in positive ion mode +4.5 kV; Column: Jupiter 4 u Proteo 90 Å, 4.0 × 150 mm, 4 µm, Mobile Phase: A—grade water with 0.1% formic acid, B—0.1% formic acid in acetonitrile, linear gradient 50%–100% B in 45 min, Flow Rate: 0.2 mL/min. Elemental analyses for C, H and N were performed on a 2400 Series II CHN Elemental Analyzer (PerkinElmer, Shelton, CT, USA) and are in agreement with the theoretical values within ±0.4% range. Thin-layer chromatography (TLC) was performed on Kieselgel 60F254 plates (Merck, Darmstadt, Germany) and visualized by UV illumination. The commercially unavailable substrates were obtained according to the method described previously: 3-amino-1,1-dioxopyrido[4,3-e]-1,4,2-dithiazine (2) and 3-amino-2-(4-thioxo-1,4-dihydropyridine-3-yl-sulfonyl)guanidine (3) [19].

4.2. Synthesis

4.2.1. General Procedure for the Preparation of 2-Substituted-3-hydroxypyrido[4,3-e][1,2,4]triazino[3,2-c][1,2,4]thiadiazine 6,6-dioxides 48

Method A: The mixture of 3 (1 mmol) and the appropriate 2-oxoalkanoic acid (1 mmol) in glacial acetic acid (3 mL) was stirred at reflux for 50–90 h. After standing overnight at room the precipitate was filtered off and purified by extraction of contaminations with boiling ethanol. In this manner the following compounds 48 were obtained.
2-Ethyl-3-hydroxypyrido[4,3-e][1,2,4]triazino[3,2-c][1,2,4]thiadiazine 6,6-dioxide (4). The mixture of 3 and 2-oxobutanoic acid (0.102 g), gave compound 4 as a white solid powder (0.085 g, 30%) after 50 h of heating at reflux, m.p. 302–303 °C; IR (KBr) νmax 3525 (OH), 1619 (C=C), 1586 (C=N), 1312, 1165 (SO2) cm−1; 1H-NMR (DMSO-d6) δ 1.22 (t, J = 7.32 Hz, 3H), 2.71 (q, J = 7.00 Hz, 2H), 7.98 (d, J = 5.86 Hz, 1H), 8.89 (d, J = 5,86 Hz, 1H), 9.08 (s, 1H) ppm; 13C-NMR (DMSO-d6): δ 10.11, 23.84, 111.23, 120.53, 142.33, 144.69, 146.52, 154.14, 154.23, 154.31 ppm; anal. C 42.69, H 3.07, N 24.70% calcd. for C10H9N5O3S, C 43.01, H 3.25, N 25.08%.
2-Benyzl-3-hydroxypyrido[4,3-e][1,2,4]triazino[3,2-c][1,2,4]thiadiazine 6,6-dioxide (5). The mixture of 3 and 2-oxo-3-phenylpropanoic acid (0.164 g), gave compound 5 as a white solid powder (0.076 g, 22%) after 90 h of heating at reflux, m.p. 303–305 °C; IR (KBr) νmax 3425 (OH), 1638 (C=C), 1587 (C=N), 1321, 1178 (SO2) cm−1; 1H-NMR (DMSO-d6) δ 4.04 (br. s, 2H), 7.27 (m, 2H), 7.36 (m, 2H), 7.79 (br. s, 1H), 8.86 (br. s, 1H), 9.08 (br. s, 1H) ppm; 13C-NMR (DMSO-d6) δ 36.24, 111.02, 120.55, 127.53, 129.05, 130.04, 135.89, 142.29, 144.66, 146.59, 151.79, 154.15, 154.24 ppm; anal. C 52.45, H 3.07, N 20.12% calcd. for C15H11N5O3S, C 52.78, H 3.25, N 20.52%.
3-Hydroxy-2-(2-nitrobenzyl)pyrido[4,3-e][1,2,4]triazino[3,2-c][1,2,4]thiadiazine 6,6-dioxide (6). The mixture of 3 and 3-(2-nitrophenyl)-2-oxopropanoic acid (0.209 g) gave compound 6 as a yellow solid powder (0.119 g, 31%) after 90 h of heating at reflux, m.p. 277–279 °C; IR (KBr) νmax 3442 (OH), 1636 (C=C), 1588 (C=N), 1311, 1177 (SO2) cm−1; 1H-NMR (DMSO-d6) δ 4.42 (s, 2H), 7.36 (d, J = 5.86 Hz, 1H), 7.64 (m, 1H), 7.75 (t, J = 7.32 Hz, 1H), 8.11 (d, J = 7.81 Hz, 1H), 8.80 (d, J = 5.86 Hz, 1H) 9.06 (s, 1H) ppm; 13C-NMR (DMSO-d6) δ 33.53, 110.43, 120.49, 125.57, 129.59, 130.39, 133.87, 134.42, 142.11, 144.54, 146.63, 149.64, 150.97, 154.11 ppm; anal. C 47.02, H 2.46, N 21.50% calcd. for C15H10N6O5S, C 46.63, H 2.61, N 21.75%.
3-Hydroxy-2-phenylpyrido[4,3-e][1,2,4]triazino[3,2-c][1,2,4]thiadiazine 6,6-dioxide (7). The mixture of 3 and 2-phenyl-2-oxoacetic acid (0.150 g), gave compound 7 as a white solid powder (0.150 g, 45%) after 60 h of heating at reflux, m.p. 349–350 °C; IR (KBr) νmax 3424 (OH), 1629 (C=C), 1311, 1173 (SO2) cm−1; 1H-NMR (DMSO-d6) δ 7.55 (t, 1H), 7.59 (t, 2H), 8.10 (t, 2H), 8.11 (d, J = 5.86 Hz, 1H), 8.91 (d, J = 5.86 Hz, 1H), 9.13 (s, 1H) ppm; 13C-NMR (DMSO-d6) δ 111.56, 120.78, 129.14, 129.85, 131.23, 132.00, 142.29, 144.39, 146.60, 147.54, 154.26, 154.36 ppm; LC-MS IT-TOF m/z [M + H]+ calcd. for C14H9N5O3S: 327.32, found: 328.04, tR = 22 min. Anal. C 50.99, H 3.07, N 21.05% calcd. for C14H9N5O3S, C 51.37, H 2.77, N 21.40%.
2-(2,3-Dihydro-1H-inden-5-yl)-3-hydroxypyrido[4,3-e][1,2,4]triazino[3,2-c][1,2,4]thiadiazine 6,6-di-oxide (8). The mixture of 3 and 2-(2,3-dihydro-1H-inden-5-yl)-2-oxoacetic acid (0.190 g), gave compound 8 as a white solid powder (0.098 g, 27%) after 50 h of heating at reflux, m.p. 349–350 °C; IR (KBr) νmax 3425 (OH), 1637 (C=C), 1587 (C=N), 1320, 1186 (SO2) cm−1; 1H-NMR (DMSO-d6) δ 2.05 (br. s, 2H), 2.81–3.04 (m, 4H), 7.38 (d, J = 6.35 Hz, 1H), 7.89 (d, J = 6.35 Hz, 1H), 7.94 (br. s, 1H), 8.10 (br. s, 1H), 8.92 (br. s, 1H), 9.11 (br. s, 1H) ppm; 13C-NMR (DMSO-d6) δ 25.72, 32.93, 33.09, 111.57, 120.76, 124.91, 125.50, 128.14, 129.19, 142.30, 144.36, 144.74, 146.56, 147.70, 148.41, 154.34 ppm; anal. C 55.70, H 3.26, N 18.84% calcd. for C17H13N5O3S, C 55.58, H 3.57, N 19.06%.

4.2.2. General Procedure for the Preparation of 2-Aryl-3-hydroxypyrido[4,3-e][1,2,4]triazino[3,2-c][1,2,4]thiadiazine 6,6-dioxides 920

Method B: The mixture of 3 (1 mmol) and the appropriate ethyl phenylglyoxylate (1 mmol) in glacial acetic acid (3 mL) was stirred at reflux for 22–26 h. After standing overnight at room temperature the precipitate was filtered off and purified by extraction of the impurities with boiling ethanol. In this manner the following compounds 920 were obtained.
2-(4-Chlorophenyl)-3-hydroxypyrido[4,3-e][1,2,4]triazino[3,2-c][1,2,4]thiadiazine 6,6-dioxide (9). The mixture of 3 and ethyl 2-(4-chlorophenyl)-2-oxoacetate (0.213 g) gave compound 9 as a white solid powder (0.088 g, 24%), m.p. 366–368 °C; IR (KBr) νmax 3431 (OH), 1634 (C=C), 1588 (C=N), 1323, 1180 (SO2) cm−1; 1H-NMR (DMSO-d6) δ 7.63 (d, J = 8.30 Hz, 2H), 8.13 (m, 3H), 8.92 (d, J = 5.86 Hz, 1H), 9.13 (s, 1H) ppm; 13C-NMR (DMSO-d6) δ 111.62, 120.78, 129.26, 130.03, 131.64, 136.69, 142.29, 144.45, 146.46, 146.68, 154.32 ppm; anal. C 46.08, H 2.05, N 19.02% calcd. for C14H8ClN5O3S, C 46.48, H 2.23, N 19.36%.
2-(3-Chloro-4-fluorophenyl)-3-hydroxypyrido[4,3-e][1,2,4]triazino[3,2-c][1,2,4]thiadiazine 6,6-dioxide (10). The mixture of 3 and ethyl 2-(3-chloro-4-fluorophenyl)-2-oxoacetate (0.230 g) gave compound 10 as a white solid powder (0.104 g, 27%), m.p. 389–392 °C; IR (KBr) νmax 3422 (OH), 1642 C=C), 1591 (C=N), 1318, 1182 (SO2) cm−1; 1H-NMR (DMSO-d6) δ 7.62 (t, J = 8.79 Hz, 1H), 8.11–8.22 (m, 2H), 8.23–8.33 (m, 1H), 8.92 (d, J = 5.86 Hz, 1H), 9.14 (s, 1H) ppm; 13C-NMR (DMSO-d6) δ 111.76, 117.84, 118.02, 120.45, 120.60, 120.77, 128.55, 130.99, 131.06, 131.91, 142.14, 144.30, 145.56, 146.57, 154.19, 154.45, 158.60, 160.61 ppm; anal. C 44.06, H 1.86, N 18.21% calcd. for C14H7ClFN5O3S, C 44.28, H 1.86, N 18.44%.
3-Hydroxy-2-(4-trifluormethylphenyl)pyrido[4,3-e][1,2,4]triazino[3,2-c][1,2,4]thiadiazine 6,6-dioxide (11). The mixture of 3 and ethyl 2-oxo-2-(4-trifluoromethylphenyl)acetate (0.246 g) gave compound 11 as a white solid powder (0.084 g, 21%), m.p. 378–380 °C; IR (KBr) νmax 3431 (OH), 1642 (C=C), 1589 (C=N), 1382, 1182 (SO2) cm−1; 1H-NMR (DMSO-d6) δ 7.92 (m, 2H), 8.13 (br. s, 1H), 8.29 (d, J = 6.84 Hz, 2H), 8.92 (m, 1H), 9.14 (br. s, 1H) ppm; 13C-NMR (DMSO-d6) δ 111.54, 120.80, 126.04, 130.71, 131.51, 131.77, 135.07, 142.18, 144.35, 146.60, 146.66, 154.17, 154.43 ppm; anal. C 45.25,H 1.81, N 17.42% calcd. for C15H8F3N5O3S, C 45.57, H 2.04, N 17.72%.
3-Hydroxy-2-(p-tolyl)pyrido[4,3-e][1,2,4]triazino[3,2-c][1,2,4]thiadiazine 6,6-dioxide (12). The mixture of 3 and ethyl 2-oxo-2-p-tolylacetate (0.192 g) gave compound 12 as a white solid powder (0.123 g, 36%), m.p. 359–360 °C; IR (KBr) νmax 3430 (OH), 1633 (C=C), 1587 (C=N), 1321, 1176 (SO2) cm−1; 1H-NMR (DMSO-d6) δ 2.39 (s, 3H), 7.36 (m, J = 7.81 Hz, 2H), 8.03 (m, J = 7.81 Hz, 2H), 8.11 (d, J = 5.86 Hz, 1H), 8.91 (d, J = 5.86 Hz, 1H), 9.12 (s, 1H) ppm; 13C-NMR (DMSO-d6) δ 21.80, 111.56, 120.77, 128.48, 129.74, 129.76, 142.12, 142.30, 144.37, 146.58, 147.27, 154.33 ppm; anal. C 52.9, H 3.07, N 20.36% calcd. for C15H11N5O3S, C 52.78, H 3.25, N 20.52%.
2-(4-Ethylphenyl)-3-hydroxypyrido[4,3-e][1,2,4]triazino[3,2-c][1,2,4]thiadiazine 6,6-dioxide (13). The mixture of 3 and ethyl 2-(4-ethylphenyl)-2-oxoacetate (0.206 g) gave compound 13 as a white solid powder (0.084, 23%), m.p. 375–379 °C; IR (KBr) νmax 3441 (OH), 1633 (C=C), 1587 (C=N), 1321, 1176 (SO2) cm−1; 1H-NMR (DMSO-d6) δ 1.21 (t, J = 7.57 Hz, 3H), 2.69 (q, J = 7.32 Hz, 2H), 7.39 (d, J = 8.30 Hz, 2H), 8.03 (d, J = 8.30 Hz, 2H), 8.11 (d, J = 5.86 Hz, 1H), 8.91 (d, J = 5.86 Hz, 1H), 9.12 (s, 1H) ppm; 13C-NMR (DMSO-d6) δ 15.76, 28.77, 111.56, 120.95, 128.50, 128.68, 129.87, 142.41, 144.44, 146.34, 147.66, 148.36, 154.15, 154.23 ppm; anal. C 53.81, H 3.53, N 19.41% calcd. for C16H13N5O3S, C 54.08, H 3.69, N 19.71%.
3-Hydroxy-2-(4-propylphenyl)pyrido[4,3-e][1,2,4]triazino[3,2-c][1,2,4]thiadiazine 6,6-dioxide (14). The mixture of 3 and ethyl 2-oxo-2-(4-propylphenyl)acetate (0.220 g) gave compound 14 as a white solid powder (0.092, 25%), m.p. 343–345 °C; IR (KBr) νmax 3417 (OH), 1627 (C=C), 1583 (C=N), 1318, 1167 (SO2) cm−1; 1H-NMR (DMSO-d6) δ 0.91 (t, J = 7.32 Hz, 3H), 1.56–1.58 (m, 2H), 2.63 (t, J = 7.57 Hz, 2H), 7.37 (d, J = 8.30 Hz, 2H), 8.03 (d, J = 8.30 Hz, 2H), 8.11 (d, J = 5.86 Hz, 1H), 8.91 (d, J = 5.86 Hz, 1H), 9.12 (s, 1H) ppm; 13C-NMR (DMSO-d6) δ 14.30, 24.61, 37.79, 111.57, 120.77, 128.76, 129.15, 129.81, 142.31, 144.37, 146.58, 146.65, 147.38, 154.33 ppm; anal. C 55.27, H 4.09, N 18.86% calcd. for C17H15N5O3S, C 55.02, H 3.96, N 18.54%.
3-Hydroxy-2-(4-isopropylphenyl)pyrido[4,3-e][1,2,4]triazino[3,2-c][1,2,4]thiadiazine 6,6-dioxide (15). The mixture of 3 and ethyl 2-(4-isopropylphenyl)-2-oxoacetate (0.220 g) gave compound 15 as a white solid powder (0.092 g, 25%), m.p. 361–362 °C; IR (KBr) νmax 3430 (OH), 1638 (C=C), 1588 (C=N), 1322, 1182 (SO2) cm−1; 1H-NMR (DMSO-d6) δ 1.24 (d, J = 6.84 Hz, 6H), 2.89–3.03 (m, 1H), 7.42 (d, J = 7.81 Hz, 2H), 8.02 (d, J = 8.30 Hz, 2H), 8.10 (d, J = 5.86 Hz, 1H), 8.91 (d, J = 5.86 Hz, 1H), 9.12 (s, 1H) ppm; 13C-NMR (DMSO-d6) δ 24.19, 34.07, 111.57, 120.91, 127.06, 128.82, 129.95, 142.42, 144.49, 146.37, 147.70, 152.86, 154.18, 154.29 ppm; anal. C 54.93, H 3.95, N 18.75% calcd. for C17H15N5O3S, C 55.27, H 4.09, N 18.96%.
3-Hydroxy 2-(4-isobutylphenyl)pyrido[4,3-e][1,2,4]triazino[3,2-c][1,2,4]thiadiazine 6,6-dioxide (16). The mixture of 3 and ethyl 2-(4-isobutylphenyl)-2-oxoacetate (0.234 g) gave compound 16 as a white solid powder (0.085 g, 22%), m.p. 359–361 °C; IR (KBr) νmax 3428 (OH), 1634 (C=C), 1589 (C=N), 1322, 1177 (SO2) cm−1; 1H-NMR (DMSO-d6) δ 0.88 (d, J = 6.35 Hz, 6H), 1.89 (m, 1H), 2.53 (d, J = 6.84 Hz, 2H), 7.34 (d, J = 7.81 Hz, 2H), 8.03 (d, J = 7.81 Hz, 2H), 8.12 (d, J = 5.86 Hz, 1H), 8.91 (d, J = 5.37 Hz, 1H), 9.12 (s, 1H) ppm; 13C-NMR (DMSO-d6) δ 22.79, 30.23, 45.06, 111.62, 120.76, 128.74, 129.69, 142.37, 144.48, 145.72, 146.42, 147.51, 154.26 ppm; anal. C 55.98, H 4.36, N 18.05% calcd. for C18H17N5O3S, C 56.38, H 4.47, N 18.27%.
2-(4-tert-Butylpheny)-3-hydroxypyrido[4,3-e][1,2,4]triazino[3,2-c][1,2,4]thiadiazine 6,6-dioxide (17). The mixture of 3 and ethyl 2-(4-tert-butylphenyl)-2-oxoacetate (0.234 g) gave compound 17 as a white solid powder (0.234 g, 37%), m.p. 385–387 °C; IR (KBr) νmax 3444 (OH), 1638 (C=C), 1589 (C=N), 1324, 1183 (SO2) cm−1; 1H-NMR (DMSO-d6) δ 1.32 (br. s., 9H), 7.56 (d, J = 7.32 Hz, 2H), 8.01 (d, J = 7.32 Hz, 2H), 8.10 (d, J = 5.37 Hz, 1H), 8.91 (d, J = 5.37 Hz, 1H), 9.12 (br. s., 1H) ppm; 13C-NMR (DMSO-d6) δ 31.58, 35.40, 111.53, 120.76, 125.97, 128.51, 129.69, 142.31, 144.41, 146.58, 147.47, 154.30, 154.90 ppm; anal. C 56.10, H 4.46, N 18.14% calcd. for C18H17N5O3S, C 56.38, H 4.47, N 18.27%.
2-(4-Ethoxyphenyl)-3-hydroxypyrido[4,3-e][1,2,4]triazino[3,2-c][1,2,4]thiadiazine 6,6-dioxide (18). The mixture of 3 and ethyl 2-(4-ethoxyphenyl)-2-oxoacetate (0.222 g) gave compound 18 as a white solid powder (0.081 g, 21%), m.p. 321–322 °C; IR (KBr) νmax 3543 (OH), 1626 (C=C), 1581 (C=N), 1316, 1167 (SO2) cm−1; 1H-NMR (DMSO-d6) δ 1.36 (t, J = 7.08 Hz, 3H), 4.12 (q, J = 7.16 Hz, 2H), 7.08 (d, J = 8.79 Hz, 2H), 8.12 (m, 1H), 8.91 (d, J = 5.86 Hz, 1H), 9.11 (s, 1H) ppm; 13C-NMR (DMSO-d6) δ 15.11, 64.25, 111.59, 115.18, 120.95, 123.45, 131.61, 142.44, 144.46, 146.32, 147.03, 154.12, 154.41, 161.87 ppm; anal. C 51.55, H 3.40, N 18.49% calcd. for C16H13N5O4S, C 51.75, H 3.53, N 18.86%.
2-(4-Methoxy-3-methylphenyl)-3-hydroxypyrido[4,3-e][1,2,4]triazino[3,2-c][1,2,4]thiadiazine 6,6-dioxide (19). The mixture of 3 and ethyl 2-(4-methoxy-3-methylphenyl)-2-oxoacetate (0.236 g) gave compound 19 as a white solid powder (0.091 g, 24%), m.p. 318–320 °C; IR (KBr) νmax 3430 (OH), 1632 (C=C), 1591 (C=N), 1327, 1170 (SO2) cm−1; 1H-NMR (DMSO-d6) δ 2.24 (s, 3H), 3.87 (s, 3H), 7.09 (d, J = 8.79 Hz, 1H), 7.93 (s, 1H), 8.06 (dd, J = 8.79 Hz, 1H), 8.14 (d, J = 5.86 Hz, 1H), 8.92 (d, J = 5.86 Hz, 1H), 9.11 (s, 1H) ppm; 13C-NMR (DMSO-d6) δ 16.83, 56.28, 110.69, 111.64, 120.74, 123.08, 126.53, 129.77, 131.42, 142.33, 144.34, 146.53, 146.85, 154.31, 154.43, 160.67 ppm; anal. C 51.88, H 3.45, N 18.50% calcd. for C16H13N5O4S, C 51.75, H 3.53, N 18.86%.
2-(Benzo[d][1,3]dioxol-5-yl)-3-hydroxypyrido[4,3-e][1,2,4]triazino[3,2-c][1,2,4]thiadiazine 6,6-dioxide (20). The mixture of 3 and ethyl 2-(benzo[d][1,3]dioxol-5-yl)-2-oxoacetate (0.222 g) gave compound 20 as a white solid powder (0.084 g, 23%), m.p. 319–320 °C; IR (KBr) νmax 3424 (OH), 1632 (C=C), 1588 (C=N), 1321, 1174 (SO2) cm−1; 1H-NMR (DMSO-d6) δ 6.14 (s, 2H), 7.09 (d, J = 8.30 Hz, 1H), 7.64 (s, 1H), 7.76–7.84 (m, 1H), 8.17 (d, J = 5.86 Hz, 1H), 8.90 (d, J = 6.35 Hz, 1H), 9.11 (s, 1H) ppm; 13C-NMR (DMSO-d6) δ 102.50, 108.92, 109.27, 111.74, 120.66, 124.88, 125.43, 142.26, 144.29, 146.39, 146.59, 148.11, 150.58, 154.30 ppm; anal. C 48.41, H 2.36, N 18.51% calcd. for C15H9N5O3S, C 48.52, H 2.44, N 18.86%.

4.2.3. General Procedure for the Preparation of 3-Phenylpyrido[4,3-e][1,2,4]triazino[3,2-c][1,2,4]-thiadiazine 6,6-dioxides 2128

The mixture of 3 (2.5 mmol) and the appropriate phenylglyoxal hydrate (2.5 mmol) in glacial acetic acid (6 mL) was stirred at reflux for 23–31 h. After standing at room temperature, the precipi-tate was filtered off and dried. A final purification was described below.
3-Phenylpyrido[4,3-e][1,2,4]triazino[3,2-c][1,2,4]thiadiazine 6,6-dioxide (21). The mixture of 3 and 1-phenyl-2,2-dihydroxyethanone (0.380 g) gave compound 21 as a dark yellow solid powder. The product was purified by extraction of contaminants with boiling ethanol (0.437 g, 56%), m.p. 259–261 °C; IR (KBr) νmax 1575 (C=N), 1315, 1123 (SO2) cm−1; 1H-NMR (DMSO-d6) δ 7.69 (m, 2H); 7.80 (m, 1H); 8.15 (d, J = 4.88 Hz, 1H); 8.43 (d, J = 7.32 Hz, 2H); 9.00 (d, J = 5.37 Hz, 1H); 9.24 (br. s, 1H); 9.51 (br. s, 1H) ppm; 13C-NMR (DMSO-d6) δ 111.95, 120.76, 129.91, 130.20, 132.24, 135.58, 137.37, 142.24, 146.70, 146.87, 154.19, 162.63 ppm; anal. C 53.78, H 2.94, N 22.25% calcd. for C14H9N5O3S, C 54.01, H 2.91, N 22.50%.
3-(3-Fluorophenyl)pyrido[4,3-e][1,2,4]triazino[3,2-c][1,2,4]thiadiazine 6,6-dioxide (22). The mixture of 3 and 1-(3-fluorophenyl)-2,2-dihydroxyethanone (0.425 g) gave compound 22 as a white solid powder. The product was purified by extraction of contaminants with boiling benzene and crystallization from acetonitrile (0.172 g, 20%), m.p. 264–266 °C; IR (KBr) νmax 1580 (C=N), 1306, 1119 (SO2) cm−1; 1H-NMR (DMSO-d6) δ 7.68 (m, 1H), 7.75 (m, 1H), 8.18 (d, 1H), 8.28 (m, 2H), 9.02 (d, 1H), 9.24 (s, 1H), 9.51 (s, 1H) ppm; 13C-NMR (DMSO-d6) δ 112.17, 116.38, 116.57, 120.89, 122.46, 122.63, 126.26, 126.28, 132.57, 132.64, 134.68, 134.74, 137.50, 142.36, 146.71, 147.09, 154.45, 161.91, 162.25, 164.21 ppm; anal. C 50.83, H 2.49, N 20.92% calcd. for C14H8FN5O2S, C 51.06, H 2.45, N 21.27%.
3-[4-(Trifluoromethyl)phenyl]pyrido[4,3-e][1,2,4]triazino[3,2-c][1,2,4]thiadiazine 6,6-dioxide (23). The mixture of 3 and 2,2-dihydroxy-1-[4-(trifluoromethyl)phenyl]ethanone (0.550 g) gave compound 23 as a white solid powder. The product was purified by extraction of contaminants with boiling benzene and crystallization from acetonitrile (0.151 g, 15%), m.p. 292–295 °C; IR (KBr) νmax 1594 (C=N), 1324, 1117 (SO2) cm−1; 1H-NMR (DMSO-d6) δ 8.07–8.18 (m, 3H), 8.60–8.62 (m, 2H), 9.02–9.03 (m, 1H), 9.25 (s, 1H), 9.56 (s, 1H) ppm; 13C-NMR (DMSO-d6) δ 112.20, 120.89, 127.13, 127.15, 130.80, 136.16, 137.63, 142.33, 146.73, 147.12, 154.50, 162.03 ppm; anal. C 47.65, H 2.13,N 18.24% calcd. for C15H8F3N5O2S, C 47.50, H 2.13, N 18.46%.
3-(3,4-Difluorophenyl)pyrido[4,3-e][1,2,4]triazino[3,2-c][1,2,4]thiadiazine 6,6-dioxide (24). The mixture of 3 and 1-(3,4-difluorophenyl)-2,2-dihydroxyethanone (0.470 g) gave compound 24 as a white solid powder. The product was purified by extraction of contaminants with boiling ethanol (0.197 g, 24%), m.p. 309–311 °C; IR (KBr) νmax 1582 (C=N), 1313, 1120 (SO2) cm−1; 1H-NMR (DMSO-d6)δ 7.70 (t, J = 7.57 Hz, 1H), 8.18 (d, J = 5.86 Hz, 1H), 8.30 (d, J = 8.30 Hz, 1H), 8.44 (d, J = 10.74 Hz, 1H), 9.02 (d, J = 5.86 Hz, 1H), 9.25 (s, 1H), 9.50 (s, 1H) ppm; 13C-NMR (DMSO-d6) δ 110.98, 113.24, 115.50, 122.52, 126.23, 131.58, 131.72, 131.98, 132.04, 133.14, 136.99, 142.11, 144.45, 146.69, 147.73, 160.26 ppm; anal. C 48.12, H 2.13, N 19.88% calcd. for C14H7F2N5O2S, C 48.42, H 2.03, N 20.17%.
3-(3-Methoxyphenyl)pyrido[4,3-e][1,2,4]triazino[3,2-c][1,2,4]thiadiazine 6,6-dioxide (25). The mixture of 3 and 2,2-dihydroxy-1-(3-methoxyphenyl)ethanone (0.455 g) gave compound 25 as a yellow solid powder. The product was purified by extraction of contaminants with boiling ethanol (0.400 g, 47%), m.p. 270–272 °C; IR (KBr) νmax 1586 (C=N), 1299, 1164 (SO2) cm−1; 1H-NMR (DMSO-d6) δ 3.90 (s, 3H), 7.39 (m, 1H), 7.62 (t, 1H), 7.91 (s, 1H), 8.03 (m, 1H), 8,16 (m, 1H), 9.02 (m, 1H), 9.23 (s, 1H), 9.52 (s, 1H) ppm; 13C-NMR (DMSO-d6) δ 55.65, 111.50, 113.53, 120.25, 121.34, 122.00, 131.00, 133.08, 137.00, 141.74, 146.14, 146.80, 153.75, 160.01, 161.90 ppm; anal. C 52.44, H 3.07, N 20.29% calcd. for C15H11N5O3S, C 52.78, H 3.25, N 20.52%.
3-(4-Methoxyphenyl)pyrido[4,3-e][1,2,4]triazino[3,2-c][1,2,4]thiadiazine 6,6-dioxide (26). The mixture of 3 and 2,2-dihydroxy-1-(4-methoxyphenyl)ethanone (0.455 g) gave compound 26 as a yellow solid powder. The product was purified by crystallization from acetonitrile (0.169 g, 25%), m.p. 276–278 °C; IR (KBr) νmax 1579 (C=N), 1301, 1164 (SO2) cm−1; 1H-NMR (DMSO-d6) δ 3.93 (s, 3H), 7.25 (d, 2H), 8.12–8.13 (m, 2H), 8.44–8.46 (m, 2H), 8.98–8.99 (m, 1H), 9.20 (s, 1H), 9.46 (s, 1H) ppm; 13C-NMR (DMSO-d6) δ 56.72, 112.00, 116.10, 121.03, 124.72, 132.75, 137.45, 142.50, 146.94, 154.25, 161.56, 165.93 ppm; anal. C 52.65, H 3.03, N 20.34% calcd. for C15H11N5O3S, C 52.78, H 3.25, N 20.52%.
3-(3,4-Dimethoxyphenyl)pyrido[4,3-e][1,2,4]triazino[3,2-c][1,2,4]thiadiazine 6,6-dioxide (27). The mixture of 3 and 1-(3,4-dimethoxyphenyl)-2,2-dihydroxyethanone (0.530 g) gave compound 27 as an orange solid powder. The product was purified by extraction of contaminants with boiling ethanol (0.490 g, 53%), m.p. 264–265 °C; IR (KBr) νmax 1566 (C=N), 1302, 1111(SO2) cm−1; 1H-NMR (DMSO-d6) δ 3.91 (s, 3H), 3.94 (s, 3H), 7.27–7.28 (d, 1H), 7.86–7.90 (m, 1H), 8.12–8.13 (s, 1H), 8.17–8.21 (m, 1H), 8.98–8.99 (m,1H), 9.20 (s, 1H), 9.51 (s, 1H) ppm; 13C-NMR (DMSO-d6) δ 55.37, 55.69, 111.24, 111.54, 116.03, 122.62, 123.62, 127.69, 128.21, 137.73, 141.83, 144.37, 147.40, 147.95, 149.98, 158.12 ppm; anal. C 51.37H 3.18, N 18.52% calcd. for C16H13N5O4S, C 51.75, H 3.53, N 18.86%.
3-(3,4,5-Trimethoxyphenyl)pyrido[4,3-e][1,2,4]triazino[3,2-c][1,2,4]thiadiazine 6,6-dioxide (28). The mixture of 3 and 2,2-dihydroxy-1-(3,4,5-trimethoxyphenyl)ethanone (0.605 g) gave compound 28 as a red solid powder. The product was purified by extraction of contaminants with boiling acetonitrile (0.283 g, 28%), m.p. 257–259 °C; IR (KBr) νmax 1572 (C=N), 1316, 1114 (SO2) cm−1; 1H-NMR (DMSO-d6) δ 3.84 (s, 3H), 3.94 (s, 6H), 7.73 (s, 2H), 8.15–8.16 (m, 1H), 9.00–9.01 (m, 1H), 9.22 (s, 1H), 9.59 (s, 1H) ppm; 13C-NMR (DMSO-d6) δ 55.74, 61.12, 108.28, 116.12, 122.61, 125.65, 137.64,141.92, 144.52, 146.15, 147.12, 147.81, 153.22 ppm; anal. C 50.63, H 3.65, N 17.30% calcd. for C17H15N5O5S, C 50.87, H 3.77, N 17.45%.

4.3. Biological Methods

Cell Culture and Cell Viability Assay

All chemicals, if not stated otherwise, were obtained from Sigma-Aldrich (St. Louis, MO, USA). The MCF-7 cell line was purchased from Cell Lines Services (Eppelheim, Germany), the HeLa and HCT-116 cell lines were obtained from the Department of Microbiology, Tumor and Cell Biology, Karolinska Institute (Stockholm, Sweden). Cells were cultured in in Dulbecco’s modified Eagle’s medium (DMEM) supplemented with 10% fetal bovine serum, 2 mM glutamine, 100 units/mL penicillin, and 100 μg/mL streptomycin. Cultures were maintained in a humidified atmosphere with 5% CO2 at 37 °C in an incubator (Hera Cell, Heraeus, Langenselbold, Germany). Cell viability was determined using the MTT (3-(4,5-dimethylthiazol-2-yl)-2,5-diphenyl-tetrazoliumbromide) assay. Cells were seeded in 96-well plates at a density of 5 × 103 cells/well and treated for 72 h with the examined compounds in the concentration range 1–100 μM. Cisplatin was used as a control compound and was examined in the concentration range 0.01–10 μM. Following treatment, MTT (0.5 mg/mL) was added to the medium and cells were further incubated for 2 h at 37 °C. Cells were lysed with DMSO and the absorbance of the formazan solution was measured at 550 nm with a plate reader (1420 multilabel counter, Victor, Jügesheim, Germany). The optical density of the formazan solution was measured at 550 nm with a plate reader (Victor 1420 multilabel counter). The experiment was performed in triplicate. Results are expressed as IC50 values. Values are expressed as the mean ± SD of at least three independent experiments.

5. Conclusions

We have developed methods for the synthesis of novel heterocyclic pyrido[4,3-e][1,2,4]triazino[3,2-c][1,2,4]thiadiazine 6,6-dioxide ring system derivatives 428 by the reactions of 3-amino-2-(4-thioxo-1,4-dihydropyridine-3-sulfonyl)guanidine 3 with either 2-oxo-alkanoic acids and their esters, or phenylglyoxylate hydrate in glacial acetic acid. We found that some of 3-phenylpyrido[4,3-e][1,2,4]triazino[3,2-c][1,2,4]thiadiazine 6,6-dioxides 22, 23, 25 and 28 exhibited structure-dependent reasonable or moderate anticancer activity with IC50 = 25–57 μM, against MCF-7 (breast) and HeLa (cervical cancer), and distinct activity and selectivity towards HCT-116 colon cancer cell line, particularly for compounds 22, 23 and 2528 with IC50 values in the range of 9–47 μM. These promising results encouraged us for further synthesis and biological evaluations of related 3-aryl substituted derivatives, along with potency optimisation, and will be published elsewhere.

Supplementary Materials

Supplementary materials can be accessed at: https://www.mdpi.com/1420-3049/21/1/41/s1.

Acknowledgments

This research was partially supported by the Ministry of Science and Higher Education of the Republic of Poland, from the quality promoting subsidy under the Leading National Research Centre (KNOW) programme for the years 2012–2017.

Author Contributions

J.S. created the concept, and designed the study. A.G. performed chemical research. J.S., A.G. and B.Ż. analyzed both chemical and biological data. J.S., A.G. and B.Ż. wrote the manuscript together. A.K. tested the biological activity of the compounds and interpreted the results. All Authors read and approved the final version of the article.

Conflicts of Interest

The authors declare no conflict of interest.

References

  1. Noncommunicable Diseases. Available online: http://www.who.int/mediacentre/factsheets/fs355/en/ (accessed on 1 January 2015).
  2. Brzozowski, Z.; Sławiński, J.; Kędzia, A.; Kwapisz, E.; Gdaniec, M. Application of 3-methylthiopyrido[4,3-e]-1,4,2-dithiazine 1,1-dioxide to the synthesis of novel series of 4H-pyrido[4,3-e]-1,2,4-thiadiazine derivatives with potential biological activity. J. Heterocycl. Chem. 2009, 46, 1396–1403. [Google Scholar] [CrossRef]
  3. Gobis, K.; Foks, H.; Sławiński, J.; Augustynowicz-Kopeć, E.; Napiórkowska, A. Synthesis and biological activity of novel 3-heteroaryl-2H-pyrido[4,3-e][1,2,4]thiadiazine and 3-heteroaryl-2H-benzo[e][1,2,4]thia-diazine 1,1-dioxides. Monatsh. Chem. 2013, 144, 1197–1203. [Google Scholar] [CrossRef] [PubMed]
  4. Sławiński, J.; Gdaniec, M. Synthesis, molecular structure and in vitro antitumor activity of new 4-chloro-2-mercaptobenzenesulfonamide derivatives. Eur. J. Med. Chem. 2005, 40, 377–389. [Google Scholar] [CrossRef] [PubMed]
  5. Walters, T.R.; Aur, R.J.A.; Hernandez, K.; Vietti, T.; Pinkel, D. 6-Azauridine in combination chemotherapy of childhood acute myelocytic leukemia. Cancer 1972, 29, 1057–1060. [Google Scholar] [CrossRef]
  6. Saad, H.A.; Moustafa, A.H. Synthesis and anticancer activity of some new s-glycosyl and s-alkyl 1,2,4-triazinone derivatives. Molecules 2011, 16, 5582–5700. [Google Scholar] [CrossRef] [PubMed]
  7. Hay, M.P.; Pruijn, F.B.; Gamage, S.A.; Liyanage, H.D.; Kovacs, M.S.; Patterson, A.V.; Wilson, W.R.; Brown, J.M.; Denny, W.A. DNA-targeted 1,2,4-benzotriazine 1,4-dioxide: Potent analogues of the hypoxia selective cytotoxin tirapazamine. J. Med. Chem. 2004, 47, 475–488. [Google Scholar] [CrossRef] [PubMed]
  8. Sztanke, K.; Pasternak, K.; Rzymowska, J.; Sztanke, M.; Kandefer-Szerszeń, M. Synthesis, structure elucidation and identification of antitumoural properties of novel fused 1,2,4-triazine aryl derivatives. Eur. J. Med. Chem. 2008, 43, 1085–1094. [Google Scholar] [CrossRef] [PubMed]
  9. Sztanke, M.; Rzymowska, J.; Sztanke, K. Synthesis, structure elucidation and in vitro anticancer activities of novel derivatives of diethyl (2E)-2-[(2E)-(1-arylimidazolidin-2-ylidene)hydrazono]succinate and ethyl (4-oxo-8-aryl-4,6,7,8-tetrahydroimidazo[2,1-c][1,2,4]triazin-3-yl)acetate. Bioorg. Med. Chem. 2013, 21, 7465–7480. [Google Scholar] [CrossRef] [PubMed]
  10. Krauth, F.; Dahse, H.M.; Rüttinger, H.H.; Frohberg, P. Synthesis and characterization of novel 1,2,4-tria-zine derivatives with antiproliferative activity. Bioorg. Med. Chem. 2010, 18, 1816–1821. [Google Scholar] [CrossRef] [PubMed]
  11. Negwer, M. Organic-Chemical Drugs and Their Synonyms; Akademie Verlag: Berlin, Germany, 2004. [Google Scholar]
  12. Shah, S.S.; Rivera, G.; Ashfaq, M. Recent advances in medicinal chemistry of sulfonamides. Rational design as anti-tumoral, anti-bacterial and anti-inflammatory agents. Mini Rev. Med. Chem. 2013, 13, 70–86. [Google Scholar] [CrossRef] [PubMed]
  13. Szafrański, K.; Sławiński, J. Synthesis of novel 1-(4-substituted pyridine-3-sulfonyl)-3-phenylureas with potential antitumor activity. Molecules 2015, 20, 12029–12044. [Google Scholar] [CrossRef] [PubMed]
  14. Sławiński, J.; Żołnowska, B.; Brzozowski, Z.; Kawiak, A.; Belka, M.; Bączek, T. Synthesis and QSAR study of novel 6-chloro-3-(2-arylmethylene-1-methylhydrazino)-1,4,2-benzodithiazine 1,1-dioxide derivatives with anticancer activity. Molecules 2015, 20, 5754–5770. [Google Scholar] [CrossRef] [PubMed]
  15. Sławiński, J.; Brzozowski, Z.; Żołnowska, B.; Szafrański, K.; Pogorzelska, A.; Vullo, D.; Supuran, C.T. Synthesis of a new series of N4-substituted 4-(2-aminoethyl)benzenesulfonamides and their inhibitory effect on human carbonic anhydrase cytosolic isozymes I and II and transmembrane tumor-associated isozymes IX and XII. Eur. J. Med. Chem. 2014, 84, 59–67. [Google Scholar] [CrossRef] [PubMed]
  16. Sławiński, J.; Żołnowska, B.; Orlewska, C.; Chojnacki, J. Synthesis and molecular structure of novel 2-alkylthio-4-chloro-N-(5-oxo-4,5-dihydro-1H-1,2,4-triazolo-3-yl)-5-methylbenzenesulfonamides with potential anticancer activity. Monatsh. Chem. 2012, 143, 1705–1718. [Google Scholar] [CrossRef] [PubMed]
  17. Sławiński, J.; Brożewicz, K.; Fruziński, A.; Główka, M.L. Synthesis and antitumor activity of novel N'-(2-benzylthiobenzenesulfonyl)-1H-pyrazole-1-amidine derivatives. Heterocycles 2011, 83, 1093–1109. [Google Scholar] [CrossRef]
  18. Brzozowski, Z.; Sączewski, F.; Sławiński, J. Synthesis of potassium 1,1-dioxopyrido[4,3-e]-1,4,2-dithiazine-3-thiolate and its application to the synthesis of novel sulfonamides with potential biological activity. J. Heterocycl. Chem. 2008, 45, 1407–1413. [Google Scholar] [CrossRef]
  19. Sławiński, J.; Pogorzelska, A.; Żołnowska, B.; Laskowski, T.; Sowiński, P. Synthesis and structure deter-mination of 2,3-diaryl-9,9-dioxo-1H-9-thia-1,4,4a,7,10-pentaazaphenanthrene-2-ols. Tetrahedron 2013, 69, 8675–8679. [Google Scholar] [CrossRef]
  20. Lalezari, I.; Shafiee, A.; Yalpani, M. Selective synthesis of 5- or 6-phenyl-3-alkylarnino-as-triazines. J. Heterocycl. Chem. 1971, 8, 689. [Google Scholar] [CrossRef]
  21. Zaretzki, J.; Matlock, M.; Swamidass, S.J. XenoSite: Accurately predicting CYP-mediated sites of metabolism with neural networks. J. Chem. Inf. Model. 2013, 53, 3373–3383. [Google Scholar] [CrossRef] [PubMed]
  22. Hughes, T.B.; Miller, G.P.; Swamidass, S.J. Site of reactivity models predict molecular reactivity of diverse chemicals with glutation. Chem. Res. Toxicol. 2015, 28, 797–809. [Google Scholar] [CrossRef] [PubMed]
  • Sample Availability: Samples of the compounds 428 are available from the authors.

Share and Cite

MDPI and ACS Style

Sławiński, J.; Grzonek, A.; Żołnowska, B.; Kawiak, A. Synthesis of Novel Pyrido[4,3-e][1,2,4]triazino[3,2-c][1,2,4]thiadiazine 6,6-dioxide Derivatives with Potential Anticancer Activity. Molecules 2016, 21, 41. https://doi.org/10.3390/molecules21010041

AMA Style

Sławiński J, Grzonek A, Żołnowska B, Kawiak A. Synthesis of Novel Pyrido[4,3-e][1,2,4]triazino[3,2-c][1,2,4]thiadiazine 6,6-dioxide Derivatives with Potential Anticancer Activity. Molecules. 2016; 21(1):41. https://doi.org/10.3390/molecules21010041

Chicago/Turabian Style

Sławiński, Jarosław, Aleksandra Grzonek, Beata Żołnowska, and Anna Kawiak. 2016. "Synthesis of Novel Pyrido[4,3-e][1,2,4]triazino[3,2-c][1,2,4]thiadiazine 6,6-dioxide Derivatives with Potential Anticancer Activity" Molecules 21, no. 1: 41. https://doi.org/10.3390/molecules21010041

APA Style

Sławiński, J., Grzonek, A., Żołnowska, B., & Kawiak, A. (2016). Synthesis of Novel Pyrido[4,3-e][1,2,4]triazino[3,2-c][1,2,4]thiadiazine 6,6-dioxide Derivatives with Potential Anticancer Activity. Molecules, 21(1), 41. https://doi.org/10.3390/molecules21010041

Article Metrics

Back to TopTop