Abstract
Advances in the molecular variety and the elucidation of the physical properties of 1,10-phenanthroline annulated with 1,2,5-thiadiazole and 1,2,5-thiadiazole 1,1-dioxide moieties have been achieved, and are described herein. A 1,2,5-thiadiazole compound, [1,2,5]thiadiazolo[3,4-f][1,10]phenanthroline (tdap), was used as a ligand to create multidimensional network structures based on S•••S and S•••N intermolecular interactions. A 1,2,5-thiadiazole 1,1-dioxide compound, [1,2,5] thiadiazolo[3,4-f][1,10]phenanthroline, 1,1-dioxide (tdapO2), was designed to create a stable radical anion, as well as good network structures. Single crystal X-ray structure analyses revealed that transition metal complexes of tdap, and radical anion salts of tdapO2 formed multidimensional network structures, as expected. Two kinds of tdap iron complexes, namely [Fe(tdap)2(NCS)2] and [Fe(tdap)2(NCS)2]•MeCN exhibited spin crossover transitions, and their transition temperatures showed a difference of 150 K, despite their similar molecular structures. Magnetic measurements for the tdapO2 radical anion salts revealed that the magnetic coupling constants between neighboring radical species vary from strongly antiferromagnetic (J = −320 K) to ferromagnetic (J = 24 K), reflecting the differences in their π overlap motifs.
1. Introduction
The electrical and magnetic properties of molecular crystals have been studied extensively, and various molecule-based conductors [1,2,3,4,5,6,7], superconductors [6,8,9,10,11,12,13,14], and magnetic materials [15,16,17,18,19,20,21,22,23,24,25,26,27] have been synthesized to date. The research has been characterized by the enhancement of dimensionality in intermolecular interactions. As a result of the major efforts to enhance the dimensionality of intermolecular interactions, heterocyclic sulfur nitrogen (SN) compounds, which consist of nitrogen atoms and sulfur atoms, have arisen, and their solid-state properties have been investigated in relation to their crystal structures. The heterocyclic chalcogen-nitrogen compounds have attracted much attention due to their potential to form a multidimensional network structure in their crystals, which involve X•••N and X•••X (X = S, Se, Te) contacts and π-overlaps. Furthermore, some of these compounds are known to be radical species without any protecting groups. These features are believed to bring about the unique chemical and physical properties of these materials, such as the high-Tc magnetic orderings, high conductivities and drastic structural phase transitions (see [28] and references therein). Although the intermolecular interactions are weaker than those of other heterocyclic chalcogen-nitrogen compounds, such as SeN and TeN compounds, various structures of heterocyclic SN compounds have been reported due to the convenience of their synthesis [28,29,30,31,32,33].
The synthesis of a closed-shell SN compound, [1,2,5]thiadiazolo[3,4-f][1,10]phenanthroline (tdap, Scheme 1a), was reported in 2006 [34]. Using this compound as a ligand, the intermolecular interactions and electron spins which are the remarkable features of SN radicals can be separated into the 1,2,5-thiadiazole moieties and the transition metal ions, respectively. By this method, the stability can be greatly improved, whilst simultaneously maintaining the open shell structure. In this study, a 1,2,5-thiadiazole moiety is used to introduce the intermolecular interaction to transition metal ions which have a large quantum spin number.
Scheme 1.
Molecular structures of tdap (a) and tdapO2 (b).
Scheme 1.
Molecular structures of tdap (a) and tdapO2 (b).

While the 1,2,5-thiadiazole compounds have been widely investigated in the field of solid state physics, research into their related 1,2,5-thiadiazole 1,1-dioxide compounds has been limited to solution electrochemistry, despite their unique electronic structures. Past studies of these compounds have revealed that they tend to be good electron acceptors [35]. The solution electron paramagnetic resonance (EPR) spectra of 1e reduced phenanthro[9,10-c]-1,2,5-thiadiazole 1,1-dioxide suggests the formation of a stable radical anion whose unpaired electron is delocalized over the molecule [36]. Radical anions are suitable building blocks for molecule magnets, when combined with appropriate transition metal ions. However, possibly due to the instability of the reduced species, the number of examples of radical anions is very limited. Some of the most successful radical anions are TCNE− [25,37,38], TCNQ− [37,39,40,41], DCNQI− (DCNQI: N,N’-dicyanoquinonediimine) [42] and semiquinones [43,44,45]. Most notably, V•(TCNE)x•yCH2Cl2 (x ~ 2, y ~ 1/2) has been shown to exhibit ferrimagnetism, even at room temperature (TN > 350 K) [46]. These radical anion complexes suggest the importance of stable electron acceptor molecules for molecule-based magnets and conductors. Recently, radical anion salts of [1,2,5]thiadiazolo[3,4-f][1,10]phenanthroline 1,1-dioxide (tdapO2, Scheme 1b) were reported and shown to be stable under ambient conditions and to have multidimensional network crystal structures [47,48].
In the present paper, we describe the crystal structures and spin-crossover transitions of tdap transition metal complexes, and the crystal structures and magnetic properties of radical anion salts of tdapO2.
2. Transition Metal Complexes of [1,2,5]thiadiazolo[3,4-f][1,10]phenanthroline
The synthesis of [1,2,5]thiadiazolo[3,4-f][1,10]phenanthroline (tdap, Scheme 1a) was reported in 2006 by Conte et al. [34]. They reported the luminescent properties of the EuIII complex with the ligand in 2008 [49], and the photoluminescence and electroluminescence of the TbIII complex in 2011 [50]. In addition, they reported the photonuclease activity of the FeII complex in 2010 [51]. In these papers, the crystal structures of these complexes were also reported. Thus there was no intermolecular interaction found, and the properties were discussed as single molecule features. Despite this report, we expected that the thiadiazole moiety of this ligand would have potential to form intermolecular interactions and would be a good building block for molecule-based magnets. In this chapter, we describe the crystal structures and intermolecular interactions of first-row transition metal complexes of tdap. Among them, the crystal structures and magnetic properties of two spin crossover complexes are discussed with emphasis on the intermolecular interactions and molecular structures. In this chapter, 10 kinds of novel tdap complexes ([Fe(tdap)2(NCS)2]•MeCN, [Co(tdap)2(NCS)2], [Mn(tdap)2(NCS)2]•MeCN, [Co(tdap)2(NCS)2]•MeCN, [Ni(tdap)2(NCS)2]•MeCN, [Cu(tdap)2(NCS)2]•MeCN, [Zn(tdap)2(NCS)2]•MeCN, [Mn(tdap)2Cl2], [Cu(tdap)2(NCS)2], [Cu(tdap)2(NCS)4]) are included.
2.1. [1,2,5]thiadiazolo[3,4-f][1,10]phenanthroline (tdap)
The electrochemical measurement of tdap in dimethyl sulfoxide (DMSO) has been reported, and revealed a redox peak in the reduction range (E1/2 = −1.46 V vs. a normal hydrogen electrode (NHE)) [51]. To compare the acceptor ability to the related compound tdapO2 described in a later section, the electrochemical measurement in acetonitrile (MeCN) was carried out (E1/2 = −1.93 V vs. Fc/Fc+ Figure 1, where Fc is ferrocene). These results suggest that tdap has poor acceptor ability.
Figure 1.
CV of 1 mM tdap in MeCN solution of 100 mM TBAClO4. Adapted with permission from [48]. Copyright 2013 American Chemical Society.
Figure 1.
CV of 1 mM tdap in MeCN solution of 100 mM TBAClO4. Adapted with permission from [48]. Copyright 2013 American Chemical Society.

2.2. Synthesis of Transition Metal Complexes of tdap
Single crystals of transition metal complexes of tdap were obtained by the slow diffusion method using an H-shaped glass cell purged with N2 gas [52]. Crystal solvent-free transition metal complexes [Fe(tdap)2(NCS)2] (black blocks) [53] and [Co(tdap)2(NCS)2] (orange needles) were obtained by the slow diffusion between an EtOH solution of MSO4•7H2O (M = Fe, M = Co) and KNCS, and a CH2Cl2 solution of tdap. Black prism crystals of [Fe(tdap)2(NCS)2]•CH2Cl2 and red platelet crystals of tris tdap complex [Fe(tdap)3]•(NCS)2 were obtained as a mixture with the crystals of [Fe(tdap)2(NCS)2], which were separated by viewing under a microscope [53]. Yellow platelet crystals of [Mn(tdap)2Cl2] were obtained in a similar manner using an EtOH solution of MnCl2•4H2O as a metal source.
Using a mixture of sulfonate salt of transition metal ion (MnSO4•5H2O, FeSO4•7H2O, CoSO4•7H2O, NiSO4•6H2O, CuSO4•5H2O or ZnSO4•7H2O) and potassium thiocyanate as metal sources and MeCN as a solvent, transition metal complexes of [M(tdap)2(NCS)2]•MeCN (M = Mn, Fe, Co, Ni, Cu, Zn), [Cu2(tdap)2(NCS)2] and [Cu2(tdap)2(NCS)4] were obtained. Green block crystals of [Cu(tdap)2(NCS)2]•MeCN, brown needle-shaped crystals of [Cu2(tdap)2(NCS)2] and green prismatic crystals of [Cu2(tdap)2(NCS)4] were obtained simultaneously and separated by viewing under a microscope. Crystallographic parameters for novel crystal structures are shown in the Supplementary Materials, Table S1.
2.3. Spin-Crossover Complexes of tdap
The behavior of SCO transitions is known to be greatly affected by intermolecular interactions. The magnetic properties and crystal structures of two SCO complexes of tdap are discussed in this study. The non-solvated [Fe(tdap)2(NCS)2] is reported to exhibit a SCO transition at 320 K [53]. The crystals of the solvated [Fe(tdap)2(NCS)2]•MeCN have been successfully obtained, and reveal a SCO transition at 210 K. The complex [Fe(tdap)2(NCS)2], without crystal solvent, exhibits effective S•••S intermolecular interactions. In contrast, [Fe(tdap)2(NCS)2], with a crystal solvent of MeCN, does not show effective intermolecular interactions. Hereafter, SCO transitions of [Fe(tdap)2(NCS)2]•MeCN and [Fe(tdap)2(NCS)2] are discussed from the view point of intermolecular interactions, by comparing them with the SCO transitions of [Fe(phen)2(NCS)2] (phen: 1,10-phenanthroline) [54].
2.3.1. [Fe(tdap)2(NCS)2]•MeCN
The molecular structure of [Fe(tdap)2(NCS)2]•MeCN is shown in Figure 2a. The FeII ion is surrounded by six nitrogen atoms belonging to two isothiocyanate groups in cis positions, and two tdap ligands. Therefore, the molecule is chiral and the unit cell contains two right-handed and two left-handed enantiomers. The Fe-N bond lengths are typical for those of FeII SCO complexes both in the HS state (2.1838(15)–2.2244(15) Å for Fe-Ntdap, and 2.0715(19) and 2.0953(15) Å for Fe-NCS) and LS state (1.9754(16)–1.9815(16) Å for Fe-Ntdap, and 1.9538(17) and 1.9608(16) Å for Fe-NCS) as shown in Table 1. The transition was accompanied by an expansion of the Fe-N distances in the same manner as for previously reported SCO complexes [55].
Figure 2.
Molecular structure (a) and crystal packing (b) of [Fe(tdap)2(NCS)2]•MeCN.
Figure 2.
Molecular structure (a) and crystal packing (b) of [Fe(tdap)2(NCS)2]•MeCN.

Table 1.
Selected bond lengths/Å of [Fe(tdap)2(NCS)2]•MeCN and [Fe(tdap)2(NCS)2].
| [Fe(tdap)2(NCS)2]•MeCN | [Fe(tdap)2(NCS)2] | |||
|---|---|---|---|---|
| 320 K | 120 K | 400 K | 173 K | |
| Fe-Ntdap | 2.1838(15) | 1.9786(17) | 2.183(4) | 1.966(3) |
| 2.2212(14) | 1.9808(14) | 2.196(4) | 1.969(3) | |
| 2.1843(15) | 1.9815(16) | 2.197(4) | 1.978(2) | |
| 2.2244(15) | 1.9754(16) | 2.233(4) | 1.978(3) | |
| Fe-NCS | 2.0715(19) | 1.9538(17) | 2.092(6) | 1.940(3) |
| 2.0953(17) | 1.9608(16) | 2.112(7) | 1.948(3) | |
| N-CS | 1.157(2) | 1.164(2) | 1.117(9) | 1.159(5) |
| 1.153(2) | 1.161(2) | 1.055(11) | 1.159(5) | |
Both in the HS and LS states, the space groups were P21/n, and there was a 5.5% difference in unit cell volume between the two states. This change results not only from the thermal expansion of the crystal lattice, but also from the expansion of the Fe-N distances upon the SCO transition. The crystal structure of [Fe(tdap)2(NCS)2]•MeCN, measured at 120 K, is shown in Figure 2b. In the LS state, the molecular packing exhibits S(1)•••N(11) contacts (3.017(4) Å: blue broken lines in Figure 2b), which are shorter than the sum of van der Waals (VDW) radii (3.35 Å), and weak S(2)•••S(4) (3.5911(7) Å: red broken lines in Figure 2b) contacts, which are almost the same as the sum of VDW radii (3.60 Å). Hereafter, the VDW radii given by Bondi were used (C: 1.75 Å; Cl: 1.75 Å; N: 1.55 Å; O: 1.50 Å; S: 1.80 Å) [56]. This weak S(2)•••S(4) contact forms a one-dimensional (1D) structure for the [Fe(tdap)2(NCS)2] complexes, while the S•••N short contacts quench the intermolecular interactions between complexes. After the transition to the HS state, the S(2)•••S(4) contacts show a 2.5% expansion, while the S(1)•••N(11) distance shows a 2.4% reduction. As a result, the S(2)•••S(4) distances elongated to 3.6805(8) Å, which is longer than the sum of the VDW radii, and the complexes showed less interaction in the HS state.
Magnetic susceptibility measurements of [Fe(tdap)2(NCS)2]•MeCN were performed under 0.5 T, in the temperature range of 2–400 K. Both the heating and cooling processes were performed to confirm the non-existence of structural change due to the evaporation of crystal solvent. The fact that the same profiles were observed in both processes suggests that no evaporation occurred even at 400 K. The paramagnetic susceptibility (χp) of the complex was calculated with a diamagnetic susceptibility (χdia) that was obtained by assuming that the temperature (T) dependence of χp followed the Curie law at low temperature. The temperature dependence of χp of [Fe(tdap)2(NCS)2]•MeCN is shown in Figure 3. Since there is no observable thermal hysteresis in the SCO transition, only the heating process is shown. At low temperature, below 120 K, the value of χpT is nearly constant (0.13 emu mol−1 K), though the spin state is expected to be S = 0. This is probably partially due to the presence of the HS state and/or contamination of the paramagnetic complex. Above 150 K, χpT shows a gradual increase, and reaches 3.57 emu mol−1 K at 400 K. This value is larger than the theoretical spin-only value for a 5T2g ground state (3.0 emu mol−1 K with g = 2, where g is a g-factor), indicating spin-orbital coupling.
Figure 3.
Temperature dependence of χpT of [Fe(tdap)2(NCS)2]•MeCN (blue) and [Fe(tdap)2(NCS)2] (red) [53]. Adapted by permission of The Royal Society of Chemistry).
Figure 3.
Temperature dependence of χpT of [Fe(tdap)2(NCS)2]•MeCN (blue) and [Fe(tdap)2(NCS)2] (red) [53]. Adapted by permission of The Royal Society of Chemistry).

2.3.2. [Fe(tdap)2(NCS)2]
The solvent-free [Fe(tdap)2(NCS)2] was crystallized in the Pna21 space group. The molecular structure and selected bond lengths of solvent-free [Fe(tdap)2(NCS)2] are shown in Figure 4a and Table 1, respectively. In the LS state, the Fe-N(tdap) distances are in the 1.966(3)–1.978(3) Å range and the Fe-NCS distances are 1.940(3) and 1.948(3) Å. In the HS state, Fe-N distances of [Fe(tdap)2(NCS)2] are 2.183(4)–2.197(4) Å (tdap), and 2.092(6) and 2.112(7) Å (NCS). In both states, bond distances are comparable for those of common SCO complexes in the LS state and HS state, respectively.
Figure 4b shows the crystal structure of [Fe(tdap)2(NCS)2] at 173 K, in which the complexes formed three kinds of S•••S short contacts between the thiadiazole rings and the NCS ligands (light blue lines: S(1)•••S(3) 3.3892(16) Å; pink lines: S(1)•••S(4) 3.3640(14) Å; light green lines: S(2)•••S(4) 3.5415(17) Å). These short S•••S contacts form a 3D network. This is probably attributable to the partial positive charge at the heterocyclic sulfur atom and the partial negative charge associated with the formally anionic NCS ligand.
Figure 4.
Three-dimensional network structure of solvent-free [Fe(tdap)2(NCS)2] at 173 K [53]. Adapted by permission of The Royal Society of Chemistry.
Figure 4.
Three-dimensional network structure of solvent-free [Fe(tdap)2(NCS)2] at 173 K [53]. Adapted by permission of The Royal Society of Chemistry.

After the transition from the LS to the HS state, the same space group, Pna21, is retained, while the unit cell volume is increased by 7.4%. This change results from thermal expansion of the crystal lattice, and expansion of the Fe-N distances upon the SCO transition. The intermolecular interactions between complexes are also retained with slight elongations (light blue lines: S(1)•••S(3) 3.507(3) Å; pink lines: S(1)•••S(4) 3.467(2) Å; light green lines: S(2)•••S(4) 3.564(3) Å). The Fe-N bond lengths in [Fe(tdap)2(NCS)2] at 400 K are typical for an FeII HS species.
The comparison of the crystal structures in the HS state and LS state reveals several characteristic differences. It is notable that the N(10)-C(26) distance (for the NCS ligand) in the HS state is extremely short (see Figure 4a), presumably due to chemical pressure caused by the intermolecular contacts. The N-C(S) bond lengths at 400 K (1.117(9) Å for N(9)-C(25) and 1.055(11) Å for N(10)-C(26)) were 3.6% and 9.0% shorter than those at 173 K (1.159(5) Å for N(9)-C(25) and N(10)-C(26)), while [Fe(phen)2(NCS)2] [54] and [Fe(tdap)2(NCS)2]•MeCN exhibit a slight increase of 1.6% and a decrease of 0.6% in the N-C(S) distances, respectively. A comparison between the molecular structures of the solvated and non-solvated forms indicates that the large shrinkage in the latter would be caused by its characteristically short S•••S contacts. It is hard to clearly rationalize this difference, but the expansion of the FeN6 core could be balanced by such shrinkages in the non-solvated [Fe(tdap)2(NCS)2].
Magnetic susceptibility measurements of [Fe(tdap)2(NCS)2] were performed under 0.5 T, in the temperature range of 2–400 K. The χp of the complex was calculated with a χdia that was obtained by assuming that the temperature dependence of χp followed the Curie law. The temperature dependence of χp for [Fe(tdap)2(NCS)2] is shown in Figure 3. Below 150 K, the value of χpT is nearly constant (0.21 emu mol−1 K), which is probably extrinsic. Above 180 K, χpT shows a gradual increase, and reaches 2.56 emu mol−1 K at 400 K. This value is smaller than the theoretical spin-only value for a 5T2g ground state (3.0 emu mol−1 K with g = 2), indicating an incomplete transition. It is notable that there is no thermal hysteresis in the SCO transition in [Fe(tdap)2(NCS)2], despite the intermolecular contacts in this compound. The unsubstituted 1,10-phenanthroline complex [Fe(phen)2(NCS)2] is known to exhibit a steep SCO transition at 177 K without hysteresis [54]. Since the FeN6 geometry in [Fe(tdap)2(NCS)2] is very similar to that in [Fe(phen)2(NCS)2], the intermolecular contacts in [Fe(tdap)2(NCS)2] are considered to bring about a high temperature shift of more than 100 K in the SCO transition. As described above, the intermolecular interactions of [Fe(tdap)2(NCS)2] disturb the molecular expansion of the SCO transition. As a result, the expanded structure in the HS state is destabilized, and the LS state is maintained to a high temperature.
Figure 5.
Thermal relaxation of the photo-induced paramagnetism ( Δ χMT) for [Fe(tdap)2(NCS)2] [53]. Adapted by permission of The Royal Society of Chemistry.
Figure 5.
Thermal relaxation of the photo-induced paramagnetism ( Δ χMT) for [Fe(tdap)2(NCS)2] [53]. Adapted by permission of The Royal Society of Chemistry.

Light-induced excited spin-state trapping (LIESST) experiments were performed under 0.5 T, in the temperature range of 5–120 K. An Hg-Xe lamp (550 nm, 1.5 mW cm−2) was used as a light source. The light, passing through infrared (IR) and green filters, was guided via an optical fiber into the superconducting quantum interference device (SQUID) magnetometer. The sample was placed on the edge of the optical fiber. The thermal relaxation of the paramagnetism induced by photo-irradiation at 5K (ΔχpT) is shown in Figure 5. Light irradiation brings about a magnetization increase, but is saturated to a small value that is only 1.3% of the theoretical value for a complete LS to HS transition. Since [Fe(tdap)2(NCS)2] appears as black crystals, only the surface molecules exhibit the spin transition. Upon heating, the photo-induced magnetization disappears at 80 K; this temperature is higher than that of the unsubstituted phenanthroline complex (55 K) [54].
2.4. Crystal Structures of tdap Transition Metal Complexes
2.4.1. [M(tdap)2X2]
The crystal structure of the crystal solvent-free cobalt complex [Co(tdap)2(NCS)2] is shown in Figure 6. The [Co(tdap)2(NCS)2] complexes are located on a 2-fold rotation axis. The unit cell contains two right-handed and two left-handed enantiomers of this chiral complex. The packing motif of [Co(tdap)2(NCS)2] is much different from that of the crystal solvent-free iron complex [Fe(tdap)2(NCS)2] (Figure 4). There are no short intermolecular contacts, although this crystal does not contain crystal solvents which could quench the intermolecular interaction between neighboring complexes as is observed in [Fe(tdap)2(NCS)2]•MeCN. The molecular arrangement of this crystal seems to be governed only by VDW forces and a small π-interactions (interplanar distances of ~3.47 Å) between tdap moieties.
Figure 6.
Crystal structure of [Co(tdap)2(NCS)2].
Figure 6.
Crystal structure of [Co(tdap)2(NCS)2].

The molecular structure of [Mn(tdap)2Cl2] is shown in Figure 7a. The MnII ion is surrounded by four nitrogen atoms of two tdap ligands, and two chloride ions in cis positions. The unit cell contains two right-handed and two left-handed enantiomers of this chiral complex. [Mn(tdap)2Cl2] complexes are located on a 2-fold rotation axis. The packing of the molecules in the crystals (Figure 7b) reveals S•••S contacts between thiadiazole rings (3.4105(12) Å), and S•••Cl short contacts between a thiadiazole ring and a Cl− ligand (3.5267(11) Å), which are shorter than the sum of VDW radii (3.60 and 3.55 Å, respectively). These short contacts form a two-dimensional (2D) layer.
Figure 7.
Molecular structure (a) and crystal packing (b) of [Mn(tdap)2Cl2].
Figure 7.
Molecular structure (a) and crystal packing (b) of [Mn(tdap)2Cl2].

2.4.2. [M(tdap)2X2]•solv
In crystals of [M(tdap)2(NCS)2]•MeCN (M = Mn, Co, Ni, Cu, Zn), the transition metal ions are surrounded by six nitrogen atoms belonging to two isothiocyanate groups in cis positions, and two tdap ligands. The unit cell contains two right-handed and two left-handed enantiomers of the chiral complexes. All of these complexes but the Ni complex are crystallized in the P21/n space group, and the Ni complex is crystallized in the C2/c space group.
The crystal structures of [M(tdap)2(NCS)2]•MeCN (M = Mn, Co, Cu and Zn) are isostructural to that of [Fe(tdap)2(NCS)2]•MeCN, which is shown Figure 2. Intermolecular contacts between the thiadiazole moiety and acetonitrile are found, and the intermolecular distances found in the Mn, Co, Cu and Zn complexes are 3.074(4), 3.069(4), 3.080(5) and 3.075(3) Å, respectively. The intermolecular interactions between neighboring tdap complexes are longer than that found in the Fe complex, [Fe(tdap)2(NCS)2]•MeCN at 173 K (Mn: 3.628(7), Co: 3.6251(19), Cu: 3.6333(11) and Zn: 3.6493(6) Å). The crystal structure of [Ni(tdap)2(NCS)2]•MeCN is shown in Figure 8. In the crystal of the Ni complex, no short intermolecular interaction is found, either between complexes or between a complex and an MeCN molecule.
Magnetic susceptibility measurements of [M(tdap)2(NCS)2]•MeCN (M = Mn, Co, Ni, Zn) were performed under 0.5 T, in the temperature range of 2–300 K. Curie paramagnetic behavior was found in the Mn, Co and Ni complexes, and the Zn complex exhibited diamagnetism. The measured Curie constants of the Mn, Co, Ni and Zn complexes at 300 K were 4.37, 2.95, 1.22 and 0.0057 emu mol−1 K, respectively, which are comparable to (Mn) or higher than (Co, Ni) the theoretical spin-only value. The higher value in the Co and Ni complexes was due to the spin-orbit coupling. Furthermore, the stronger magnetic anisotropy of the Co and Ni ions brought about a gradual decrease of the χpT value of the Co complex, and a small increase of the χpT value of the Ni complex.
Figure 8.
Projections of the unit cell of [Ni(tdap)2(NCS)2]•MeCN along the a (a) and c (b) axes.
Figure 8.
Projections of the unit cell of [Ni(tdap)2(NCS)2]•MeCN along the a (a) and c (b) axes.

The molecular structure and intermolecular contact between the complex and crystal solvent for [Fe(tdap)2(NCS)2]•CH2Cl2 are shown in Figure 9 [53]. The coordination geometry is nearly the same as those of [Fe(tdap)2(NCS)2] and [Fe(tdap)2(NCS)2]•MeCN. The value of the Fe-N bond length is intermediate between the usual HS state and LS state, which implies an SCO transition around this temperature (173 K). The space group and molecular packing of this compound are also nearly the same as for [Fe(tdap)2(NCS)2]•MeCN (see Figure 2). The S•••Cl contacts are found in this crystal instead of the S•••N contacts found in [Fe(tdap)2(NCS)2]•MeCN. The magnetic property of [Fe(tdap)2(NCS)2]•CH2Cl2 could not be measured due to the low yield.
Figure 9.
Intermolecular interaction in [Fe(tdap)2(NCS)2]•CH2Cl2 [53]. Adapted by permission of The Royal Society of Chemistry.
Figure 9.
Intermolecular interaction in [Fe(tdap)2(NCS)2]•CH2Cl2 [53]. Adapted by permission of The Royal Society of Chemistry.

2.4.3. [Fe(tdap)3](NCS)2
The FeII ion is surrounded by six nitrogen atoms of three tdap ligands. The unit cell contains two right-handed and two left-handed enantiomers of this chiral complex. The packing of the molecules in the crystals (Figure 10 [53]) reveals S•••N contacts between thiadiazole rings (3.271(2) Å), and S•••N and S•••S short contacts between a thiadiazole ring and a thiocyanate ion (2.994(2) and 3.4597(11) Å), which are shorter than the sum of VDW radii (S•••N: 3.35 Å, S•••S 3.60 Å). These short contacts form a dimer of complexes. There are two crystallographically nonequivalent thiocyanate ions. While one of the thiocyanate ions has a positional disorder, the other ion is fixed on a certain position, maybe due to the intermolecular interaction described above. It appears that the disordered thiocyanate ion simply fills a vacant space.
Figure 10.
Molecular structure and crystal structure of [Fe(tdap)3](NCS)2 [53]. Adapted by permission of The Royal Society of Chemistry.
Figure 10.
Molecular structure and crystal structure of [Fe(tdap)3](NCS)2 [53]. Adapted by permission of The Royal Society of Chemistry.

2.4.4. Dinuclear Copper Complexes
The crystal structure of the monovalent copper complex [Cu2(tdap)2(NCS)2] is shown in Figure 11. Two monovalent Cu ions are bridged by two thiocyanate ions. The coordination geometry around Cu ions is distorted tetrahedral, reflecting the d10 electron configuration of CuI. The tdap moieties form a π stacked column, with an interplanar distance of 3.50 Å, in the direction of the a axis. These columns are bridged by the coordination bonds of copper-thiocyanate-copper, and the [Cu2(tdap)2(NCS)2] complexes form a zig-zag sheet structure.
The crystal structure of the divalent copper complex [Cu2(tdap)2(NCS)4] is shown in Figure 12. Two Cu ions are bridged by two thiocyanate ions. In contrast to [Cu2(tdap)2(NCS)2], an additional thiocyanate ion is coordinated to a Cu ion. The geometry around a CuII ion is square pyramidal, which is formed by four squarely coordinated nitrogen atoms from a tdap and two thiocyanate ions, and a sulfur atom from a thiocyanate ion on a perpendicular axis to the square. There are short contacts between the sulfur atoms of thiocyanate ions and tdap (3.3632(7) and 3.4073 Å) which form a ladder structure. Two Cu ions face each other across the ladders. The distance between intermolecular Cu ions, which is shown as broken lines in Figure 12, is 3.5812(14) Å.
Figure 11.
Molecular structure and crystal packing of [Cu2(tdap)2(NCS)2].
Figure 11.
Molecular structure and crystal packing of [Cu2(tdap)2(NCS)2].

Figure 12.
Molecular strucure (a) and crystal packing (b) of [Cu2(tdap)2(NCS)4].
Figure 12.
Molecular strucure (a) and crystal packing (b) of [Cu2(tdap)2(NCS)4].

3. Radical Anion Salts of [1,2,5]thiadiazolo[3,4-f][1,10]phenanthroline 1,1-dioxide
The molecule tdapO2 is designed to possess a stable radical anion species, due to the strong electron-withdrawing property of the thiadiazole dioxide moiety [36,57,58,59], which enhances the acceptor ability of tdapO2. In addition, the phenanthroline and thiadiazole dioxide moieties at the molecular ends are expected to operate as a ligand and/or a proton acceptor, which can realize multi-dimensional interactions (Scheme 1b). In this chapter, we describe the electrochemical properties of tdapO2 first. Then we describe the multi-dimensional network structures and magnetic properties of the tdapO2 radical anion salts, which were reported previously [47,48], and a novel radical anion salt [CoCp2]•tdapO2.
3.1. [1,2,5]thiadiazolo[3,4-f][1,10]phenanthlorine 1,1-dioxide (tdapO2)
The molecule tdapO2 was synthesized by a reaction between the diketone precursor (1,10-phenanthroline-5,6-dione [60]) and sulfamide in ethanol [47]. Yellow block crystals of tdapO2 can be obtained by sublimation. The molecular structure obtained from the X-ray structure analysis is shown in Figure 13a,b.
The crystal structure of tdapO2 consists of a 2D layer formed by C-H•••N hydrogen bonds, as shown by the broken lines in Figure 13c. Figure 13d shows a side view of the layered structure, where the interlayer arrangement includes a S-O•••H hydrogen bond, and very partial π-overlap. Figure 13b suggests the bending of the tdapO2 molecule (ca. 15°), which may have been due to the repulsive force between neighboring molecules caused by the out-of-plane S=O bonds.
Figure 13.
Molecular structure (a,b) and crystal structure (c,d) of tdapO2. Adapted with permission from [47]. Copyright 2011 American Chemical Society.
Figure 13.
Molecular structure (a,b) and crystal structure (c,d) of tdapO2. Adapted with permission from [47]. Copyright 2011 American Chemical Society.

Figure 14 shows the CV of tdapO2, which indicates two reversible reduction peaks at –0.520 and –1.32 V vs. Fc+/Fc; these processes suggest that the mono and dianionic species of tdapO2 are stable and the acceptor ability of tdapO2 are comparable to those of the halogen-substituted p-benzoquinones [61,62,63,64]. It is notable that the related compound tdap exhibits very weak acceptor ability (see Figure 1). This means that the oxidation of the sulfur in the thiadiazole ring notably reduces the reduction potential.
Figure 14.
CV of 1 mM tdapO2 in MeCN solution of 100 mM TBAClO4. Adapted with permission from [47]. Copyright 2011 American Chemical Society.
Figure 14.
CV of 1 mM tdapO2 in MeCN solution of 100 mM TBAClO4. Adapted with permission from [47]. Copyright 2011 American Chemical Society.

Solution EPR spectrum measurement of the reduced tdapO2 was carried out on a CH2Cl2 solution of mono-anionic tdapO2, which was prepared by the following method. A purple solution of reduced tdapO2 in MeCN was prepared by potentiostatic reduction (−0.6 V vs. Ag/Ag+) of 1 mM tdapO2 in an MeCN solution of 100 mM TBAClO4. The resulting MeCN solution was then evaporated to dryness and dissolved in CH2Cl2. This CH2Cl2 solution was degassed by a frozen degassing technique, and vacuum-sealed in a quartz cell. The measured and simulated EPR spectra are shown in Figure 15. The complex hyperfine structure suggests the existence of an unpaired electron that is well delocalized over the tdapO2 skeleton.
Figure 15.
Experimental (red) and simulated (gray) solution EPR spectra of mono-anionic tdapO2. The inset shows the hyperfine coupling constants in units of mT used for the simulation, and in parentheses, the estimated spin density on the nitrogen and carbon atoms. Adapted with permission from [48]. Copyright 2011 American Chemical Society.
Figure 15.
Experimental (red) and simulated (gray) solution EPR spectra of mono-anionic tdapO2. The inset shows the hyperfine coupling constants in units of mT used for the simulation, and in parentheses, the estimated spin density on the nitrogen and carbon atoms. Adapted with permission from [48]. Copyright 2011 American Chemical Society.

Theoretical fitting was carried out, and a best fit was obtained with the following parameters: g = 2.0032, two N (I = 1) with aN = 0.349 mT, two N (I = 1) with aN = 0.025 mT, two H (I = 1/2) with aH = 0.152 mT, two H (I = 1/2) with aH = 0.148 mT, and two H (I = 1/2) with aH = 0.05 mT, where I is the nuclear spin quantum number, and aN and aH are the hyperfine coupling constants for nitrogen and hydrogen, respectively. The spin distribution on the tdapO2 radical anion was estimated from the McConell relation, aH = QCρC and aN = QNρN. QC and QN are the proportionality constants for the hydrogen-neighboring carbon, and for nitrogen, respectively [65,66]. ρC and ρN are the spin distribution on the carbon and nitrogen, respectively. Q constants of QC = −2.45 mT [67] for carbon of azaaromatic rings and QN = +2.5 mT [68] for nitrogen were applied. The calculated spin densities are 0.14 and 0.01 for each of the two distinct nitrogen atoms, and 0.06 and 0.02 for the carbon atoms neighboring a hydrogen, at position 2 and 4, and at position 3 (Figure 15 inset), respectively. The positions of each spin density are proposed by comparing the obtained value with the calculated spin density of mono-anionic tdapO2 [48].
3.2. Synthesis of Intermolecular Compounds and Anion Salts of tdapO2
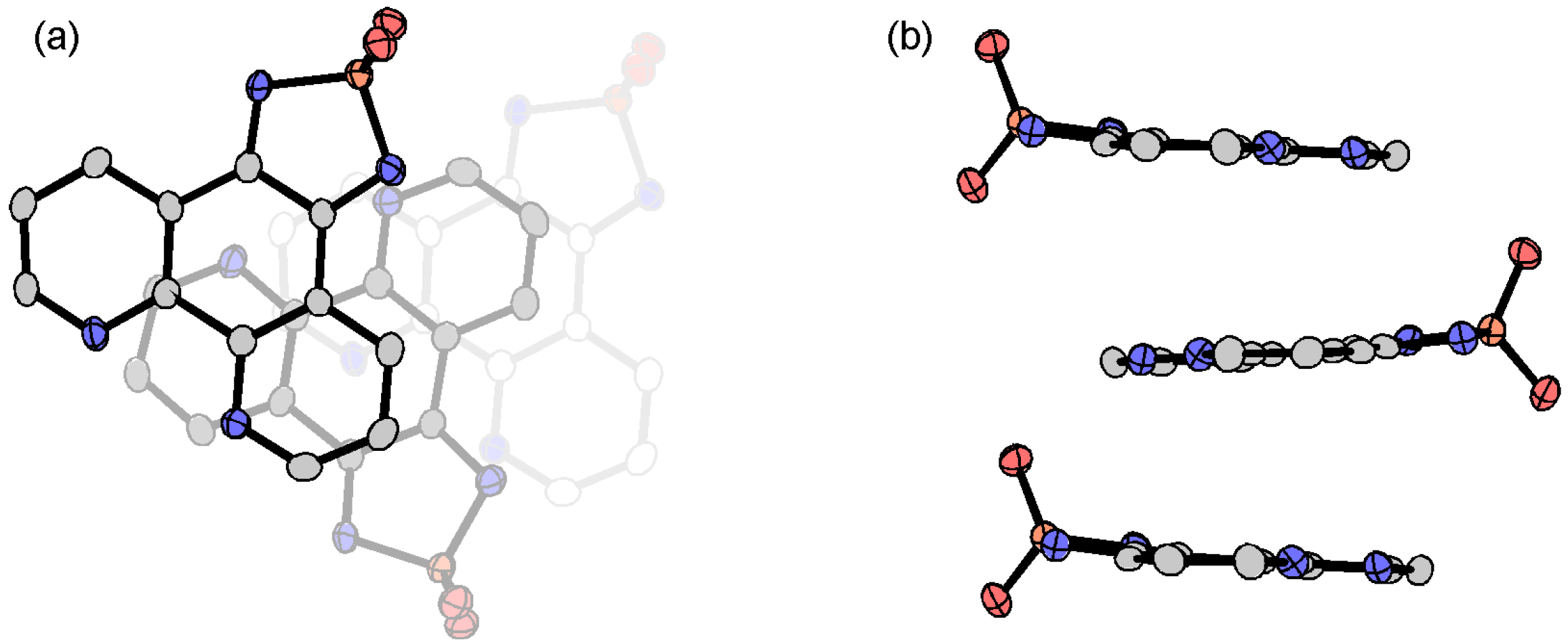
Radical anion salts of tdapO2 were prepared by electrochemical or chemical reduction. KtdapO2•0.5MeCN [47,48] and Cs7•(tdapO2)6•ClO4 [48] were synthesized by electrochemical reduction of 1 mM solution of tdapO2 and saturated KClO4 and CsClO4 as electrolytes. Higher concentration of tdapO2 gave the mixed valent salts K•(tdapO2)2 [47,48] and Rb•(tdapO2)2 [48]. Chemical reduction by the slow diffusion method using KI, NH4I, p-phenylenediamine (ppda) or cobaltocene (CoIICp2) as reductants under a N2 atmosphere produced K•tdapO2 [47,48], (NH4)2•tdapO2•I [48], Hppda•tdapO2•MeCN [48] and [CoIIICp2]•tdapO2 [52]. Crystals of intermolecular compounds of neutral tdapO2 were also obtained by slow reaction between tdapO2, and a proton donor or metal salt, namely formic acid, oxalic acid, hydroquinone, ammonium iodide or potassium thiocyanate, under ambient conditions. Reaction between tdapO2 and stronger reductants (ascorbic acid or N,N,N’,N’-tetrametyl-1,4-phenylenediamine) gave the divalent tdapO2 salts H2tdapO2•2H2O and H2tdapO2•MeCN, respectively [48]. These intermolecular compounds and salts always exhibited coordination bonding or hydrogen bonding between teapO2 and metal ions or proton donors. Single-crystal X-ray analyses for the series of the tdapO2 intermolecular compounds and salts revealed a characteristic relation between the bond lengths and the valence of tdapO2. Figure 16 shows the selected C-C bond lengths, which are shown in the inset, among the 16 tdapO2 compounds. The colors of circles indicate the stoichiometrically determined valence of tdapO2 (blue; 0, yellow; −1, red; −2, green; −0.5). The bond lengths between different states are sufficiently distinguishable, and this relationship can be used to determine the valence of tdapO2.
3.3. Crystal Structures and Magnetic Properties of Radical Anion Salts
3.3.1. Nonsolvated and Solvated Potassium Salts: K•tdapO2 and KtdapO2•0.5MeCN
The crystal structure of nonsolvated K•tdapO2 is shown in Figure 17a,b. Because the tdapO2 molecules are located on a mirror plane, the molecular structure of tdapO2 is ideally planar. The crystal structure of K•tdapO2 consists of a 2D layer, formed by a coordination polymer chain along the a + c direction (Figure 17a), and regular π-stacking along the b axis with interplanar distances of 3.30 Å (Figure 17b). It thus seems that 2D layers are connected only by VDW force.
Figure 17c,d show the crystal structure of K•tdapO2•0.5MeCN, which consists of a 2D layer formed by π-stacking along the a axis and a coordinate bonding chain along the c axis (Figure 17c). The 2D layers are connected by coordination bonds of MeCN molecules which are located between two alkali metal ions. The MeCN molecules of K•tdapO2•0.5MeCN are disordered between two K ions as shown in Figure 17c. The π-stacking chain includes a very weak alternation with interplanar distances of 3.36 and 3.42 Å. The π-overlaps between tdapO2 molecules in these salts (Figure 18b,d) are much larger than that in the neutral tdapO2 (Figure 13c), probably due to the exchange interactions between the radical anions.
Figure 16.
Selected C-C bond lengths of tdapO2 compounds for which the structure is known. The colors of the circles represent the stoichiometrically determined valence of the tdapO2. Error bars depict ±3 times the standard deviation of the bond lengths.
Figure 16.
Selected C-C bond lengths of tdapO2 compounds for which the structure is known. The colors of the circles represent the stoichiometrically determined valence of the tdapO2. Error bars depict ±3 times the standard deviation of the bond lengths.

Figure 17.
Crystal structure of K•tdapO2 (a,b) and K•tdapO2•0.5MeCN (c,d). Temperature dependence of χp for K•tdapO2 and K•tdapO2•0.5MeCN (e). Adapted with permission from [47] and [48]. Copyright 2011 and 2013 American Chemical Society.
Figure 17.
Crystal structure of K•tdapO2 (a,b) and K•tdapO2•0.5MeCN (c,d). Temperature dependence of χp for K•tdapO2 and K•tdapO2•0.5MeCN (e). Adapted with permission from [47] and [48]. Copyright 2011 and 2013 American Chemical Society.

The coordination geometry around the potassium ion and π-overlaps in K•tdapO2 and K•tdapO2•0.5MeCN are shown in Figure 18. The π-overlaps between neighboring tdapO2 molecules of these two salts are much larger than that of neutral tdapO2, probably due to the exchange interaction between radical anions. The π-overlap motifs of the nonsolvated form (Figure 18b) and the solvated form (Figure 18d) are significantly different from each other, presumably due to the geometrical difference around the potassium ions induced by MeCN coordination, as shown in Figure 18a,c.
Figure 18.
Coordination geometry around the potassium ion (a,c) and π-overlaps (b,d) in K•tdapO2 (top) and K•tdapO2•0.5MeCN (bottom). Adapted with permission from [48]. Copyright 2011 American Chemical Society.
Figure 18.
Coordination geometry around the potassium ion (a,c) and π-overlaps (b,d) in K•tdapO2 (top) and K•tdapO2•0.5MeCN (bottom). Adapted with permission from [48]. Copyright 2011 American Chemical Society.

The measurements of the temperature dependences of the magnetic susceptibility for K•tdapO2 and K•tdapO2•0.5MeCN were performed under 3 T, in the temperature range of 2–300 K (Figure 17e). The temperature dependences of χp of these radical anion salts were calculated with diamagnetic susceptibilities that were obtained as fitting parameters of the Bonner-Fisher model and Bleaney-Boweres model, respectively.
The χp of K•tdapO2 (green circles in Figure 17e) shows a gradual increase with a decrease in temperature from 300 K. After reaching a maximum at 13.5 K, χp shows a decrease, followed by another quick increase below 6.5 K. The latter behavior is probably caused by the Curie spins on the lattice defects. The χp values in the range of 16–300 K can be well fitted to the antiferromagnetic Bonner-Fisher model (Equation (1)), assuming the spin Hamiltonian in the zero field to be H = –2J ΣSi•Si+1, where J is the antiferromagnetic coupling constant, and Si and Si+1 are the monoelectronic spin operators [69,70,71]. The numerical expression is
where x = |J|/kBT. The solid curve on the open circles in Figure 17e is the theoretical best fit of this model with g = 2.00 ± 0.05 and J/kB = −13 ± 1 K, where NA is the Avogadro’s number, μB is the Bohr magneton and kB is the Boltzmann constant.
The χp of K•tdapO2•0.5MeCN (blue circles in Figure 17e) was smaller than that of K•tdapO2, reflecting the alternating nature of the π-stack column. The temperature dependence of χp for K•tdapO2•0.5MeCN decreases in temperature from 300 K and forms a broad maximum around 150 K. Further cooling induces a quick increase below 10 K due to Curie defects. The behavior at the high temperature can be fitted to the Bleaney-Bowers model (Equation (2)) with the spin Hamiltonian in zero field: H = −2J ΣS1•S2 [69,72]. The numerical expression is
The χp values in the range of 200–300 K can be well fitted with following fitting parameters: g = 2.0 ± 0.1 and J/kB = −110 ± 10 K.
3.3.2. Mixed Valent Salts: K•(tdapO2)2 and Rb•(tdapO2)2
The crystal structures of K•(tdapO2)2 and Rb•(tdapO2)2 were isostructural. Figure 19a,b shows the crystal structure of K•(tdapO2)2, which consists of two crystallographically nonequivalent tdapO2 molecules 1 (blue) and 2 (red). The bond lengths of these two tdapO2 molecules (1 and 2) are sufficiently distinguishable (green circles in Figure 16), and clearly indicate that one molecule is neutral (1) and the other molecule is anionic (2). They form an alternating π-stacking arrangement along the a + c axis, with very similar interplanar distances of 3.29 Å but different intermolecular arrangements (i) and (ii). In a similar way, the tdapO2 molecules in Rb•(tdapO2)2 form an alternating π-stacking arrangement with interplanar distances of 3.29 (i) and 3.31 Å (ii). As shown in Figure 19a, a potassium ion is tweezered by the phenanthroline moieties of the coplanar molecules 1 and 2 in different π-stacking columns, and is capped by the two thiadiazole dioxide moieties from both sides of the plane. These salts are in a class I mixed valence state [73], or, in other words, in a charge-ordered state—a state that has attracted much attention in recent years. Figure 19b indicates that the molecules 1 and 2 exhibit a checker-board-type charge ordering [74].
Figure 19.
Crystal structure (a,b) of K•(tdapO2)2 and temperature dependence of χp (c) for K•(tdapO2)2 and Rb•(tdapO2)2. Adapted with permission from [47] and [48]. Copyright 2011 and 2013 American Chemical Society.
Figure 19.
Crystal structure (a,b) of K•(tdapO2)2 and temperature dependence of χp (c) for K•(tdapO2)2 and Rb•(tdapO2)2. Adapted with permission from [47] and [48]. Copyright 2011 and 2013 American Chemical Society.

Figure 19c depicts the temperature dependence of χp for K•(tdapO2)2 and Rb•(tdapO2)2, where the molar unit contains two tdapO2 molecules. The behavior of K•(tdapO2)2 (green circles in Figure 19c) in the temperature range from 33 to 350 K can be fitted to the Bonner-Fisher model (Equation (1)) with the following fitting parameters: g = 1.95 ± 0.05 and J/kB = −20 ± 1 K for K•(tdapO2)2. The behavior of Rb•(tdapO2)2 (blue circles in Figure 19c) in the temperature range from 54 to 300 K can be fitted to the Bonner-Fisher model (Equation (1)) with the following fitting parameters: g = 1.94 ± 0.06 and J/kB = −29 ± 1 K.
The |J| values of K•(tdapO2)2 and Rb•(tdapO2)2 are larger than that of K•tdapO2, though the π-stacking column in K•(tdapO2)2 and Rb•(tdapO2)2 includes the non-magnetic molecule 1. In general, the intermolecular magnetic exchange interaction results from cancellation between the ferromagnetic and antiferromagnetic contributions. Therefore, it is not entirely surprising that the antiferromagnetic interactions in K•(tdapO2)2 and Rb•(tdapO2)2 are stronger than that in K•tdapO2, if the latter involves a stronger ferromagnetic contribution. Below ca. 15K, the χp values of K•(tdapO2)2 and Rb•(tdapO2)2 exhibit a sudden jump (Figure 20a), followed by a Curie-like behavior. The field dependence of the magnetization was measured at various temperatures. The magnetization curves (Figure 20b,c) indicate the presence of a small spontaneous magnetization below these temperatures, which is probably caused by spin canting. These are some of the highest transition temperatures among molecule-based magnetic materials that do not include transition metals [18].
Figure 20.
Temperature dependence of χp for K•(tdapO2)2 and Rb•(tdapO2)2 at low temperatures (a). Magnetization curves of K•(tdapO2)2 (b) and Rb•(tdapO2)2 (c) at 5, 10 and 15 K. Adapted with permission from [47] and [48]. Copyright 2011 and 2013 American Chemical Society.
Figure 20.
Temperature dependence of χp for K•(tdapO2)2 and Rb•(tdapO2)2 at low temperatures (a). Magnetization curves of K•(tdapO2)2 (b) and Rb•(tdapO2)2 (c) at 5, 10 and 15 K. Adapted with permission from [47] and [48]. Copyright 2011 and 2013 American Chemical Society.

3.3.3. Kagome Lattice Formed by Coordination Bonding: Cs7•(tdapO2)6•ClO4
Figure 21a,b show the crystal structure of Cs7•(tdapO2)6•ClO4, which consists of seven crystallographically nonequivalent cesium ions (one is on the 3-fold rotation axis and inversion center, and the others are in the general positions), one perchlorate ion on the 3-fold rotation axis and inversion center, and six crystallographically equivalent tdapO2 molecules. The positions of oxygen atoms belonging to a ClO4 ion are disordered and their occupancies are fixed to 0.5. This stoichiometric result and the bond lengths of tdapO2 (Figure 16) suggest that the valence of tdapO2 is −1 and the composition formula is Cs7•(tdapO2)6•ClO4. A Cs ion is surrounded by five oxygen atoms belonging to five tdapO2 and four nitrogen atoms belonging to three tdapO2. The other Cs ion is surrounded by six oxygen atoms belonging to six tdapO2 and eight oxygen atoms (whose occupancy is 0.5) belonging to two ClO4 ions. A notable point is that six tdapO2 radical anions are located on a so-called “Kagomé lattice,” in which antiferromagnetically interacted spins form a frustrated system [75]. They also form a strongly alternating π-stacking arrangement along the c axis, with interplanar distances of 3.13 (i) and 3.29 Å (ii).
Figure 21.
Crystal structure (a,b) and temperature dependence of χp (c) for Cs7•(tdapO2)6•ClO4. Adapted with permission from [48]. Copyright 2013 American Chemical Society.
Figure 21.
Crystal structure (a,b) and temperature dependence of χp (c) for Cs7•(tdapO2)6•ClO4. Adapted with permission from [48]. Copyright 2013 American Chemical Society.

Figure 21c depicts the temperature dependence of χp for Cs7•(tdapO2)6•ClO4, where the molar unit contains one tdapO2 molecule. With the decrease in temperature from 300 K, χp shows a gradual decrease. After reaching a minimum around 100 K, the value of χp is maintained down to 30 K, and then shows another quick increase. The latter behavior is probably caused by the Curie spins on the lattice defects, whose Curie constant is calculated as 0.0037 emu mol−1 K. The behavior of Cs7•(tdapO2)6•ClO4 in the temperature range from 30 to 300 K can be fitted to the Bleaney-Bowers model. The best fit was obtained with the following fitting parameters: g = 2.0013 (fixed) and J/kB = −310 ± 10 K for Cs7•(tdapO2)6•ClO4. The g value was fixed at 2.0013, which was obtained from solid EPR measurement for a microcrystalline sample of Cs7•(tdapO2)6•ClO4.
3.3.4. Ammonium Salts: (NH4)2•tdapO2•I and Hppda•tdapO2•MeCN
Figure 22a,b shows the crystal structure of (NH4)2•tdapO2•I, which consists of an alternating π stacking of tdapO2 with interplanar distances of (i) 3.35 and (ii) 3.44 Å (see Figure 22b). These are longer than those observed in the alkali metal salts. The intermolecular π-overlaps, (i) and (ii), in the stacking chain are shown in Figure 23b. Both the phenanthroline and thiadiazole dioxide moieties form hydrogen bonds to different ammonium ions, indicating the proton-accepting ability of the tdapO2 radical anion (Figure 23a). Between the stacking columns, a 2D hydrogen-bonding network is formed by NH4+, I− and the proton-accepting moieties of tdapO2.
Figure 22.
Crystal structure of (NH4)2•tdapO2•I (a,b) and Hppda•tdapO2•MeCN (c,d). Temperature dependence of χpT for (NH4)2•tdapO2•I and Hppda•tdapO2•MeCN (e). Adapted with permission from [48]. Copyright 2013 American Chemical Society.
Figure 22.
Crystal structure of (NH4)2•tdapO2•I (a,b) and Hppda•tdapO2•MeCN (c,d). Temperature dependence of χpT for (NH4)2•tdapO2•I and Hppda•tdapO2•MeCN (e). Adapted with permission from [48]. Copyright 2013 American Chemical Society.

Figure 23.
Hydrogen-bonding geometry around ammonium ions (a,c) and π-overlaps (b,d) of (NH4)2•tdapO2•I (top) and Hppda•tdapO2•MeCN (bottom). Adapted with permission from [48]. Copyright 2013 American Chemical Society.
Figure 23.
Hydrogen-bonding geometry around ammonium ions (a,c) and π-overlaps (b,d) of (NH4)2•tdapO2•I (top) and Hppda•tdapO2•MeCN (bottom). Adapted with permission from [48]. Copyright 2013 American Chemical Society.

The crystal structure of Hppda•tdapO2•MeCN is shown in Figure 22c,d. Because it is difficult to determine the existence of the protons by XRD analysis, due to their small electron density, the valence of tdapO2 was confirmed to be monovalent from the bond lengths of the crystal structure (Figure 16). This result implies that a ppda molecule is protonated and becomes a 4-aminoanilinium ion (Hppda). The geometry of the hydrogen bonds around N(5), shown in Figure 23c, also implies a protonation of N(5). The crystal structure of Hppda•tdapO2•MeCN consists of a regular π-stacking of tdapO2 with interplanar distances of 3.42 Å (Figure 22d). This distance is comparable to those of (NH4)2•tdapO2•I. The intermolecular π-overlap in the stacking chain is shown in Figure 23d. The π-stack columns are connected by hydrogen bondings between tdap radical anions and Hppda cations, and form a 3D hydrogen-bonding network structure.
The blue circles in Figure 22e show the temperature dependence of χpT for (NH4)2•tdapO2•I. When the temperature decreases from 300 K, χpT exhibits a gradual increase down to 30 K. After passing a broad maximum, χpT decreases quickly. This behavior indicates the coexistence of ferromagnetic and antiferromagnetic interactions, with the former being stronger than the latter. Since the crystal structure consists of alternated π-stacking, this temperature dependence can be interpreted in terms of a ferromagnetic dimer, with weak antiferromagnetic interdimer coupling (H = −2J1S1•S2 − 2zJ2(⟨S1z⟩•S2z + ⟨S2z⟩•S1z) [76] using
where J1 and J2 express the intradimer ferromagnetic coupling constant, and the interdimer antiferromagnetic coupling constant, respectively, and z is the number of the nearest neighbors connected by J2. The solid curve on blue circles in Figure 22e is the theoretical best fit with g = 1.94 ± 0.10, J1/kB = 24 ± 1 K and zJ2/kB = −7.9 ± 0.1 K. It is clear that the tdapO2 radical anion has the potential to yield both ferromagnetic and antiferromagnetic intermolecular interactions.
The green circles in Figure 22e show the temperature dependence of χpT for Hppda•tdapO2•MeCN. When the temperature decreases from 300 K, χpT exhibits a gradual increase down to 10 K. After passing a broad maximum, χpT decreases quickly. This behavior is similar to that of (NH4)•tdapO2•I. Since the crystal structure consists of regular π-stacking, this temperature dependence can be interpreted in terms of a ferromagnetic 1D chain with weak antiferromagnetic interchain coupling (H = −2J1ΣSi•Si+1 and a molecular mean-field correction) [69,71,77] using
where χp = (NAg2μB2)/(4kBT)[N/D]2⁄3, N = 1.0 + 5.7979916x + 16.902653x2 + 29.376885x3 + 29.832959x4 + 14.036918x5, D = 1.0 + 2.7979916x + 7.0086780x2 + 8.6538644x3 + 4.5743114x4, and x = J1⁄(kBT). The χ’p and χp are the magnetic susceptibility with and without mean-field correction, respectively. The parameters J1 and J2 express the intrachain ferromagnetic coupling constant and the interchain antiferromagnetic coupling constant, respectively, and z is the number of the nearest neighbors connected by J2. The solid curve on green circles in Figure 22e is the theoretical best fit with g = 1.84 ± 0.10, J1/kB= 5.6 ± 0.1 K and zJ2/kB= −2.2 ± 0.1 K. This small g value indicates the possible decomposition of tdapO2 radical anions, lattice defect of the protons or diamagnetic impurities such as incompletely dried MeCN solvent.
3.3.5. Cobaltocenium Salt: [CoCp2]•tdapO2
Crystals of novel radical anion salt [CoCp2]•tdapO2 were obtained by diffusion method using cobaltocene and tdapO2 in CH2Cl2. Crystallographic parameters for [CoCp2]•tdapO2 are shown in Table S1 (Supplementary Materials). The valence of tdapO2 could be determined as −1 from its bond length (Figure 16). The π-overlap arrangements of [CoCp2]•tdapO2 are shown in Figure 24. The intermolecular arrangement of the tdapO2 radical anions in this system is much different from those in the other radical anion salts. The molecular planes of tdapO2 are not parallel. The overlapped part shows a closer interplanar distance, maybe due to the exchange interaction through π orbitals.
Figure 24.
Molecular arrangement of [CoCp2]•tdapO2.
Figure 24.
Molecular arrangement of [CoCp2]•tdapO2.

Figure 25a,b shows the crystal structure of [CoCp2]•tdapO2. The tdapO2 molecules form a 2D layer consisting of regular π stacking and weak C-H•••N hydrogen bonds. These layers are connected by weak C-H•••N and C-H•••O hydrogen bonds via cobaltocenium ions. Cobaltocenium ions have neither vacant coordinate sites nor strong proton-donor ability, and are the sole example of a salt lacking both attributes among the obtained tdapO2 salts.
Figure 25.
Crystal structure (a,b) and temperature dependence of χp (c) for CoCp2•tdapO2.
Figure 25.
Crystal structure (a,b) and temperature dependence of χp (c) for CoCp2•tdapO2.

The temperature dependence of χp for [CoCp2]•tdapO2 is shown in Figure 25c. With a decrease in temperature from 300 K, χp shows a gradual increase. After reaching a maximum around 50 K, χp shows a slight decrease, followed by another quick increase below 20 K. The latter behavior is probably caused by the Curie spins on the lattice defects. The structural study revealed that the tdapO2 π-stack column is well separated by the diamagnetic cation [CoCp2]+. The χp values in the range of 60–300 K can be well fitted to the antiferromagnetic Bonner-Fisher model (Equation (1)). The solid curve on the circles in Figure 25c is the theoretical best fit of this model with g = 1.92 ± 0.10 and J/kB = −49 ± 5 K.
3.4. Theoretical Calculations
It is quite remarkable that the tdapO2 radical anion salts exhibit exchange-coupling constants that vary significantly from antiferromagnetic J/kB = −310 K to ferromagnetic J/kB = 24 K values (see Table 2). Wave function-based ab initio difference-dedicated configuration interaction (DDCI) calculations for the exchange interactions of 6 different radical dimers that were found in four kinds of tdapO2 salts were carried out [48]. The exchange coupling constants J, effective hopping integral t, on-site repulsion U, and direct exchange K are summarized in Table 2. The ferro- and antiferromagnetic contributions can be estimated by following the 2J = 2K − 4t2/U partitioning, with the 2K term representing the ferromagnetic contribution and the −4t2/U term the antiferromagnetic contribution. The U values for tdapO2 salts are almost constant, in agreement with the finding of Rota et al. that the U values are mostly governed by building units [78]. The magnetic orbitals are the in-phase and out-of-phase linear combinations of the singly occupied MOs (SOMOs) localized on each radical (Figure 26). The relative position of the radicals (i.e., the three-dimensional arrangement) becomes a determining factor governing the magnetic interactions reflecting the localized character of the spin densities. Table 2 shows the evolution of the J value with respect to the interplanar distance between the radical dimers. The significant dependence of the exchange coupling constant on this structural parameter is very instructive and indicates that the overlap between the monomers plays a major role in defining the magnetic character of these materials. The calculated exchange coupling constant values are in good agreement with the experimental estimates (Table 2), despite some qualitative deviations observed in weakly interacting systems.
The comparison between Hppda•tdapO2•MeCN and the hypothetical Hppda•tdap•MeCN (lacking oxygen atoms on the thiadiazole ring) is rather instructive. Removal of the oxygen atoms shifts the magnetic behavior from ferro- (13 K) to antiferromagnetic (−4 K). It is remarkable that removal of the electron-withdrawing oxygen atoms leads to a ca. 3800 K increase of U in the hypothetical Hppda•tdap•MeCN radical as compared to Hppda•tdapO2•MeCN. Such variation of U is overtaken by a significant increase of the hopping integral t (from 85 to 791 K), which drives the hypothetical Hppda•tdap•MeCN into the antiferromagnetic regime. The presence of oxygen atoms reduces the superexchange contribution (absolute value of the antiferromagnetic contribution) with competitive effects on the parameters t and U.
Table 2.
Interplanar distances (dint) and magnetic exchange coupling constants (J1 and J2) from the theoretical fits of experimental data, and Jcalc and corresponding t, K, and U parameters from DDCI calculations performed on radical anion pairs. Adapted with permission from [48]. Copyright 2013 American Chemical Society.
| Experimental data | Computational calculation | ||||||
|---|---|---|---|---|---|---|---|
| dint/Å | J1kB−1/K (zJ2kB−1/K) | JcalckB−1/K | tkB−1/K | KkB−1/K | UkB−1/K | ||
| K•tdapO2 | 3.30 | −13 | 17 | 72 | 23 | 30522 | |
| K•tdapO2•0.5MeCN | (i) | 3.36 | −110 | −100 | 1352 | 26 | 29355 |
| (ii) | 3.42 | 8 | 237 | 13 | 30118 | ||
| K•(tdapO2)2 | (i) | 3.29 | −20 | ||||
| (ii) | 3.29 | ||||||
| Rb•(tdapO2)2 | (i) | 3.29 | −29 | ||||
| (ii) | 3.31 | ||||||
| Cs7•(tdapO2)6•ClO4 | (i) | 3.13 | −310 | ||||
| (ii) | 3.36 | ||||||
| (NH4)2•tdapO2•I | (i) | 3.44 | 24 | 13 | 142 | 17 | 30709 |
| (ii) | 3.35 | (−7.9) | 6 | 208 | 13 | 30876 | |
| Hppda•tdapO2•MeCN | 3.42 | 5.6 | 13 | 85 | 17 | 30745 | |
| (−2.2) | |||||||
| Hppda•tdap•MeCN | Hypothetical system | −4 | 791 | 32 | 34533 | ||
| [CoCp2]•tdapO2 | −49 | ||||||
Figure 26.
Active MOs resulting from a CAS[2,2]SCF calculation performed for the triplet state of a dimer extracted from the crystal structure of K•tdapO2. Adapted with permission from [48]. Copyright 2013 American Chemical Society.
Figure 26.
Active MOs resulting from a CAS[2,2]SCF calculation performed for the triplet state of a dimer extracted from the crystal structure of K•tdapO2. Adapted with permission from [48]. Copyright 2013 American Chemical Society.

4. Summary
The 1,2,5-thiadiazole compound tdap was induced to transition metal complexes in an effort to enhance intermolecular interactions and form highly networked systems. As a result, some of these complexes exhibited S•••S, S•••N, or S•••X intermolecular interactions, and formed a dimer, 1D ladder, 2D layer, and three-dimensional (3D) network structure. These interactions could be classified into four types: S(tdap)•••S(tdap), S(tdap)•••X (X = S, Cl belonging to coordinated anion), S(tdap)•••N(tdap), and S(tdap)•••X (X = N, Cl, S belonging to packing molecule or anion). The packing molecules and anions tended to quench the network structure in transition metal complexes of tdap. The effect of the intermolecular interaction on the physical properties was shown in the spin-crossover complex by the shift in their transition temperatures. [Fe(tdap)2(NCS)2]•MeCN and [Fe(tdap)2(NCS)2], underwent an SCO transition whose critical temperatures (Tc) were 210 and 315 K, respectively. A significant shift of transition temperature was found in solvent-free [Fe(tdap)2(NCS)2], and may have been due to the chemical pressure caused by strong intermolecular interactions.
The 1,2,5-thiadiazole dioxide compound tdapO2 was designed as a stable electron acceptor molecule with coordination sites. The electrochemistry of this compound indicated its good acceptor ability. The chemical and electrochemical reduction successfully gave 8 kinds of radical anion salts. These salts formed highly networked structures governed by effective coordination or hydrogen bonds. Most of the radical anion salts exhibited 1D magnetic behavior with various magnetic coupling constants that ranged from strong antiferromagnetic (−320 K) to ferromagnetic (24 K). Mixed-valent salts K•(tdapO2)2 and Rb•(tdapO2)2 showed magnetic ordering at low temperature, indicating the existence of considerable intercolumnar magnetic interactions in these salts.
Whereas the intermolecular interaction and physical properties of 1,2,5-thiadiazole compounds have been extensively reported on, for many systems, the solid state physical properties of 1,2,5-thiadiazolo 1,1-dioxide compounds have just started to be investigated. As shown in this review, 1,2,5-thiadiazole 1,1-dioxide compounds exhibit unique properties, such as coordination ability, proton acceptor ability, electron acceptor ability, and stability of radical anion species, with properties very different from those of 1,2,5-thiadiazole compounds. We expect the 1,2,5-thiadiazole 1,1-dioxide unit to form a new class of compounds which show exotic properties similar to those achieved for other heterocyclic chalcogen-nitrogen compound, such as thiadiazole, dithiazole, dithiadiazole etc.
Supplementary Materials
Supplementary materials can be accessed at: http://www.mdpi.com/1420-3049/19/1/609/s1.
Acknowledgments
The authors are grateful to Wataru Fujita, Rie Suizu and Vincent Robert for valuable discussions, to all coauthors presented in the references, especially to Osamu Sato, Alex Domingo and Carmen J. Calzado, for their contributions to the joint work and to the Ministry of Education, Culture, Sports, Science, and Technology (MEXT) of Japan for a Grant-in-Aid for Scientific Research.
Conflicts of Interest
The authors declare no conflict of interest.
References and Notes
- Akamatu, H.; Inokuchi, H.; Matsunaga, Y. Electrical conductivity of the perylene-brimine complex. Nature 1954, 173, 168–169. [Google Scholar] [CrossRef]
- Ferraris, J.; Cowan, D.O.; Walatka, V., Jr.; Perlsteri, J.H. Electron transfer in a new highly conducting donor-acceptor complex. J. Am. Chem. Soc. 1973, 95, 948–949. [Google Scholar] [CrossRef]
- Cohen, M.J.; Coleman, L.B.; Garito, A.F.; Heeger, A. Electrical conductivity of tetrathiofulvalinium tetracyanoquinodimethan (TTF) (TCNQ). J. Phys. Rev. B 1974, 10, 1298–1307. [Google Scholar] [CrossRef]
- Saito, G.; Enoki, T.; Toriumi, K.; Inokuchi, H. Two-dimensionality and suppression of metal-semiconductor transition in a new organic metal with Alkylthio substituted TTF and Perchlorate. Solid State Commun. 1982, 42, 557–560. [Google Scholar] [CrossRef]
- Tanaka, H.; Okano, Y.; Kobayashi, H.; Suzuki, W.; Kobayashi, A. A Three-dimensional synthetic metallic crystal composed of single-component molecules. Science 2001, 291, 285–287. [Google Scholar] [CrossRef]
- Kobayashi, H.; Kobayashi, A.; Tajima, H. Studies on molecular conductors: From organic semiconductors to molecular metals and superconductors. Chem. Asian J. 2011, 6, 1688–1704. [Google Scholar] [CrossRef]
- Isono, T.; Kamo, H.; Ueda, A.; Takahashi, K.; Nakao, A.; Kumai, R.; Nakao, H.; Kobayashi, K.; Murakami, Y.; Mori, H. Hydrogen bond-promoted metallic state in a purely organic single-component conductor under pressure. Nat. Commun. 2013, 4. [Google Scholar] [CrossRef]
- Saito, G.; Yoshida, Y. Organic superconductors. Chem. Rec. 2011, 11, 124–145. [Google Scholar] [CrossRef]
- Jerome, D.; Mazaud, A.; Ribault, M.; Bechgaard, K. Superconductivity in a synthetic organic conductor (TMSF)2PF6. J. Phys. Lett. 1980, 41, 95–98. [Google Scholar] [CrossRef]
- Bechgaard, K.; Carneiro, K.; Rasmussen, F.B.; Olsen, M.; Rindorf, G.; Jacobsen, C.S.; Pedersen, H.J.; Scott, J.C. Superconductivity in an organic solid. Synthesis, Structure, and conductivity of Bis(tetramethyltetraselenafulvalenium) Perchlorate (TMTSF)2ClO4. J. Am. Chem. Soc. 1981, 103, 2440–2442. [Google Scholar] [CrossRef]
- Parkin, S.S.P.; Ribault, M.; Jerome, D.; Bechgaard, K. Superconductivity in the family of organic salts based on the Tetramethyltetraselenafulvalene (TMTSF) molecule: (TMTSF)2X (X = ClO4, PF6, AsF6, SbF6, TaF6). J. Phys. C 1981, 14, 5305–5326. [Google Scholar] [CrossRef]
- Tanigaki, K.; Ebbesen, T.W.; Saito, S.; Mizuki, J.; Tsai, J.S.; Kubo, Y.; Kuroshima, S. Superconductivity at 33 K in CsxRbyC60. Nature 1991, 352, 222–223. [Google Scholar] [CrossRef]
- Stephens, P.W.; Mihaly, L.; Lee, P.L.; Whetten, R.L.; Huang, S.M.; Kaner, R.; Deiderich, F.; Holczer, K. Structure of single-phase superconductiong K3C60. Nature 1991, 351, 632–634. [Google Scholar] [CrossRef]
- Hebard, A.F.; Rosseinsky, M.J.; Haddon, R.C.; Murphy, D.W.; Glarum, S.H.; Palstra, T.T.M.; Ramirez, A.P.; Kortan, A.R. Superconductivity at 18 K in Potassium-Doped C60. Nature 1991, 350, 600–601. [Google Scholar] [CrossRef]
- Kinoshita, M.; Turek, P.; Tamura, M.; Nozawa, K.; Shiomi, D.; Nakazawa, Y.; Ishikawa, M.; Takahashi, M.; Awaga, K.; Inabe, T.; et al. An organic radical ferromagnet. Chem. Lett. 1991, 20, 1225–1228. [Google Scholar]
- Takahashi, M.; Turek, P.; Nakazawa, Y.; Tamura, M.; Nozawa, K.; Shiomi, D.; Ishikawa, M.; Kinoshita, M. Discovery of a quasi-1D organic ferromagnet, p-NPNN. Phys. Rev. Lett. 1991, 67, 746–748. [Google Scholar] [CrossRef]
- Turek, P.; Nozawa, K.; Shiomi, D.; Awaga, K.; Inabe, T.; Maruyama, Y.; Kinoshita, M. Ferromagnetic coupling in a new phase of the p-Nitrophenyl Nitronyl Nitroxide radical. Chem. Phys. Lett. 1991, 180, 327–331. [Google Scholar] [CrossRef]
- Deumal, M.; Rawson, J.M.; Goeta, A.E.; Howard, J.A.K.; Copley, R.C.B.; Robb, M.A.; Novoa, J.J. Studying the origin of the antiferromagnetic to spin-canting transition in the β-p-NCC6F4CNSSN• molecular magnet. Chem. Eur. J. 2010, 16, 2741–2750. [Google Scholar]
- Kohler, C.P.; Jakobi, R.; Meissner, E.; Wiehl, L.; Spiering, H.; Gutlich, P. Nature of the phase transition in spin crossover compounds. J. Phys. Chem. Solids 1990, 51, 239–247. [Google Scholar] [CrossRef]
- Adams, D.M.; Dei, A.; Rheingold, A.L.; Hendrickson, D.N. Bistability in the [CoII(semiquinonate)2] to [CoIII(catecholate)(semiquinonate)] Valence-Tautomeric conversion. J. Am. Chem. Soc. 1993, 115, 8221–8229. [Google Scholar] [CrossRef]
- Sato, O.; Tao, J.; Zhang, Y. Control of magnetic properties through external stimuli. Angew. Chem. Int. 2007, 46, 2152–2187. [Google Scholar]
- Dunbar, K.R.; Heintz, R.A. Chemistry of transition metal cyanide compounds: Modern perspectives. Prog. Inorg. Chem. 1997, 45, 283–391. [Google Scholar]
- Ohba, M.; Okawa, H. Synthesis and magnetism of multi-dimensional cyanide-bridged bimetallic assemblies. Coord. Chem. Rev. 2000, 198, 313–328. [Google Scholar] [CrossRef]
- Clement, R.; Decurtins, S.; Gruselle, M.; Train, C. Polyfunctional two- (2D) and three- (3D) dimensional oxalate bridged bimetallic magnets. Monatsh. Chem. 2003, 134, 117–135. [Google Scholar] [CrossRef]
- Miller, J.S. Magnetically ordered molecule-based materials. Chem. Soc. Rev. 2011, 40, 3266–3296. [Google Scholar] [CrossRef]
- Clemente-Leon, M.; Coronado, E.; Marti-Gastaldo, C.; Romero, F.M. Multifunctionality in hybrid magnetic materials based on bimetallic oxalate complexes. Chem. Soc. Rev. 2011, 40, 473–497. [Google Scholar] [CrossRef]
- Gatteschi, D.; Sessoli, R. Quantum tunneling of magnetization and related phenomena in molecular materials. Angew. Chem. Int. 2003, 42, 268–297. [Google Scholar]
- Awaga, K.; Nomura, K.; Kishida, H.; Fujita, W.; Yoshikawa, H.; Matsushita, M.M.; Hu, L.; Shuku, Y.; Suizu, R. Electron transfer processes in highly-correlated electron systems of Thiazyl radicals. Bull. Chem. Soc. Jpn. 2014, in press. [Google Scholar]
- Oakley, R.T. Cyclic and heterocyclic Thiazenes. Prog. Inorg. Chem. 1988, 36, 299–391. [Google Scholar] [CrossRef]
- Rawson, J.M.; Banister, A.J.; Lavender, I. The chemistry of dithiadiazolylium and dithiadiazolyl rings. Adv. Heterocycl. Chem. 1995, 62, 137–247. [Google Scholar]
- Rawson, J.M.; McManus, G.D. Benzo-fused Dithiazolyl radicals: From chemical curiosities to materials chemistry. Coord. Chem. Rev. 1999, 189, 135–168. [Google Scholar] [CrossRef]
- Rawson, J.M.; Palacio, F. Magnetic properties of Thiazyl radicals. Struct. Bond. 2001, 100, 93–128. [Google Scholar] [CrossRef]
- Awaga, K.; Tanaka, T.; Shirai, T.; Fujimori, M.; Suzuki, Y.; Yoshikawa, H.; Fujita, W. Multi-dimensional crystal structures and unique solid-state properties of Heterocyclic Thiazyl radicals and related materials. Bull. Chem. Soc. Jpn. 2006, 79, 25–34. [Google Scholar] [CrossRef]
- Conte, G.; Bortoluzzi, A.J.; Gallardo, H. [1,2,5]Thiadiazolo[3,4-f][1,10]phenanthroline as a building block for organic materials. Synthesis 2006, 2006, 3945–3947. [Google Scholar] [CrossRef]
- Castellano, E.E.; Piro, O.E.; Caram, J.A.; Mirifico, M.V.; Aimone, S.L.; Vasini, E.J.; Glossman, M.D. Crystallographic study and molecular orbital calculations of 1,2,5-Thiadiazole 1,1-dioxide derivatives. J. Phys. Org. Chem. 1998, 11, 91–100. [Google Scholar] [CrossRef]
- Mirifico, M.V.; Caram, J.A.; Gennaro, A.M.; Cobos, C.J.; Vasini, E.J. Radical anions containing the Dioxidated 1,2,5-Thiadiazole heterocycle. J. Phys. Org. Chem. 2009, 22, 964–970. [Google Scholar] [CrossRef]
- Miller, J.S.; Epstein, A.J. Organometallic magnets. Coord. Chem. Rev. 2000, 206–207, 651–660. [Google Scholar] [CrossRef]
- Miller, J.S. Tetracyanoethylene (TCNE). The characteristic geometries and vibrational absorptions of its numerous structures. Angew.Chem. Int. 2006, 45, 2508–2525. [Google Scholar]
- Heintz, R.A.; Zhao, H.; Ouyang, X.; Grandinetti, G.; Cowen, J.; Dunbar, K.R. New insight into the nature of Cu(TCNQ): Solution routes to two distinct polymorphs and their relationship to Crystalline films that display bistable switching behavior. Inorg. Chem. 1999, 38, 144–156. [Google Scholar] [CrossRef]
- O’Kane, S.A.; Clerac, R.; Zhao, H.; Ouyang, X.; Galan-Mascaros, J.R.; Heintz, R.; Dunbar, K.R. New Crystalline Polymers of Ag(TCNQ) and Ag(TCNQF4): Structures and magnetic properties. J. Solid State Chem. 2000, 152, 159–173. [Google Scholar] [CrossRef]
- Clerac, R.; O’Kane, S.; Cowen, J.; Ouyang, X.; Heintz, R.; Zhao, H.; Bazile, M.J., Jr.; Dunbar, K.R. Glassy magnets composed of metals coordinated to 7,78,8-Tetracyanoquinodimethane: M(TCNQ)2 (M = Mn, Fe, Co, Ni). Chem. Mater. 2003, 15, 1840–1850. [Google Scholar] [CrossRef]
- Kato, R. Conductive copper salts of 2,5-disubstituted n,n’-dicyanobenzoquinonediimines (dcnqis): Structural and physical properties. Bull. Chem. Soc. Jpn. 2000, 73, 515–534. [Google Scholar] [CrossRef]
- Pierpont, C.G.; Buchanan, R.M. Transition metal complexes of O-benzoquinone, O-semiquinone, and catecholate ligands. Coord. Chem. Rev. 1981, 38, 45–87. [Google Scholar] [CrossRef]
- Pierpont, C.G. Unique properties of transition metal Quinone complexes of the MQ3 series. Coord. Chem. Rev. 2001, 219–221, 415–433. [Google Scholar] [CrossRef]
- Evangelio, E.; Ruiz-Molina, D. Valence tautomerism: New challenges for electroactive ligands. Eur. J. Inorg. Chem. 2005, 2005, 2957–2971. [Google Scholar] [CrossRef]
- Manriquez, J.M.; Yee, G.T.; McLean, R.S.; Epstein, A.J.; Miller, J.S. A room-temperature molecular/organic-based magnet. Science 1991, 252, 1415–1417. [Google Scholar]
- Shuku, Y.; Suizu, R.; Awaga, K. Monovalent and mixed-valent potassium salts of [1,2,5]Thiadiazolo[3,4-f][1,10]phenanthroline 1,1-Dioxide: A radical anion for multidimensional network structures. Inorg. Chem. 2011, 50, 11859–11861. [Google Scholar] [CrossRef]
- Shuku, Y.; Suizu, R.; Domingo, A.; Calzado, C.J.; Robert, V.; Awaga, K. Multidimensional network structures and versatile magnetic properties of intermolecular compounds of a radical–anion ligand, [1,2,5]Thiadiazolo[3,4-f][1,10]phenanthroline 1,1-Dioxide. Inorg. Chem. 2013, 52, 9921–9930. [Google Scholar] [CrossRef]
- Gallardo, H.; Conte, G.; Tuzimoto, P.; Bortoluzzi, A.; Peralta, R.A.; Neves, A. Synthesis, crystal structure and luminescent properties of new Tris-β-diketonate Eu(III) complexes with Thiadiazolophenanthroline derivative ligand. Inorg. Chem. Commun. 2008, 11, 1292–1296. [Google Scholar] [CrossRef]
- Gallardo, H.; Conte, G.; Bortoluzzi, A.J.; Bechtold, I.H.; Pereira, A.; Quirino, W.G.; Legnani, C.; Cremona, M. Synthesis, structural characterization, and photo and electroluminescence of a novel Terbium (III) complex: {Tris (acetylacetonate) [1,2,5]Thiadiazolo[3,4-f][1,10] phaenanthroline} terbium(III). Inorg. Chim. Acta 2011, 365, 152–158. [Google Scholar] [CrossRef]
- De Souza, B.; Xavier, F.R.; Peralta, R.A.; Bortoluzzi, A.J.; Conte, G.; Gallardo, H.; Fischer, F.L.; Bussi, G.; Terenzi, H.; Neves, A. Oxygen-independent photonuclease activity of a new Iron(II) COMPLEX. Chem. Commun. 2010, 46, 3375–3377. [Google Scholar] [CrossRef]
- Crystallographic data for the compounds discussed in this review that have not previously been published are available through Cambridge Crystallographic Data Centre (CCDC): CCDC 969113 ([Co(tdap)2(NCS)2]), CCDC 969114 ([Mn(tdap)2Cl2]), CCDC 969115 ([Mn(tdap)2(NCS)2]•MeCN), CCDC 969116 ([Fe(tdap)2(NCS)2]•MeCN at 120 K), CCDC 969117 ([Fe(tdap)2(NCS)2]•MeCN at 320 K), CCDC 969118 ([Co(tdap)2(NCS)2]•MeCN), CCDC 969119 ([Ni(tdap)2(NCS)2]•MeCN), CCDC 969120 ([Cu(tdap)2(NCS)2]•MeCN), CCDC 969121 ([Zn(tdap)2(NCS)2]•MeCN), CCDC 969122 ([Cu2(tdap)2(NCS)2]), CCDC 969123 ([Cu2(tdap)2(NCS)4]), and CCDC 9691224 ([CoCp]2•tdapO2). These data can be obtained free of charge via http://www.ccdc.cam.ac.uk/conts/retrieving.html (or from the CCDC, 12 Union Road, Cambridge CB2 1EZ, UK; Fax: +44 1223 336033; E-mail: deposit@ccdc.cam.ac.uk).
- Shuku, Y.; Suizu, R.; Awaga, K.; Sato, O. Fe(II) spincrossover complex of [1,2,5]Thiadiazolo[3,4-f][1,10]phenanthroline. Cryst. Eng. Comm. 2009, 11, 2065–2068. [Google Scholar] [CrossRef]
- Gallois, B.; Real, J.A.; Hauw, C.; Zarembowich, J. Structural changes associated with the spin transition in Fe(phen)2(NCS)2: A single-crystal X-ray investigation. Inorg. Chem. 1990, 29, 1152–1158. [Google Scholar] [CrossRef]
- Guionneau, P.; Marchivie, M.; Bravic, G.; Letard, J.F.; Chasseau, D. Structural aspects of spin crossover example of the [Fe(II)Ln(NCS)2] complexes. Top. Curr. Chem. 2004, 234, 97–128. [Google Scholar] [CrossRef]
- Bondi, A. van der Waals Volumes and Radii. J. Phys. Chem. 1964, 68, 441–451. [Google Scholar] [CrossRef]
- Caram, J.A.; Mirifico, M.V.; Vasini, E.J. Electrochemistry of 3,4-Diphenyl-1,2,5-thiadiazole 1, 1-dioxide (1) and its derivatives in ethanol-acetonitrile solutions and interactions of the dianion of 1 with metal cations. Electrochim. Acta 1994, 39, 939–945. [Google Scholar] [CrossRef]
- Caram, J.A.; Mirifico, M.V.; Aimone, S.L.; Vasini, E.J. 3,4-Disubstituted derivatives of 1,2,5-thiadiazole 1,1-Dioxide. Ethanol addition reactions and electroreduction of 3-Methyl-4-phenyl and 3,4-Dimethyl derivatives in acetonitrile and ethanol solvents. Can. J. Chem. 1996, 74, 1564–1571. [Google Scholar] [CrossRef]
- Caram, J.A.; Mirifico, M.V.; Aimone, S.L.; Piro, O.E.; Castellano, E.E.; Vasini, E.J. The addition reaction of diamides to 1,2,5-Thiadiazole 1,1-Dioxide Derivatives. J. Phys. Org. Chem. 2004, 17, 1091–1098. [Google Scholar] [CrossRef]
- Yamada, M.; Tanaka, Y.; Yoshimoto, Y.; Kuroda, S.; Shimao, I. Synthesis and properties of diamino-substituted Dipyrido [3,2-a: 2’,3’-c]Phenazine. Bull. Chem. Soc. Jpn. 1992, 65, 1006–1011. [Google Scholar]
- Chambers, J.Q. Electrochemistry of Quinones. In The Chemistry of the Quinonoid Compounds; Patai, S., Ed.; John Wiley & Sons: New York, NY, USA, 1974; pp. 737–791. [Google Scholar]
- Peover, M.E. A polarographic investigation into the redox behavior of quinones: The roles of electron affinity and solvent. J. Chem. Soc. 1962, 4540–4549. [Google Scholar] [CrossRef]
- Davis, K.M.; Hammond, P.R.; Peover, M.E. Electron affinities of monosubstituted benzoquinones. Trans. Faraday Soc. 1965, 61, 1516–1522. [Google Scholar] [CrossRef]
- Ryba, O.; Pilar, J.; Petranek, J. Polarographic and electron paramagnetic resonance study of one electron reduction of Alkylated Benzoquinones. Collect. Czech. Chem. Commun. 1968, 33, 26–34. [Google Scholar] [CrossRef]
- McConnell, H.M. Spin density matrices for paramagnetic molecules. J. Chem. Phys. 1958, 28, 1188–1192. [Google Scholar] [CrossRef]
- McConnell, H.M.; Stathdee, J. Theory of anisotropic hyperfine interactions in π-electron radicals. Mol. Phys. 1959, 2, 129–138. [Google Scholar] [CrossRef]
- Talcott, C.L.; Myers, R.J. Electron spin resonance spectra of the radical anions of pyridine and related nitrogen heterocyclics. Mol. Phys. 1967, 12, 549–567. [Google Scholar] [CrossRef]
- Carrington, A.; dos Santos-Veiga, J. Electron spin resonance spectra of Nitrogen Heterocyclic radical Ions. Mol. Phys. 1962, 5, 21–29. [Google Scholar] [CrossRef]
- Kahn, O. Molecular Magnetism; Wiley-VHC: Weinheim, Germany, 1993. [Google Scholar]
- Bonner, J.C.; Fisher, M.E. Linear magnetic chains with anisotropic coupling. Phys. Rev. A 1964, 135, A640–A658. [Google Scholar] [CrossRef]
- Estes, W.E.; Gavel, D.P.; Hatfield, W.E.; Hodgson, D.J. Magnetic and structural characterization of Dibromo- and Dichlorobis(thiazole)copper(II). Inorg. Chem. 1978, 17, 1415–1421. [Google Scholar] [CrossRef]
- Bleaney, B.; Bowers, K.D. Anomalous paramagnetism of copper acetate. Proc. R. Soc. 1952, 214, 451–465. [Google Scholar] [CrossRef]
- Robin, M.B.; Day, P. Mixed valence chemistry—a survey and classification. Adv. Inorg. Chem. Radiochem. 1967, 10, 247–422. [Google Scholar]
- Kimura, S.; Suzuki, H.; Maejima, T.; Mori, H.; Yamaura, J.; Kakiuchi, T.; Sawa, H.; Moriyama, H. Checkerboard-type charge-ordered state of a pressure-induced superconductor, β-(meso-DMBEDT-TTF)2PF6. J. Am. Chem. Soc. 2006, 128, 1456–1457. [Google Scholar] [CrossRef]
- Ramirez, A.P. Strongly geometrically frustrated magnets. Annu. Rev. Mater. Sci. 1994, 24, 453–480. [Google Scholar] [CrossRef]
- Awaga, K.; Okuno, T.; Yamaguchi, A.; Hasegawa, M.; Inabe, T.; Maruyama, Y.; Wada, N. Variable magnetic interactions in an organic radical system of (m-N-Methylpyridinium α-Nitronyl Nitroxide)•X−: A possible Kagomé antiferromagnet. Phys. Rev. B 1994, 49, 3975–3981. [Google Scholar] [CrossRef]
- Baker, G.A.; Rushbrooke, G.S.; Gilbert, H.E. High-temperature series expansions for the spin−1/2 heisenberg model by the method of irreducible representations of the symmetric group. Phys. Rev. 1964, 135, A1272–A1277. [Google Scholar] [CrossRef]
- Rota, J.B.; le Guennic, B.; Robert, V. Toward Verdazyl radical-based materials: Ab Initio inspection of potential organic candidates for spin-crossover phenomenon. Inorg. Chem. 2010, 49, 1230–1237. [Google Scholar] [CrossRef]
© 2014 by the authors. Licensee MDPI, Basel, Switzerland. This article is an open access article distributed under the terms and conditions of the Creative Commons Attribution license ( http://creativecommons.org/licenses/by/3.0/).