Synthesis of a 2,2'-Bipyridyl Functionalized Oligovinylene-Phenylene Using Heck and Horner-Wadsworth-Emmons Reactions and X-ray Crystal Structure of E-(4-(4-Bromostyryl)phenyl)(methyl)sulfane
Abstract
:1. Introduction

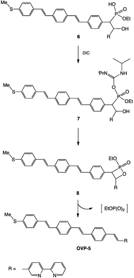
2. Results and Discussion



3. Experimental
3.1. General
3.2. Synthesis of Compounds 1, OVP-3 and OVP-5
3.3. X-ray Analysis of 1
4. Conclusions
Supplementary Material
Acknowledgments
References and Notes
- Garner, L.E.; Park, J.; Dyar, S.M.; Chworos, A.; Sumner, J.J.; Bazan, G.C. Modification of the optoelectronic properties of membranes via insertion of amphiphilic phenylene oligoelectrolytes. J. Am. Chem. Soc. 2010, 132, 10042–10052. [Google Scholar]
- Davis, W.B.; Svec, W.A.; Ratner, M.A.; Wasielewski, M.R. Molecular wire behaviour in p-phenylenevinylene oligomers. Nature 1998, 396, 60–63. [Google Scholar] [CrossRef]
- Kushmerick, J.G.; Holt, D.B.; Pollack, S.K.; Ratner, M.A.; Yang, J.C.; Schull, T.L.; Naciri, J.; Moore, M.H.; Shashidar, R. Effect of bond-length alternation in molecular wires. J. Am. Chem. Soc. 2002, 124, 10654–10655. [Google Scholar]
- Gao, F.; Xu, Z.-Z.; Yu, Y.-H.; Wang, Q.; Zhang, H.-L.; Fu, H.-B. Strong two-photon excited fluorescence and stimulated emission from an organic single crystal of an oligo(phenylene vinylene). Angew. Chem. 2010, 49, 732–735. [Google Scholar] [CrossRef]
- Goel, M.; Jayakannan, M. Supramolecular liquid crystalline π-conjugates: The role of aromatic π-stacking and van der Waals forces on the molecular self-assembly of oligophenylenevinylenes. J. Phys. Chem. B 2010, 114, 12508–12519. [Google Scholar] [CrossRef]
- Im, H.; Kim, S.; Park, C.; Jang, S.-H.; Kim, C.-J.; Kim, K.; Park, N.-G.; Kim, C. High performance organic photosensitizers for dye-sensitized solar cells. Chem. Commun. 2010, 46, 1335–1337. [Google Scholar]
- Trammell, S.A.; Moore, M.; Schull, T.L.; Lebedev, N. Synthesis and electrochemistry of self-assembled monolayers containing quinone derivatives with varying electronic conjugation. J. Electroanal. Chem. 2009, 682, 125–133. [Google Scholar]
- Hassink, M.; Liu, X.; Fox, J.M. Copper-catalyzed synthesis of 2,4-disubstituted allenoates from α-diazoesters. Org. Lett. 2011, 13, 2388–2391. [Google Scholar] [CrossRef]
- Ye, X.; Xie, C.; Pan, Y.; Han, L.; Xie, T. Copper-catalyzed synthesis of α-amino imides from tertiary amines: Ugi-type three-component assemblies involving direct functionalization of sp3 C-Hs adjacent to nitrogen atoms. Org. Lett. 2010, 12, 4240–4243. [Google Scholar] [CrossRef]
- Boersma, A.J.; Klijn, J.E.; Feringer, B.B.; Roefles, G. DNA-based asymmetric catalysis: Sequence-dependent rate acceleration and enantioselectivity. J. Am. Chem. Soc. 2008, 130, 11783–11790. [Google Scholar] [CrossRef]
- Ricardo, C.; Matosziuk, L.M.; Evanseck, J.D.; Pintauer, T. Strong coordination of tetraphenylborate anion to copper(I) bipyridine and phenanthroline-based complexes and its effect on catalytic activity in the cyclopropanation of styrene. Inorg. Chem. 2009, 48, 16–18. [Google Scholar] [CrossRef]
- Csonka, R.; Kaizer, J.; Giorgi, M.; Réglier, M.; Hajba, L.; Mink, J.; Speier, G. Oxidative C-H and C-C bond cleavage by a (2,2'-bipyridine)copper(I) chloride complex. Inorg. Chem. 2008, 47, 6121–6123. [Google Scholar] [CrossRef]
- Saito, T.; Moore, H.D.; Hickner, M.A. Synthesis of midblock-sulfonated triblock copolymers. Macromolecules 2010, 43, 599–601. [Google Scholar] [CrossRef]
- Niu, J.; Zhou, H.; Li, Z.; Xua, J.; Hu, S. An efficient Ullmann-type C−O bond formation catalyzed by an air-stable copper(I)-bipyridyl complex. J. Org. Chem. 2008, 73, 7814–7817. [Google Scholar] [CrossRef]
- Courtney, R.C.; Gustafson, R.L.; Westerback, S.J.; Hyytiainen, H.; Chaberek, S.C.Jr.; Martell, A.E. Metal chelate compounds as catalysts in the hydrolysis of isopropyl methylphosphonofluoridate and diisopropylphosphorofluoridate. J. Am. Chem. Soc. 1957, 79, 3030–3036. [Google Scholar] [CrossRef]
- Morrow, J.R.; Trogler, W.C. Hydrolysis of phosphate diesters with copper(II) catalysts. Inorg. Chem. 1988, 27, 3387–3394. [Google Scholar] [CrossRef]
- Hartshorn, C.M.; Singh, A.; Chang, E.L. Metal-chelator polymers as organophosphate hydrolysis catalysts. J. Mater. Chem. 2002, 12, 602–605. [Google Scholar] [CrossRef]
- Littke, A.; Fu, G.C. A versatile catalyst for Heck reactions of aryl chlorides and aryl bromides under mild conditions. J. Am. Chem. Soc. 2001, 123, 6989–7000. [Google Scholar] [CrossRef]
- Reetz, M.T.; Westermann, E.; Lohmer, R.; Lohmer, G. A highly active phosphine-free catalyst system for Heck reactions of aryl bromides. Tetrahedron Lett. 1998, 39, 8449–8452. [Google Scholar] [CrossRef]
- Billingsley, K.; Buchwald, S.L. Highly efficient monophosphine-based catalyst for the palladium-catalyzed Suzuki-Miyaura reaction of heteroaryl halides and heteroaryl boronic acids and esters. J. Am. Chem. Soc. 2007, 129, 3358–3366. [Google Scholar] [CrossRef]
- Reichwein, J.F.; Pagenkopf, B.L. A new Horner-Wadsworth-Emmons type coupling reaction between nonstabilized β-hydroxy phosphonates and aldehydes or ketones. J. Am. Chem. Soc. 2003, 125, 1821–1824. [Google Scholar] [CrossRef]
- Ho, T.-L.; Fieser, M.; Fieser, L. Fieser and Fieser’s Reagents for Organic Synthesis; John Wiley and Sons: New York, NY, USA, 2006. [Google Scholar]
- Sample Availability: Not available.
© 2012 by the authors; licensee MDPI, Basel, Switzerland. This article is an open-access article distributed under the terms and conditions of the Creative Commons Attribution license (http://creativecommons.org/licenses/by/3.0/).
Share and Cite
Karácsony, O.; Deschamps, J.R.; Trammell, S.A.; Nita, R.; Knight, D.A. Synthesis of a 2,2'-Bipyridyl Functionalized Oligovinylene-Phenylene Using Heck and Horner-Wadsworth-Emmons Reactions and X-ray Crystal Structure of E-(4-(4-Bromostyryl)phenyl)(methyl)sulfane. Molecules 2012, 17, 5724-5732. https://doi.org/10.3390/molecules17055724
Karácsony O, Deschamps JR, Trammell SA, Nita R, Knight DA. Synthesis of a 2,2'-Bipyridyl Functionalized Oligovinylene-Phenylene Using Heck and Horner-Wadsworth-Emmons Reactions and X-ray Crystal Structure of E-(4-(4-Bromostyryl)phenyl)(methyl)sulfane. Molecules. 2012; 17(5):5724-5732. https://doi.org/10.3390/molecules17055724
Chicago/Turabian StyleKarácsony, Orsolya, Jeffrey R. Deschamps, Scott A. Trammell, Rafaela Nita, and D. Andrew Knight. 2012. "Synthesis of a 2,2'-Bipyridyl Functionalized Oligovinylene-Phenylene Using Heck and Horner-Wadsworth-Emmons Reactions and X-ray Crystal Structure of E-(4-(4-Bromostyryl)phenyl)(methyl)sulfane" Molecules 17, no. 5: 5724-5732. https://doi.org/10.3390/molecules17055724
APA StyleKarácsony, O., Deschamps, J. R., Trammell, S. A., Nita, R., & Knight, D. A. (2012). Synthesis of a 2,2'-Bipyridyl Functionalized Oligovinylene-Phenylene Using Heck and Horner-Wadsworth-Emmons Reactions and X-ray Crystal Structure of E-(4-(4-Bromostyryl)phenyl)(methyl)sulfane. Molecules, 17(5), 5724-5732. https://doi.org/10.3390/molecules17055724
