Next Article in Journal
Platycoside N: A New Oleanane-Type Triterpenoid Saponin from the Roots of Platycodon grandiflorum
Previous Article in Journal
Supramolecular Self-Assembled Chaos: Polyphenolic Lignin’s Barrier to Cost-Effective Lignocellulosic Biofuels
 
 
Font Type:
Arial Georgia Verdana
Font Size:
Aa Aa Aa
Line Spacing:
Column Width:
Background:
Article

Concise Syntheses of Trifluoromethylated Cyclic and Acyclic Analogues of cADPR

State Key Laboratory of Natural and Biomimetic Drugs, School of Pharmaceutical Sciences, Peking University, Beijing 100191, China
*
Author to whom correspondence should be addressed.
Molecules 2010, 15(12), 8689-8701; https://doi.org/10.3390/molecules15128689
Submission received: 6 November 2010 / Revised: 17 November 2010 / Accepted: 22 November 2010 / Published: 30 November 2010

Abstract

:
A novel trifluoromethylated analogue of cADPR, 8-CF3-cIDPDE (5) was designed and synthesized via construction of N1,N9-disubstituted hypoxanthine, trifluoromethylation and intramolecular condensation. A series of acyclic analogues of cADPR were also designed and synthesized. These compounds could be useful molecules for studying the structure-activity relationship of cADPR analogues and exploring the cADPR/RyR Ca2+ signalling system.

1. Introduction

Cyclic adenosine diphosphate ribose (cADPR, 1, Figure 1), isolated from sea urchin eggs [1], is a metabolite of β-nicotinamide adenine dinucleotide (NAD+). It has been proved that cADPR is a signalling molecule, which regulates calcium mobilization via ryanodine receptor (RyR) in a wide variety of Ca2+-dependent cellular responses such as fertilization, secretion, contraction, proliferation and so on [2]. Since the discovery of cADPR, numerous works have been done on the synthesis of cADPR analogues to search for agonists or antagonists of cADPR/RyR Ca2+ signalling system [3,4,5].
In our previous work, a series of cADPR analogues in which the southern and/or northern ribose was replaced by an ether chain were synthesized [6,7]. Most of those compounds, such as cIDPRE (2) and cIDPDE (3), are membrane permeate agonists in Jurkat T cells.
Moreover, it was found that those agonists antagonize the hydrolysis of CD38. Substitution at C-8 of purine affects the agonistic activity of cADPR analogues. For example, 8-Br or 8-Cl substituted cIDPRE loses activity; however, the activity is retained for 8-N3 or 8-NH2 substituted cIDPRE. These results indicate that the effect of substitution at 8-position depends on the property of the substituent group. The trifluoromethyl group, possessing high electronegativity and lipophilicity, usually alters considerably the overall charge distribution and enhances the membrane permeability of molecules. Since the trifluoromethyl group imparts a variety of special physical and chemical properties to molecules, a number of trifluoromethylated compounds exhibit enhanced biological activity [8]. Taking these points into account, we synthesized 8-CF3-cIDPRE (4, Figure 2). We found that this compound was also a membrane permeate calcium agonist in Jurkat T cells [9]. In this study, the trifluoromethyl group is introduced to cIDPDE (8-CF3-cIDPDE, 5, Figure 2). This compound provides a complementary agent for understanding the effect of 8-substitution on calcium signalling property.
cADPR can be hydrolyzed either in vivo or in vitro [10,11]. The cyclic pyrophosphate moiety, as one of the most vulnerable linkages in cADPR, can be hydrolyzed by Mn2+-dependent ADP-ribose/CDP-alcohol pyrophospatase to afford the bisphosphate metabolite [12]. Recently, a series of acyclic analogues of cADPR, in which the pyrophosphate moiety is cleaved to give a bisphosphate, have been synthesized [13]. The primary pharmacological research revealed that some of them could inhibit cIDPRE-induced Ca2+ release. To further explore the Ca2+-modulating activities of this novel class of cADPR mimics and their mechanism further, we have designed and synthesized acyclic analogues of cIDPRE and the trifluoromethylated analogues 6-8 (Figure 2).

2. Results and Discussion

2.1. Synthesis of 8-CF3-cIDPDE (5)

The synthesis of 8-CF3-cIDPDE is summarized in Scheme 1. Starting from 8-bromoadenine [14], N9-substitution was carried out with (2-acetoxyethoxy)methyl bromide [15] in the presence of potassium tert-butoxide (t-BuOK) and 18-crown-6 [16] to afford 10 in 44% yield. It is noteworthy that when (2-acetoxyethoxy)methyl chloride was employed instead, replacement of the 8-bromo group with a chlorine atom was observed. The structure of compound 10 was confirmed by 1H-NMR, 13C-NMR, HMBC and HR-ESI-MS spectra. In the HMBC spectrum of 10, the correlation between H-1′ of the ether chain and C-4 and C-8 of adenine base were observed, which verified that the substitution was on N-9.
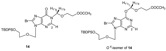
Deacetylation of 10 with K2CO3/MeOH gave compound 11, and after diazotization, and protection of the 5′-hydroxyl group with a tert-butyldiphenylsilyl (TBDPS) group, 13 was obtained. An N1-substitution was carried out on compound 13 with (2-acetoxyethoxy)methyl chloride in the presence of excess 1,8-diazabicyclo[5.4.0]undec-7-ene (DBU) to afford 14 in 61% yield. Since both of the N1 and the O6 have nucleophilicity, the N1-isomer and O6-isomer were obtained (Figure 3). The structure of 14 was confirmed by 1H-NMR, 13C-NMR, HMBC and HR-ESI-MS spectra. In the HMBC spectrum of 14, the correlation between H-1′′of the northern ether chain and C-2 of hypoxanthine base, and that between C-1′′ of the northern ether chain and H-2 of hypoxanthine base were both observed, which were similar to that of N1-isomer. Corresponding correlations were not found in the HMBC spectrum of the O6-substituted side product.
The unstable glycosylic bond in nucleosides is sensitive to certain conditions, which causes great difficulties in the trifluoromethylation of nucleosides. In our previous work, methyl fluorosulphonyl- difluoroacetate/copper iodide (FSO2CF2CO2Me/CuI) [17] was initially applied to the synthesis of 8-CF3-purine nucleosides [9]. Adopting this strategy, trifluoromethylation of 14 was achieved successfully, and optimization of this reaction was carried out (Table 1). Under the optimal reaction conditions, 15 was obtained in 42% yield, and 14 was recovered in 17% yield. Interestingly, compound 16 was also obtained in a yield of 14%. It is known that the tert-butyldimethylsilyl (TBDMS) group and TBDPS group could be removed by tetrabutylammonium fluoride/tetrahydrofuran (TBAF/THF), potassium fluoride and other agents containing fluoride [18]. Accordingly, we deduced it was the fluoride ion generated in the process of trifluoromethylation [17] that facilitated the removal of the 5′-O-TBDPS group. The trifluoromethylated product 15 was characterized by 1H-NMR,13C-NMR, 19F-NMR and HR-ESI-MS spectra. In the 13C-NMR spectrum of compound 15, signals of the CF3 group and C-8 were spilt into two quartets, with 1JCF = 270 Hz and 2JCF = 41 Hz, respectively, and the singlet at −63.358 ppm was observed in the 19F-NMR spectrum. These data strongly support the incorporation of the trifluoromethyl group.
The 5′-O-TBDPS group in compound 15 was removed by employing 70% HF·pyridine [19]. The strong electronegativity of trifluoromethyl group at C-8 of hypoxanthine makes the glycosylic bond rather sensitive to acid conditions. Hence, 70% HF·pyridine was added dropwise to the reaction mixture at −20 °C. Compound 16 was successfully converted to 17 by the reaction with S,S-diphenylphosphorodithioate (PSS) [20] in the presence of triisopropylbenzenesulfonyl chloride (TPSCl) and tetrazole in pyridine, in a yield of 79%. Considering the instability of phenylthio group under basic conditions [21], acetyl chloride in methanol (AcCl/MeOH) [22] was applied to the deacetylation of 17. When 1.2 equivalent of AcCl was utilized, compound 17 was successfully converted to 18. Phosphorylation of the 5′′-hydroxyl in 18 was carried out in the presence of excess POCl3 and N,N-diisopropylethylamine (DIPEA) at 0 °C. After being stirred for 14 h, the mixture was treated with 1 M triethylammonium bicarbonate (TEAB) for 6 h at room temperature [23], which facilitated the semi-deprotection of the S,S-diphenylphosphate. Purified by high performance liquid chromatography (HPLC), compound 19 was obtained as its triethylammonium salt.
Following the Matsuda strategy [24], with excess I2 and 3Å molecular sieves as promoters, the intramolecular cyclization was performed in pyridine by adding a solution of compound 19 slowly over 20 h utilizing a syringe pump. Purification by HPLC afforded cyclic product 5 as its triethylammonium salt in 71% yield, which was characterized by 1H-NMR, 19F-NMR, 31P-NMR and HR-ESI-MS spectra.

2.2. Syntheses of Compounds 6-8

Deacetylation of 16 with K2CO3/MeOH afforded compound 20 (Scheme 2), then both of the free hydroxyl groups in 20 were phosphorylated by employing POCl3/DIPEA in CH3CN at 0 °C for 16 h, followed by the treatment with 1 M TEAB for 6 h. Purified by HPLC, the target molecule 6 was obtained as its triethylammonium salt in 62% yield for two steps.
Compound 23 was synthesized from 21 [6] in a yield of 71% for two steps by a similar method as used for the preparation of 6. After removing the 2′,3′-O-isopropylidene group using 60% HCOOH solution, compound 7 was obtained as its triethylammonium salt in 85% yield. Starting from compound 24 [9], 26 was synthesized by a similar procedure. Considering the sensitivity of 8-CF3-purine nucleosides to acid conditions, we performed the deprotection of 26 by employing 10% rather than 60% HCOOH solution, which afforded compound 8, with little de-glycosylated side product being generated. After purification by HPLC, the target molecule 8 was obtained as its triethylammonium salt in 68% yield, with 26 recovered in a yield of 15%. The biological activity assay of all the compounds synthesized is underway.

3. Experimental

3.1. General

HR-ESI-MS and ESI-MS were performed with a Bruker BIFLEX III instrument. 1H-NMR and 13C-NMR were recorded with a Bruker AVANCE III 400; CDCl3, DMSO-d6 or D2O were used as a solvent. Chemical shifts are reported in parts per million downfield from TMS (1H and 13C). 31P-NMR spectra were recorded at room temperature by use of a JEOL AL300 spectrometer (121.5 MHz) or JEOL ECA600 spectrometer (243 MHz). Orthophosphoric acid (85%) was used as external standard. 19F- NMR spectra were recorded on a Varian VXR-500 spectrometer (470 MHz). Chemical shifts of 19F- NMR are reported in ppm with reference to CF3COOH as external standard. Compounds 19, 23, 26, and 5-8 were purified on an Alltech preparative C18 reversed-phase column (2.2 × 25 cm) with a Gilson HPLC using MeCN/TEAB (pH 7.5) buffer system as eluent.

3.2. Synthesis

N9-[(5-Acetoxyethoxy)methyl]-8-bromoadenine (10). To a stirred suspension of 8-bromoadenine (4.5 g, 21.03 mmol) [14] in anhydrous THF (400 mL) was added potassium tert-butoxide (2.59 g, 23.13 mmol) and 18-crown-6 (1.11 g, 4.20 mmol). The reaction mixture was stirred at room temperature for 15 min, and then BrCH2OCH2CH2OAc (3.1 mL, 23.13 mmol) [15] was added dropwise at 0 °C. After being stirred for 30 min at 0 °C, the mixture was filtered and the filtrate is evaporated under reduced pressure. The residue was purified by silica gel column chromatography (PE-EA = 1:2) to afford compound 10 (3.02 g, 44%). 1H-NMR (400 MHz, DMSO-d6) δ 1.92 (s, 3H, OAc), 3.69-3.72 (m, 2 H, H4′), 4.04-4.17 (m, 2 H, H5′), 5.51 (s, 2H, H1′), 7.48 (s, 2H, NH2), 8.16 (s, 1H, H2). 13C-NMR (100 MHz, DMSO-d6) δ 170.1, 154.8, 153.2, 151.2, 126.5, 118.7, 72.3, 67.0, 62.7, 20.5. MS (ESI-TOF+): m/z = 330.0 [(M + H)+].
N9-[(5-Hydroxylethoxy)methyl]-8-bromohypoxanthine (12). Compound 10 (1.43 g, 4.34 mmol) was dissolved in methanol (120 mL). To the solution was added K2CO3 (73 mg, 0.53 mmol) and stirred for 6 h at room temperature. The mixture was neutralized by addition of 0.1 M HCl solution, and evaporated under reduced pressure. The residue was dissolved in AcOH (70 mL), and a solution of NaNO2 (2.52 g, 36.4 mmol) in H2O (17 mL) was added. The resulting mixture was stirred at room temperature for 24 h. After the mixture was evaporated in vacuo, the residue was partitioned between CHCl3 and H2O. The aqueous phase was extracted again with CHCl3, the organic layer was combined and washed with brine, dried (Na2SO4), filtered and concentrated in vacuo. Flash chromatography (CH2Cl2-MeOH = 40:1) afforded 12 (792 mg, 63% for two steps). 1H-NMR (400 MHz, DMSO-d6) δ 3.46-4.51 (m, 4H, H4′, H5′), 4.63(s, 1H, OH), 5.32 (s, 2H, H1′), 8.14 (s, 1H, H2), 12.56 (s, 1H, NH). MS (ESI-TOF+): m/z = 289.2 [(M + H)+].
N9-[(5-tert-Butyldiphenylsilyloxyethoxy)methyl]-8-bromohypoxanthine (13). To a solution of 12 (700 mg, 2.42 mmol) in anhydrous DMF (10 mL) was added imidazole (1.86 g, 24.2 mmol) and tert-butyldiphenylsilyl chloride (3.4 mL, 12.1 mmol) under argon, and the mixture was stirred at room temperature for 12 h. And the mixture was evaporated in vacuo, the residue was partitioned between CH2Cl2 and H2O. The aqueous phase was extracted again with CH2Cl2, the organic layer was combined and washed with brine, dried (Na2SO4), filtered and concentrated in vacuo. Flash chromatography (PE-acetone = 5:1) afforded compound 13 (1.21 g, 95%). 1H-NMR (400 MHz, CDCl3) δ 1.06 (s, 9H, (CH3)3C-), 3.71-3.73 (m, 2H, H4′), 3.82-3.84 (m, 2H, H5′), 5.66 (s, 2H, H1′), 7.37-7.69 (m, 10H, ArH), 8.44 (s, 1H, H2),13.19 (s, 1H, NH). 13C-NMR (100 MHz, CDCl3) δ 157.8, 150.8, 146.3, 135.5, 133.3, 129.6, 127.6, 126.4, 124.6, 77.3, 77.0, 76.7, 73.5, 71.1, 62.9, 26.7, 19.0. HRMS (ESI-TOF+): calcd for C24H27BrN4O3Si [(M + H)+] 527.1109, [(M + Na)+] 549.0928, [(M + K)+] 565.0662; found, 527.1109, 549.0931, 565.0667.
N1-[(5′′-Acetoxyethoxy)methyl]-N9-[(5-tert-butyldiphenylsilyloxyethoxy)methyl]-8-bromohypoxanthine (14). To the solution of 13 (1.23 g, 2.33 mmol) and DBU (3.5 mL, 23.3 mmol) in anhydrous CH2Cl2 (25 mL) was added ClCH2OCH2CH2OAc (1.8 mL, 11.65 mmol) [15] dropwise at 0 °C. After being stirred for 40 min at room temperature, the solvent was evaporated in vacuo and the residue was purified by silica gel column chromatography (PE-acetone = 5:1) to afford compound 14 (916 mg, 61%). 1H-NMR (400 MHz, CDCl3) δ 1.04 (s, 9H, (CH3)3C-), 2.03 (s, 3H, OAc), 3.68-3.70 (m, 2H, H4′), 3.79-3.82 (m, 2H, H5′), 3.85-3.87 (m, 2H, H4′′), 4.18-4.20 (m, 2H, H5′′), 5.54 (s, 2H, H1′′), 5.61 (s, 2H, H1′), 7.35-7.66 (m, 10H, ArH), 8.09 (s, 1H, H2). 13C-NMR (100 MHz, CDCl3) δ 170.7, 155.3, 149.2, 147.8, 135.5, 133.2, 129.7, 127.6, 126.2, 124.3, 75.0, 73.5, 71.0, 68.1, 62.9, 26.7, 20.7, 19.0. HRMS (ESI-TOF+): calcd for C29H35BrN4O6Si [(M + H)+] 643.1582, [(M + Na)+] 665.1401, [(M + K)+] 681.1135; found, 643.1563, 665.1377, 681.1117.
N1-[(5′′-Acetoxyethoxy)methyl]-N9-[(5-tert-butyldiphenylsilyloxyethoxy)methyl]-8-trifluoromethyl- hypoxanthine (15). To a solution of compound 14 (576 mg, 0.895 mmol) and CuI (206 mg, 1.074 mmol) in anhydrous DMF (33 mL), hexamethylphosphoric triamide (2.39 mL, 13.425 mmol) and FSO2CF2CO2Me (1.71 mL, 13.425 mmol) were added successively. The reaction mixture was stirred for 20 h at 70 °C under argon, then cooled to room temperature, 22 mL of saturated aq. NH4Cl was added and the mixture was extracted with 200 mL of EA-hexanes (7:3). The organic layer was washed successively with sat. aq. NaHCO3, water and brine, dried (Na2SO4), filtered, and concentrated under reduced pressure. The residue was purified by silica gel column chromatography (PE-acetone = 9:2) to afford compound 15 (238 mg, 42%) and compound 16 (48 mg, 14%), with compound 14 recovered (96 mg, 17%). 1H-NMR (400 MHz, CDCl3) δ 1.03 (s, 9H, (CH3)3C-), 2.04 (s, 3H, OAc), 3.68-3.70 (m, 2H, H4′), 3.79-3.81 (m, 2H, H5′), 3.87-3.89 (m, 2H, H4′′), 4.20-4.22 (m, 2H, H5′′), 5.56 (s, 2H, H1′′), 5.76 (s, 2H, H1′), 7.35-7.66 (m, 10H, ArH), 8.18 (s, 1H, H2). 13C-NMR (100 MHz, CDCl3) δ 170.7, 156.3, 149.4, 149.3, 138.6 (d, 2JCF = 41 Hz), 135.5, 133.2, 129.7, 127.7, 122.7, 118.2 (q, 1JCF = 270 Hz), 75.1, 73.5, 71.4, 68.3, 63.1, 63.0, 26.7, 20.8, 19.1. 19F-NMR (470 MHz, CDCl3) δ -63.4 (s). HRMS (ESI-TOF+): calcd for C30H35F3N4O6Si [(M + Na)+] 655.2170, [(M + K)+] 671.1904; found, 655.2169, 671.1913.
N1-[(5′′-Acetoxyethoxy)methyl]-N9-[(5-hydroxylethoxy)methyl]-8-trifluoromethylhypoxanthine (16). A solution of 15 (182 mg, 0.288 mmol) in anhydrous THF (35 mL) was added 70% HF·Py 1.3 mL at −20 °C. The mixture was stirred at 0 °C for 1 h and at room temperature over night. The reaction mixture was quenched with saturated aq. NaHCO3 at 0 °C and diluted with ethyl acetate, then partitioned and the water layer was washed with ethyl acetate again. The organic layer was combined, washed with brine, dried (Na2SO4), filtered and concentrated under reduced pressure. The residue was purified by silica gel column chromatography (PE-EA = 1:5) to afford the compound 16 (91 mg, 82%). 1H-NMR (400 MHz, CDCl3) δ 2.05 (s, 3H, OAc), 3.68-3.74 (m, 4H, H4′, H5′), 3.87-3.89 (m, 2H, H4′′), 4.19-4.22 (m, 2H, H5′′), 5.56 (s, 2H, H1′′), 5.76 (s, 2H, H1′), 8.23 (s, 1H, H2). 13C-NMR (100 MHz, CDCl3) δ 170.8, 156.2, 149.6, 149.3, 138.4 (q, 2JCF = 41 Hz), 122.7, 118.2 (q, 1JCF = 270 Hz), 75.1, 73.2, 71.2, 68.3, 62.9, 61.4, 20.8; 19F-NMR (470 MHz, CDCl3) δ-63.4 (s). HRMS (ESI-TOF+): calcd for C14H17F3N4O6 [(M + Na)+] 417.0992, [(M +K)+], 433.0726; found, 417.0991, 433.0730.
N1-[(5′′-Acetoxyethoxy)methyl]-N9-[[5-bis(phenylthio)phosphoryloxyethoxy]-methyl]-8-trifluoro-methylhypoxanthine (17). To a solution of 16 (66 mg, 0.167 mmol) in anhydrous pyridine (5 mL) was added TPSCl (302 mg, 1.00 mmol), PSS (571 mg, 1.50 mmol) [20], and tetrazole (105 mg, 1.50 mmol), and the mixture was stirred at room temperature for 12 h. The mixture was evaporated, and the residue was purified by silica gel column chromatography (PE-EA = 1:2) to give compound 17 (86 mg, 79%). 1H NMR (400 MHz, CDCl3) δ 2.05 (s, 3H, OAc), 3.82-3.84 (m, 2H, H4′), 3.86-3.88 (m, 2H, H5′), 4.18-4.21 (m, 2H, H4′′), 4.31-4.35 (m, 2H, H5′′), 5.56 (s, 2H, H1′′), 5.68 (s, 2H, H1′), 7.33-7.52 (m, 10H, ArH), 8.22 (s, 1H, H2). 13C-NMR (100 MHz, CDCl3) δ 170.8, 156.3, 149.7, 149.3, 138.5 (q, 2JCF = 41 Hz), 135.3, 129.7, 129.4, 125.9, 122.7, 118.2 (q, 1JCF = 269 Hz), 75.2, 73.0, 69.0, 68.4, 66.2, 62.9, 20.8. 19F NMR (470 MHz, CDCl3) δ-63.4 (s). 31P-NMR (D2O, 243 MHz, decoupled with 1H) δ50.41 (s). HRMS (ESI-TOF+): calcd for C30H35F3N4O6Si [(M + H)+], 659.1005; found, 659.1006.
N1-[(5′′-Phosphonoxyethoxy)methyl]-N9-[[5-(phenylthio)phosphoryloxyethoxy]methyl]-8-trifluoro- methylhypoxanthine (19). Compound 17 (54 mg, 0.082 mmol) was dissolved in MeOH (4 mL), and a solution of acetyl chloride (7 μL, 0.098 mmol) in anhydrous CH2Cl2 (1 mL) was added at −20 °C. The mixture was stirred at 0 °C for 30 min and raised to room temperature for 24 h, then neutralized by sat. aq. NaHCO3 solution. The mixture was evaporated, and the residue was partitioned between CH2Cl2 and H2O. The aqueous phase was extracted again with CH2Cl2, the organic layers were combined and washed with brine, dried (Na2SO4), filtered and concentrated in vacuo. The residue was purified by silica gel column chromatography (PE-EA =1:10) to give compound 18 (31 mg). The deacetylated product 18 (31 mg, 0.050 mmol) was dissolved in anhydrous CH3CN (8 mL). DIPEA (65 μL, 0.375 mmol) and POCl3 (28 μL, 0.300 mmol) were added successively to the solution at −20 °C, and the mixture was stirred at 0 °C for 14 h, and then added 5mL of TEAB (1 M, pH 7.5) at 0 °C and stirred at room temperature for 6 h. After evaporation under reduced pressure, the residue was partitioned between H2O and CHCl3, and the aqueous layer was washed with CHCl3 and evaporated in vacuo. The residue was dissolved in 5 mL of TEAB buffer (0.05 M, pH 7.5), then applied to a C18 reversed-phase column (2.2 × 25 cm). The column was developed using a linear gradient of 0-40% CH3CN in TEAB buffer (0.05 M, pH 7.5) within 30 min to afford 19 (27 mg, 41% for two steps) as its triethylammonium salt. 1H-NMR (400 MHz, D2O) δ 3.70-3.73 (m, 4H, H4′, H5′), 3.85-3.89 (m, 2H, H4′′), 3.94-3.98 (m, 2H, H5′′), 5.45 (s, 2H, H1′′), 5.64 (s, 2H, H1′), 7.09-7.29 (m, 5H, ArH), 8.41 (s, 1H, H2). 13C-NMR (100 MHz, D2O) δ 157.6, 150.9, 149.5, 138.8 (q, 2JCF = 41 Hz), 132.7, 129.6, 128.9, 127.7, 122.1, 117.8 (q, 1JCF = 270 Hz), 76.4, 73.3, 69.3, 64.9, 64.3, 46.6, 8.2. 19F-NMR (470 MHz, D2O) δ-63.0 (s). 31P-NMR (D2O, 243 MHz, decoupled with 1H) δ 1.10 (s), 17.80 (s). HRMS (ESI-TOF) calcd for C18H21N4O10P2SF3 [(M − H)], 603.0333; found, 603.0331.
N1-[(5′′-O-Phosphorylethoxy)methyl]-N9-[(5-O-phosphorylethoxy)methyl]-8-trifluoromethylhypo- xanthine-cyclic pyrophosphate (5). A solution of 19 (5 mg, 6.1 μmol) in anhydrous pyridine (4.5 mL) was added slowly over 20 h, utilizing a syringe pump, to a mixture of I2 (36 mg, 142 μmol) and 3 Å molecular sieves (0.36 g), in pyridine (40 mL) at room temperature in the dark. The molecular sieves were filtered off with Celite and washed with H2O. The combined filtrate was evaporated, and the residue was partitioned between CHCl3 and H2O. The aqueous layer was evaporated, and the residue was dissolved in 0.05 M TEAB buffer, which was applied to C18 reversed-phase column (2.2 × 25 cm). The column was developed using a linear gradient of 0-20% CH3CN in TEAB buffer (0.05 M, pH 7.5) within 30 min to give 5 as its triethylammonium salt (3.0 mg, 71%). 1H-NMR (400 MHz, D2O) δ 3.70-3.78 (m, 4H, H4′, H5′), 3.81-3.83 (m, 2H, H4′′), 3.88-3.90 (m, 2H, H5′′), 5.54 (s, 2H, H1′′), 5.75 (s, 2H, H1′), 8.49 (s, 1H, H2). 19F-NMR (470 MHz, D2O) δ-62.5 (s). 31P-NMR (D2O 121.5 MHz, decoupled with 1H) δ −10.07 (d, JP,P = 18.2 Hz), −10.42 (d, JP,P = 18.2 Hz). HRMS (ESI-TOF) calcd for C12H15N4O10P2F3 [(M − H)], 493.0143; found, 493.0146.
N1-[(5′′-Phosphonoxyethoxy)methyl]-N9-[(5-Phosphonoxyethoxy)methyl]-8- trifluoromethylinosine (6). Compound 16 (20 mg, 0.051 mmol) was dissolved in methanol (2 mL). To the solution was added K2CO3 (1 mg, 7.24 μmol) at room temperature and stirred for 6h. The mixture was neutralized by addition of 0.01 M HCl solution, and removed of the solvent in vacuo. The residue was partitioned between CHCl3 and H2O, and the organic layer was washed with brine, dried (Na2SO4), and evaporated, affording compound 20 (16 mg). Compound 20 (16 mg, 0.045 mmol) was dissolved in anhydrous CH3CN (5 mL). DIPEA (94 μL, 0.54 mmol) and POCl3 (42 μL, 0.45 mmol) were added successively to the solution at −20 °C. The mixture was stirred at 0 °C for 16 h, and then added 5 mL of TEAB (1 M, pH 7.5) at 0 °C and stirred for 6 h at room temperature. After evaporation under reduced pressure, the residue was partitioned between H2O and CHCl3, and the aqueous layer was washed with CHCl3 and evaporated in vacuo. The residue was dissolved in 5 mL of TEAB buffer (0.05 M, pH 7.5), and applied to a C18 reversed-phase column (2.2 × 25 cm). The column was developed using a linear gradient of 0-40% CH3CN in TEAB buffer (0.05 M, pH 7.5) within 30 min to give 6 (22.3 mg, 62% for two steps) as its triethylammonium salt. 1H-NMR (400 MHz, D2O) δ 3.73-3.79 (m, 4H, H4′, H5′), 3.85-3.92 (m, 4H, H4′′, H5′′), 5.45 (s, 2H, H1′′), 5.77 (s, 2H, H1′), 8.51 (s, 1H, H2). 13C-NMR (100 MHz, D2O) δ 157.8, 151.0, 149.7, 138.6 (q, 2JCF = 41 Hz), 122.2, 117.9 (q, 1JCF = 270 Hz), 76.4, 73.3, 69.5, 69.2, 64.1, 63.8. 19F-NMR (470 MHz, D2O) δ -62.9 (s). 31P-NMR (D2O, 243 MHz, decoupled with 1H) δ 0.19 (s), 0.22 (s). HRMS (ESI-TOF) calcd for C12H17N4O11P2F3 [(M − H)], 511.0248; found, 511.0246.
N1-[(5′′-Phosphonoxyethoxy)methyl]-5-O-phosphoryl-2,3-O-isopropylidene-inosine(23). Compound 21 (49 mg, 0.116 mmol) [6] was dissolved in 24 mL of methanol. To the solution was added K2CO3 (2 mg, 14.5 μmol) and stirred at room temperature for 6h. The mixture was neutralized by addition of 0.1 M HCl solution, and removed of the solvent in vacuo. The residue was partitioned between CHCl3 and H2O, and the organic layer was washed with brine, dried (Na2SO4), and evaporated, affording compound 22 (38mg). Compound 22 (38 mg, 0.099 mmol) was dissolved in anhydrous CH3CN (5 mL). DIPEA (0.21 mL, 1.19 mmol) and POCl3 (91 μL, 0.99 mmol) were added successively to the solution at −20 °C. The mixture was stirred at 0 °C for 16 h, and then was neutralized by addition of 1 M NaOH solution. And the resulting mixture was stirred at room temperature for 2 h. After evaporated under reduced pressure, the residue was partitioned between H2O and CHCl3, and the aqueous layer was washed with CHCl3 and evaporated in vacuo. The residue was dissolved in 5 mL of TEAB buffer (0.05 M, pH 7.5), and applied to a C18 reversed-phase column (2.2 × 25 cm). The column was developed using a linear gradient of 0-40% CH3CN in TEAB buffer (0.05 M, pH 7.5) within 30 min to give 23 (61 mg, 71% for two steps) as its triethylammonium salt. 1H-NMR (400 MHz, D2O) δ 1.31, 1.53 (each s, each 3H, 2 × CH3), 3.72-3.74 (m, 2H, H5′), 3.85-3.89 (m, 2H, CH2O), 3.91-3.94 (m, 2H, CH2OP), 4.52-4.56 (m, 1H, H4′), 5.06 (dd, 1H, JH3′,H4′ = 1.6 Hz, JH3′, H2′ = 6.0 Hz, H3′), 5.29 (dd, 1H, JH2′,H1′= 2.8 Hz, JH2′,H3′ = 6.0 Hz, H2′), 5.47 (d, 1H, JH1″b, H1″a = 10.8 Hz, H1″b), 5.51 (d, 1H, JH1″a, H1″b = 10.8 Hz, H1″a), 6.17 (d, 1H, JH1′,H2′ = 2.8 Hz, H1′), 8.23, 8.34 (each s, each 1H, H8, H2). 31P-NMR (D2O, 121.5 MHz, decoupled with 1H) δ 1.79 (s), 1.91 (s). HRMS(ESI-TOF): calcd for C14H24N4O13P2 [(M − H)], 541.0742; found, 541.0733.
N1-[(5′′-Phosphonoxyethoxy)methyl]-5-O-phosphorylinosine (7). A solution of 23 (25 mg, 33.6 μmol) in 60% HCOOH (6 mL) was stirred for 8 h, and then 14 mL of TEAB (1M, pH 7.5) was added. The solution was evaporated under reduced pressure. The residue was dissolved in 0.05 M TEAB buffer (4.0 mL), which was applied to C18 reversed-phase column (2.2 × 25 cm). The column was developed using a linear gradient of 0-40% CH3CN in TEAB buffer (0.05 M, pH 7.5) within 30 min to afford 7 as its triethylammonium salt (20.2 mg. 85%). 1H-NMR (400 MHz, D2O) δ 3.72-3.74 (m, 2H, H5′), 3.85-3.88 (m, 2H, CH2O), 3.98-4.01 (m, 2H, CH2OP), 4.23-4.26 (m, 1H, H4′), 4.34-4.37 (m, 1H, H3′), 4.59-4.61 (m, 1H, H2′), 5.46-5.52 (m, 2H, H1″), 6.01 (d, 1H, JH1′,H2′ = 5.6 Hz, H1′), 8.31, 8.36 (each s, each 1H, H8, H2). 31P-NMR (D2O, 243 MHz, decoupled with 1H) δ 0.81 (s), 0.92 (s). HRMS (ESI-TOF): calcd for C14H24N4O13P2 [(M − H)], 501.0429; found, 501.0426.
N1-[(5′′-Phosphonoxyethoxy)methyl]-5′-O-phosphoryl-2,3-O-isopropylidene-8-trifluoromethylinosine (26). By a similar procedure that described for 6, 26 was synthesized from 24 [9], as its triethylammonium salt, in 57% yield for two steps. 1H-NMR (400 MHz, D2O) δ 1.29, 1.50 (each s, each 3H, 2×CH3), 3.71-3.73 (m, 2H, H5′), 3.82-3.96 (m, 4H, CH2O, CH2OP), 4.35-4.39 (m, 1H, H4′), 5.19 (dd, 1H, JH3′,H4′ = 4.0 Hz, JH3′,H2′ = 6.8 Hz, H3′), 5.40 (d, 1H, JH1″a,H1″b=10.8 Hz, H1″a), 5.55-5.60 (m, 2H, H1″b, H2′), 6.23 (d, 1H, JH1′,H2′ = 2.0 Hz, H1′), 8.44 (s, 1H, H2). 13C-NMR (100 MHz, D2O) δ 157.8, 150.6, 148.9, 138.3 (q, 2JCF = 40Hz), 122.9, 117.8 (q, 1JCF = 270 Hz), 115.4, 90.0, 86.7, 86.6, 83.7, 81.1, 76.4, 69.2, 64.2, 63.8, 25.9, 24.2. 19F-NMR (470 MHz, D2O) δ -61.9 (s). 31P-NMR (D2O, 243 MHz, decoupled with 1H) δ 0.54 (s), 0.70 (s). HRMS(ESI-TOF): calcd for C17H23F3N4O13P2 [(M − H)], 609.0612; found, 609.0615.
N1-[(5′′-Phosphonoxyethoxy)methyl]-5-O-phosphoryl-8-trifluoromethylinosine (8). A solution of 26 (15 mg, 18.47 μmol) in 10% HCOOH (7.5 mL) was stirred at room for 60 h, and then 11 mL of TEAB (1 M, pH 7.5) was added. The solution was evaporated in vacuo. The residue was dissolved in 0.05 M TEAB buffer (2.0 mL), which was applied to C18 reversed-phase column (2.2 cm × 25 cm). The column was developed using a linear gradient of 0-40% CH3CN in TEAB buffer (0.05 M, pH 7.5) within 30 min to afford compound 8 (9.7 mg, 68%) as its triethylammonium salt, with the compound 26 (2.2 mg, 15%) recovered. 1H-NMR (400 MHz, D2O) δ 3.76-3.78 (m, 2H, H5′), 3.87-3.91 (m, 2H, CH2O), 4.02-4.13 (m, 2H, CH2OP), 4.21-4.25 (m, 1H, H4′), 4.55-4.57 (m, 1H, H3′), 5.20-5.23 (m, 1H, H2′), 5.46 (d, 1H, JH1″b, H1″a = 10.6 Hz,H1′b), 5.59 (d, 1H, JH1″a, H1″b = 10.6 Hz, H1″a), 5.99 (d, 1H, JH1″,H2′ = 5.6 Hz, H1′), 8.47 (s, 1H, H2). 13C-NMR (100 MHz, D2O) δ 157.9, 150.3, 149.4, 138.9 (q, 2JCF = 40Hz), 123.2, 117.8 (q, 1JCF = 269 Hz), 89.8, 84.4, 76.3, 72.0, 70.0, 69.3, 64.4, 64.1. 19F-NMR (470 MHz, D2O) δ -61.7 (s). 31P-NMR (D2O, 121.5 MHz, decoupled with 1H) δ 6.25(s), 6.27 (s). HRMS(ESI-TOF): calcd for C14H19F3N4O13P2 [(M − H)], 569.0303; found, 569.0315.

4. Conclusion

In conclusion, we have successfully synthesized 8-CF3-cIDPDE (5) via construction of N1, N9-disubstituted hypoxanthine, trifluoromethylation and intramolecular condensation. A series of novel acyclic analogues of cADPR, compounds 6-8, were also synthesized by concise synthetic routes. With the special properties of trifluoromethyl, 8-CF3-cIDPDE and the acyclic derivatives are expected to provide useful agents to explore the cADPR/RyR Ca2+ signalling system and illuminate the structure-activity relationship of cADPR analogues.

Acknowlegements

This study was supported by the National Natural Sciences Foundation of China (Grant no. 90713005, 20832008) and the Ministry of Education of China (Grant no. 200800010078).

References

  1. Clapper, D.L.; Walseth, T.F.; Dargie, P.J.; Lee, H.C. Pyridine nucleotide metabolites stimulate calcium release from sea urchin egg microsomes desensitized to inositol trisphosphate. J. Biol Chem. 1987, 262, 9561–9568. [Google Scholar] [PubMed]
  2. Guse, A.H. Biochemistry, biology, and pharmacology of cyclic adenosine diphosphoribose (cADPR). Curr. Med. Chem. 2004, 11, 847–855. [Google Scholar] [CrossRef] [PubMed]
  3. Shuto, S.; Matsuda, A. Chemistry of cyclic ADP-ribose and its analogs. Curr. Med. Chem. 2004, 11, 827–845. [Google Scholar] [CrossRef] [PubMed]
  4. Zhang, L.H.; Guse, A.H. Cyclic ADP-ribose analogues with minimal structure: synthesis and calcium-release activity. In Drug Discovery Research: New Frontiers in the Post-Genomic Era; Huang, Z.W., Ed.; John Wiley & Sons, Inc.: New York, NY, USA, 2007; pp. 186–202. [Google Scholar]
  5. Oliviero, G.; D’Errico, S.; Borbone, N.; Amato, J.; Piccialli, V.; Varra, M.; Piccialli, G.; Mayol, L. A solid-phase approach to the synthesis of N-1-alkyl analogues of cyclic inosine-diphosphate-ribose (cIDPR). Tetrahedron 2010, 66, 1931–1936. [Google Scholar] [CrossRef]
  6. Gu, X.F.; Yang, Z.J.; Zhang, L.R.; Zhang, L.H. Synthesis and biological evaluation of novel membrane-permeant cyclic ADP-ribose mimics: N1-[(5′′-O-phosphorylethoxy)-methyl]-5′-O- phosphorylinosine 5′,5′′-cyclic pyrophosphate (cIDPRE) and 8-substituted derivatives. J. Med. Chem. 2004, 47, 5674–5682. [Google Scholar] [CrossRef] [PubMed]
  7. Guse, A.H.; Gu, X.F.; Zhang, L.R.; Weber, K.; Zhang, L.H. A minimal structural analogue of cyclic ADP-ribose. J. Biol. Chem. 2005, 280, 15952–15959. [Google Scholar] [CrossRef] [PubMed]
  8. McClinton, M.A.; McClinton, D.A. Trifluoromethylations and related reactions in organic chemistry. Tetrahedron 1992, 48, 6555–6666. [Google Scholar] [CrossRef]
  9. Dong, M.; Kirchberger, T.; Huang, X.C.; Yang, Z.J.; Zhang, L.R.; Guse, A.H.; Zhang, L.H. Trifluoromethylated Cyclic-ADP- Ribose Mimic: Synthesis of 8-trifluoromethyl-N1- [(5′′-O-Phosphorylethoxy)methyl]-5′-O-phosphorylinosine-5′,5′′-cyclic pyrophosphate (8-CF3- cIDPRE) and its calcium release activity in T Cells. Org. Biomol. Chem. 2010, 8, 4705–4715. [Google Scholar] [CrossRef] [PubMed]
  10. Walseth, T.F.; Lee, H.C. Synthesis and characterization of antagonists of cyclic-ADP-ribose-induced Ca2+ release. Biochim. Biophys. Acta, Mol. Cell Res. 1993, 1178, 235–242. [Google Scholar] [CrossRef]
  11. Gu, Q.M.; Sih, C.J. Cyclic-ADP-ribose: synthesis and structure. J. Am. Chem. Soc. 1994, 116, 7481–7486. [Google Scholar] [CrossRef]
  12. Canales, J.; Fernández, A.; Rodrigues, A.J.; Ferreira, R.; Ribeiro, J.M.; Cabezas, A.; Costas, M.J.; Cameselle, J.C. Hydrolysis of the phosphoanhydride linkage of cyclic ADP-ribose by the Mn2+-dependent ADP-ribose/CDP-alcohol pyrophosphatase. FEBS Letters 2009, 583, 1593–1598. [Google Scholar] [CrossRef] [PubMed]
  13. Wu, H.M.; Yang, Z.J.; Zhang, L.R.; Zhang, L.H. Concise Synthesis of Acyclic Analogues of cADPR with Ether Chain as Northern Moiety. New J. Chem. 2010, 34, 956–966. [Google Scholar] [CrossRef]
  14. Li, X.; Vince, R. Synthesis and biological evaluation of purine derivatives incorporating metal chelating ligands as HIV integrase inhibitors. Bioorg. Med. Chem. 2006, 14, 5742–5755. [Google Scholar] [CrossRef] [PubMed]
  15. Robins, M.J.; Hatfield, P.W. Convenient and high-yield syntheses of N-[(2-hydroxy- ethoxy)methyl] heterocycles as “acyclic nucleoside’’ analogues. Can. J. Chem. 1982, 60, 547–553. [Google Scholar] [CrossRef]
  16. Lazrek, H.B.; Taourirte, M.; Barascut, J.L.; Imbach, J.L. Solid-liquid phase catalysis I: study of the N-alkylation of purines and pyrimidines. Nucleos. Nucleot. 1991, 10, 1285–1293. [Google Scholar] [CrossRef]
  17. Chen, Q.Y.; Wu, S.W. Methyl fluorosulphonyldifluoroacetate, a new trifluoromethylating agent. J. Chem. Soc., Chem. Commun. 1989, 705–706. [Google Scholar] [CrossRef]
  18. Lalonde, M.; Chan, T.H. Use of organosilicon reagents as protective groups in organic synthesis. Synthesis 1985, 817–845. [Google Scholar] [CrossRef]
  19. Nicolaou, K.C.; Webber, S.E. Stereocontrolled total synthesis of lipoxins B. Synthesis 1986, 453–461. [Google Scholar] [CrossRef]
  20. Yamaguchi, K.; Honda, S.; Hata, T. A convenient method for the preparation of S,S-diaryl phosphorodithioates. Chem. Lett. 1979, 507–508. [Google Scholar]
  21. Sekine, M.; Kamimura, T.; Hata, T. A convenient method for the synthesis of P1- (7-methylguanosine-5′) P2- (ribonuceoside-5′) diphosphates. J. Chem. Soc. Perkin Trans. I 1985, 997–1000. [Google Scholar] [CrossRef]
  22. Yeom, C.E.; Lee, S.Y.; Kim, Y.J.; Kim, B.M. Mild and chemoselective deacetylation method using a catalytic amount of acetyl chloride in methanol. Syn. Lett. 2005, 10, 1527–1530. [Google Scholar] [CrossRef]
  23. Li, L.J.; Lin, B.C.; Yang, Z.J.; Zhang, L.R.; Zhang, L.H. A concise route for the preparation of nucleobase-simplified cADPR mimics by click chemistry. Tetrahedron Lett. 2008, 49, 4491–4493. [Google Scholar] [CrossRef]
  24. Fukuoka, M.; Shuto, S.; Shirato, M.; Sumita, Y.; Veno, Y.; Matsuda, A. An efficient synthesis of cyclic IDP- and cyclic condensation method to form an intramolecular pyrophosphate linkage as a key step. An entry to a general method for the chemical synthesis of synthesis of cyclic ADP-ribose analogues. J. Org. Chem. 2000, 65, 5238–5248. [Google Scholar] [CrossRef] [PubMed]
Figure 1. Structures of cADPR and its analogues.
Figure 1. Structures of cADPR and its analogues.
Molecules 15 08689 g001
Figure 2. Structures of compounds 4-8.
Figure 2. Structures of compounds 4-8.
Molecules 15 08689 g002
Scheme 1. Synthesis of 8-CF3-cIDPDE (5).
Scheme 1. Synthesis of 8-CF3-cIDPDE (5).
Molecules 15 08689 sch001
Figure 3. Structures of 14 and its O6-isomer.
Figure 3. Structures of 14 and its O6-isomer.
Molecules 15 08689 g003
Scheme 2. Syntheses of compounds 6-8.
Scheme 2. Syntheses of compounds 6-8.
Molecules 15 08689 sch002
Table 1. Optimization of the reaction conditions of trifluoromethylation.
Table 1. Optimization of the reaction conditions of trifluoromethylation.
EntryFSO2CF2CO2Me /HMPAYield
15 equivtrace
210 equiv12%
315 equiv42%
420 equiv31%
530 equiv18%

Share and Cite

MDPI and ACS Style

Huang, X.; Dong, M.; Liu, J.; Zhang, K.; Yang, Z.; Zhang, L.; Zhang, L. Concise Syntheses of Trifluoromethylated Cyclic and Acyclic Analogues of cADPR. Molecules 2010, 15, 8689-8701. https://doi.org/10.3390/molecules15128689

AMA Style

Huang X, Dong M, Liu J, Zhang K, Yang Z, Zhang L, Zhang L. Concise Syntheses of Trifluoromethylated Cyclic and Acyclic Analogues of cADPR. Molecules. 2010; 15(12):8689-8701. https://doi.org/10.3390/molecules15128689

Chicago/Turabian Style

Huang, Xiangchen, Min Dong, Jian Liu, Kehui Zhang, Zhenjun Yang, Liangren Zhang, and Lihe Zhang. 2010. "Concise Syntheses of Trifluoromethylated Cyclic and Acyclic Analogues of cADPR" Molecules 15, no. 12: 8689-8701. https://doi.org/10.3390/molecules15128689

APA Style

Huang, X., Dong, M., Liu, J., Zhang, K., Yang, Z., Zhang, L., & Zhang, L. (2010). Concise Syntheses of Trifluoromethylated Cyclic and Acyclic Analogues of cADPR. Molecules, 15(12), 8689-8701. https://doi.org/10.3390/molecules15128689

Article Metrics

Back to TopTop