Properties of a Random Bipartite Geometric Associator Graph Inspired by Vehicular Networks
Abstract
:1. Introduction
1.1. Background and Motivation
1.2. PLP-PPP Random Bipartite Geometric Associator Graph
1.3. Context and Contributions
- We provide simplified PGFs of the number of points of the PLP-PPP falling in a ball centered at an arbitrary location from and at a randomly selected point of PLP-PPP. Using these results, we provide closed form expressions for the CDFs of k-th CD and NND of PLP-PPP.
- We then derive the node-degree distribution of the typical and tagged control/access node of a random bipartite geometric associator graph that associates a PLP-PPP to an independent PPP (described in Section 1.2). We also provide approximate distributions for the same.
- As a key intermediate result, we present the empirical PDF of the perimeter of the zero-cell of the Poisson Voronoi (PV) cell for this setup as well as an approximate distribution of the length of any randomly selected chord of the zero-cell.
- Finally, we discuss several applications of the new node degree distribution result in wireless networks. Examples include the simple closed form expressions for load distribution, rate coverage, meta distribution of rate, and coverage as well as content caching analysis in vehicular networks. We also provided a direct application of the derived node degree result to the analysis of a wireless sensor network.
1.4. Notation
2. System Model
3. Cell Perimeter, Area and Chord Distribution under PV Tessellation
3.1. Area, Perimeter, and Chord Length Distribution of the Typical Cell
3.2. Area, Perimeter, and Chord Length Distribution of the Zero-Cell
4. Distance Distributions for PLP-PPP
4.1. Distribution of the k-th CD
4.2. Distribution of the k-th NND
5. Node Degree Distribution for the Typical Master Node in the Associator Graph
- S–1
- Conditioned on the perimeter Z of the typical Voronoi cell, using the property of PLP, the number of lines n intersecting the Voronoi cell is Poisson RV with mean . The empirical distribution of Z is provided in [24] and stated above in (8).
- S–2
- Conditioned on the perimeter Z and n, we compute the length distribution (PDF) of all chords of the typical Voronoi cell.
- S–3
- Once the PDF of the sum of lengths of the n chords is obtained in S-2, we can decondition it using the distribution of n conditioned on Z. Finally, using the distribution of Z, we obtain the PGF for the node degree of the typical master node.
5.1. Approximation-1-typical () Approach
5.2. Approximation-2-typical () Approach
6. Node Degree Distribution for the Tagged Master Node in the Associator Graph
- S–1
- As soon as we condition on the typical point of , we know that there is a line passing through that location (since points of lie on the lines). Recall that the chord corresponding to this line has been defined as the tagged chord above. In addition, there are other chords in the zero-cell, on which points are located. Hence, the node degree is the sum of the number of points on the tagged chord and the other chords of zero-cell.
- S–2
- Hence, the PGF for is the product of the PGF of the number of points falling on the tagged chord and the PGF for the number of points falling on the rest of the chords of the zero-cell.
- S–3
- The length distribution of the tagged chord is presented in (12). Using that, we can compute the PGF of the number of points falling on the tagged chord.
- S–4
- Conditioned on the perimeter of the zero-cell, the number of other chords is Poisson distributed. Using the distribution of the sum of their lengths conditioned on the perimeter of the zero-cell and their number, the PGF of the number of points on them can be computed which can be further averaged over the two.
6.1. Approximation-1-zero ()
6.2. Approximation-2-zero () Approach
7. Application Area 1: Vehicular Communications Networks
- The spatial layout of roads is modeled a PLP with density .
- We model the vehicles on the i-th road by an independent PPP with density . Therefore, the union of all the vehicles located on each road of forms PLP-PPP.
- The BS locations are modeled as a 2-D PPP with density . The role of the BS is to provide infrastructure connectivity (V2I) to the vehicles.
- Further, we assume that the association of a vehicle to its serving BS is based on the maximum average received power. Assuming the same transmit power for all the BSs, this is the same as associating each vehicle with its closest BS. In other words, each vehicle will connect to the BS whose Voronoi cell it falls in. Therefore, if we consider a PV tessellation with the BSs as master nodes, each Voronoi cell will denote the service region of the respective BS.
7.1. The Load on the Typical BS
7.2. The Load on the Tagged BS
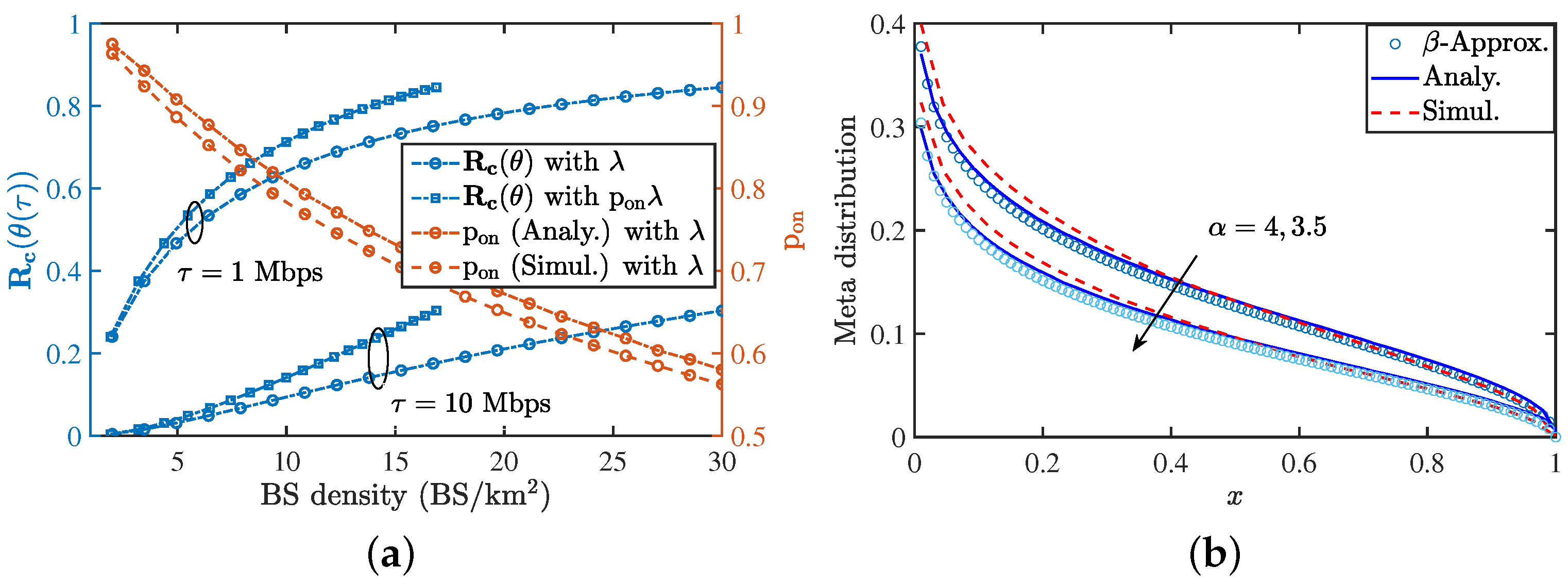
7.3. Rate Coverage
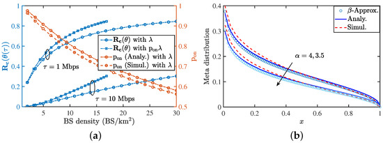
7.3.1. Meta Distribution of Rate Coverage
7.3.2. Approximation for the Meta Distribution
7.4. Coverage under V2I Line of Sight (LOS) Only Communication
7.5. Content Caching in V2V within Communication Range
8. Application Area 2: Wireless Sensor Networks
9. Numerical Results
9.1. CD and NND Distributions
9.2. Validation of the Approximations Proposed in the Load Distributions
9.3. Mean and Variance of the Load on the Typical and Zero-Cell
9.4. Validation of Rate Coverage and Meta Distribution
9.5. Comparison with PPP Based Models
9.6. Distribution and Cache Hitting Probability
10. Conclusions
Author Contributions
Funding
Data Availability Statement
Conflicts of Interest
Appendix A. Proof of Proposition 1

Appendix B. Proof of Proposition 2
Appendix C. Proof of Corollary 2: Proof of Length Distribution of Tagged Chord
Appendix D. Proof of Theorem 1: PGF and Corresponding PMF of S(r)
Appendix E. Proof of Theorem 2: The PGF and Corresponding PMF for M(r)
Appendix F. Proof of Theorem 3: Proof of PGF, PMF, Mean and Variance of
Appendix G. Proof of Corollary 7: Proof of Mean and Variance of
Appendix H. Proof of Theorem 5: Proof of PGF of
Appendix I. Proof of Theorem 6: Proof for PGF of
Appendix J. Proof of Theorem 8: Proof for qth Moment of Rate Coverage
Appendix K. Proof of Theorem 9: Proof for the Meta Distribution of Rate Coverage
References
- Andrews, J.G.; Gupta, A.K.; AlAmmouri, A.; Dhillon, H.S. An Introduction to Cellular Network Analysis Using Stochastic Geometry; Morgan and Claypool Publishers: Williston, VT, USA, 2023. [Google Scholar]
- Koufos, K.; Dettmann, C.P. Distribution of cell area in bounded Poisson Voronoi tessellations with application to secure local connectivity. J. Stat. Phys. 2019, 176, 1296–1315. [Google Scholar] [CrossRef]
- Mankar, P.D.; Parida, P.; Dhillon, H.S.; Haenggi, M. Distance from the Nucleus to a Uniformly Random Point in the 0-Cell and the Typical Cell of the Poisson–Voronoi Tessellation. J. Stat. Phys. 2020, 181, 1678–1698. [Google Scholar] [CrossRef]
- Černỳ, R.; Funken, S.; Spodarev, E. On the Boolean model of Wiener sausages. Methodol. Comput. Appl. Probab. 2008, 10, 23–37. [Google Scholar] [CrossRef]
- Chetlur, V.V.; Dhillon, H.S.; Dettmann, C.P. Shortest path distance in manhattan Poisson line cox process. J. Stat. Phys. 2020, 181, 2109–2130. [Google Scholar] [CrossRef]
- Parida, P.; Dhillon, H.S. Multilayer Random Sequential Adsorption. J. Stat. Phys. 2022, 187, 1–22. [Google Scholar] [CrossRef]
- Subramaniam, S. Statistical representation of a spray as a point process. Phys. Fluids 2000, 12, 2413–2431. [Google Scholar] [CrossRef]
- Lowen, S.B.; Teich, M.C. Doubly stochastic Poisson point process driven by fractal shot noise. Phys. Rev. A 1991, 43, 4192. [Google Scholar] [CrossRef]
- Chiu, S.N.; Stoyan, D.; Kendall, W.S.; Mecke, J. Stochastic Geometry and its Applications; John Wiley & Sons: Chichester, UK, 2013. [Google Scholar]
- Dhillon, H.S.; Chetlur, V.V. Poisson Line Cox Process: Foundations and Applications to Vehicular Networks; Morgan & Claypool Publishers: Williston, VT, USA, 2020. [Google Scholar]
- Sabu, N.V.; Gupta, A.K. Analysis of diffusion based molecular communication with multiple transmitters having individual random information bits. IEEE Trans. Mol. Biol. Multi-Scale Commun. 2019, 5, 176–188. [Google Scholar] [CrossRef]
- Deng, Y.; Noel, A.; Guo, W.; Nallanathan, A.; Elkashlan, M. 3D Stochastic Geometry Model for Large-Scale Molecular Communication Systems. In Proceedings of the 2016 IEEE Global Communications Conference (GLOBECOM), Washington, DC, USA, 4–8 December 2016; pp. 1–6. [Google Scholar]
- Baccelli, F.; Zuyev, S. Stochastic geometry models of mobile communication networks. In Frontiers in Queueing: Models and Applications in Science and Engineering; CRC Press: Boca Raton, FL, USA, 1996. [Google Scholar]
- Chetlur, V.V.; Dhillon, H.S. Coverage analysis of a vehicular network modeled as Cox process driven by Poisson line process. IEEE Trans. Wirel. Commun. 2018, 17, 4401–4416. [Google Scholar] [CrossRef]
- Chetlur, V.V.; Dhillon, H.S. Coverage and rate analysis of downlink cellular vehicle-to-everything (C-V2X) communication. IEEE Trans. Wirel. Commun. 2019, 19, 1738–1753. [Google Scholar] [CrossRef]
- Guha, S. Cellular-Assisted Vehicular Communications: A Stochastic Geometric Approach. Master’s Thesis, Virginia Polytechnic Institute and State University, Blacksburg, VA, USA, 2016. [Google Scholar]
- Choi, C.S.; Baccelli, F. An analytical framework for coverage in cellular networks leveraging vehicles. IEEE Trans. Commun. 2018, 66, 4950–4964. [Google Scholar] [CrossRef]
- Sial, M.N.; Deng, Y.; Ahmed, J.; Nallanathan, A.; Dohler, M. Stochastic geometry modeling of cellular V2X communication over shared channels. IEEE Trans. Veh. Technol. 2019, 68, 11873–11887. [Google Scholar] [CrossRef]
- Chetlur, V.V.; Dhillon, H.S. On the load distribution of vehicular users modeled by a Poisson line Cox process. IEEE Wirel. Commun. Lett. 2020, 9, 2121–2125. [Google Scholar] [CrossRef]
- Pandey, K.; Perumalla, K.R.; Gupta, A.K.; Dhillon, H.S. Fundamentals of Vehicular Communication Networks with Vehicle Platoons. IEEE Trans. Wirel. Commun. 2023. early access. [Google Scholar] [CrossRef]
- Choi, C.S.; Baccelli, F. Poisson Cox point processes for vehicular networks. IEEE Trans. Veh. Technol. 2018, 67, 10160–10165. [Google Scholar] [CrossRef]
- Johnson, W.P. The Curious History of Faà di Bruno’s formula. Am. Math. Mon. 2002, 109, 217–234. [Google Scholar]
- Calka, P. Precise formulae for the distributions of the principal geometric characteristics of the typical cells of a two-dimensional Poisson-Voronoi tessellation and a Poisson line process. Adv. Appl. Probab. 2003, 35, 551–562. [Google Scholar] [CrossRef]
- Tanemura, M. Statistical distributions of Poisson Voronoi cells in two and three dimensions. Forma 2003, 18, 221–247. [Google Scholar]
- Muche, L.; Stoyan, D. Contact and chord length distributions of the Poisson Voronoi tessellation. J. Appl. Probab. 1992, 29, 467–471. [Google Scholar] [CrossRef]
- Bhattacharyya, A. On a measure of divergence between two multinomial populations. Sankhyā Indian J. Stat. 1946, 7, 401–406. [Google Scholar]
- Pandey, K.; Gupta, A.K. kth Distance distributions of n-dimensional Matérn cluster process. IEEE Commun. Lett. 2021, 25, 769–773. [Google Scholar] [CrossRef]
- Chetlur, V.V.; Dhillon, H.S. Spatial Models for Networks on Roads: Bridging the Gap Between Industry and Academia. IEEE Netw. 2022, 36, 26–31. [Google Scholar] [CrossRef]
- Gupta, A.K.; Zhang, X.; Andrews, J.G. Potential throughput in 3D ultradense cellular networks. In Proceedings of the Asilomar Conference on Signals, Systems and Computers, Pacific Grove, CA, USA, 8–11 November 2015; pp. 1026–1030. [Google Scholar]
- Haenggi, M. The meta distribution of the SIR in Poisson bipolar and cellular networks. IEEE Trans. Wirel. Commun. 2015, 15, 2577–2589. [Google Scholar] [CrossRef]
- Haenggi, M. Meta distributions—Part 1: Definition and examples. IEEE Commun. Lett. 2021, 25, 2089–2093. [Google Scholar] [CrossRef]
- Haenggi, M. Meta distributions—Part 2: Properties and interpretations. IEEE Commun. Lett. 2021, 25, 2094–2098. [Google Scholar] [CrossRef]
- Gil-Pelaez, J. Note on the inversion theorem. Biometrika 1951, 38, 481–482. [Google Scholar] [CrossRef]
- Deng, N.; Haenggi, M. A Fine-grained analysis of millimeter-wave device-to-device networks. IEEE Trans. Commun. 2017, 65, 4940–4954. [Google Scholar] [CrossRef]
- Choi, C.S.; Baccelli, F. Modeling and analysis of vehicle safety message broadcast in cellular networks. IEEE Trans. Wirel. Commun. 2021, 20, 4087–4099. [Google Scholar] [CrossRef]
- Andersen, J.B.; Rappaport, T.S.; Yoshida, S. Propagation measurements and models for wireless communications channels. IEEE Commun. Mag. 1995, 33, 42–49. [Google Scholar] [CrossRef]
- Wang, X.; Chen, M.; Taleb, T.; Ksentini, A.; Leung, V.C. Cache in the air: Exploiting content caching and delivery techniques for 5G systems. IEEE Commun. Mag. 2014, 52, 131–139. [Google Scholar] [CrossRef]
- Afshang, M.; Dhillon, H.S.; Chong, P.H.J. Fundamentals of cluster-centric content placement in cache-enabled device-to-device networks. IEEE Trans. Commun. 2016, 64, 2511–2526. [Google Scholar] [CrossRef]
- Wu, H.; Xu, W.; Chen, J.; Wang, L.; Shen, X. Matching-based content caching in heterogeneous vehicular networks. In Proceedings of the GLOBECOM, Abu Dhabi, United Arab Emirates, 9–13 December 2018. [Google Scholar]
- Niknam, S.; Dhillon, H.S.; Reed, J.H. Federated learning for wireless communications: Motivation, opportunities, and challenges. IEEE Commun. Mag. 2020, 58, 46–51. [Google Scholar] [CrossRef]
- Saipulla, A.; Westphal, C.; Liu, B.; Wang, J. Barrier coverage of line-based deployed wireless sensor networks. In Proceedings of the INFOCOM, Rio de Janeiro, Brazil, 19–25 April 2009; pp. 127–135. [Google Scholar]
- Glazyrin, A.; Morić, F. Upper bounds for the perimeter of plane convex bodies. Acta Math. Hung. 2014, 142, 366–383. [Google Scholar] [CrossRef]
- Gupta, S.K.; Malik, V.; Gupta, A.K.; Andrews, J.G. Impact of Blocking Correlation on the Performance of mmWave Cellular Networks. IEEE Trans. Commun. 2022, 70, 4925–4939. [Google Scholar] [CrossRef]











Disclaimer/Publisher’s Note: The statements, opinions and data contained in all publications are solely those of the individual author(s) and contributor(s) and not of MDPI and/or the editor(s). MDPI and/or the editor(s) disclaim responsibility for any injury to people or property resulting from any ideas, methods, instructions or products referred to in the content. |
© 2023 by the authors. Licensee MDPI, Basel, Switzerland. This article is an open access article distributed under the terms and conditions of the Creative Commons Attribution (CC BY) license (https://creativecommons.org/licenses/by/4.0/).
Share and Cite
Pandey, K.; Gupta, A.K.; Dhillon, H.S.; Perumalla, K.R. Properties of a Random Bipartite Geometric Associator Graph Inspired by Vehicular Networks. Entropy 2023, 25, 1619. https://doi.org/10.3390/e25121619
Pandey K, Gupta AK, Dhillon HS, Perumalla KR. Properties of a Random Bipartite Geometric Associator Graph Inspired by Vehicular Networks. Entropy. 2023; 25(12):1619. https://doi.org/10.3390/e25121619
Chicago/Turabian StylePandey, Kaushlendra, Abhishek K. Gupta, Harpreet S. Dhillon, and Kanaka Raju Perumalla. 2023. "Properties of a Random Bipartite Geometric Associator Graph Inspired by Vehicular Networks" Entropy 25, no. 12: 1619. https://doi.org/10.3390/e25121619
APA StylePandey, K., Gupta, A. K., Dhillon, H. S., & Perumalla, K. R. (2023). Properties of a Random Bipartite Geometric Associator Graph Inspired by Vehicular Networks. Entropy, 25(12), 1619. https://doi.org/10.3390/e25121619

