The Magnetic Field Freezes the Mercedes–Benz Water Model
Abstract
:1. Introduction
2. The Model
3. Molecular Dynamics
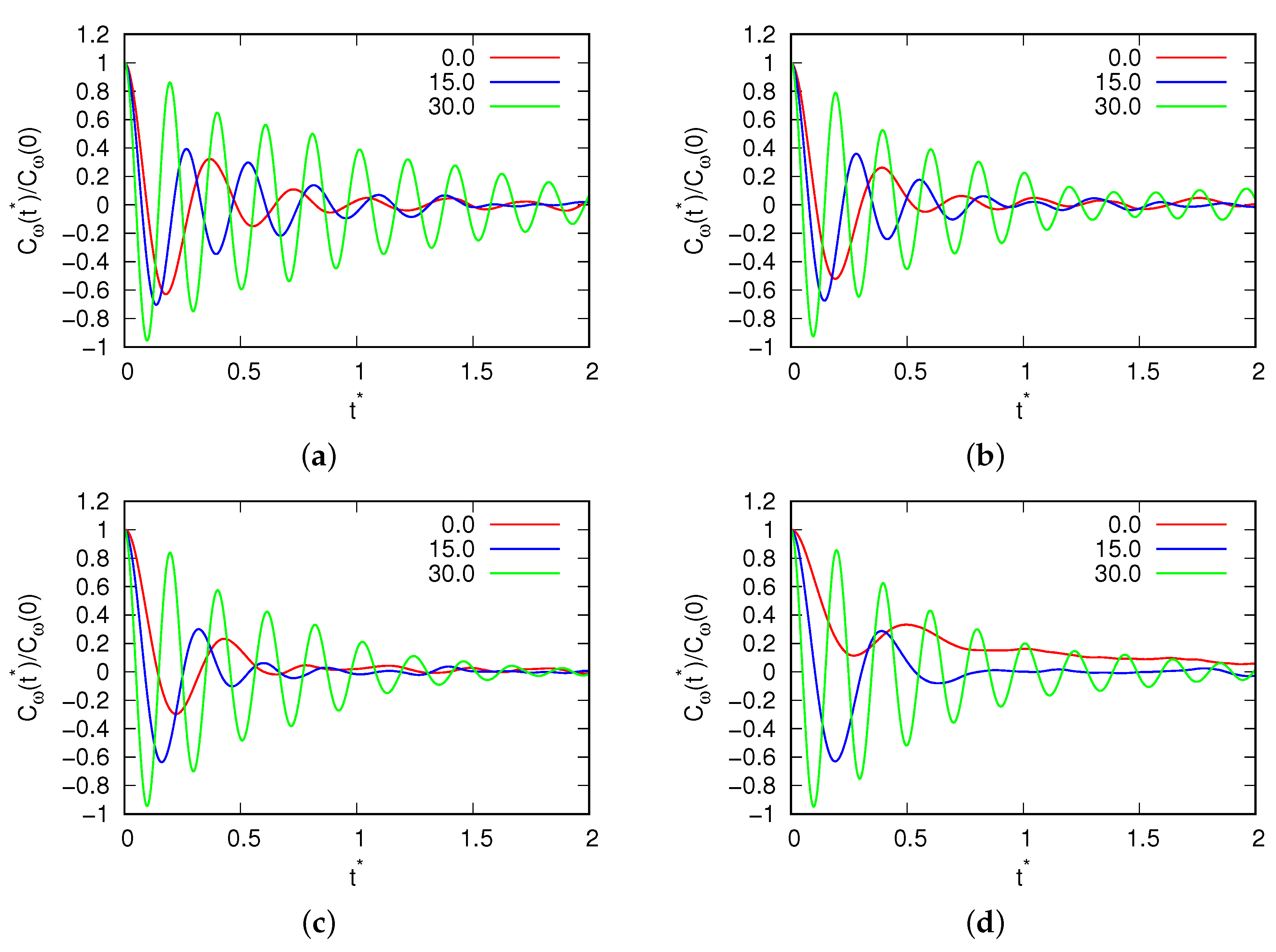
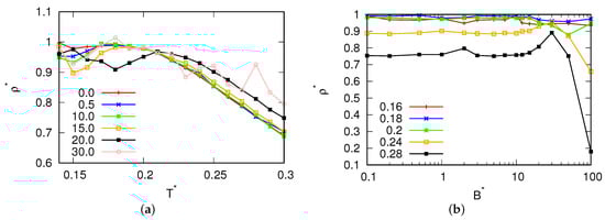
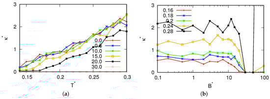
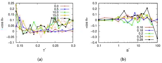
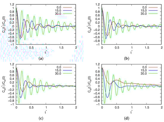
4. Results and Discussion
5. Conclusions
Funding
Institutional Review Board Statement
Data Availability Statement
Conflicts of Interest
References
- Brini, E.; Fennell, C.J.; Fernandez-Serra, M.; Hribar-Lee, B.; Luksic, M.; Dill, K.A. How Water’s Properties Are Encoded in Its Molecular Structure and Energies. Chem. Rev. 2017, 117, 12385–12414. [Google Scholar] [CrossRef] [PubMed]
- Gallo, P.; Amann-Winkel, K.; Angell, C.A.; Anisimov, M.A.; Caupin, F.; Chakravarty, C.; Lascaris, E.; Loerting, T.; Panagiotopoulos, A.Z.; Russo, J.; et al. Water: A Tale of Two Liquids. Chem. Rev. 2016, 116, 7463–7500. [Google Scholar] [CrossRef] [PubMed]
- Bartlett, J.T.; Heuval, A.P.v.; Mason, B.J. The growth of ice crystals in an electric field. Z. Angew. Math. Phys. 1963, 14, 599. [Google Scholar] [CrossRef]
- Choi, E.-M.; Yoon, Y.-H.; Lee, S.; Kang, H. Freezing Transition of Interfacial Water at Room Temperature under Electric Fields. Phys. Rev. Lett. 2005, 95, 085701. [Google Scholar] [CrossRef] [PubMed]
- Aragones, J.L.; MacDowell, L.G.; Siepmann, J.I.; Vega, C. Phase Diagram of Water under an Applied Electric Field. Phys. Rev. Lett. 2011, 107, 155702. [Google Scholar] [CrossRef] [PubMed]
- Wang, Y.; Wei, H.; Li, Z. Effect of magnetic field on the physical properties of water. Results Phys. 2018, 8, 262. [Google Scholar] [CrossRef]
- Pang, X.; Deng, B. Investigation of changes in properties of water under the action of a magnetic field. Sci. China Ser. G-Phys. Mech. Astron. 2008, 51, 1621–1632. [Google Scholar] [CrossRef]
- Chibowski, E.; Szczes, A. Magnetic water treatmente—A review of the latest approaches. Chemosphere 2018, 203, 54. [Google Scholar] [CrossRef]
- Chang, K.-T.; Weng, C.-I. The effect of an external magnetic field on the structure of liquid water using molecular dynamics simulation. J. Appl. Phys. 2006, 100, 043917. [Google Scholar] [CrossRef]
- Jorgensen, W.L.; Chandrasekhar, J.; Madura, J.D.; Impey, R.W.; Klein, M.L. Comparison of simple potential functions for simulating liquid water. J. Chem. Phys. 1983, 79, 926. [Google Scholar] [CrossRef]
- Nezbeda, I. Simple short-ranged models of water and their application. A review. J. Mol. Liq. 1997, 73–74, 317. [Google Scholar] [CrossRef]
- Guillot, B. A reappraisal of what we have learnt during three decades of computer simulations on water. J. Mol. Liq. 2002, 101, 219. [Google Scholar] [CrossRef]
- Vega, C.; Abascal, J.L.F.; Conde, M.M.; Aragones, J.L. What ice can teach us about water interactions: A critical comparison of the performance of different water models. Faraday Discuss 2009, 141, 251. [Google Scholar] [CrossRef]
- Fujimoto, S.; Yu, Y.-X. Effect of electrolyte concentration on DNA A-B conformational transition. An unrestrained molecular dynamics simulation study. Chin. Phys. B 2010, 19, 088701. [Google Scholar] [CrossRef]
- Fonseca, B.; Freeman, C.L.; Collins, M.J. Conformational analysis and water dynamics: A molecular dynamics study on the survival of a beta-lactoglobulin peptide in the archaeological record. Chem. Phys. 2022, 561, 111602. [Google Scholar] [CrossRef]
- Vishnyakov, A.; Weathers, T.; Hosangadi, A.; Chiew, Y.C. Molecular models for phase equilibria of alkanes with air components and combustion products I. Alkane mixtures with nitrogen, CO2 and water. Fluid Phase Equilibria 2020, 514, 112553. [Google Scholar] [CrossRef]
- Silverstein, K.A.T.; Haymet, A.D.J.; Dill, K.A. A Simple Model of Water and the Hydrophobic Effect. J. Am. Chem. Soc. 1998, 120, 3166. [Google Scholar] [CrossRef]
- Ben-Naim, A. Statistical Mechanics of “Waterlike” Particles in Two Dimensions. I. Physical Model and Application of the Percus–Yevick Equation. J. Chem. Phys. 1971, 54, 3682. [Google Scholar] [CrossRef]
- Ben-Naim, A. Statistical mechanics of water-like particles in two-dimensions. Mol. Phys. 1972, 24, 705. [Google Scholar] [CrossRef]
- Southall, N.T.; Dill, K.A. The Mechanism of Hydrophobic Solvation Depends on Solute Radius. J. Phys. Chem. B 2000, 104, 1326. [Google Scholar] [CrossRef]
- Silverstein, K.A.T.; Haymet, A.D.J.; Dill, K.A. Hydrophobicity in a simple model of water: Entropy penalty as a sum of competing terms via full, angular expansion. J. Chem. Phys. 2001, 114, 6303. [Google Scholar] [CrossRef]
- Dias, C.L.; Hynninen, T.; Ala-Nissila, T.; Foster, A.S.; Karttunen, M. Hydrophobicity within the three-dimensional Mercedes-Benz model: Potential of mean force. J. Chem. Phys. 2011, 134, 065106. [Google Scholar] [CrossRef] [PubMed]
- Williamson, C.H.; Hall, J.R.; Fennell, C.J. Two-dimensional molecular simulations using rose potentials. J. Mol. Liq. 2017, 228, 11. [Google Scholar] [CrossRef]
- Urbic, T. The electric field changes the anomalous properties of the Mercedes Benz water model. Phys. Chem. Chem. Phys. 2023, 25, 4987. [Google Scholar] [CrossRef] [PubMed]
- Hribar, B.; Southall, N.T.; Vlachy, V.; Dill, K.A. How Ions Affect the Structure of Water. J. Am. Chem. Soc. 2002, 124, 12302. [Google Scholar] [CrossRef]
- Berendsen, H.J.C.; Postma, J.P.M.; van Gunsteren, W.F.; Di Nola, A.; Haak, J.R. Molecular dynamics with coupling to an external bath. J. Chem. Phys. 1984, 81, 3684. [Google Scholar] [CrossRef]
- Hansen, J.P.; McDonald, I.R. Theory of Simple Liquids; Academic Press: London, UK, 1986. [Google Scholar]
- Frenkel, D.; Smit, B. Molecular Simulation: From Algorithms to Applications; Academic Press: New York, NY, USA, 2000. [Google Scholar]













Disclaimer/Publisher’s Note: The statements, opinions and data contained in all publications are solely those of the individual author(s) and contributor(s) and not of MDPI and/or the editor(s). MDPI and/or the editor(s) disclaim responsibility for any injury to people or property resulting from any ideas, methods, instructions or products referred to in the content. |
© 2023 by the author. Licensee MDPI, Basel, Switzerland. This article is an open access article distributed under the terms and conditions of the Creative Commons Attribution (CC BY) license (https://creativecommons.org/licenses/by/4.0/).
Share and Cite
Urbic, T. The Magnetic Field Freezes the Mercedes–Benz Water Model. Entropy 2023, 25, 1618. https://doi.org/10.3390/e25121618
Urbic T. The Magnetic Field Freezes the Mercedes–Benz Water Model. Entropy. 2023; 25(12):1618. https://doi.org/10.3390/e25121618
Chicago/Turabian StyleUrbic, Tomaz. 2023. "The Magnetic Field Freezes the Mercedes–Benz Water Model" Entropy 25, no. 12: 1618. https://doi.org/10.3390/e25121618
APA StyleUrbic, T. (2023). The Magnetic Field Freezes the Mercedes–Benz Water Model. Entropy, 25(12), 1618. https://doi.org/10.3390/e25121618

