Combine Harvester Bearing Fault-Diagnosis Method Based on SDAE-RCmvMSE
Abstract
:1. Introduction
2. Methods
2.1. Improved SDAE
2.2. RCmvMSE
2.2.1. Coarse-Grained Process
2.2.2. Calculation for mvMSE
- (1)
- Calculate the multivariate embedding vector , where , .
- (2)
- Calculate the distance between any two composite delay vectors and as the maximum norm.
- (3)
- For given and threshold r, calculate the quantity of Pi in .
- (4)
- Extend the dimension of the multivariate delay vector in (3) from m to m + 1 (dimensions of other variables remain unchanged).
- (5)
- Repeat steps (1)–(4) and calculate , then take the average of all the i in m + 1 dimensions.
- (6)
- Finally, the multivariate sample entropy is calculated:
2.2.3. Simulation Signal Analysis
3. Fault-Diagnosis Method Based on SDAE-RCmvMSE
3.1. SDAE-RCmvMSE Bearing Fault-Diagnosis Process
- (1)
- Collect original vibration signals through the data acquisition system installed on the bearing to be diagnosed.
- (2)
- Filter the noise in the vibration signal by improved SDAE.
- (3)
- RCmvMSE is used to extract the entropy features of vibration signals to obtain training set and testing set.
- (4)
- Sending the training set to SVM, parameters of SVM are updated by the error between expected outputs and actual output. This step is iterated repeatedly until the classifier accuracy requirement or the maximum number of iterations is reached. Then, the SVM model is completed and the optimal parameters are obtained.
- (5)
- The SVM model completed by training is used to classify the samples in the feature testing set, so as to obtain the state types of bearings to be diagnosed.

3.2. Bearing Fault-Diagnosis Experiment
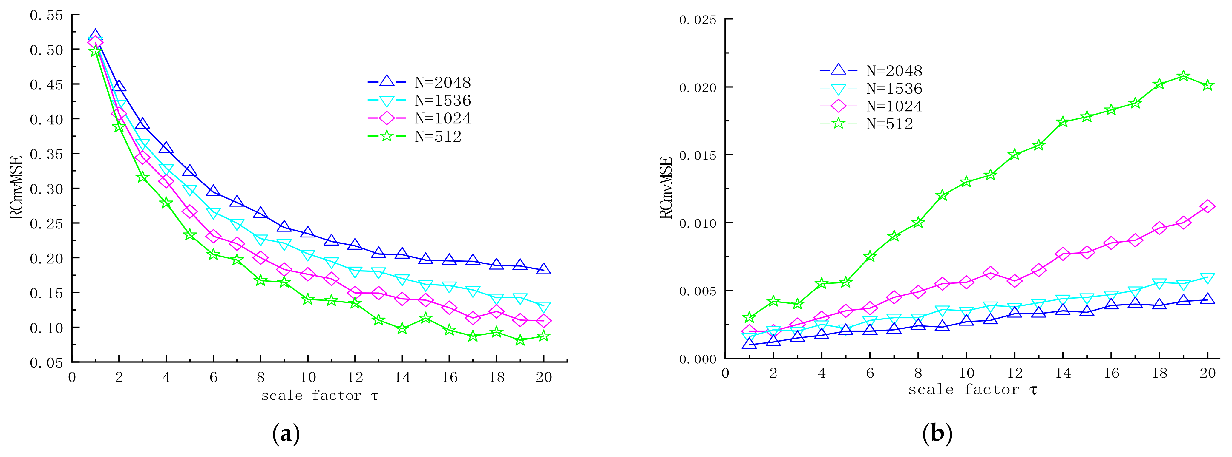
3.3. Analysis of RCmvMSE
3.4. Analysis of Results
3.4.1. Analysis with Origin Data
3.4.2. Analysis with Noise Data
3.4.3. Visualization of Classification Results
3.4.4. Model Performance Analysis under Different SNR
4. Conclusions
- (1)
- The SDAE model can effectively remove noise points in the signal, laying a foundation for accurate extraction of RCmvMSE;
- (2)
- The improved SDAE model introduces Gaussian noises with different distribution centers, which greatly improves the denoising ability of the model and makes the model more robust;
- (3)
- RCmvMSE feature extraction considers the relevant information of each channel in multivariate variables, and the extracted entropy can better reflect the changes of multivariate signals and has great stability.
Author Contributions
Funding
Conflicts of Interest
References
- Shi, J.; Wu, X.; Liu, T. Bearing compound fault diagnosis based on HHT algorithm and convolution neural network. Trans. Chin. Soc. Agric. Eng. Trans. CSAE 2020, 36, 34–43. [Google Scholar]
- Li, C.; Zheng, J.; Pan, H.; Liu, Q. Fault diagnosis method of rolling bearings based on refined composite multiscale dispersion entropy and support vector machine. China Mech. Eng. 2019, 30, 1713–1719, 1726. [Google Scholar]
- Wang, F.; Deng, G.; Wang, H.; Yu, X.; Han, Q.; Li, H. A rolling bearing fault diagnosis method based on EMD and SSAE. J. Vib. Eng. 2019, 32, 368–376. [Google Scholar]
- Zhang, L.; Huang, W.; Xiong, G. Assessment of rolling element bearing fault severity using multi-scale entropy. J. Vib. Shock. 2014, 33, 185–189. [Google Scholar]
- Gan, X.; Lu, H.; Yang, G. Fault Diagnosis Method for Rolling Bearings Based on Composite Multiscale Fluctuation Dispersion Entropy. Entropy 2019, 21, 290. [Google Scholar] [CrossRef]
- Richman, J.S.; Randall, M.J. Physiological time-series analysis using approximate entropy and sample entropy. Am. J. Physiol. Heart Circ. Physiol. 2000, 278, H2039. [Google Scholar] [CrossRef]
- Bandt, C.; Pompe, B. Permutation Entropy: A Natural Complexity Measure for Time Series. Phys. Rev. Lett. 2002, 88, 174102. [Google Scholar] [CrossRef]
- Gisin, N.; Percival, I.C. Quantum state diffusion, localization and quantum dispersion entropy. J. Phys. A Gen. Phys. 1999, 26, 2233. [Google Scholar] [CrossRef]
- He, Z.-J.; Zhou, Z.-X. Fault diagnosis of roller bearing based on ELMD sample entropy and Boosting-SVM. J. Vib. Shock. 2016, 35, 190–195. [Google Scholar]
- Cheng, J.; Ma, X.-W.; Yang, Y. The rolling bearing fault diagnosis method based on permutation entropy and VPMCD. J. Vib. Shock. 2014, 33, 119–123. [Google Scholar]
- Rostaghi, M.; Azami, H. Dispersion Entropy: A measure for time-Series Analysis. IEEE Signal Process. Lett. 2016, 23, 610–614. [Google Scholar] [CrossRef]
- Azami, H.; Rostaghi, M.; Abásolo, D.; Escudero, J. Refined Composite Multiscale Dispersion Entropy and its Application to Biomedical Signals. IEEE Trans. Bio-Med. Eng. 2017, 64, 2872–2879. [Google Scholar]
- Costa, M.; Goldberger, A.L.; Peng, C.K. Multiscale entropy to distinguish physiologic and synthetic RR time series. Comput. Cardiol. 2002, 29, 137–140. [Google Scholar] [PubMed]
- Ahmed, M.U.; Mandic, D.P. Multivariate multiscale entropy Analysis. IEEE Signal Process. Lett. 2012, 19, 91–94. [Google Scholar] [CrossRef]
- Lee, K.B.; Cheon, S.; Chang, O.K. A Convolutional Neural Network for Fault Classification and Diagnosis in Semiconductor Manufacturing Processes. IEEE Trans. Semicond. Manuf. 2017, 30, 135–142. [Google Scholar] [CrossRef]
- Wen, L.; Li, X.; Gao, L.; Zhang, Y. A new convolutional neural network-based data-driven fault diagnosis method. IEEE Trans. Ind. Electron. 2017, 65, 5990–5998. [Google Scholar] [CrossRef]
- Long, J.; Zhang, R.; Yang, Z.; Huang, Y.; Liu, Y.; Li, C. Self-Adaptation Graph Attention Network via Meta-Learning for Machinery Fault Diagnosis with Few Labeled Data. IEEE Trans. Instrum. Meas. 2022, 71, 3515411. [Google Scholar] [CrossRef]
- Long, J.; Qin, Y.; Yang, Z.; Huang, Y.; Li, C. Discriminative feature learning using a multiscale convolutional capsule network from attitude data for fault diagnosis of industrial robots. Mech. Syst. Signal Process. 2023, 182, 109569. [Google Scholar] [CrossRef]
- Vincent, P.; Larochelle, H.; Lajoie, I.; Bengio, Y.; Manzagol, P.A.; Bottou, L. Stacked denoising auto encoders: Learning useful representations in a deep network with a local denoising criterion. J. Mach. Learn. Res. 2010, 11, 3371–3408. [Google Scholar]
- Bengio, Y.; Lamblin, P.; Popovici, D.; Larochelle, H. Greedy layer-wise training of deep networks. In Proceedings of the 19th International Conference on Neural Information Processing Systems, Canada, 4–7 December 2006; MIT Press: Cambridge, MA, USA, 2007; pp. 153–160. [Google Scholar]
- Xi, C.; Yang, G.; Liu, L.; Liu, J.; Chen, X.; Ma, Z. Operation faults monitoring of combine harvester based on SDAE-BP. Trans. Chin. Soc. Agric. Eng. (Trans. CSAE) 2020, 36, 46–53. [Google Scholar]
- Li, M.; Wang, R.; Yang, J.; Duan, L. An improved refined composite multivariate multiscale fuzzy entropy method for MI-EEG feature extraction. Comput. Intell. Neurosci. 2019, 2019, 7529572. [Google Scholar] [CrossRef] [PubMed]
- Humeau-Heurtier, A. Multivariate refined composite multiscale entropy analysis. Phys. Lett. A 2016, 380, 1426–1431. [Google Scholar] [CrossRef]
- Ye, J.; Xie, X.; Liang, Y.; Zhang, F. Rolling bearing fault diagnosis method based on refined composite multi-scale entropy eigenvector correlation coefficients. Noise Vib. Control 2018, 38, 186–191. [Google Scholar]
- Yin, Y.; Shang, P. Multivariate multiscale sample entropy of traffic time series. Nonlinear Dyn. 2016, 86, 479–488. [Google Scholar] [CrossRef]
- Azami, H.; Escudero, J. Refined composite multivariate generalized multiscale fuzzy entropy: A Tool for Complexity Analysis of Multichannel Signals. Phys. A Stat. Mech. Its Appl. 2017, 465, 261–276. [Google Scholar] [CrossRef]
- Wu, S.D.; Wu, P.H.; Wu, C.W.; Ding, J.J.; Wang, C.C. Bearing Fault Diagnosis Based on Multiscale Permutation Entropy and Support Vector Machine. Entropy 2012, 14, 1343–1356. [Google Scholar] [CrossRef]
- Wang, Z.; Yao, L.; Cai, Y. Rolling bearing fault diagnosis using generalized refined composite multiscale sample entropy and optimized support vector machine. Measurement 2020, 156, 107574. [Google Scholar] [CrossRef]
- Wei, L.R.; Yue, J.; Li, Z.B.; Kou, G.J.; Qu, H.P. Multi-classification detection method of plant leaf disease based on kernel function SVM. Trans. Chin. Soc. Agric. Mach. 2017, 48, 166–171. [Google Scholar]
- Zheng, J.; Cheng, J.; Yang, Y. Multi-scale permutation entropy and Its applications to rolling bearing fault diagnosis. China Mech. Eng. 2013, 24, 2641–2646. [Google Scholar]
- Zheng, J.; Li, C.; Pan, H. Application of composite multi-scale dispersion entropy in rolling bearing fault diagnosis. Noise Vib. Control 2018, 38, 653–656. [Google Scholar]
- Yang, Y.; Zheng, H.; Yin, J.; Xu, M.; Chen, Y. Refined composite multivariate multiscale symbolic dynamic entropy and its application to fault diagnosis of rotating machine. Measurement 2019, 151, 107233. [Google Scholar] [CrossRef]
- Laurens, V.D.M.; Hinton, G. Visualizing data using t-SNE. J. Mach. Learn. Res. 2008, 9, 2579–2605. [Google Scholar]














| State | Fault Width/mm | Fault Depth/mm |
|---|---|---|
| IRF07 | 0.7 | 3.7 |
| IRF10 | 1.0 | 3.7 |
| IRF12 | 1.2 | 3.7 |
| IRF15 | 1.5 | 3.7 |
| ORF07 | 0.7 | 3.2 |
| ORF10 | 1.0 | 3.2 |
| ORF12 | 1.2 | 3.2 |
| ORF15 | 1.5 | 3.2 |
| CF05 | 0.5/0.5 | 3.2/3.7 |
| CF10 | 1.0/1.0 | 3.2/3.7 |
| State | Number of Samples | Prediction Accuray/% | ||
|---|---|---|---|---|
| RCmvMSE | SDAE-RCmvMSE | CFVS-SVM | ||
| Normal | 1000 | 100.00 | 100.00 | 96.70 |
| IRF07 | 20 | 100.00 | 90.00 | 85.00 |
| IRF10 | 20 | 100.00 | 85.00 | 95.00 |
| IRF12 | 20 | 100.00 | 100.00 | 100.00 |
| IRF15 | 20 | 100.00 | 100.00 | 85.00 |
| ORF07 | 20 | 100.00 | 100.00 | 95.00 |
| ORF10 | 20 | 100.00 | 100.00 | 100.00 |
| ORF12 | 20 | 100.00 | 100.00 | 100.00 |
| ORF15 | 20 | 100.00 | 100.00 | 90.00 |
| CF05 | 20 | 100.00 | 95.00 | 90.00 |
| CF10 | 20 | 100.00 | 100.00 | 85.00 |
| Total | 1200 | 100.00 | 99.50 | 96.00 |
| State | Number of Samples | Prediction Accuracy/% | ||
|---|---|---|---|---|
| RCmvMSE | SDAE-RCmvMSE | CFVS-SVM | ||
| Normal | 1000 | 99.10 | 100.00 | 94.20 |
| IRF07 | 20 | 95.00 | 100.00 | 85.00 |
| IRF10 | 20 | 95.00 | 100.00 | 90.00 |
| IRF12 | 20 | 100.00 | 100.00 | 90.00 |
| IRF15 | 20 | 80.00 | 100.00 | 80.00 |
| ORF07 | 20 | 100.00 | 100.00 | 90.00 |
| ORF10 | 20 | 90.00 | 100.00 | 85.00 |
| ORF12 | 20 | 90.00 | 100.00 | 90.00 |
| ORF15 | 20 | 85.00 | 100.00 | 90.00 |
| CF05 | 20 | 85.00 | 100.00 | 85.00 |
| CF10 | 20 | 90.00 | 100.00 | 90.00 |
| Total | 1200 | 97.75 | 100.00 | 93.08 |
Publisher’s Note: MDPI stays neutral with regard to jurisdictional claims in published maps and institutional affiliations. |
© 2022 by the authors. Licensee MDPI, Basel, Switzerland. This article is an open access article distributed under the terms and conditions of the Creative Commons Attribution (CC BY) license (https://creativecommons.org/licenses/by/4.0/).
Share and Cite
Yang, G.; Cheng, Y.; Xi, C.; Liu, L.; Gan, X. Combine Harvester Bearing Fault-Diagnosis Method Based on SDAE-RCmvMSE. Entropy 2022, 24, 1139. https://doi.org/10.3390/e24081139
Yang G, Cheng Y, Xi C, Liu L, Gan X. Combine Harvester Bearing Fault-Diagnosis Method Based on SDAE-RCmvMSE. Entropy. 2022; 24(8):1139. https://doi.org/10.3390/e24081139
Chicago/Turabian StyleYang, Guangyou, Yuan Cheng, Chenbo Xi, Lang Liu, and Xiong Gan. 2022. "Combine Harvester Bearing Fault-Diagnosis Method Based on SDAE-RCmvMSE" Entropy 24, no. 8: 1139. https://doi.org/10.3390/e24081139
APA StyleYang, G., Cheng, Y., Xi, C., Liu, L., & Gan, X. (2022). Combine Harvester Bearing Fault-Diagnosis Method Based on SDAE-RCmvMSE. Entropy, 24(8), 1139. https://doi.org/10.3390/e24081139

