Integral Non-Singular Terminal Sliding Mode Consensus Control for Multi-Agent Systems with Disturbance and Actuator Faults Based on Finite-Time Observer
Abstract
:1. Introduction
- A novel adaptive finite-time observer is designed based on a combination of high-order sliding mode and dual-layer adaptive rules, which realizes the centralized estimation and compensation of unknown disturbance and actuator fault in finite time. Additionally, there is no need to obtain the upper bound of the disturbance in advance;
- On the basis of the conventional sliding mode surface, a new integral part is added to the sliding mode surface, which improves the robustness of the system and sufficiently diminishes the chattering phenomena. The controller proposed in this paper solves the singularity problem and realizes consensus in finite time for disturbed second-order leader–follower MASs;
- The model studied in this paper comprehensively considers the influence of nonlinear terms, unknown external disturbance, and actuator faults, which improves the practicability of the control algorithm.
2. Preliminaries and Problem Formulation
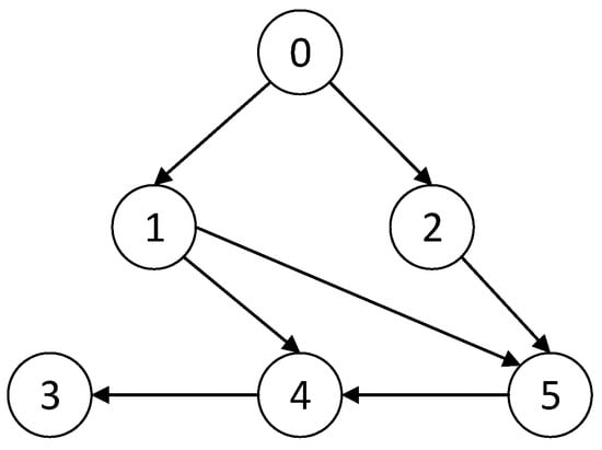
2.1. Graph Theory
2.2. Problem Formulation
2.3. Some Lemmas and Notations
3. Main Results
3.1. Design of Consensus
3.2. Design of the Finite-Time Observer
3.3. Design of Sliding Mode Controller
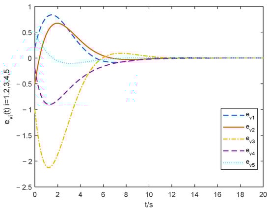
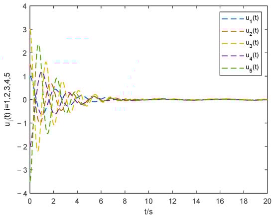
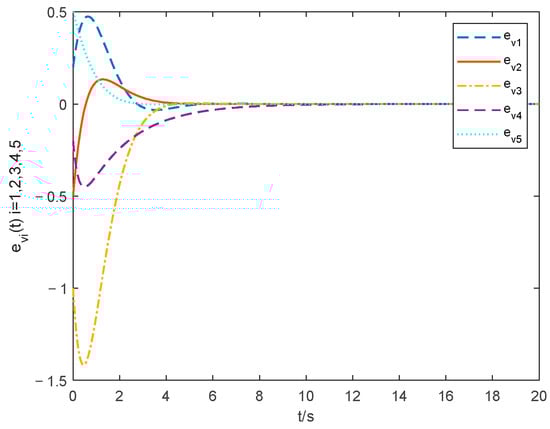
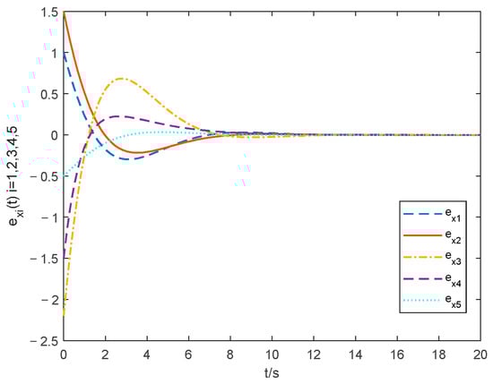
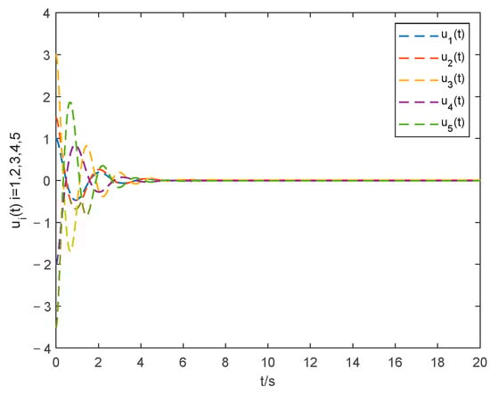
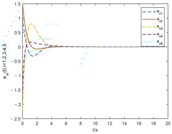
4. Simulations
5. Conclusions
Author Contributions
Funding
Institutional Review Board Statement
Informed Consent Statement
Data Availability Statement
Conflicts of Interest
References
- Ye, D.; Zhang, M.; Yang, Y. A multi-agent framework for packet routing in wireless sensor networks. Sensors 2015, 15, 10026–10047. [Google Scholar] [CrossRef]
- Alonso-Mora, J.; Baker, S.; Rus, D. Multi-robot formation control and object transport in dynamic environments via constrained optimization. Int. J. Robot. Res. 2017, 36, 1000–1021. [Google Scholar] [CrossRef]
- Chen, Y.; Yu, R.; Zhang, Y.; Liu, C. Circular formation flight control for unmanned aerial vehicles with directed network and external disturbance. IEEE/CAA J. Autom. Sin. 2020, 7, 505–516. [Google Scholar] [CrossRef]
- Zhang, X. Adaptive Control and Reconfiguration of Mobile Wireless Sensor Networks for Dynamic Multi-Target Tracking. IEEE Trans. Autom. Control 2011, 56, 2429–2444. [Google Scholar] [CrossRef]
- Su, H.; Qiu, Y.; Wang, L. Semi-global output consensus of discrete-time multi-agent systems with input saturation and external disturbances. ISA Trans. 2017, 67, 131–139. [Google Scholar] [CrossRef]
- Xu, J. Adaptive fault tolerant tracking control for a class of stochastic nonlinear systems with output constraint and actuator faults. Syst. Control Lett. 2017, 107, 100–109. [Google Scholar]
- Tan, Y.; Fei, S.; Liu, J.; Zhang, D. Asynchronous adaptive event-triggered tracking control for multi-agent systems with stochastic actuator faults. Appl. Math. Comput. 2019, 355, 482–496. [Google Scholar] [CrossRef]
- Zhang, H.; Kim, S.; Sun, Q.; Zhou, J. Distributed Adaptive Virtual Impedance Control for Accurate Reactive Power Sharing Based on Consensus Control in Microgrids. IEEE Trans. Smart Grid 2017, 8, 1749–1761. [Google Scholar] [CrossRef]
- Li, H.; Yan, W. Receding horizon control based consensus scheme in general linear multi-agent systems. Automatica 2015, 56, 12–18. [Google Scholar] [CrossRef]
- Singh, V.; Natarajan, V. Reduced-order controllers for multi-agent consensus using output regulation viewpoint. Automatica 2020, 119, 109062. [Google Scholar] [CrossRef]
- Abdessameud, A.; Tayebi, A. Distributed consensus algorithms for a class of high-order multi-agent systems on directed graphs. IEEE Trans. Autom. Control 2018, 63, 3464–3470. [Google Scholar] [CrossRef]
- Jin, X.; Wang, S.; Qin, J.; Zheng, W.; Kang, Y. Adaptive fault-tolerant consensus for a class of uncertain nonlinear second-order multi-agent systems with circuit implementation. IEEE Trans. Circuits Syst. I Regul. Pap. 2018, 65, 2243–2255. [Google Scholar] [CrossRef]
- Li, X.; Wang, J. Fault-tolerant tracking control for a class of nonlinear multi-agent systems. Syst. Control Lett. 2020, 135, 104576. [Google Scholar] [CrossRef]
- Sader, M.; Chen, Z.; Liu, Z.; Deng, C. Distributed robust fault-tolerant consensus control for a class of nonlinear multi-agent systems with intermittent communications. Appl. Math. Comput. 2021, 403, 126166. [Google Scholar] [CrossRef]
- Li, X.; Yu, Z.; Jiang, H. Event-triggered fixed -time integral sliding mode control for nonlinear multi-agent systems with disturbances. Entropy 2021, 23, 1412. [Google Scholar] [CrossRef] [PubMed]
- Liu, Z.; Jahanshahi, H.; Volos, C.; Bekiros, S.; He, S.; Alassafi, M.O.; Ahmad, A.M. Distributed consensus tracking control of chaotic multi-agent supply chain network: A new fault-tolerant, finite-time, and chatting-free approach. Entropy 2021, 24, 33. [Google Scholar] [CrossRef]
- Derakhshannia, M.; Moosapour, S. Disturbance observer-based sliding mode control for consensus tracking of chaotic nonlinear multi-agent systems. Math. Comput. Simul. 2022, 194, 610–628. [Google Scholar] [CrossRef]
- Li, Z.; Zhao, J. Adaptive consensus of non-strict feedback switched multi-agent systems with input saturations. IEEE/CAA J. Autom. Sin. 2022, 8, 1752–1761. [Google Scholar] [CrossRef]
- Zhao, D.; Zou, T.; Li, S.; Zhu, Q. Adaptive backstepping sliding mode control for leader-follower multi-agent systems. Control Theory Appl. IET 2012, 6, 1109–1117. [Google Scholar] [CrossRef]
- Jiang, Y.; Liu, J.; Wang, S. Robust integral sliding-mode consensus tracking for multi-agent systems with time-varying delay. Asian J. Control 2016, 18, 224–235. [Google Scholar] [CrossRef]
- Dong, L.; Chai, S.; Zhang, B.; Nguang, S. Sliding mode control for multi-agent systems under a time-varying topology. Int. J. Syst. Sci. 2016, 9, 2193–2200. [Google Scholar] [CrossRef]
- Zhao, L.; Yu, J.; Lin, C.; Yu, H. Distributed adaptive fixed-time consensus tracking for second-order multi-agent systems using modified terminal sliding mode. Appl. Math. Comput. 2017, 312, 23–35. [Google Scholar] [CrossRef]
- Sanjoy, M.; Jawhar, G.; Maarouf, S. Homogeneous finite-time consensus control for higher-order multi-agent systems by full order sliding mode. J. Syst. Sci. Complex. 2018, 31, 1186–1205. [Google Scholar]
- Zheng, B.; Guo, L.; Li, K. Event-triggered Sliding Mode Fault-tolerant Consensus for a Class of Leader-follower Multi-agent Systems. Int. J. Control Autom. Syst. 2021, 19, 2664–2673. [Google Scholar] [CrossRef]
- Zhao, N.; Zhu, J. Sliding Mode Control for Robust Consensus of General Linear Uncertain Multi-agent Systems. Int. J. Control Autom. Syst. 2020, 18, 2170–2175. [Google Scholar] [CrossRef]
- Chen, Y.; Zhu, B. Distributed fixed-time control of high-order multi-agent systems with non-holonomic constraints. J. Frankl. Inst. 2021, 358, 2948–2963. [Google Scholar] [CrossRef]
- Zaidi, A.; Kazim, M.; Weng, R.; Wang, D.; Zhang, X. Distributed Observer-Based Leader Following Consensus Tracking Protocol for a Swarm of Drones. J. Intell. Robot. Syst. 2021, 102, 64. [Google Scholar] [CrossRef]
- Hua, C.; Sun, X.; You, X.; Guan, X. Finite-time consensus control for second-order multi-agent systems without velocity measurements. Int. J. Syst. Sci. 2017, 48, 337–346. [Google Scholar] [CrossRef]
- Ren, Y.; Zhou, W.; Li, Z.; Liu, L.; Sun, Y. Prescribed-time leader-following consensus for stochastic second-order multi-agent systems subject to actuator failures via sliding mode control strategy. Neurocomputing 2021, 425, 82–95. [Google Scholar] [CrossRef]
- Taoufik, A.; Defoort, M.; Djemai, M.; Busawon, K.; Diego, J. Distributed global fault detection scheme in multi-agent systems with chained-form dynamics. Int. J. Robust Nonlinear Control 2021, 31, 3859–3877. [Google Scholar] [CrossRef]
- Tang, P.; Lin, D.; Zheng, D.; Fan, S.; Ye, J. Observer based finite-time fault tolerant quadrotor attitude control with actuator faults. Aerosp. Sci. Technol. 2020, 104, 105968. [Google Scholar] [CrossRef]
- Hu, X.; Yang, P.; Ma, B.; Zhang, Z.; Wang, Z. Consensus sliding-mode fault-tolerant control for second-order multi-agent systems. J. Adv. Comput. Intell. Intell. Inform. 2021, 25, 947–981. [Google Scholar] [CrossRef]
- Qin, J.; Zhang, G.; Zheng, W.; Kang, Y. Adaptive sliding mode consensus tracking for second-order nonlinear multiagent systems with actuator faults. IEEE Trans. Cybern. 2019, 49, 1605–1615. [Google Scholar] [CrossRef] [PubMed]
- Zhao, Z.; He, X.; Ahn, C. Boundary disturbance observer-based control of a vibrating single-link flexible manipulator. IEEE Trans. Syst. Man Cybern. Syst. 2021, 51, 2382–2390. [Google Scholar] [CrossRef]
- Tian, X.; Liu, H.; Liu, H. Robust finite-time consensus control for multi-agent systems with disturbances and unknown velocities. ISA Trans. 2018, 80, 73–80. [Google Scholar] [CrossRef]
- Vo, A.; Truong, T.; Kang, H. A novel tracking control algorithm with finite-time disturbance observer for a class of second-order nonlinear systems and its applications. IEEE Access 2021, 9, 31373–31389. [Google Scholar] [CrossRef]
- Pan, H.; Zhang, G.; Ouyang, H.; Mei, L. A novel global fast terminal sliding mode control scheme for second-order systems. IEEE Access 2020, 8, 22758–22769. [Google Scholar] [CrossRef]
- Bhat, S.; Bernstein, D. Finite-time stability of continuous autonomous systems. SIAM J. Control Optim. 2000, 38, 751–766. [Google Scholar] [CrossRef]
- Zhang, K.; Liu, G.; Jiang, B. Robust unknown input observer-based fault estimation of leader-follower linear multi-agent systems. Circuits Syst. Signal Process. 2017, 36, 525–542. [Google Scholar] [CrossRef]
- Asl, R.; Hagh, Y.; Palm, R.; Handroos, H. Integral Non-Singular Terminal Sliding Mode Controller for nth-Order Nonlinear Systems. IEEE Access 2019, 7, 102792–102802. [Google Scholar]









| Method | ||
|---|---|---|
| Proposed in this paper | 1.864 s | 0.583 s |
| Proposed in [30] | 2.543 s | 1.064 s |
Publisher’s Note: MDPI stays neutral with regard to jurisdictional claims in published maps and institutional affiliations. |
© 2022 by the authors. Licensee MDPI, Basel, Switzerland. This article is an open access article distributed under the terms and conditions of the Creative Commons Attribution (CC BY) license (https://creativecommons.org/licenses/by/4.0/).
Share and Cite
Yang, P.; Ding, Y.; Shen, Z.; Feng, K. Integral Non-Singular Terminal Sliding Mode Consensus Control for Multi-Agent Systems with Disturbance and Actuator Faults Based on Finite-Time Observer. Entropy 2022, 24, 1068. https://doi.org/10.3390/e24081068
Yang P, Ding Y, Shen Z, Feng K. Integral Non-Singular Terminal Sliding Mode Consensus Control for Multi-Agent Systems with Disturbance and Actuator Faults Based on Finite-Time Observer. Entropy. 2022; 24(8):1068. https://doi.org/10.3390/e24081068
Chicago/Turabian StyleYang, Pu, Yu Ding, Ziwei Shen, and Kejia Feng. 2022. "Integral Non-Singular Terminal Sliding Mode Consensus Control for Multi-Agent Systems with Disturbance and Actuator Faults Based on Finite-Time Observer" Entropy 24, no. 8: 1068. https://doi.org/10.3390/e24081068
APA StyleYang, P., Ding, Y., Shen, Z., & Feng, K. (2022). Integral Non-Singular Terminal Sliding Mode Consensus Control for Multi-Agent Systems with Disturbance and Actuator Faults Based on Finite-Time Observer. Entropy, 24(8), 1068. https://doi.org/10.3390/e24081068

