Rényi’s Entropy, Statistical Order and van der Waals Gas
Abstract
1. Introduction
1.1. Statistical Disorder
1.2. Rényi’s Entropy
1.3. Review on Properties of the Statistical Order Index
2. Statistical Order and Thermodynamic Relations
3. Real Gases Application
3.1. Notions about Real Gases
3.2. Rényi Entropy for a Real Gas
3.3. Dilute Gas
3.4. The Van Der Waals Instance
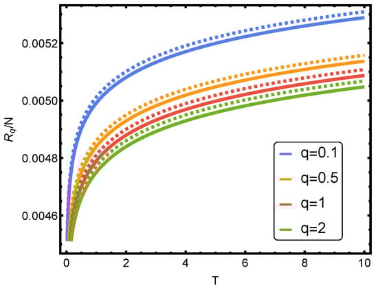
4. Some Relations for the Statistical Order in the vdW Approximation
5. Rq—Related Statistical Complexity via Fisher’S Information Measure
6. Conclusions
Author Contributions
Funding
Data Availability Statement
Conflicts of Interest
References
- López-Ruiz, R.; Mancini, H.L.; Calbet, X. A statistical measure of complexity. Phys. Lett. A 1995, 209, 321–326. [Google Scholar] [CrossRef]
- López-Ruiz, R. A Statistical Measure of Complexity in Concepts and Recent Advances in Generalized Information Measures and Statistics; Kowalski, A., Rossignoli, R., Curado, E.M.C., Eds.; Bentham Science Books: New York, NY, USA, 2013; pp. 147–168. [Google Scholar]
- Baez, J.C. Rényi Entropy and Free Energy. Entropy 2022, 24, 706. [Google Scholar] [CrossRef] [PubMed]
- Mora, T.; Walczak, A.M. Rényi entropy, abundance distribution, and the equivalence of ensembles. Phys. Rev. E 2016, 93, 52418. [Google Scholar] [CrossRef] [PubMed]
- Mayotal, M.M. Rényi’s entropy as an index of diversity in simple-stage cluster sampling. Inf. Sci. 1998, 105, 101–114. [Google Scholar]
- Rényi, A. On measures of information and entropy. In Proceedings of the 4th Berkeley Symposium on Mathematics, Statistics and Probability 1960, Berkeley, CA, USA, 20 June–30 July 1960; Neyman, J., Ed.; UC Press: Berkeley, CA, USA, 1906; Volume 1, pp. 547–561. [Google Scholar]
- Pathria, R.K. Statistical Mechanics, 2nd ed.; Butterworth-Heinemann: Oxford, UK, 1996. [Google Scholar]
- López-Ruiz, R. Complexity in some physical systems. Int. J. Bifurc. Chaos 2001, 11, 2669–2673. [Google Scholar] [CrossRef]
- Pennini, F.; Plastino, A. Disequilibrium, thermodynamic relations, and Rényi’s entropy. Phys. Lett. A 2017, 381, 212–215. [Google Scholar] [CrossRef]
- Sañudo, J.; López-Ruiz, R. Calculation of statistical entropic measures in a model of solids. Phys. Lett. A 2012, 376, 2288–2291. [Google Scholar] [CrossRef][Green Version]
- Lima, J.A.S.; Plastino, A.R. On the Classical Energy Equipartition Theorem. Braz. J. Phys. 2000, 30, 176–180. [Google Scholar] [CrossRef][Green Version]
- Tolman, R.C. The Principles of Statistical Mechanics, Great Britain; University Press: Oxford, UK, 2010; p. 95. [Google Scholar]
- Jaynes, E.T. Information Theory and Statistical Mechanics. Phys. Rev. E 1957, 106, 620–630. [Google Scholar] [CrossRef]
- Reif, F. Fundamentals of Statistical and Thermal Physics, 1st ed.; Waveland Press: Long Grove, IL, USA, 2009. [Google Scholar]
- Pennini, F.; Plastino, A. Peculiarities of the Van der Waals classical-quantum phase transition. Entropy 2022, 24, 182. [Google Scholar] [CrossRef]
- Johnston, D.C. Advances in Thermodynamics of the van der Waals Fluid; Morgan and Claypool Publishers: San Rafael, CA, USA, 2014. [Google Scholar]
- Sañudo, J.; López-Ruiz, R. Statistical complexity and Fisher-Shannon information in the H-atom. Phys. Lett. 2008, 372, 5283–5286. [Google Scholar] [CrossRef]



Publisher’s Note: MDPI stays neutral with regard to jurisdictional claims in published maps and institutional affiliations. |
© 2022 by the authors. Licensee MDPI, Basel, Switzerland. This article is an open access article distributed under the terms and conditions of the Creative Commons Attribution (CC BY) license (https://creativecommons.org/licenses/by/4.0/).
Share and Cite
Pennini, F.; Plastino, A. Rényi’s Entropy, Statistical Order and van der Waals Gas. Entropy 2022, 24, 1067. https://doi.org/10.3390/e24081067
Pennini F, Plastino A. Rényi’s Entropy, Statistical Order and van der Waals Gas. Entropy. 2022; 24(8):1067. https://doi.org/10.3390/e24081067
Chicago/Turabian StylePennini, Flavia, and Angelo Plastino. 2022. "Rényi’s Entropy, Statistical Order and van der Waals Gas" Entropy 24, no. 8: 1067. https://doi.org/10.3390/e24081067
APA StylePennini, F., & Plastino, A. (2022). Rényi’s Entropy, Statistical Order and van der Waals Gas. Entropy, 24(8), 1067. https://doi.org/10.3390/e24081067

