PCQNet: A Trainable Feedback Scheme of Precoder for the Uplink Multi-User MIMO Systems
Abstract
1. Introduction
- We propose a CNN-based architecture named PCQNet to produce the data-bearing bitstreams for each UE to recover the precoding matrices. It can achieve near-optimal performance and further reduce the feedback overhead compared with the existing 3GPP codebook scheme in certain scenarios.
- We develop a general trainable compression and quantization framework for the precoding matrices in the uplink MU-MIMO systems. The proposed PCQNet architecture as well as the Lloyd-Max quantization scheme can flexibly adjust the feedback overhead by training an auto-encoder.
- The precoding matrices with different compression ratios (CRs) are evaluated on the performance of the centralized implementation with an optimal MMSE transceiver. As far as we know, the effect of the feedback accuracy on the performance has not been investigated before. Specifically, we explore the trade-off between the block error rates (BLER) and the CRs of the precoding matrices.
2. System Model
2.1. Uplink MU-MIMO System
2.2. The Joint Precoding and Detection Design
| Algorithm 1: The centralized implementation with optimal MMSE precoding. |
![]() |
2.3. The Feedback Process of Precoding Matrices
2.4. Channel Model
3. The Proposed PCQNet
3.1. Network Architecture
3.2. The Training Strategy of PCQNet
3.3. Testing of PCQNet
3.3.1. Baseline1: The Protocol Codebook-Based Precoding Scheme
3.3.2. Baseline2: The Lloyd-Max Quantization Scheme
3.3.3. Baseline3: The Ideal Feedback Scheme
4. Experimental Evaluations
4.1. Data Generation
4.2. Simulation Results and Analysis with the i.i.d. Rayleigh Channel
4.2.1. The NMSE Performance
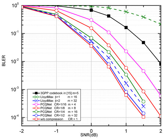
4.2.2. The BLER Performance
4.3. Simulation Results and Analysis with NAIE Channel
4.3.1. The NMSE Performance
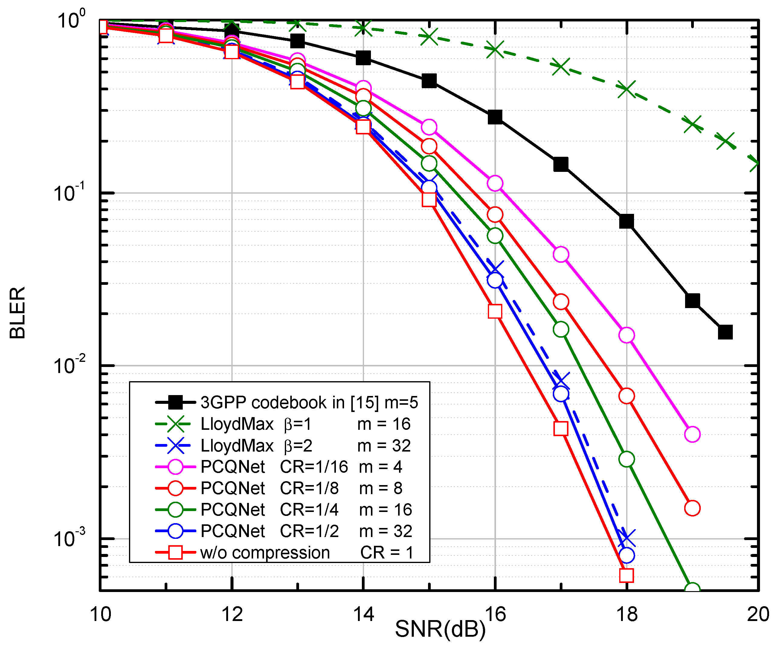
4.3.2. The BLER Performance of the NAIE Channel
5. Conclusions
Author Contributions
Funding
Institutional Review Board Statement
Informed Consent Statement
Data Availability Statement
Conflicts of Interest
References
- Hoydis, J.; ten Brink, S.; Debbah, M. Massive MIMO in the UL/DL of Cellular Networks: How Many Antennas Do We Need? IEEE J. Sel. Areas Commun. 2013, 31, 160–171. [Google Scholar] [CrossRef]
- Björnson, E.; Hoydis, J.; Sanguinetti, L. Massive MIMO Networks: Spectral, Energy, and Hardware Efficiency. Found. Trends Signal Process. 2017, 11, 154–655. [Google Scholar] [CrossRef]
- Larsson, E.G.; Edfors, O.; Tufvesson, F.; Marzetta, T.L. Massive MIMO for next generation wireless systems. IEEE Commun. Mag. 2014, 52, 186–195. [Google Scholar] [CrossRef]
- Lu, A.; Chen, Y.F.; Tseng, S.M. Reduced Complexity Hybrid Beamforming for Time-Varying Channels in Millimeter Wave MIMO Systems. Wirel. Pers. Commun. 2022, 124, 2391–2410. [Google Scholar] [CrossRef]
- Xia, W.; Zheng, G.; Zhu, Y.; Zhang, J.; Wang, J.; Petropulu, A. A Deep Learning Framework for Optimization of MISO Downlink Beamforming. IEEE Trans. Commun. 2020, 68, 1866–1880. [Google Scholar] [CrossRef]
- Ayach, O.E.; Rajagopal, S.; Abu-Surra, S.; Pi, Z.; Heath, R.W. Spatially Sparse Precoding in Millimeter Wave MIMO Systems. IEEE Trans. Wirel. Commun. 2014, 13, 1499–1513. [Google Scholar] [CrossRef]
- Hu, C.C.; Yang, C.L. Combined Transceiver Optimization for Uplink Multiuser MIMO with Limited CSI. Int. Sch. Res. Not. 2011, 2011, 1–6. [Google Scholar] [CrossRef][Green Version]
- Khandaker, M.R.A.; Rong, Y. Joint Transceiver Optimization for Multiuser MIMO Relay Communication Systems. IEEE Trans. Signal Process. 2012, 60, 5977–5986. [Google Scholar] [CrossRef]
- Serbetli, S.; Yener, A. Transceiver optimization for multiuser MIMO systems. IEEE Trans. Signal Process. 2004, 52, 214–226. [Google Scholar] [CrossRef]
- Chen, X.; Ng, D.W.K.; Yu, W.; Larsson, E.G.; Al-Dhahir, N.; Schober, R. Massive Access for 5G and Beyond. IEEE J. Sel. Areas Commun. 2021, 39, 615–637. [Google Scholar] [CrossRef]
- Yang, J.; Ge, X.; Thompson, J.S.; Gharavi, H. Power-Consumption Outage in Beyond Fifth Generation Mobile Communication Systems. IEEE Trans. Wirel. Commun. 2021, 20, 897–910. [Google Scholar] [CrossRef]
- Love, D.J.; Heath, R.W. Limited feedback unitary precoding for spatial multiplexing systems. IEEE Trans. Inf. Theory 2005, 51, 2967–2976. [Google Scholar] [CrossRef]
- Xia, P.; Giannakis, G.B. Design and analysis of transmit-beamforming based on limited-rate feedback. IEEE Trans. Signal Process. 2006, 54, 1853–1863. [Google Scholar]
- Arshad, M.; Khan, I.; Lloret, J.; Bosch, I. A Novel Multi-User Codebook Design for 5G in 3D-MIMO Heterogeneous Networks. Electronics 2018, 7, 144. [Google Scholar] [CrossRef]
- 3GPP. Technical Specification Group Radio Access Network; NR; Physical Channels and Modulation. In Technical Specification (TS) 38.211, 3rd Generation Partnership Project (3GPP); 2021; Available online: https://portal.3gpp.org/desktopmodules/Specifications/SpecificationDetails.aspx?specificationId=3213 (accessed on 30 July 2022).
- Elbir, A.; Papazafeiropoulos, A. Hybrid Precoding for Multi-User Millimeter Wave Massive MIMO Systems: A Deep Learning Approach. arXiv 2019, arXiv:1911.04239. [Google Scholar]
- Sohrabi, F.; Cheng, H.V.; Yu, W. Robust Symbol-Level Precoding Via Autoencoder-Based Deep Learning. In Proceedings of the ICASSP 2020-2020 IEEE International Conference on Acoustics, Speech and Signal Processing (ICASSP), Barcelona, Spain, 4–8 May 2020; pp. 8951–8955. [Google Scholar]
- Shi, J.; Wang, W.; Yi, X.; Gao, X.; Li, G.Y. Deep Learning-Based Robust Precoding for Massive MIMO. IEEE Trans. Commun. 2021, 69, 7429–7443. [Google Scholar] [CrossRef]
- Tseng, S.M.; Kao, S.C. User Selection Approach in Multiantenna Beamforming NOMA Video Communication Systems. Symmetry 2021, 13, 1737. [Google Scholar] [CrossRef]
- Wen, C.K.; Shih, W.T.; Jin, S. Deep Learning for Massive MIMO CSI Feedback. IEEE Wirel. Commun. Lett. 2018, 7, 748–751. [Google Scholar] [CrossRef]
- Guo, J.; Wen, C.K.; Jin, S.; Li, G.Y. Convolutional Neural Network-Based Multiple-Rate Compressive Sensing for Massive MIMO CSI Feedback: Design, Simulation, and Analysis. IEEE Trans. Wirel. Commun. 2020, 19, 2827–2840. [Google Scholar] [CrossRef]
- Guo, J.; Wen, C.K.; Chen, M.; Jin, S. AI-enhanced Codebook-based CSI Feedback in FDD Massive MIMO. In Proceedings of the 2021 IEEE 94th Vehicular Technology Conference (VTC2021-Fall), Norman, OK, USA, 27–30 September 2021; pp. 1–5. [Google Scholar]
- Li, B.; Wang, J.; Zhang, R.; Shen, H.; Zhao, C.; Hanzo, L. Multiuser MISO Transceiver Design for Indoor Downlink Visible Light Communication Under Per-LED Optical Power Constraints. IEEE Photonics J. 2015, 7, 1–15. [Google Scholar] [CrossRef]
- Lee, H.; Lee, K.J.; Kim, H.; Lee, I. Joint Transceiver Optimization for MISO SWIPT Systems With Time Switching. IEEE Trans. Wirel. Commun. 2018, 17, 3298–3312. [Google Scholar] [CrossRef]
- Available online: https://developer.huaweicloud.com/exhibition/NAIE2021.html (accessed on 30 July 2022).
- He, K.; Zhang, X.; Ren, S.; Sun, J. Deep Residual Learning for Image Recognition. In Proceedings of the 2016 IEEE Conference on Computer Vision and Pattern Recognition (CVPR), Las Vegas, NV, USA, 27–30 June 2016; pp. 770–778. [Google Scholar]
- Kingma, D.P.; Ba, J. Adam: A Method for Stochastic Optimization. arXiv 2015, arXiv:1412.6980. [Google Scholar]
- Kieffer, J.C. Uniqueness of locally optimal quantizer for log-concave density and convex error weighting function. IEEE Trans. Inf. Theory 1983, 29, 42–46. [Google Scholar] [CrossRef]
- Bucklew, J.A.; Gallagher, N.C. A Note on the Computation of Optimal Minimum Mean-Square Error Quantizers. IEEE Trans. Commun. 1982, 30, 298–301. [Google Scholar] [CrossRef]
- Max, J. Quantizing for minimum distortion. IRE Trans. Inf. Theory 1960, 6, 7–12. [Google Scholar] [CrossRef]
- Lloyd, S.P. Least squares quantization in PCM. IEEE Trans. Inf. Theory 1982, 28, 129–136. [Google Scholar] [CrossRef]









| Parameter | Description | Settings |
|---|---|---|
| The number of data frames | 500 | |
| K | The number of UEs | 20 |
| The number of antennas of each UE | 4 | |
| The number of antennas of BS | 32 | |
| The number of subcarriers | 96 |
| Parameter | Description | Settings |
|---|---|---|
| K | The number of UEs | |
| The number of antennas of each UE | 4 | |
| The number of data streams of each UE | 2 | |
| The total number of transmit antennas | 16, 24, 32 | |
| The total number of independent data streams | 8, 12, 16 | |
| The number of BS antennas | 32 | |
| The number of bits of per modulated symbol | 2, 4 | |
| The length and code rate of the low density parity check code | 384, 1/2 | |
| The quantization bits of the Lloyd-Max scheme | ||
| The quantization bits of the PCQNet | 4 | |
| The numbers of feedback Bits of the Lloyd-Max scheme | 16, 32, 48 | |
| The numbers of feedback Bits of the PCQNet scheme | 4, 8, 16, 32, 48 | |
| CR | The CRs of the PCQNet scheme | 1/16, 1/4, 1/2 |
| Quantization Factor | = 2 (m = 32) | = 3 (m = 48) | |||||
|---|---|---|---|---|---|---|---|
| NMSE (dB) | SNR(dB) | 1 | 9 | 17 | 1 | 9 | 17 |
| SNR(dB) | |||||||
| 1 | −15.23 | −11.98 | −21.14 | −17.61 | |||
| 9 | −15.93 | −16.23 | −21.67 | −20.20 | |||
| 17 | −15.37 | −17.79 | −20.07 | −23.01 | |||
| Methods | The Feedback Overhead (Number of Feedback Bits) |
|---|---|
| The 3GPP protocol codebook | 5 |
| The LloydMax scheme | 16, 32 |
| * The PCQNet scheme | 4, 8, 16, 32 |
| w/o compression (ideal) | a complex matrix with size (4, 2) |
| Quantization Factor | = 2 (m = 32) | = 3 (m = 48) | |||||
|---|---|---|---|---|---|---|---|
| NMSE (dB) | SNR(dB) | 1 | 9 | 17 | 1 | 9 | 17 |
| SNR(dB) | |||||||
| 1 | −21.00 | −21.42 | −26.06 | −26.44 | |||
| 9 | −18.14 | −18.78 | −22.57 | −23.88 | |||
| 17 | −17.34 | −18.44 | −21.71 | −23.84 | |||
Publisher’s Note: MDPI stays neutral with regard to jurisdictional claims in published maps and institutional affiliations. |
© 2022 by the authors. Licensee MDPI, Basel, Switzerland. This article is an open access article distributed under the terms and conditions of the Creative Commons Attribution (CC BY) license (https://creativecommons.org/licenses/by/4.0/).
Share and Cite
Bao, X.; Jiang, M.; Fang, W.; Zhao, C. PCQNet: A Trainable Feedback Scheme of Precoder for the Uplink Multi-User MIMO Systems. Entropy 2022, 24, 1066. https://doi.org/10.3390/e24081066
Bao X, Jiang M, Fang W, Zhao C. PCQNet: A Trainable Feedback Scheme of Precoder for the Uplink Multi-User MIMO Systems. Entropy. 2022; 24(8):1066. https://doi.org/10.3390/e24081066
Chicago/Turabian StyleBao, Xiuwen, Ming Jiang, Wenhao Fang, and Chunming Zhao. 2022. "PCQNet: A Trainable Feedback Scheme of Precoder for the Uplink Multi-User MIMO Systems" Entropy 24, no. 8: 1066. https://doi.org/10.3390/e24081066
APA StyleBao, X., Jiang, M., Fang, W., & Zhao, C. (2022). PCQNet: A Trainable Feedback Scheme of Precoder for the Uplink Multi-User MIMO Systems. Entropy, 24(8), 1066. https://doi.org/10.3390/e24081066


