MISO Broadcast Channel under Unequal Link Coherence Times and Channel State Information
Abstract
1. Introduction
2. System Model
- Perfect CSIT: the channel vectors, , are available at the transmitter instantaneously and perfectly.
- Delayed CSIT: the channel vectors, , are available at the transmitter after they change independently in the following block (completely stale [7]).
- No CSIT: the channel vectors, , cannot be known at the transmitter.
3. No CSIT for Any Users
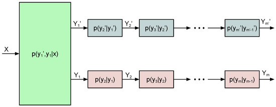
3.1. Multiuser, Multilevel Broadcast Channel
3.2. Outer Degrees of Freedom Region
3.3. Achievable Degrees of Freedom Region
- vertices corresponding to single-user transmission to each slow-fading user j achieving one degree of freedom.
- m vertices corresponding to single-user transmission to each fast-fading user i achieving degrees of freedom.
- vertices corresponding to product superposition applied to all possible pairs of slow-fading and fast-fading users, achieving degrees of freedom for one slow-fading user and degrees of freedom for one fast-fading user.
- One trivial vertex at the origin, corresponding to no transmission, achieving zero degrees of freedom for all users.
4. Delayed CSIT for All Users
4.1. Transmission to Slow-Fading Users
4.2. Transmission to Fast-Fading Users
4.3. Transmission to One Slow-Fading and One Fast-Fading User
- The transmitter first emits a super symbol intended for the slow-fading user:where , and each occupies T time instances and has the following structure:both the diagonal matrix and contain symbols intended for the slow-fading user. The components of arewhere . The slow-fading user by definition knows , so it can decode which yields degrees of freedom. The remaining observations in involve unknowns, so they require a further independent observations for reliable decoding.The components of arewhere is the equivalent channel estimated by the fast-fading user. The fast-fading user saves for interference cancellation in the upcoming steps.
- The transmitter sends a second super symbol intended for the fast-fading user:whereis diagonal and includes 2 independent symbols intended for the slow-fading user, and contains independent symbols intended for the fast-fading user. The components of arewhere is the equivalent channel estimated by the fast-fading user. The fast-fading user saves , which includes independent observations about unknowns, and hence, an additional observations are needed to decode . The components of arewhere is the equivalent channel estimated by the slow-fading user; the slow-fading user saves for the upcoming steps. Knowing , the slow-fading user achieves further degrees of freedom from decoding .
- The transmitter emits a third super symbol consisting of a linear combination of the signals generated from the first and the second super symbols.whereis diagonal and contains 2 independent symbols intended for the slow-fading user, and hence, the slow-fading user achieves further degrees of freedom.The slow-fading user cancels saved during the second super symbol and obtains , which includes the additional independent observations needed for decoding . Therefore, the slow-fading user achieves further degrees of freedom. The fast-fading user estimates the equivalent channel , cancels saved during the first super symbol, and obtains which contains the additional observations needed for decoding . Hence, the fast-fading user achieves degrees of freedom.
4.4. Transmission to Arbitrary Number of Slow-Fading and Fast-Fading Users
5. Hybrid CSIT: Perfect CSIT for the Slow-Fading Users and No CSIT for the Fast-Fading Users
6. Hybrid CSIT: Perfect CSIT for Slow-Fading Users and Delayed CSIT for Fast-Fading Users
6.1. Transmitting to One Slow-Fading and One Fast-Fading User
- Consider to be a complex matrix containing symbols intended for the slow-fading user, intended for the fast-fading user, and is a beamforming vector so that . In addition, we define . Using these components, the transmitter constructs and transmits a super symbol of length T, whose value at time t isNote that does not carry any information for either user, and serves as a pilot. The received super symbol at the slow-fading user isThe received super symbol at the fast-fading user isThe fast-fading user estimates its equivalent channel from the received value in the first time instant. The remaining terms include symbols intended for the fast-fading user plus some interference, whose cancellation is the subject of the next step.
- The transmitter next sends a second super symbol of length T,where is a symbol intended for the slow-fading user. Hence,The fast-fading user estimates the equivalent channel during the first time instant and then acquires —the interference in (87). Therefore, using , the fast-fading user solves for achieving degrees of freedom. Furthermore,The slow-fading user solves for achieving one degree of freedom and also uses to solve for , achieving further degrees of freedom.
- We enhance the channel by giving global CSIR to both users and also give y to the slow-fading user. The enhanced channel is physically degraded, having at the slow-fading user and at the fast-fading user, where and . In a physically degraded channel, causal feedback (including delayed CSIT) does not affect capacity [28], so we can remove the delayed CSIT with respect to the fast-fading user.
- We now use another enhancement with the motivation to remove the remaining CSIT (noncausal, with respect to the slow-fading user). This is accomplished, similar to Theorem 11, via local statistical equivalence property [9,11,31] in the following manner. We create a channel and noise with the same distribution but independently of the true channel and noise, and a signal . A genie will give to the slow-fading receiver and to both receivers. It has been shown [31] that , where , therefore, we can remove from the enhanced channel without reducing its degrees of freedom.
6.2. Multiple Slow-Fading and Fast-Fading Users
- The original channel is enhanced by giving the users global CSIR. Furthermore, we assume full cooperation between the slow-fading users and between the fast-fading users. The resulting enhanced channel is a broadcast channel with two users: one slow-fading user equipped with antennas, received signal , channel , and noise ; and one fast-fading user equipped with m antennas, received signal , channel , and noise .
- We further enhance the channel by giving to the slow-fading user, constructing a physically degraded channel. For the enhanced channel, the slow-fading receiver is equipped with antennas and has received signal , channel , and noise . Since any causal feedback (including delayed CSIT) does not affect the capacity of a physically degraded channel [28], the delayed CSIT for the fast-fading receiver can be removed.
- We now use another enhancement with the motivation to remove the remaining CSIT (noncausal, with respect to the slow-fading user). We create an artificial channel and noise—, —with the same distribution but independent of , , and a signal . A genie will give to the slow-fading receiver and to both receivers. It has been shown [31] that , where , therefore, we can remove from the enhanced channel without reducing its degrees of freedom.
7. Conclusions
Author Contributions
Funding
Conflicts of Interest
Appendix A. Proof of Theorem 1
Appendix B. Multilevel Broadcast Channel with Degraded Message Sets
- Rate splitting: divide the private message into two independent messages at rate and at rate , where .
- Codebook generation: fix a pmf and randomly and independently generate sequences , , each according to . For each , randomly and conditionally independently generate sequences , , each according to . For each pair , randomly and conditionally independently generate sequences , , each according to .
- Encoding: to send the message pair , the encoder transmits .
- Decoding at the users : decoder i declares that is sent if it is the unique message such that . Hence, by law of large numbers and the packing lemma [33], the probability of error tends to zero as ifwhere the last equality follows from applying data processing inequality on the Markov chain .
- Decoding at : decoder 1 declares that is sent if it is the unique message triple such that . Hence, by law of large numbers and the packing lemma [33], the probability of error tends to zero as if
- Decoding at users : decoder j decodes indirectly by declaring is sent if it is the unique message such that for some . Hence, by law of large numbers and packing lemma, the probability of error tends to zero as ifwhere the last two equalities follow from applying the chain rule and data processing inequality on the Markov chain .
References
- Caire, G.; Shamai, S. On the achievable throughput of a multiantenna Gaussian broadcast channel. IEEE Trans. Inf. Theory 2003, 49, 1691–1706. [Google Scholar] [CrossRef]
- Weingarten, H.; Steinberg, Y.; Shamai, S. The Capacity Region of the Gaussian Multiple-Input Multiple-Output Broadcast Channel. IEEE Trans. Inf. Theory 2006, 52, 3936–3964. [Google Scholar] [CrossRef]
- Huang, C.; Jafar, S.; Shamai, S.; Vishwanath, S. On Degrees of Freedom Region of MIMO Networks without Channel State Information at Transmitters. IEEE Trans. Inf. Theory 2012, 58, 849–857. [Google Scholar] [CrossRef]
- Vaze, C.; Varanasi, M. The Degree-of-Freedom Regions of MIMO Broadcast, Interference, and Cognitive Radio Channels with No CSIT. IEEE Trans. Inf. Theory 2012, 58, 5354–5374. [Google Scholar] [CrossRef]
- Lapidoth, A.; Shamai, S.; Wigger, M. On the capacity of fading MIMO broadcast channels with imperfect transmitter side-information. arXiv 2006, arXiv:cs/0605079. [Google Scholar]
- Davoodi, A.; Jafar, S. Aligned Image Sets under Channel Uncertainty: Settling a Conjecture by Lapidoth, Shamai and Wigger on the Collapse of Degrees of Freedom under Finite Precision CSIT. arXiv 2014, arXiv:1403.1541. [Google Scholar]
- Maddah-Ali, M.; Tse, D. Completely Stale Transmitter Channel State Information is Still Very Useful. IEEE Trans. Inf. Theory 2012, 58, 4418–4431. [Google Scholar] [CrossRef]
- Gou, T.; Jafar, S. Optimal Use of Current and Outdated Channel State Information: Degrees of Freedom of the MISO BC with Mixed CSIT. IEEE Commun. Lett. 2012, 16, 1084–1087. [Google Scholar] [CrossRef]
- Tandon, R.; Maddah-Ali, M.A.; Tulino, A.; Poor, H.V.; Shamai, S. On fading broadcast channels with partial channel state information at the transmitter. In Proceedings of the International Symposium on Wireless Communication Systems (ISWCS), Paris, France, 28–31 August 2012; pp. 1004–1008. [Google Scholar]
- Amuru, S.; Tandon, R.; Shamai, S. On the degrees-of-freedom of the 3-user MISO broadcast channel with hybrid CSIT. In Proceedings of the IEEE International Symposium on Information Theory (ISIT), Honolulu, HI, USA, 29 June–4 July 2014; pp. 2137–2141. [Google Scholar]
- Tandon, R.; Jafar, S.; Shamai, S.; Poor, V. On the synergistic benefits of alternating CSIT for the MISO broadcast channel. IEEE Trans. Inf. Theory 2013, 59, 4106–4128. [Google Scholar] [CrossRef]
- Li, Y.; Nosratinia, A. Product Superposition for MIMO Broadcast Channels. IEEE Trans. Inf. Theory 2012, 58, 6839–6852. [Google Scholar] [CrossRef][Green Version]
- Li, Y.; Nosratinia, A. Coherent Product Superposition for Downlink Multiuser MIMO. IEEE Trans. Wirel. Commun. 2014, 14, 1746–1754. [Google Scholar] [CrossRef]
- Fadel, M.; Nosratinia, A. Coherence Disparity in Broadcast and Multiple Access Channels. IEEE Trans. Inf. Theory 2016, 62, 7383–7401. [Google Scholar] [CrossRef]
- Borade, S.; Zheng, L.; Trott, M. Multilevel Broadcast Networks. In Proceedings of the IEEE International Symposium on Information Theory (ISIT), Nice, France, 24–29 June 2007; pp. 1151–1155. [Google Scholar]
- Nair, C.; Gamal, A. The capacity region of a class of three-receiver broadcast channels with degraded message sets. IEEE Trans. Inf. Theory 2009, 55, 4479–4493. [Google Scholar] [CrossRef]
- Liu, T.; Viswanath, P. An Extremal Inequality Motivated by Multiterminal Information-Theoretic Problems. IEEE Trans. Inf. Theory 2007, 53, 1839–1851. [Google Scholar] [CrossRef]
- Liu, R.; Liu, T.; Poor, V.; Shamai, S. A vector generalization of Costa’s entropy-power inequality with applications. IEEE Trans. Inf. Theory 2010, 56, 1865–1879. [Google Scholar]
- Marton, K. A coding theorem for the discrete memoryless broadcast channel. IEEE Trans. Inf. Theory 1979, 25, 306–311. [Google Scholar] [CrossRef]
- Marzetta, T.; Hochwald, B. Capacity of a mobile multiple-antenna communication link in Rayleigh flat fading. IEEE Trans. Inf. Theory 1999, 45, 139–157. [Google Scholar] [CrossRef]
- Zheng, L.; Tse, D. Communication on the Grassmann manifold: A geometric approach to the noncoherent multiple-antenna channel. IEEE Trans. Inf. Theory 2002, 48, 359–383. [Google Scholar] [CrossRef]
- Fadel, M.; Nosratinia, A. Coherent, non-coherent, and mixed–CSIR broadcast channels: Multiuser degrees of freedom. In Proceedings of the IEEE International Symposium on Information Theory (ISIT), Honolulu, HI, USA, 29 June–4 July 2014; pp. 2574–2578. [Google Scholar]
- Yang, S.; Kobayashi, M.; Gesbert, D.; Yi, X. Degrees of freedom of time correlated MISO broadcast channel with delayed CSIT. IEEE Trans. Inf. Theory 2013, 59, 315–328. [Google Scholar] [CrossRef]
- Yi, X.; Yang, S.; Gesbert, D.; Kobayashi, M. The Degrees of Freedom Region of Temporally Correlated MIMO Networks with Delayed CSIT. IEEE Trans. Inf. Theory 2014, 60, 494–514. [Google Scholar] [CrossRef]
- Shannon, C. The zero error capacity of a noisy channel. IEEE Trans. Inf. Theory 1956, 2, 8–19. [Google Scholar] [CrossRef]
- Bergmans, P. Random coding theorem for broadcast channels with degraded components. IEEE Trans. Inf. Theory 1973, 19, 197–207. [Google Scholar] [CrossRef]
- Bergmans, P. A simple converse for broadcast channels with additive white Gaussian noise. IEEE Trans. Inf. Theory 1974, 20, 279–280. [Google Scholar] [CrossRef]
- Gamal, A.E. The feedback capacity of degraded broadcast channels (Corresp.). IEEE Trans. Inf. Theory 1978, 24, 379–381. [Google Scholar] [CrossRef]
- Telatar, E. Capacity of Multi-antenna Gaussian Channels. Eur. Trans. Telecommun. 1999, 10, 585–595. [Google Scholar] [CrossRef]
- Weingarten, H.; Liu, T.; Shamai, S.; Steinberg, Y.; Viswanath, P. The capacity region of the degraded multiple-input multiple-output compound broadcast channel. IEEE Trans. Inf. Theory 2009, 55, 5011–5023. [Google Scholar] [CrossRef]
- Mukherjee, P.; Tandon, R.; Ulukus, S. Secure Degrees of Freedom Region of the Two-User MISO Broadcast Channel with Alternating CSIT. IEEE Trans. Inf. Theory 2017, 63, 3823–3853. [Google Scholar] [CrossRef]
- Csiszár, I.; Körner, J. Information Theory: Coding Theorems for Discrete Memoryless Channels; Akadémiai Kiadó: Budapest, Hungary, 1981. [Google Scholar]
- Gamal, A.E.; Kim, Y. Network Information Theory; Cambridge University Press: Cambridge, UK, 2011. [Google Scholar]








| Slow-Fading Users | Fast-Fading Users | |
|---|---|---|
| number of users | m | |
| MISO channel gains | ||
| received signals (continuous) | ||
| DMC receive variables | ||
| transmission rates | ||
| messages | ||
| degrees of freedom | ||
| coherence time | T | |
| General Variables | ||
| transmit signal | ||
| signal-to-noise ratio | ||
| auxiliary random variables | ||
| set of all channel gains | ||
| vertex of degrees of freedom region | ||
| canonical coordinate vector | ||
© 2020 by the authors. Licensee MDPI, Basel, Switzerland. This article is an open access article distributed under the terms and conditions of the Creative Commons Attribution (CC BY) license (http://creativecommons.org/licenses/by/4.0/).
Share and Cite
Fadel Shady, M.; Nosratinia, A. MISO Broadcast Channel under Unequal Link Coherence Times and Channel State Information. Entropy 2020, 22, 976. https://doi.org/10.3390/e22090976
Fadel Shady M, Nosratinia A. MISO Broadcast Channel under Unequal Link Coherence Times and Channel State Information. Entropy. 2020; 22(9):976. https://doi.org/10.3390/e22090976
Chicago/Turabian StyleFadel Shady, Mohamed, and Aria Nosratinia. 2020. "MISO Broadcast Channel under Unequal Link Coherence Times and Channel State Information" Entropy 22, no. 9: 976. https://doi.org/10.3390/e22090976
APA StyleFadel Shady, M., & Nosratinia, A. (2020). MISO Broadcast Channel under Unequal Link Coherence Times and Channel State Information. Entropy, 22(9), 976. https://doi.org/10.3390/e22090976

