Next Article in Journal
Facilitating Patient Adoption of Online Medical Advice Through Team-Based Online Consultation
Previous Article in Journal
Faster Delivery? You May Be Paying a Higher Price than Others!
 
 
Font Type:
Arial Georgia Verdana
Font Size:
Aa Aa Aa
Line Spacing:
Column Width:
Background:
Article

Evaluating Digital Empowerment Models for Multi-Homing Content Creators on UGC Platforms

Management School, Jiangsu University, Zhenjiang 212013, China
*
Author to whom correspondence should be addressed.
J. Theor. Appl. Electron. Commer. Res. 2025, 20(3), 230; https://doi.org/10.3390/jtaer20030230
Submission received: 2 July 2025 / Revised: 7 August 2025 / Accepted: 7 August 2025 / Published: 1 September 2025

Abstract

With the rapid expansion of user-generated content (UGC) platforms, digital empowerment has emerged as a crucial strategy for enhancing platform competitiveness. This study investigates how different digital empowerment models—no digital empowerment, free digital empowerment, and paid digital empowerment—affect platform outcomes. Employing a Salop model with multi-homing content creators, we analyze the impact of empowerment strategies on content quality, consumer engagement, and platform profitability. The findings reveal that digital empowerment functions not only as a technical tool but also as an incentive mechanism and structural supply adjustment strategy. It creates a behavioral feedback loop whereby empowered creators improve content quality, which increases consumer retention and word-of-mouth dissemination, thereby boosting traffic, advertising revenue, and overall platform profit. Among the three models, paid digital empowerment generally yields the highest content quality and platform profitability. The effectiveness of each strategy is moderated by creators’ data utilization capability, market competition intensity, advertising monetization potential, and word-of-mouth effects. These results provide theoretical and managerial insights into the design of differentiated empowerment strategies that align with platform goals and creator characteristics in competitive UGC environments.

1. Introduction

Driven by the rapid development of mobile internet, the barriers to internet access have gradually diminished, resulting in a substantial surge of voluntary content creators and user-generated content (UGC). This phenomenon has fueled the proliferation of UGC platforms such as TikTok, YouTube, and Bilibili [1]. UGC platforms, defined as digital ecosystems that provide tools and channels for collaborative creation, distribution, and customization of user-generated content, have become integral to contemporary internet users [2]. By June 2024, China’s short-video app industry alone reported an average monthly active user base of 980 million, with users spending approximately 60 h per month on these UGC platforms [3]. Globally, the number of users on Instagram and YouTube reached 2 billion and 2.53 billion, respectively, in 2025 [4]. This underscores the indispensable role of UGC platforms in modern digital life.
For UGC platforms, traffic competition has emerged as a primary battleground. Their traffic largely hinges on overall content quality, as higher-quality content attracts greater content consumer engagement, prolongs user retention, and ultimately drives higher advertising revenue [5]. This dynamic aligns with the concept of attention economics, where traffic fundamentally represents a scarce resource of user attention [6]. Attention is a critical and scarce resource [7], requiring users to selectively allocate their limited attention across competing information sources [8]. Similarly, content creators rely on quality to sustain their presence—superior content fosters larger audiences, longer view durations, and dual monetization through financial rewards [9] and reputational gains [6,10]. Consequently, enhancing content quality to attract content consumers and amplify traffic has become a shared strategic objective for both UGC platforms and content creators.
Digital empowerment may offer novel solutions to improve content quality and traffic of UGC platforms. Digital empowerment refers to the practice wherein UGC platforms possessing data advantages leverage big data technologies to analyze content consumers’ characteristics and, in turn, provide their partners with more accurate and intelligent digital support [11], which not only enhances organizational efficiency but also generates significant economic value [12,13]. In the case of UGC platforms, which connect multiple user groups, the large volumes of data collected through their operations enable them to establish a substantial data advantage, further enhancing their ability to deliver value to content creators [14,15]. By introducing “Creator Center” tools, UGC platforms can empower content creators with data-driven insights, enabling account analysis and providing information on fluctuations in content traffic and follower metrics. This, in turn, helps improve the content creators’ operational strategies. UGC platforms’ “Creator Centers” typically offer both free and paid modes. For example, Douyin (TikTok in China)’s “Creator Center” allows users to view seven-day account data and even provides data-driven video production strategies. Similarly, Sina Weibo’s “Creator Center” offers data analysis features similar to those of Douyin’s, but with a key difference: while Douyin’s “Creator Center” operates on a free digital empowerment model, Sina Weibo adopts a paid digital empowerment model, where different membership tiers unlock varying levels of account data and provide more detailed account analysis.
Although some researchers have explored the impact of digital empowerment and creator tools on platforms, their focus has primarily been on e-commerce platforms [16,17,18,19,20] and investment decisions concerning UGC platforms. On the other hand, research on UGC platform content quality and traffic has mainly concentrated on content governance [21,22,23] and the incentives for content creators to produce high-quality content [24,25,26,27,28]. To the best of our knowledge, we are the first to model UGC platform digital empowerment through the “Creator Center”, focusing on the impact of different digital empowerment modes on content quality, traffic, and profit on UGC platforms. Therefore, this paper differs from existing studies in two key regards. First, the research focus and decision-making objectives are distinct. While prior research primarily investigates whether e-commerce platforms should invest in digital empowerment services to support merchants in utilizing data for pricing optimization, this paper centers on how UGC platforms digitally empower content creators and explores the optimal decision-making strategies under different empowerment models. Second, with regard to content quality, the existing literature mainly focuses on incentive mechanisms during the content production stage, overlooking the reverse impact of content creators’ utilization of UGC platform-provided digital empowerment tools on content quality, traffic, and profitability. In contrast, this study places a greater emphasis on these two aspects and seeks to examine its underlying mechanisms in depth.
The business model of digitally empowering content creators is a key strategy for UGC platforms to enhance content quality and drive traffic growth. A critical question for UGC platforms is how to select an appropriate empowerment model in a dynamic market environment to maximize their overall returns. To quantify platform performance, provide a theoretical foundation for strategic design of digital empowerment, and fill the research gap, this paper examines three crucial performance indicators for UGC platforms—content quality, traffic, and profit—and explores the following research questions:
(1)
How do the behaviors of content consumers and content creators influence the decision-making process of UGC platforms in selecting different digital empowerment models?
(2)
What are the differences in the overall content quality and traffic on UGC platforms under different digital empowerment models?
(3)
What are the differences in the overall profits of UGC platforms under different digital empowerment models?
To address these questions, this paper develops utility functions for three scenarios—no digital empowerment, free digital empowerment, and paid digital empowerment—based on the Salop (1979) circular market model [29]. Compared with the linear city model proposed by Hotelling, the Salop model assumes that users and platforms are distributed along a circle, effectively avoiding boundary effects [29] and providing a better framework for analyzing multi-platform competition and user multi-homing behaviors. This characteristic aligns closely with the structure of UGC markets, where content creators often publish content across multiple platforms to maximize returns, resulting in a dynamic ecosystem of multi-homing behavior and platform competition. The model enables the analysis of “indifference points” among content creators and consumers to capture the distribution of user scale and traffic across platforms, thereby offering a theoretical foundation for evaluating platform performance under different empowerment strategies. On this basis, we solve for the indifference points and entry scales of content creators and consumers, formulate the profit functions of UGC platforms, and derive the optimal solutions for content quality, traffic, and profit using first-order conditions and Hessian matrix verification. Finally, numerical simulations are conducted to validate the theoretical results and examine how changes in key parameters affect platform performance.
Our contributions are as follows. First, we investigate an underexplored aspect of UGC platform strategies by examining digital empowerment mechanisms tailored to UGC platforms, thereby extending the scope of UGC platform empowerment literature beyond e-commerce contexts. Second, we demonstrate how the data utilization capability of content creators, industry competition, advertising monetization, and word-of-mouth effects jointly influence UGC platform performance in terms of content quality, traffic, and profitability. Finally, we conceptualize digital empowerment as a behavioral feedback mechanism linking creator actions, user engagement, and UGC platform outcomes, offering new insights into the design of sustainable empowerment strategies for UGC platforms.
Our findings reveal several critical insights. First, the interplay between content creators’ data utilization capabilities and UGC platform-provided tools leads to improved content quality, which in turn enhances consumers’ engagement and word-of-mouth dissemination, ultimately increasing advertising revenue. Second, in most cases, the paid digital empowerment model achieves the highest content quality and profitability, followed by the free digital empowerment model, while the no digital empowerment model performs the weakest. However, under certain conditions, both the free and no digital empowerment models may outperform in specific aspects relating to traffic and profit. Third, content creators’ data utilization ability, industry competition intensity, advertising monetization capability, and word-of-mouth strength are the key moderating factors that influence the effectiveness of different empowerment strategies.
The remainder of this paper is organized as follows: Section 2 reviews the relevant literature; Section 3 formally develops the model, analyzing and solving three models: the no digital empowerment model, the free digital empowerment model, and the paid digital empowerment model, to uncover how these models affect the content quality, traffic, and profits of UGC platforms; Section 4 presents the numerical simulation results for the different models and further analyzes the impact of various parameters on content quality, traffic, and profit; and finally, Section 5 discusses several implications of the paper, and Section 6 concludes the paper.

2. Literature Review

The literature related to this study can be broadly divided into two categories: research on digital empowerment in two-sided platforms and the content quality of UGC platforms. The following sections provide a review of the literature related to this paper.

2.1. Research on Digital Empowerment in Two-Sided Platforms

The literature on digital empowerment in two-sided platforms mainly focuses on the application of digital empowerment and investment pricing decisions. In terms of the application of digital empowerment services, Xiao et al. (2018) demonstrate that companies can involve more ordinary consumers in design through digital empowerment, which enables them to adopt data-driven innovation or data-supported innovation models in R&D [16]. Sun et al. (2018) highlight that digital empowerment services are key activities in the business ecosystem of electronic waste collection platforms, where core platforms facilitate the development of other participants through digital empowerment [17]. Xiao et al. (2020) show that platforms can help retailers choose best-selling products and improve operational efficiency through digital empowerment [18]. Xiao et al. (2021) examine the cost-sharing mechanisms when platform-based e-commerce companies empower retailers with data [11]. Hu et al. (2024) investigate how merchants with different levels of data utilization respond in terms of product pricing when e-commerce platforms provide paid digital empowerment services, and explore the platforms’ optimal implementation strategies for such empowerment [20].
Regarding investment pricing decisions, Dou and He (2017) study the optimal investment in value-added digital empowerment services and the optimal pricing strategies for users under conditions of resource scarcity in two-sided platforms [30]. Gui et al. (2021) discuss the optimal decision-making problem of platform companies’ investment in digital empowerment value-added services for both sides of the market [31]. Jia et al. (2023) explore how the investment strategies in digital empowerment services affect market share and the pricing of two-sided users based on their different affiliations [32].
This study is closely related to the aforementioned literature but differs in several important regards. Firstly, while most existing studies focus on whether and how e-commerce platforms should invest in digital empowerment to enable merchant-side data applications and pricing optimization, this study instead focuses on UGC platforms and the strategic implications of empowering content creators on content quality, user engagement, and platform profitability. Secondly, in terms of model design, this paper extends the game-theoretic model of “free digital empowerment” and “paid digital empowerment” modes based on real-world scenarios, filling a gap in digital empowerment research. Moreover, whereas existing studies on UGC platforms typically adopt a two-platform Hotelling framework or a single-platform monopoly setting, this study applies the Salop model to extend competition to three platforms. This relaxes the assumptions of prior models and better reflects the competitive landscape of real-world UGC markets.

2.2. Research on UGC Platform Content Quality

The literature on UGC platform content can be divided into two main categories: one focuses on content governance, such as the monitoring and regulation of inappropriate content like pornography, copyright infringement, offensive speech, terrorism, and racism; and the other focuses on content quality incentives, exploring how to encourage content creators to produce more high-quality content.
In terms of content governance, Peng et al. (2020) analyze the impact of content governance on UGC platforms, multi-channel networks (MCNs), and users, and explore the governance path for inappropriate content on UGC platforms [21]. Gu and Zang (2021) and Song et al. (2023) discuss specific strategies and optimization paths for content infringement governance on UGC platforms [22,23]. Luo and Xie (2022) and Xu and Peng (2023) analyze the effects of MCNs, third-party supervision of non-interactive users, and different interaction decisions between top-tier and mid-tier users on the governance of inappropriate content on UGC platforms [33,34]. Xie and Shi (2020), Zhou and Zhang (2023), and Cao (2024) study content governance strategies and reform directions for UGC platforms from perspectives such as internet technology, information supply and demand, and “meta-regulation” theory and practice [25,35,36].
Regarding content quality incentives on UGC platforms, research has focused on both cash and non-cash incentives. For cash incentives, Sun and Zhu (2013), Jain and Qian (2021), Bhargava (2022), and Ren (2023) have studied how advertising revenue-sharing models on UGC platforms affect content creators’ incentives and the interaction between advertising policies and content creators’ production strategies [9,26,27,28]. Liu and Feng (2021) explore the impact of monetary incentives on UGC content creators and identify two types of crowding-out effects that influence creator participation: motivational crowding-out and competition crowding-out [24]. Gu et al. (2024) investigate the changes in content quality by content creators participating in UGC content affiliate marketing and the effects on UGC platform decision-making [5]. Regarding non-cash incentives, Ghosh and McAfee (2011) address the challenges of using rating mechanisms to incentivize high-quality content [37]. Chen and Xu (2011) study the impact of content moderation on the incentive for user-generated content, finding that proper moderation helps improve content quality [38]. Liu (2022) explores the impact of network centrality in paid knowledge-sharing communities on knowledge payment providers’ incentives [39]. Pu et al. (2020) investigate the effect of user identity disclosure on the content quality of UGC platforms [10]. Burtch et al. (2022) study how peer rewards influence the quantity and novelty of user-generated content (UGC) on online UGC platforms [40]. Chen and Wang (2024) investigate the optimal investment strategies of UGC platforms in providing template-based content creation tools to lower entry barriers for content creators, as well as the resulting impact on overall content quality on UGC platforms [19]. Bian and Wang (2025) develop a dynamic framework of UGC value belief to analyze how historical consumption influences content quality and advertising strategies, highlighting the role of user feedback and content continuity in shaping UGC platform performance and optimal empowerment decisions [41]. Other scholars have also researched the impact of user-generated content quality on multi-channel retail brand equity [42], the factors affecting content creators’ participation in sustained content production [43,44], and the enabling mechanisms for sustaining user-generated content production [45].
While the existing literature on UGC content quality primarily focuses on incentivizing content creators during the production stage, this study shifts the focus to the role of digital empowerment provided by platforms. It examines how such empowerment affects content quality and traffic outcomes, especially under conditions of multi-homing behavior, which is largely overlooked in prior research. Furthermore, a key distinction of this study lies in its incorporation of the ‘multi-homing’ nature of content creators, who may simultaneously publish on multiple platforms for higher returns. Studies that model strategies for improving UGC platform content quality typically neglect the “multi-homing” attribute of content creators. In summary, this study expands on existing research by introducing platform-driven digital empowerment as a non-monetary incentive mechanism that interacts with content creator behavior under multi-homing conditions. By modeling both free and paid digital empowerment scenarios, it provides new insights into how UGC platforms can influence content quality and traffic performance through strategic data tool design.

3. Model

As shown in Figure 1, this study constructs a model based on Salop’s circular market model [29], which represents a monopolistic competition model with three homogeneous UGC platforms located at positions 0, 1/3, and 2/3 of a circular market. The assumption of platform homogeneity, which is widely adopted in platform competition literature [15,20,32], facilitates symmetric equilibrium analysis and allows us to isolate the effects of digital empowerment strategies rather than platform-specific heterogeneity. Content consumers and content creators are uniformly distributed along a circle with a circumference of 1, based on their preferences, i.e., x , y ~ ( 0,1 ) . This uniform distribution assumption, following Hotelling (1929) and Salop (1979), is standard in spatial competition models because it simplifies the computation of indifferent points and ensures analytical tractability [29,46]. Let x i j , y i j represent the indifferent points of content consumers and content creators, meaning that when a content consumer or creator is at the indifferent point, their utility from choosing either of the two adjacent UGC platforms is identical. For example, when a content consumer is located at x 12 , the utility from choosing UGC platform 1 is equal to that of choosing UGC platform 2.

3.1. The Problem of Content Creators

For content creators, their level of effort determines the quality of the content generated [5]. The effort cost of a single content creator is defined as C = c q i , where 0 < c < 1 is the effort cost coefficient. After content creators adopt the digital empowerment provided by the UGC platforms, their effort cost becomes C = μ c q i , where 0 < μ < 1 represents the data utilization capability coefficient of a content creator, which reduces the content creator’s effort cost by utilizing UGC platform data for account analysis. F i represents the total traffic for a single content creator, and μ F i represents the increase in traffic after optimizing the content creation strategy through the UGC platform’s data. Therefore, the content creator’s income is ( 1 + μ ) F i . If the UGC platform’s digital empowerment is paid, the content creator needs to pay a cost p for the use of the digital empowerment. The content creator’s revenue function is defined as:
U y i j i = F i c q i k y ¯
U y i j i = ( 1 + μ ) F i μ c q i k y ¯
U y i j i = ( 1 + μ ) F i μ c q i k y ¯ p
where U y i j i represents the revenue of a content creator located at y i j when choosing UGC platform i , and y ¯ denotes the distance between the content creator and platform i , representing the disutility from preference mismatch.

3.2. The Problem of Content Consumers

Content consumers typically value the quality of UGC platform content and derive utility from multiple content creators. This has been widely studied in the literature [26,37]. Moreover, content consumers usually derive utility from the time spent watching content [47]. Thus, this study defines the utility derived by content consumers as q i t , where t represents the time spent on the UGC platform, and q i represents the overall content quality of the UGC platform. Therefore, the content consumer’s revenue function is:
U x i j i = q i t k x ¯
where U x i j i represents the revenue of a content consumer located at x i j when choosing UGC platform i , and x ¯ represents the preference distance between the consumer and platform i , incurring a utility cost due to content mismatch.

3.3. The Problem of UGC Platform

For UGC platforms, their revenue is composed of five components: traffic revenue, advertising revenue, online word-of-mouth revenue, digital empowerment costs, and paid digital empowerment revenue. Traffic revenue includes both original public traffic income and the income from content creators’ private domain traffic that is converted into public traffic, expressed as δ F Q i y , where δ is the conversion coefficient for private domain traffic into public traffic. When UGC platforms provide digital empowerment to content creators, the traffic revenue is δ ( 1 + μ ) F i Q i y . UGC platforms’ online time revenue depends on the content consumers‘ consumption time and is converted into advertising revenue from content consumption, expressed as ω t Q i x , where ω is the UGC platform’s advertising monetization coefficient. This study adopts the commonly accepted assumption in the literature that the revenue from content production is subject to diminishing marginal returns [5,48]. To capture this effect, a scaling coefficient γ y is introduced. As a scaling coefficient, γ y reflects the UGC platform’s size and helps avoid instability caused by excessive scale effects. When traffic grows too rapidly, the marginal returns from content review, distribution mechanisms, and advertising investments decline, potentially leading to content homogenization and deteriorating user experience. Therefore, the traffic revenue for UGC platform i is: ω F i Q i y γ y F i 2 or ω ( 1 + μ ) F i Q i y γ y F i 2 .
The online word-of-mouth revenue for UGC platforms is related to the UGC platform’s overall content quality. The content quality of the UGC platform spreads through the online word-of-mouth of content consumers, which affects the entry decisions of users outside the UGC platform, thus increasing the UGC platform’s revenue. This word-of-mouth revenue has been widely recognized in academic research [49,50,51,52]. Therefore, the word-of-mouth revenue is defined as λ ( q i α q i 2 ) , where 0 < λ < 1 represents the word-of-mouth spillover coefficient for content quality spillover effects, and 0 < α < 1 represents the industry competition coefficient for UGC platforms. λ measures the strength and effect of attracting external users to the UGC platform, i.e., the higher the content quality, the stronger the effect of attracting new users; however, as competition increases (i.e., α becomes larger), this effect will diminish marginally. The paid digital empowerment revenue is related to the size of the content creators, expressed as Q y i p , and the is digital empowerment costs C p .Therefore, the revenue function for UGC platform i under no digital empowerment, free digital empowerment, and paid digital empowerment models can be defined as:
π i = ω Q y i F i γ y F i 2 + δ Q x i t + λ ( q i α q i 2 )
π f d i = ω Q y i ( 1 + μ ) F i γ y F i 2 + δ Q x i t + λ ( q i α q i 2 ) C p
π p d i = ω Q y i ( 1 + μ ) F i γ y F i 2 + δ Q x i t + λ ( q i α q i 2 ) C p + Q y i p
To ensure generality, this study constructs a game-theoretic model under three scenarios—no digital empowerment, free digital empowerment, and paid digital empowerment—while considering the multi-homing behavior of content creators. This assumption reflects the realistic behavior of creators who often post content across multiple UGC platforms to maximize their exposure and income, in contrast to content consumers, who typically engage with one platform at a time. To facilitate reference, Table 1 provides a summary of all relevant parameters.

3.4. Benchmark Model with No Digital Empowerment

3.4.1. Content Consumer Utility Analysis

Following the rules of the Salop city model, the utility for a content consumer at each location from choosing each UGC platform can be derived. As shown in Figure 1, for a content consumer at x 12 , the utility of choosing UGC platform 1 and 2 is:
U x 12 1 = q 1 t k ( x 12 0 )
U x 12 2 = q 2 t k ( 1 / 3 x 12 )
Similarly, the utility for content consumers at x 23 choosing UGC platforms 2 and 3 is:
U x 23 2 = q 2 t k ( x 23 1 / 3 )
U x 23 3 = q 3 t k ( 2 / 3 x 23 )
For content consumers at x 31 selecting UGC platforms 3 and 1:
U x 31 3 = q 3 t k ( x 31 2 / 3 )
U x 31 1 = q 1 t k ( 1 x 31 )
Setting U x 12 1 = U x 12 2 , U x 23 2 = U x 23 3 , U x 31 3 = U x 31 1 yields the indifferent points of content consumers:
x 12 = ( k + 3 q 1 t 3 q 2 t ) / 6 k
x 23 = ( k + 3 q 2 t q 3 t ) / 2 k
x 31 = ( 5 k + 3 q 3 t 3 q 1 t ) / 6 k
Since the three UGC platforms are equidistantly located on a Salop circle of length 1, and content consumers are uniformly distributed, the size of content consumers on each UGC platform is given by: Q x 1 = x 12 + 1 x 31 , Q x 2 = x 23 x 12 , Q x 3 = x 31 x 23 . Substituting the indifferent points derived above, we obtain:
Q x i = [ 2 k + 6 q i t i 3 t ( q i + 1 + q i + 2 ) ] / 6 k
where i = 1 implies i + 1 = 2 , i + 2 = 3 ; i = 2 implies i + 1 = 3 , i + 2 = 1 ; and i = 3   i m p l i e s   i + 1 = 1 , i + 2 = 2 .

3.4.2. Content Creator Utility Analysis

Figure 2 illustrates the choice scenario of content creators located between UGC platforms 1 and 2. Suppose that content creators to the left of y 1 choose to join UGC platform 1, and those to the right of y 2 choose UGC platform 2, while those between y 1 and y 2 multi-home and join both platforms 1 and 2. Given that content creators are uniformly distributed along the Salop circle, the number of creators joining platform 1 is y 2 , and those joining platform 2 is 1 / 3 y 1 .
Similarly, for UGC platforms 2 and 3, and platforms 3 and 1, we define points y 3 , y 4 , y 5 , and y 6 that indicate the switching boundaries. Based on analogous reasoning, the number of content creators joining platforms 2 and 3 is y 4 1 / 3 and 2 / 3 y 3 , respectively; for platforms 3 and 1, the numbers are y 6 2 / 3 and 1 y 5 .
We now derive the indifferent utility conditions for creators choosing between two platforms or both:
For creators choosing platform 1 or both platforms 1 and 2 and located to the left of y 12 :
F 1 c q 1 k y 12 0 = F 1 + F 2 c q 1 c q 2 k y 2
For creators choosing platform 2 or both, and located to the right of y 12 :
F 2 c q 2 k ( 1 / 3 y 12 ) = F 1 + F 2 c q 1 c q 2 k ( 1 / 3 y 1 )
For creators choosing platform 2 or both platforms 2 and 3 and located to the left of y 23 :
F 2 c q 2 k ( y 23 1 / 3 ) = F 2 + F 3 c q 2 c q 3 k ( y 4 1 / 3 )
For creators choosing platform 3 or both, and located to the right of y 23 :
F 3 c q 3 k ( 2 / 3 y 23 ) = F 2 + F 3 c q 2 c q 3 k ( 2 / 3 y 3 )
For creators choosing platform 3 or both platforms 3 and 1 and located to the right of y 31 :
F 3 c q 3 k ( y 31 2 / 3 ) = F 1 + F 3 c q 1 c q 3 k ( y 6 2 / 3 )
For creators choosing platform 1 or both, and located to the left of y 31 :
F 1 c q 1 k 1 y 31 = F 1 + F 3 c q 1 c q 3 k ( 1 y 5 )
By solving the above conditions, the scale of content creators joining each platform can be derived:
Q y 1 = y 2 + ( 1 y 5 ) = [ 2 F 1 + F 2 + F 3 + 2 k / 3 c ( 2 q 1 + q 2 + q 3 ) ] / 2 k
Q y 2 = ( 1 / 3 y 1 ) + ( y 4 1 / 3 ) = [ 2 F 2 + F 1 + F 3 + 2 k / 3 c ( 2 q 1 + q 2 + q 3 ) ] / 2 k
Q y 3 = ( 2 / 3 y 3 ) + ( y 6 2 / 3 ) = [ 2 F 3 + F 2 + F 1 + 2 k / 3 c ( 2 q 1 + q 2 + q 3 ) ] / 2 k

3.4.3. UGC Platform Utility Analysis

Without digital empowerment, the revenue of the UGC platforms is primarily composed of public traffic income, advertising revenue from content consumers’ online time, and the UGC platform’s word-of-mouth revenue. By substituting the entry scales of content creators and consumers into the profit function, the profit function of each UGC platform is given as:
π i = ω 2 F i + F i + 1 + F i + 2 + 2 k 3 c 2 q 1 + q 2 + q 3 F i 2 k γ x F i 2 + δ [ 2 k + 6 q i t i 3 t ( q i + 1 + q i + 2 ) ] t 6 k + λ ( q i α q i 2 )
where i = 1 imples i + 1 = 2 , i + 2 = 3 ; i = 2 imples i + 1 = 3 , i + 2 = 1 ; i = 3 imples i + 1 = 1 ,   i + 2 = 2 . Solving the above profit function yields the following proposition:
Proposition 1.
When γ y > ( c ω ) 2 + 4 α λ k ω 4 α λ k 2 , let A = a λ k 2 + 3 c λ k + 3 c δ t 2 , B = c 2 ω 2 + 3 a λ k ω , the optimal content quality for each UGC platform is
q 1 * = q 2 * = q 3 * = λ + δ t 2 k c ω A 3 k ( B 2 α γ y λ k 2 ) 2 λ k a
The optimal private traffic for content creators is
F 1 * = F 2 * = F 3 * = ω A 3 ( B 2 α γ y λ k 2 )
The optimal scale of content consumers is Q x 1 * = Q x 2 * = Q x 3 * = 1 / 3 , and the optimal scale of content creators is:
Q y 1 * = Q y 2 * = Q y 3 * = 1 6 k [ 2 k + 4 ω A B 2 α γ y λ k 2 6 c λ + δ t 2 k c ω A 3 k ( B 2 α γ y λ k 2 ) λ a ] .
This result is proven as follows. First, we solve for the Hessian matrix  H i  of  π i  with respect to  F i ,     t i  and  q i :
H i = 2 α λ c ω / k c ω / k 2 ω / k 2 γ y , i = 1,2 , 3
The condition for  H i  to be negative definite is that the first principal minor is negative and the second principal minor is positive. After computation, the conditions for the negative definiteness of  H i  are as follows:
H i ( 1 × 1 ) = 2 α λ < 0
H i ( 2 × 2 ) = c 2 ω 2 4 a γ y λ k 2 + 4 a λ k ω k 2 > 0
Since  α  and  λ  are both greater than 0, the first condition naturally holds, and we only need to calculate the second condition. After further calculation, the condition for  H i  to be negative definite is:
γ y > ( c ω ) 2 + 4 α λ k ω 4 α λ k 2
Next, taking first-order partial derivatives of  π i  with respect to  F i  and  q i  and setting them equal to zero gives the system of optimality conditions:
F 1 * = ω [ 3 F 2 + 3 F 3 + 2 k 3 c ( 2 q 1 + q 2 + q 3 ) ] 12 ( k γ y ω )
F 2 * = ω [ 3 F 1 + 3 F 3 + 2 k 3 c ( 2 q 2 + q 1 + q 3 ) ] 12 ( k γ y ω )
F 3 * = ω [ 3 F 1 + 3 F 2 + 2 k 3 c ( 2 q 3 + q 2 + q 1 ) ] 12 ( k γ y ω )
q 1 * = δ t 2 c ω F 1 + λ k 2 α λ k
q 2 * = δ t 2 c ω F 2 + λ k 2 α λ k
q 3 * = δ t 2 c ω F 3 + λ k 2 α λ k
By solving these optimal solution equations, the final optimal solutions are derived:
q 1 * = q 2 * = q 3 * = λ + δ t 2 k c ω ( α λ k 2 + 3 c λ k + 3 c δ t 2 ) 3 k ( c 2 ω 2 2 α γ y λ k 2 + 3 α λ k ω ) 2 λ k a
F 1 * = F 2 * = F 3 * = ω ( α λ k 2 + 3 c λ k + 3 c δ t 2 ) 3 ( c 2 ω 2 2 α γ y λ k 2 + 3 α λ k ω )
Finally, by substituting the optimal solutions into the previously calculated scales for content consumers and content creators, the results for the optimal scales are obtained:
Q x 1 * = Q x 2 * = Q x 3 * = 1 / 3
Q y 1 * = Q y 2 * = Q y 3 * = 1 6 k [ 2 k + 4 ω A B 2 α γ y λ k 2 6 c λ + δ t 2 k c ω A 3 k ( B 2 α γ y λ k 2 ) λ a ]
From the previous analysis, γ y is identified as the scaling coefficient that reflects the marginal cost of quality control and resource dilution when the platform absorbs more creator traffic. Therefore, when γ y < ( c ω ) 2 + 4 α λ k ω 4 α λ k 2 (relatively small), the UGC platform has almost no constraint on traffic expansion, which may cause the optimal solution F i in the model to approach unbounded expansion. This leads to a reduction in content quality q i and diminished actual returns. When γ y > ( c ω ) 2 + 4 α λ k ω 4 α λ k 2 (relatively large), the platform imposes stronger restrictions on traffic expansion, and the effect of diminishing marginal returns is significantly manifested, causing F i , q i , and Q y i to converge to a balanced state. In this scenario, the platform focuses more on content quality rather than sheer quantity, and its profit function reaches a stable interior optimum.
Moreover, because the three UGC platforms are symmetric and homogeneous, and content consumers are uniformly distributed along the Salop circular market, their indifference points divide the market into three equal segments. In equilibrium, each platform obtains one-third of the consumer scale, Q x i = 1/3. This means that the allocation of content consumers is determined solely by location and symmetry, without bias caused by platform differences.

3.5. Model with Free Digital Empowerment

In the case of free digital empowerment on UGC platforms, the game process is as shown in Figure 3. First, UGC platform i decides on the cost of digital empowerment investment, then content creators choose which UGC platform to join and determine their level of effort, and finally, content consumers select the UGC platform they will use to watch content and decide on their online time.
Consistent with the previous analysis, we begin by calculating the indifference points of content creators located at different positions. The indifference utility between joining UGC platform 1 and multi-homing (joining both platforms 1 and 2) for content creators located to the left of y 12 is given by:
( 1 + μ ) F 1 μ c q 1 k y 12 0 = ( 1 + μ ) ( F 1 + F 2 ) μ c ( q 1 + q 2 ) k y 2
For content creators choosing between joining UGC platform 2 and multi-homing, and located to the right of y 12 :
( 1 + μ ) F 2 μ c q 2 k ( 1 / 3 y 12 ) = ( 1 + μ ) ( F 1 + F 2 ) μ c ( q 1 + q 2 ) k ( 1 / 3 y 1 )
For those choosing between joining UGC platform 2 and multi-homing with UGC platforms 2 and 3, and located to the left of y 23 :
( 1 + μ ) F 2 μ c q 2 k ( y 23 1 / 3 ) = ( 1 + μ ) ( F 2 + F 3 ) μ c ( q 2 + q 3 ) k ( y 4 1 / 3 )
For those choosing between UGC platform 3 and multi-homing with UGC platforms 2 and 3, and located to the right of y 23 :
( 1 + μ ) F 3 μ c q 3 k ( 2 / 3 y 23 ) = ( 1 + μ ) ( F 2 + F 3 ) μ c ( q 2 + q 3 ) k ( 2 / 3 y 3 )
For those choosing between joining UGC platform 3 and multi-homing with UGC platforms 3 and 1, and located to the right of y 31 :
( 1 + μ ) F 3 μ c q 3 k ( y 31 2 / 3 ) = ( 1 + μ ) ( F 1 + F 3 ) μ c ( q 1 + q 3 ) k ( y 6 2 / 3 )
For those choosing between joining UGC platform 1 and multi-homing with UGC platforms 3 and 1, and located to the left of y 31 :
( 1 + μ ) F 1 μ c q 1 k 1 y 31 = ( 1 + μ ) ( F 1 + F 3 ) μ c ( q 1 + q 3 ) k ( 1 y 5 )
Solving the above indifference conditions yields the entry scale of content creators for each UGC platform as follows:
Q f d y i = [ ( 1 + μ ) ( 2 F i + F i + 1 + F i + 2 ) + 2 k / 3 c μ ( 2 q i + q i + 1 + q i + 2 ) ] / 2 k
where i = 1 implies i + 1 = 2 , i + 2 = 3 ; i = 2 implies, i + 1 = 3 , i + 2 = 1 ; and i = 3 implies i + 1 = 1 , i + 2 = 2 . Since the content consumer behavior is modeled similarly as before, by substituting the above scales of content creators and consumers into the UGC platform’s profit function π f d i , we can derive the following proposition.
Proposition 2.
When  γ y > [ ( c ω μ ) 2 + 4 α λ k ω ] ( μ + 1 ) 2 4 α λ k 2  the optimal content quality for UGC platforms is:
q 1 * = q 2 * = q 3 * = λ + δ t 2 k c μ ω 2 ( μ + 1 ) 2 A 3 k [ ( μ + 1 ) B 6 a γ y λ k 2 / ( μ + 1 ) ] 2 λ k a
The optimal private domain traffic of content creators is: 
F 1 * = F 2 * = F 3 * = ω A 3 ( μ + 1 ) B 6 a γ y λ k 2 / ( μ + 1 )
The optimal scale of content consumers is: 
Q x 1 * = Q x 2 * = Q x 3 * = 1 / 3
The optimal scale of content creators is: 
Q y 1 * = Q y 2 * = Q y 3 * = 1 6 k [ k 5 k μ 2 ( μ + 1 ) 2 B 2 α γ y λ k 2 + D 3 c μ λ + δ t 2 k c μ ω 2 ( μ + 1 ) 2 A 3 k ( μ 2 ( μ + 1 ) 2 B 2 α γ y λ k 2 + D ) λ a ]
Proof. 
Taking the Hessian matrix H f d i of the profit function π f d i with respect to F f d i and q f d i , we obtain:
H f d i = 2 α λ c ω μ ( 1 + μ ) / k c ω μ ( 1 + μ ) / k 2 ω / k 2 γ y , i = 1,2 , 3
Similarly, computing the leading principal minors of H f d i , and requiring the first to be negative and the second to be positive, we derive the condition for H f d i to be negative definite as:
γ y > [ ( c ω μ ) 2 + 4 α λ k ω ] ( μ + 1 ) 2 4 α λ k 2
Next, by taking partial derivatives of π f d i with respect to F f d i and q f d i , setting them to zero, and solving the system of equations simultaneously, we derive the optimal solutions:
q 1 * = q 2 * = q 3 * = λ + δ t 2 k c μ ω 2 ( μ + 1 ) 2 A 3 k [ ( μ + 1 ) B 6 a γ y λ k 2 / ( μ + 1 ) ] 2 λ k a
F 1 * = F 2 * = F 3 * = ω A 3 ( μ + 1 ) B 6 a γ y λ k 2 / ( μ + 1 )
Finally, substituting the optimal solutions into the earlier derived expressions for content creator and content consumer scales yields:
Q x 1 * = Q x 2 * = Q x 3 * = 1 / 3
Q y 1 * = Q y 2 * = Q y 3 * = 4 k + 1 + 4 ω μ + 1 A D 2 ω μ μ + 1 A 3 k D 6 c μ λ + δ t 2 k + c μ p k c μ ω ( μ + 1 ) 2 A 3 k B λ α
where A = a λ k 2 + 3 c λ k + 3 c δ t 2 ,   B = c 2 ω 2 + 3 a λ k ω ,   D = [ c 2 ω 2 μ 2 2 α γ y λ k 2 + 3 α λ k ω ] ( μ + 1 ) 2 . □
Similarly, from Proposition 2, we can observe that when γ y is relatively small, the traffic expansion effect brought by free empowerment is excessively amplified, resulting in imbalances in F i , q i , and Q y i . However, when γ y is sufficiently large, the platform can effectively curb over-expansion, achieving a stable balance between traffic and content quality. Due to market symmetry, the content consumer scale remains Q x i = 1/3.
Notably, the threshold γ y required to reach equilibrium under free digital empowerment is larger than that under no empowerment. This implies that UGC platforms can gain higher potential returns in the free empowerment model by improving content quality and traffic scale, but this also intensifies competition and homogenization pressure among creators. As a result, a larger γ y is needed to suppress disorderly traffic expansion and maintain a balance between quality and quantity.

3.6. Model with Paid Digital Empowerment

In the scenario of paid digital empowerment for UGC platforms, the game flow is depicted in Figure 4. First, UGC platform i decides on the digital empowerment investment cost C p and the price for paid digital empowerment p . Then, content creators choose which UGC platform to join and decide on their level of effort investment. Finally, content consumers choose which UGC platform to access for content viewing and determine their online time.
Consistent with the previous analysis, we first calculate the indifference points for content creators at each position. The indifference utility for content creators accessing UGC platform 1 or simultaneously accessing UGC platforms 1 and 2 and located to the left of y 12 is:
( 1 + μ ) F 1 c μ q 1 p k y 12 0 = ( 1 + μ ) ( F 1 + F 2 ) c ( q 1 + q 2 ) 2 p k y 2
The indifference utility for content creators accessing UGC platform 2 or simultaneously accessing UGC platforms 1 and 2 and located to the right of y 12 is:
( 1 + μ ) F 2 c q 2 p k ( 1 / 3 y 12 ) = ( 1 + μ ) ( F 1 + F 2 ) c ( q 1 + q 2 ) 2 p k ( 1 / 3 y 1 )
Similarly, the indifference utility for content creators accessing UGC platform 2 or simultaneously accessing UGC platforms 2 and 3 and located to the left of y 23 is:
( 1 + μ ) F 2 c q 2 p k ( y 23 1 / 3 ) = ( 1 + μ ) ( F 2 + F 3 ) c ( q 2 + q 3 ) 2 p k ( y 4 1 / 3 )
The indifference utility for content creators accessing UGC platform 3 or simultaneously accessing UGC platforms 2 and 3 and located to the right of y 23 is:
( 1 + μ ) F 3 c q 3 p k ( 2 / 3 y 23 ) = ( 1 + μ ) ( F 2 + F 3 ) c ( q 2 + q 3 ) 2 p k ( 2 / 3 y 3 )
For content creators accessing UGC platform 3 or simultaneously accessing UGC platforms 3 and 1 and located to the right of y 31 , the indifference utility is:
( 1 + μ ) F 3 c q 3 p k ( y 31 2 / 3 ) = ( 1 + μ ) ( F 1 + F 3 ) c ( q 1 + q 3 ) 2 p k ( y 6 2 / 3 )
For content creators accessing UGC platform 1 or simultaneously accessing UGC platforms 3 and 1 and located to the left of y 31 , the indifference utility is:
( 1 + μ ) F 1 c q 1 p k 1 y 31 = ( 1 + μ ) ( F 1 + F 3 ) c ( q 1 + q 3 ) 2 p k ( 1 y 5 )
By solving these indifference points, we can derive the entry scale for content creators on each UGC platform:
Q f d y i = [ ( 1 + μ ) ( 2 F i + F i + 1 + F i + 2 ) + 2 k / 3 c μ ( 2 q i + q i + 1 + q i + 2 ) 4 p ] / 2 k
where i = 1 implies i + 1 = 2 , i + 2 = 3 ; i = 2 implies i + 1 = 3 , i + 2 = 1 ; and i = 3 implies i + 1 = 1 , i + 2 = 2 . Given that the content consumer function is consistent with previous analyses, substituting the entry scales of both content creators and content consumers allows us to derive the profit function π f d i for each UGC platform. Solving for the optimal conditions leads to Proposition 3.
Proposition 3.
When  γ y > [ ( c ω μ ) 2 + 4 α λ k ω ] ( μ + 1 ) 2 4 α λ k 2 , the optimal content quality for UGC platforms is:
q 1 * = q 2 * = q 3 * = λ + δ t 2 k c μ ω [ E + a λ k 2 G ] 3 k [ ( μ + 1 ) A 2 a γ y λ k 2 / ( μ + 1 ) ] 2 λ k a
The optimal private domain traffic for content creators is:
F 1 * = F 2 * = F 3 * = E + a λ k 2 G 3 ( μ + 1 ) A 6 a γ y λ k 2 / ( μ + 1 )
The optimal scale for content consumers is:
Q x 1 * = Q x 2 * = Q x 3 * = 1 / 3
The optimal scale for content creators is:
Q y 1 * = Q y 2 * = Q y 3 * = 1 3 2 p k + 2 ( μ + 1 ) 2 N 3 k c μ E λ k α
Proof. 
To prove this, we differentiate π p d i with respect to F p d i and q p d i and compute the Hessian matrix H p d i :
H p d i = 2 α λ c ω μ ( 1 + μ ) / k c ω μ ( 1 + μ ) / k 2 ω / k 2 γ y , i = 1,2 , 3
Next, we compute the first- and second-order minors of the Hessian matrix H f d i and require that the first-order minor be negative and the second-order minor be positive to guarantee negative definiteness:
γ y > [ ( c ω μ ) 2 + 4 α λ k ω ] ( μ + 1 ) 2 4 α λ k 2
Furthermore, by solving the partial derivatives of π p d i with respect to F p d i and q p d i and setting them to zero, we obtain the final optimal solutions:
q 1 * = q 2 * = q 3 * = λ + δ t 2 k c μ ω [ E + a λ k 2 G ] 3 k [ ( μ + 1 ) A 2 a γ y λ k 2 / ( μ + 1 ) ] 2 λ k a
F 1 * = F 2 * = F 3 * = E + a λ k 2 G 3 ( μ + 1 ) A 6 a γ y λ k 2 / ( μ + 1 )
Substituting these optimal solutions into the previously derived expressions for content consumer and content creator scales gives:
Q x 1 * = Q x 2 * = Q x 3 * = 1 / 3
Q y 1 * = Q y 2 * = Q y 3 * = 1 3 2 p k + 2 μ + 1 2 N 3 k c μ λ + δ t 2 k + c μ p k c μ ω ( μ + 1 ) 2 N 3 k D λ k α
where A = a λ k 2 + 3 c λ k + 3 c δ t 2 , B = c 2 ω 2 + 3 a λ k ω , D = [ c 2 ω 2 μ 2 2 α γ y λ k 2 + 3 α λ k ω ] ( μ + 1 ) 2 , E = 3 c 2 p ω μ 2 + 3 c ω μ ( λ k + δ t 2 ) , G = ( 3 p k ω + 6 p ω ) , and N = 3 α k λ p a λ ω k 2 + 3 c 2 μ 2 p ω + 3 c k λ ω μ + 6 α k λ ω p + 3 c δ ω μ t 2 . □
From Proposition 3, we find that under the paid digital empowerment model, γ y continues to play a key role in balancing traffic and quality. When γ y exceeds the threshold, the values of F i , q i , and Q y i converge to a stable equilibrium. The platform avoids excessive traffic inflation while achieving optimal outcomes in terms of both revenue and quality. Similar to the no-empowerment and free-empowerment models, the content consumer scale under the paid empowerment model also remains Q x i = 1/3.
Compared with Propositions 1 and 2, we find that although the threshold for reaching equilibrium in the paid empowerment scenario is higher than in the no-empowerment scenario, it is identical to the threshold in the free-empowerment scenario. This indicates that, regardless of whether the empowerment is free or paid, the digital empowerment mechanism heightens the platform’s sensitivity to traffic expansion, requiring sufficient quality control capabilities to prevent content quality volatility caused by empowerment.

4. Simulation

4.1. Parameter Initialization

To examine the dynamics of UGC platform behavior under various scenarios, we initialize model parameters based on real-world conditions and mathematical stability (e.g., negative definiteness of the Hessian matrix). These values are then adjusted to analyze the changes in UGC platform quality, traffic, and revenue under different scenarios. According to the YouTube Shorts monetization plan, the system aggregates the revenue generated from ads placed between Shorts videos each month, where 45% of ad revenue is allocated to content creators as compensation. Hence, the UGC platform’s advertising monetization coefficient is set to δ = 0.55 [53]. The costs for content creators and content consumers are based on the settings by Jia et al. (2023), with k = 0.15 [32]. For the paid digital empowerment model, we refer to the membership price on Sina Weibo, which is 688 RMB per year, with an average daily expenditure of 1.88 RMB, so we set p = 1.88. According to Statista’s 2024 analysis, the average daily time global mobile users spend on YouTube is about 0.95 h, so we set t   = 0.95 [54]. The data utilization capability coefficient of a content creator is based on Hu et al.’s (2024) digital empowerment application level [20], and we set μ = 0.3. The content creator’s effort cost coefficient is based on Zhu et al.’s (2023) setting for cost coefficients [55], and we set c = 0.5. To avoid degenerate cases in optimization (e.g., division by zero), all parameters are initialized with a minimum value of 0.1. The initial parameter values are shown in Table 2. In the following analysis, based on the Mac OS 14.5 computer system and MATLAB 2024a, we simulate the UGC content quality and traffic competition models under scenarios of no digital empowerment, free digital empowerment, and paid digital empowerment. According to the optimal solution calculation, the optimal traffic revenue, optimal quality, and optimal profit for the three UGC platforms under the same scenario are all equal. For simplicity, the optimal solution for one UGC platform will be used as the subject of discussion.

4.2. Analysis of the Impact of Data Utilization Capability Coefficient of a Content Creator

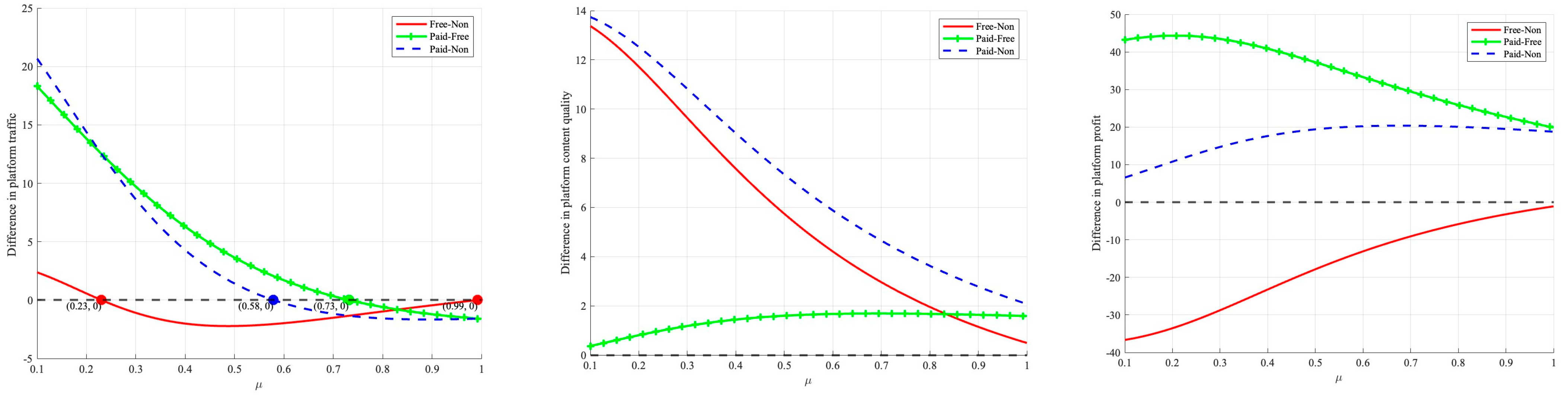
Figure 5 shows how changes in content creators’ data utilization capability coefficient affect public traffic revenue, content quality, and platform profits on UGC platforms’ public traffic revenue, content quality, and profit. When the coefficient is below 0.23, the paid digital empowerment model yields the highest traffic, followed by the free digital empowerment model, with the no digital empowerment model performing the worst. Between 0.23 and 0.58, the paid digital empowerment model still leads in traffic, but the no digital empowerment model surpasses the free digital empowerment model. Between 0.58 and 0.73, the no digital empowerment model generates the highest traffic, while the paid digital empowerment model remains superior to the free one. When the coefficient exceeds 0.99, the free digital empowerment model yields the highest traffic, though the no digital empowerment model continues to outperform the paid digital empowerment model.
This pattern reveals that under low utilization levels, the paid digital empowerment model attracts more traffic because platforms can sustainably invest in content recommendation and advanced tools funded by content creators’ payments. As utilization increases, many content creators in the free digital empowerment model generate similar content based on similar data insights, reducing the marginal revenue per content piece. Paid content creators with high data proficiency dominate traffic, discouraging mid- and long-tail content creators. Conversely, the no digital empowerment model produces more diversified content, benefiting from the long-tail effect and ultimately surpassing in total traffic. When utilization is extremely high, most content creators can effectively tailor content using empowerment tools, making the free digital empowerment model the most traffic efficient.
Regarding content quality, the paid digital empowerment model consistently delivers the highest quality, followed by the free digital empowerment model, with the no digital empowerment model being consistently lowest. However, the differences narrow as the content creators’ data utilization capability coefficient increases. Paid tools provide deeper insights and personalized support, enabling more effective content optimization.
In terms of platform profits, the paid digital empowerment model remains most profitable throughout, benefiting from dual revenue streams, while the free digital empowerment model always yields less than the no digital empowerment model. As utilization increases, the profit differences among the models diminish. The paid digital empowerment model ensures profitability due to dual revenue streams from content creators and advertisers. In contrast, the free digital empowerment model lacks direct income and incurs additional support costs, keeping its profits relatively lower.

4.3. Analysis of the Impact of Industry Competition Coefficients

Figure 6 illustrates the impact of changes in the industry competition coefficient on public traffic revenue, content quality, and profits of UGC platforms under different digital empowerment models. Across all levels of industry competition, the public traffic under the paid digital empowerment model consistently exceeds that of the free digital empowerment model. When competition is low, both paid and free digital empowerment models generate less traffic than the no digital empowerment model. However, as competition intensifies, this gap narrows. When the competition coefficient surpasses 0.24, the paid digital empowerment model overtakes the no digital empowerment model in traffic, and this advantage widens with increasing competition, though at a diminishing rate. When the coefficient exceeds 0.65, the free digital empowerment model also begins to outperform the no digital empowerment model, and the differences tend to stabilize.
This dynamic suggests that when inter-UGC platform competition is weak, UGC platforms can maintain stable public traffic without investing heavily in content creator empowerment. As competition intensifies, user choice expands, and UGC platforms must differentiate themselves by empowering content creators. Data tools provided in both paid and free digital empowerment models allow content creators to optimize their content, thereby increasing content richness and diversity, which eventually drives total traffic beyond that of the no digital empowerment model. Furthermore, the paid digital empowerment model helps select more professional and market-oriented content creators, whose content better meets user demand, resulting in the highest overall traffic.
Regarding content quality, the paid digital empowerment model consistently achieves higher content quality than the free digital empowerment model, which in turn outperforms the no digital empowerment model. However, as industry competition intensifies, the quality differences among the models diminish.
For UGC platform profitability, when the competition coefficient is below 0.83, the paid digital empowerment model consistently delivers the highest profit, while the free digital empowerment model performs worse than the no digital empowerment model. As the competition coefficient increases, profit gaps gradually narrow. When the coefficient exceeds 0.83, the no digital empowerment model slightly surpasses the paid digital empowerment model in profit.
In markets with low competition, UGC platforms face less pressure for content differentiation. In this scenario, the paid digital empowerment model’s ability to attract high-quality content creators through resource allocation and incentive mechanisms leads to higher-quality content, which then enhances user engagement and ad conversion rates. This creates a virtuous cycle of quality improvement, advertising returns, and user growth. Given that the incremental profits significantly surpass the associated empowerment costs, the paid digital empowerment model proves to be the most economically advantageous.
However, as industry competition becomes more intense, the marginal returns on content quality investment diminish. Increased competition may also lead to higher content creator acquisition and retention costs. Although the paid digital empowerment model still provides high-quality content, its relative advantage diminishes due to fixed costs and declining marginal returns. In contrast, the no digital empowerment model, while offering lower quality, benefits from minimal operational costs, making it more cost-effective under high-competition conditions. As a result, its profit surpasses that of the paid digital empowerment model in highly competitive environments.

4.4. Analysis of the Impact of Advertising Monetization Coefficient

Figure 7 demonstrates how changes in the advertising monetization coefficient affect public traffic, content quality, and UGC platform profit under different empowerment models.
Regarding public traffic, when the advertising monetization coefficient is less than 0.3, the paid digital empowerment model yields the highest traffic, while the free and no digital empowerment models perform similarly. When the coefficient is between 0.3 and 0.78, the paid digital empowerment model continues to lead, with free and no digital empowerment models remaining nearly indistinguishable. Once the coefficient exceeds 0.78, all three models converge in terms of public traffic.
This pattern can be explained as follows: when the monetization coefficient is low, the UGC platform gains little revenue from ads. However, under the paid digital empowerment model, the UGC platform also earns direct payments from content creators, which justifies further investment in advanced tools and recommendation systems. These investments enhance content creators’ content exposure and drive private traffic, boosting overall public traffic. As the monetization coefficient rises, the commercial value of traffic increases. UGC platforms now have greater incentive to broadly recommend and distribute content, enabling even free and no digital empowerment models to generate strong traffic performance, leading to convergence across all models.
In terms of content quality, both the paid and free digital empowerment models consistently outperform the no digital empowerment model. When the advertising monetization coefficient is below 0.12, the free digital empowerment model provides slightly better quality than the paid digital empowerment model. Between 0.12 and 0.88, the paid digital empowerment model yields higher content quality. Once the coefficient exceeds 0.88, the free digital empowerment model overtakes the paid one.
In terms of profitability, the performance of different digital empowerment models varies with changes in the advertising monetization coefficient. When the coefficient is below 0.15, the free digital empowerment model yields the highest profit due to its ability to expand content creator participation and content output at low marginal cost, followed by the no digital empowerment model, while the paid digital empowerment model generates the lowest profit because its additional revenue fails to offset empowerment costs. As the monetization coefficient increases to between 0.15 and 0.3, the no digital empowerment model becomes the most profitable, though the paid digital empowerment model overtakes the free one, as the marginal gains of free digital empowerment begin to diminish. When the coefficient ranges from 0.3 to 0.42, the no digital empowerment model still delivers the highest profit, but the paid digital empowerment model firmly surpasses the free digital empowerment model, benefiting from enhanced monetization of fewer but higher-quality content creators. Once the coefficient exceeds 0.42, the paid digital empowerment model emerges as the most profitable strategy, as it achieves dual revenue streams from advertising and content creator-side payments. In this phase, the free digital empowerment model consistently generates lower profit than the no digital empowerment model, owing to its limited monetization potential and rising support costs.
These results suggest that when advertising monetization capacity is weak, total ad revenue remains limited, and UGC platform profit depends mainly on content volume and user engagement. The free digital empowerment model, by providing data tools to all content creators, boosts participation and content production, thereby maximizing profit. However, as monetization improves, the additional income from increased traffic in the free digital empowerment model is insufficient to offset its rising costs. At this point, marginal returns diminish while costs rise linearly, causing the free digital empowerment model’s net profit to stagnate or fall below that of the no digital empowerment model, which remains leaner and more efficient.
When monetization is strong, the no digital empowerment model’s single-source revenue stream becomes a limitation. It misses the opportunity to monetize the content creator side, which becomes increasingly viable as UGC platforms mature. The paid digital empowerment model captures this opportunity by charging for advanced tools, enabling a dual-income strategy from both advertising and content creator fees. Moreover, the paid digital empowerment model enhances individual content performance through better analytics, increasing user dwell time and boosting total revenue, making it the most profitable under high monetization conditions.

4.5. Analysis of the Impact of Word-of-Mouth Spillover Coefficient

Figure 8 illustrates how variations in the word-of-mouth (WOM) spillover coefficient—representing the spillover effect of content quality—affect public traffic, content quality, and profit across different digital empowerment models.
In terms of public traffic, the paid digital empowerment model consistently generates the highest traffic compared to the free and no digital empowerment models. When the WOM coefficient is below 0.26, the free digital empowerment model performs worse than the no digital empowerment model; when it exceeds 0.26, the free digital empowerment model overtakes the no digital empowerment model.
When WOM effects are weak, UGC platforms rely more on “supply-driven” mechanisms and content diversity to attract traffic. In this scenario, content diversity outperforms homogeneity. The no digital empowerment model naturally encourages diverse content directions, which better serves niche audiences and leads to a more balanced and sizeable traffic base. Although the free digital empowerment model enhances average content quality, it often leads to content homogenization and diminished marginal returns, increasing competition and user fatigue, and ultimately diminishing marginal traffic returns.
As WOM effects strengthen, peer sharing and imitation become primary drivers of traffic. This transition triggers a “winner-takes-most” dynamic, where head content dominates attention and visibility. In this case, the free digital empowerment model surpasses the no digital empowerment model. Still, the paid digital empowerment model remains the most effective under all WOM levels. Although the paid digital empowerment model has fewer empowered content creators, these content creators tend to produce top-tier content that sparks viral WOM diffusion and secures disproportionate exposure. Even when WOM effects are weak, the inherent quality of paid content ensures it stands out. The paid digital empowerment model thus combines scale efficiency and differentiation advantages: it generates a sufficient volume of high-quality content while maintaining exceptional average quality and strong head-content performance, leading to consistently superior traffic.
For content quality, the paid digital empowerment model always outperforms the free digital empowerment model, which in turn outperforms the no digital empowerment model, regardless of the WOM coefficient. However, as the WOM coefficient increases, the differences between the three models narrow. This is because WOM enables high-quality content to reach a wider audience across all models, amplifying content optimization effects and thereby reducing quality disparities.
In terms of UGC platform profit, the paid digital empowerment model achieves the highest profit when the WOM coefficient is below 0.29, followed by the free digital empowerment model, with the no digital empowerment model being the least profitable. When the coefficient is between 0.29 and 0.65, the no digital empowerment model leads in profit, followed by the paid digital empowerment model, with the free digital empowerment model at the bottom. When the WOM coefficient exceeds 0.65, the no digital empowerment model maintains its profit advantage, and the free digital empowerment model surpasses the paid digital empowerment model.
These outcomes suggest that when WOM effects are weak, UGC platforms primarily rely on direct monetization. Under these conditions, paid digital empowerment provides higher returns due to better content quality and fee-based revenue, which more than offset the costs of empowering content creators. However, as WOM effects strengthen and competition intensifies, the marginal returns on content quality investment diminish. The costs of maintaining free and paid digital empowerment remain fixed or rise, reducing profit margins.

5. Discussion

This study constructs a Salop-type two-sided user model incorporating multi-homing content creators. Unlike previous studies that predominantly focus on pricing strategies of UGC platforms, this research places greater emphasis on the UGC platform’s performance in terms of content quality, traffic, and profitability. By integrating analytical modeling and simulation, the paper systematically compares the outcomes of three digital empowerment models—no digital empowerment, free digital empowerment, and paid digital empowerment—and accordingly addresses the three core research questions proposed earlier, while also elaborating on the study’s theoretical contributions.

5.1. Influence of User Behavior on Platform Empowerment Decisions

To address the first question—how do the behaviors of content consumers and content creators influence the decision-making process of UGC platforms in selecting different digital empowerment models?—this study posits that the core decision logic of UGC platforms lies in the interactive mechanism among UGC platform users, particularly the dynamic feedback relationship between content consumers and content creators.
From the content consumer side, online engagement time is both scarce and exclusive, and serves as a key driver of advertising revenue. The time content consumers spend on content is significantly influenced by the overall quality of content presented on the UGC platform. In turn, content creators’ data usage capabilities and the empowerment tools provided by the UGC platform shape content quality. Different empowerment models improve content specificity and professionalism to varying degrees, thereby influencing the marginal attractiveness of content. Moreover, content consumer behavior extends beyond individual views or clicks. Through social networks, comments, or sharing, content consumers amplify the external impact of high-quality content via word-of-mouth mechanisms. This not only increases traffic concentration on the UGC platform but also significantly enhances advertising conversion rates and UGC platform brand recognition, becoming an incremental source of revenue.
The multi-homing behavior of content creators also implies that their UGC platform choices are influenced by both expected traffic returns and the effectiveness of content optimization enabled by the UGC platform’s empowerment model. Thus, digital empowerment functions not only as a technical support tool but also as an indirect incentive mechanism. It reshapes the content supply structure, identifies high-quality content creators, and fosters continuous content optimization. This creates a behavioral feedback loop in which content creator empowerment leads to content optimization, which in turn enhances user engagement and word-of-mouth effects. These subsequently increase advertising and traffic revenues, ultimately influencing UGC platform profitability. This loop illustrates how user interaction substantively shapes the optimization path of UGC platforms’ digital empowerment strategies.
This finding aligns with prior studies such as that of Bian and Wang (2025) [41], who suggest a reinforcing loop between content quality and user feedback on UGC platforms. User behaviors such as commenting can mitigate risks stemming from content quality fluctuations and enhance ad revenue, which resonates with this study’s focus on the “content quality to user engagement to ad revenue” pathway. However, our study differs by incorporating content creators’ decision variables into the model, thus expanding the endogenous mechanisms behind content quality formation. Furthermore, Zhu et al. (2023) explore UGC platform investments in Content Quality Assurance (CQA) and propose that UGC platforms can employ data tools to enhance content quality [56]. While similar in spirit, this study treats digital empowerment as a tool granted by the UGC platform to content creators, highlighting the interactive relationship between UGC platforms and content creators. In contrast, Zhu et al. emphasize tools used for content screening by the UGC platform itself. Overall, this study places the digital empowerment mechanism at the core of modeling and focuses on its feedback pathways linking content creators, content consumers, and UGC platform revenue—thereby supplementing the existing literature.

5.2. Differences in Content Quality and Traffic Under Different Empowerment Model

Regarding the second question—what are the differences in the overall content quality and traffic on UGC platforms under different digital empowerment models?—our results indicate that paid digital empowerment generally results in the highest content quality, with only slight exceptions when ad monetization coefficients are very low. In contrast, the no digital empowerment model consistently yields the lowest content quality.
This finding partially supports Chen and Wang (2024) [19], who argued that while content creator tools can lower entry barriers and increase content volume, they may also lead to homogenization due to creative path dependence. Our model corroborates this by showing that free digital empowerment, while encouraging broad participation, is prone to content similarity, and therefore underperforms in quality relative to the higher-barrier paid digital empowerment model. However, our findings diverge by showing that even free digital empowerment leads to significantly better content quality than no digital empowerment, indicating the inherent optimization potential of feedback mechanisms—even in open-access settings.
In terms of traffic, outcomes vary with several factors. When content creators have low data utilization capability, the paid digital empowerment model generates the highest traffic. As capability increases, the no digital empowerment model gradually overtakes the paid digital empowerment model, and when it peaks, the free digital empowerment model performs best. Industry competition also moderates performance: under weak competition, the no digital empowerment model dominates in traffic; under strong competition, the paid digital empowerment model becomes more effective. Regarding advertising monetization capacity of UGC platforms, the paid digital empowerment model leads when monetization is weak, but traffic among all models converges as monetization capability rises. Across all conditions of word-of-mouth effects, the paid digital empowerment model consistently maintains the highest traffic revenue.

5.3. Differences in UGC Platform Profitability Under Different Empowerment Models

Regarding the third question—what are the differences in the profits of UGC platforms under different digital empowerment models?—the results of this paper again point to a conditional pattern. With respect to content creators’ capability of data usage, the paid digital empowerment model consistently delivers the highest profit. When it comes to industry competition, the paid digital empowerment model generally leads in profitability, except under extremely intense competition, where the no digital empowerment model slightly surpasses it.
When advertising monetization capacity is low, the free digital empowerment model is more profitable. As monetization capacity rises, the no digital empowerment model overtakes the free digital empowerment model, and at high monetization levels, the paid digital empowerment model achieves the highest profit. Finally, for word-of-mouth effects: under weak conditions, the paid digital empowerment model is the most profitable; while under moderate to strong effects, the no digital empowerment model eventually becomes the most profitable.

5.4. Theoretical Contributions of This Study

In summary, this study makes the following theoretical contributions: first, it investigates a relatively underexplored area in the literature—digital empowerment strategies on UGC platforms—thus enriching the field of UGC platform empowerment. While existing research focuses on data services provided by e-commerce platforms to merchants [17,18,20] and the optimization of platform data investment (e.g., Dou and He, 2017; Gui et al., 2021; Jia et al., 2023; Chen and Wang, 2024) [19,30,31,32], this study centers on how digital empowerment of content creators affects UGC platform quality, traffic, and profitability. Second, by revealing the dynamic effects of key factors such as content creators’ data utilization capability coefficient, industry competition, ad monetization, and word-of-mouth, it offers theoretical guidance for UGC platforms to tailor their empowerment strategies. Third, this study offers a novel endogenous explanation for content quality formation. Unlike prior studies that often approach content quality governance from a UGC platform control or incentive design perspective, this study emphasizes how content creator empowerment choices dynamically interact with UGC platform strategy. In a multi-homing context, content creators’ empowerment behaviors influence content quality, which in turn shapes user engagement and UGC platform performance. This dynamic feedback mechanism begins with content creator empowerment, which leads to improved content quality, stronger user engagement, and wider word-of-mouth dissemination—together resulting in higher advertising and traffic revenues and, ultimately, shifts in UGC platform profitability, which highlights the mediating role of digital empowerment in enhancing overall UGC platform performance.
In contrast, the no digital empowerment model involves minimal additional investment but still benefits from enhanced exposure due to WOM spillover. Its cost-benefit structure becomes more favorable in highly competitive, high-WOM scenarios, allowing it to outperform other models in profitability.

6. Conclusions and Implication

This study centers on how UGC platforms can enhance their overall performance by empowering content creators through data tools. We systematically analyze how these strategies affect UGC platform content quality, traffic revenue, and profitability. The main findings are as follows:
First, the interplay between content creators’ data utilization capabilities and UGC platform-provided tools leads to improved content quality, which in turn enhances content consumers’ engagement and word-of-mouth dissemination, ultimately increasing advertising revenue. Second, among the three empowerment models, the paid digital empowerment model generally yields the highest content quality and UGC platform profitability, followed by the free digital empowerment model, while the no digital empowerment model tends to underperform. Nevertheless, under specific market conditions, both the free and no-empowerment models may exhibit comparative advantages in terms of traffic generation or profitability. Third, the effectiveness of any given empowerment strategy is significantly moderated by four factors: content creators’ data utilization ability; the intensity of UGC platform competition; the UGC platform’s advertising monetization capacity; and the strength of content consumer word-of-mouth effects.
Based on these broad conclusions, this study proposes detailed policy recommendations tailored to different empowerment models and platform conditions:
(1)
No Digital Empowerment Model
When the platform is in its early development stage, faces relatively intense industry competition, or when word-of-mouth effects are strong, the no digital empowerment model holds certain advantages. This model requires low investment and entails lower risk, while leveraging word-of-mouth spillover to naturally attract user traffic. In a highly competitive market environment with strong word-of-mouth dissemination, the no-empowerment model can even outperform other models in terms of profitability. However, its limitation lies in its limited ability to improve content quality, meaning that this model is only suitable for UGC platforms in the exploratory phase.
(2)
Free Digital Empowerment Model
The free-empowerment model is suitable for periods of user growth or when advertising monetization capacity is weak, as it can significantly increase content output and expand platform traffic. This model is particularly applicable to UGC platforms that aim to quickly build up their content and user base. However, this study shows that although the free-empowerment model can substantially enhance traffic and user stickiness, it also tends to create risks of content homogenization and concentration among top creators. Therefore, this model is best applied during the cold-start phase or traffic downturns, while ensuring sufficient survival space for mid- and long-tail creators. In the later stage, premium paid tools should be gradually introduced as an incentive pathway for creator upgrading.
(3)
Paid Digital Empowerment Model
When the platform has strong advertising monetization capabilities and a group of high-potential creators, the paid empowerment model can achieve the highest content quality and profitability. By setting professional thresholds and providing paid tools, this model effectively screens and incentivizes high-quality creators. However, paid empowerment may lead to “monopolization by top creators” and the risk of losing small and medium-sized creators. Therefore, UGC platforms need to complement paid empowerment with revenue-sharing schemes or traffic guarantees to maintain a balanced creator ecosystem, while adjusting traffic distribution to protect the visibility of mid- and long-tail creators.
In practice, UGC platforms can dynamically switch between or combine the three empowerment models based on their development stage and market conditions. Paid digital empowerment can be used to enhance content quality from high-potential creators, while free tools serve as a mechanism for traffic acquisition and creator incubation. Under intense competition or strong word-of-mouth effects, no digital empowerment or hybrid models can also be leveraged to find an optimal balance among content quality, traffic, and profitability.
Despite the contributions of this study in modeling and numerical simulations, two limitations remain. First, the analysis assumes three homogeneous UGC platforms, which may overlook important interactions between platform-specific heterogeneity and the effectiveness of empowerment mechanisms. Second, the model does not incorporate competitive interactions among content creators. However, content creators will compete for traffic and visibility, which may significantly impact their behavior and choice of platform strategy. Future research could incorporate platform heterogeneity and strategic creator behavior to better capture real-world dynamics and content quality evolution.

Author Contributions

Conceptualization, Y.L. and Z.M.; methodology, Y.L.; software, Y.L.; validation, Y.L. and Z.M.; formal analysis, Y.L.; investigation, Y.L.; resources, Y.L.; data curation, Y.L.; writing—original draft preparation, Y.L. and Z.M.; writing—review and editing, Y.L.; visualization, Y.L.; supervision, Z.M.; project administration, Z.M.; funding acquisition, Z.M. All authors have read and agreed to the published version of the manuscript.

Funding

This research received no external funding.

Institutional Review Board Statement

Not applicable.

Informed Consent Statement

Not applicable.

Data Availability Statement

The data used in this study are simulation-based and derived from model parameters initialized using publicly available information and previously published literature, as described in the manuscript (see Table 2). No new datasets were created or analyzed beyond those reported in the article.

Conflicts of Interest

The authors declare no conflict of interest.

Correction Statement

This article has been republished with a minor correction to the Data Availability Statement. This change does not affect the scientific content of the article.

References

  1. Kumar, N.; Qiu, L.; Kumar, S. A hashtag is worth a thousand words: An empirical investigation of social media strategies in trademarking hashtags. Inf. Syst. Res. 2022, 33, 1403–1427. [Google Scholar] [CrossRef]
  2. Naab, T.K.; Sehl, A. Studies of user-generated content: A systematic review. Journalism 2017, 18, 1256–1273. [Google Scholar] [CrossRef]
  3. QuestMobile 2024 Semi-Annual Report on China’s Mobile Internet. Available online: https://www.questmobile.com.cn/research/report/1818126420037177346 (accessed on 11 November 2024).
  4. Digital 2025: Global Overview Report. Available online: https://datareportal.com/reports/digital-2025-global-overview-report (accessed on 11 April 2024).
  5. Gu, M.; Liu, D.; Kumar, S. Navigating Platform-Led Affiliate Marketing: Implications for Content Creation and Platform Profitability. Inf. Syst. Res. 2024, 36, 802–827. [Google Scholar] [CrossRef]
  6. Wang, Y.; Liu, L.; Chi, X. Flow competition and optimal pricing of traffic data: From the perspective of e-commerce platforms. Manag. World 2022, 38, 116–132. [Google Scholar]
  7. Simon, H.A.; Newell, A. Human problem solving: The state of the theory in 1970. Am. Psychol. 1971, 26, 145. [Google Scholar] [CrossRef]
  8. Goldhaber, M.H. The attention economy and the net. First Monday 1997, 2, 4. [Google Scholar] [CrossRef]
  9. Sun, M.; Zhu, F. Ad revenue and content commercialization: Evidence from blogs. Manag. Sci. 2013, 59, 2314–2331. [Google Scholar] [CrossRef]
  10. Pu, J.; Chen, Y.; Qiu, L.; Cheng, H.K. Does identity disclosure help or hurt user content generation? Social presence, inhibition, and displacement effects. Inf. Syst. Res. 2020, 31, 297–322. [Google Scholar] [CrossRef]
  11. Xiao, D.; Chen, Y.; Wang, J. Cost-sharing strategies in e-commerce supply chains considering platform digital empowerment. Chin. J. Manag. Sci. 2021, 29, 58–69. [Google Scholar]
  12. Jones, C.I.; Tonetti, C. Nonrivalry and the Economics of Data. Am. Econ. Rev. 2020, 110, 2819–2858. [Google Scholar] [CrossRef]
  13. Li, L.; Zeng, Y.; Peng, H. Configuration paths for new productivity driven by digital innovation ecosystems. Sci. Res. Manag. 2024, 45, 1–10. [Google Scholar]
  14. Lee, R.S. Verti2cal integration and exclusivity in platform and two-sided markets. Am. Econ. Rev. 2013, 103, 2960–3000. [Google Scholar] [CrossRef]
  15. Xi, X.; Zhang, Y. Data investment and pricing strategies of online platforms considering data advantages. Chin. J. Manag. Sci. 2024, 1–15. [Google Scholar] [CrossRef]
  16. Xiao, J.; Wu, Y.; Liu, Y. Consumer data participation in R&D innovation: A dual-case study from the perspective of enterprise-consumer co-evolution. Manag. World 2018, 34, 154–173+192. [Google Scholar]
  17. Sun, Q.; Wang, C.; Zuo, L.; Lu, F. Digital empowerment in a WEEE collection business ecosystem: A comparative study of two typical cases in China. J. Clean. Prod. 2018, 184, 414–422. [Google Scholar] [CrossRef]
  18. Xiao, D.; Kuang, X.; Chen, K. E-commerce supply chain decisions under platform digital empowerment-induced demand. Comput. Ind. Eng. 2020, 150, 106876. [Google Scholar] [CrossRef]
  19. Chen, L.; Wang, Y. Platform investment and creators’ quality choice. Manag. Decis. Econ. 2024, 45, 2854–2867. [Google Scholar] [CrossRef]
  20. Hu, Q.; Xie, J.; Zhang, G. Digital empowerment strategies for e-commerce platforms and competitive merchants. Chin. J. Manag. Sci. 2024, 32, 46–56. [Google Scholar]
  21. Peng, Z.; Xu, P.; Wang, Y. Content governance strategies of UGC platforms: A tripartite game with intermediary participation. J. Syst. Manag. 2020, 29, 1101–1112. [Google Scholar]
  22. Gu, C.; Zang, J. Copyright governance transformation of media platforms in the era of user-generated content: European and American experiences and China’s path. China Ed. 2021, 12, 81–86. [Google Scholar]
  23. Song, S.; Zhou, Y.; Bai, W. Governance paths and optimization of plagiarism behavior on content platforms: From the perspective of online intellectual property security. J. Inf. 2023, 42, 114–123. [Google Scholar]
  24. Liu, Y.; Feng, J. Does money talk? The impact of monetary incentives on user-generated content contributions. Inf. Syst. Res. 2021, 32, 394–409. [Google Scholar] [CrossRef]
  25. Cao, R. From regulation to meta-regulation: A paradigm shift in governance of user-generated content on social platforms. J. Soochow Univ. (Philos. Soc. Sci. Ed.) 2024, 45, 173–182. [Google Scholar]
  26. Jain, S.; Qian, K. Compensating online content producers: A theoretical analysis. Manag. Sci. 2021, 67, 7075–7090. [Google Scholar] [CrossRef]
  27. Bhargava, H.K. The creator economy: Managing ecosystem supply, revenue sharing, and platform design. Manag. Sci. 2022, 68, 5233–5251. [Google Scholar] [CrossRef]
  28. Ren, Q. Advertising and content creation on digital content platforms. Mark. Sci. 2024, 43, 734–750. [Google Scholar] [CrossRef]
  29. Salop, S.C. Monopolistic competition with outside goods. Bell J. Econ. 1979, 10, 141–156. [Google Scholar] [CrossRef]
  30. Dou, G.; He, P. Value-added service investing and pricing strategies for a two-sided platform under investing resource constraint. J. Syst. Sci. Syst. Eng. 2017, 26, 609–627. [Google Scholar] [CrossRef]
  31. Gui, Y.; Wu, Z.; Gong, B. Investment competition of value-added service quality in bilateral platforms under competitive environment. Chin. J. Manag. Sci. 2021, 29, 65–76. [Google Scholar]
  32. Jia, W.; Niu, X.; Liang, M. Investment strategies of data-empowered value-added services for competitive bilateral platforms. Oper. Manag. 2023, 32, 72–78. [Google Scholar]
  33. Luo, J.; Xie, W. Governance mechanism for “low-level” vulgar content on live streaming platforms based on non-participatory interactive audiences. Oper. Manag. 2022, 31, 227–233. [Google Scholar]
  34. Xu, P.; Peng, Z. High-quality content generation and head-driven strategy of UGC platforms based on platform subsidies. Oper. Manag. 2023, 32, 135–141. [Google Scholar]
  35. Xie, X.; Shi, L. Development logic of online content governance based on Internet technologies. Peking Univ. J. (Philos. Soc. Sci.) 2020, 57, 127–138. [Google Scholar]
  36. Zhou, J.; Zhang, S. Content risks in cyberspace and their governance from the perspective of information supply and demand. J. Fujian Norm. Univ. (Philos. Soc. Sci.) 2023, 3, 81–90+169. [Google Scholar]
  37. Ghosh, A.; McAfee, P. Incentivizing high-quality user-generated content. In Proceedings of the 20th International Conference on World Wide Web, Hyderabad, India, 28 March 2022; pp. 137–146. [Google Scholar]
  38. Chen, J.; Xu, H.; Whinston, A.B. Moderated online communities and quality of user-generated content. J. Manag. Inf. Syst. 2011, 28, 237–268. [Google Scholar] [CrossRef]
  39. Liu, Z.; Gu, F.; Zhou, S. Community centrality and incentive effects of knowledge payment: An empirical study based on microdata from “Zhihu Live”. Sci. Res. Manag. 2022, 43, 168–175. [Google Scholar]
  40. Burtch, G.; He, Q.; Hong, Y.; Lee, D. How do peer awards motivate creative content? Experimental evidence from Reddit. Manag. Sci. 2022, 68, 3488–3506. [Google Scholar] [CrossRef]
  41. Bian, B.; Wang, H. Quality management and feedback operation for user-generated content considering dynamic value belief. Eur. J. Oper. Res. 2025, 325, 344–361. [Google Scholar] [CrossRef]
  42. Wang, X.; Zhang, Q. The impact of user-generated content quality on brand equity in multichannel retailing. Manag. Sci. 2015, 28, 71–85. [Google Scholar]
  43. Lee, S.; Park, D.H. Community attachment formation and its influence on sustainable participation in a digitalized community: Focusing on content and social capital of an online community. Sustainability 2019, 11, 2935. [Google Scholar] [CrossRef]
  44. Lee, J.Y.H.; Yang, C.S.; Hsu, C.; Wang, J.H. A longitudinal study of leader influence in sustaining an online community. Inf. Manag. 2019, 56, 306–316. [Google Scholar] [CrossRef]
  45. Cui, M.; Qian, J.; Wang, Z. Realization mechanisms of continuous user-generated content: A Bilibili case study from the affordance-realization perspective. Nankai Bus. Rev. 2024, 27, 40–52. [Google Scholar]
  46. Hotelling, H. Extend access to the economic journal. Econ. J. 1929, 39, 41–57. [Google Scholar]
  47. Amaldoss, W.; Du, J.; Shin, W. Media platforms’ content provision strategies and sources of profits. Mark. Sci. 2021, 40, 527–547. [Google Scholar] [CrossRef]
  48. De Corniere, A.; Sarvary, M. Social media and news: Content bundling and news quality. Manag. Sci. 2023, 69, 162–178. [Google Scholar] [CrossRef]
  49. Chen, J.; He, M. Instant and sustained word-of-mouth communication in virtual communities from a motivational perspective. Inf. Sci. 2017, 35, 126–131. [Google Scholar]
  50. Wang, X.; Chen, X. The impact of image-text matching in user-generated content on consumers’ perceived usefulness. Manag. Sci. 2018, 31, 101–115. [Google Scholar]
  51. Sun, Q.; Xu, J. Exploring user-generated image sharing and show-off motives in the hotel industry. Chin. J. Manag. 2019, 16, 1533–1541. [Google Scholar]
  52. Cui, X.N. Online word-of-mouth information dissemination model based on consumer trust relationships. J. Syst. Manag. 2020, 29, 1090–1100. [Google Scholar]
  53. YouTube Shorts Monetization Policy. Available online: https://support.google.com/youtube/answer/12504220?hl=zh-Hans#how-it-works&zippy= (accessed on 11 November 2024).
  54. Monthly Time Spent on the YouTube Mobile App per User in Selected Markets Worldwide as of November 2024. Available online: https://www.statista.com/statistics/1287283/time-spent-youtube-app-selected-countries/ (accessed on 14 December 2024).
  55. Zhu, X.; Li, L.; He, X.; Hu, J.; Zhang, H. Investment and operation strategies of value-added services in UGC platforms under different attribution scenarios. Chin. J. Manag. 2023, 20, 1075. [Google Scholar]
  56. Zhu, X.; Lang, M.; Dietl, H.M. Content quality assurance on media platforms with user-generated content. J. Theor. Appl. Electron. Commer. Res. 2023, 18, 1660–1686. [Google Scholar] [CrossRef]
Figure 1. Competitive Model of UGC.
Figure 1. Competitive Model of UGC.
Jtaer 20 00230 g001
Figure 2. UGC Platform Access under Multi-Homing of Content Creators.
Figure 2. UGC Platform Access under Multi-Homing of Content Creators.
Jtaer 20 00230 g002
Figure 3. Game Process of free digital empowerment model.
Figure 3. Game Process of free digital empowerment model.
Jtaer 20 00230 g003
Figure 4. Game process of paid digital empowerment model.
Figure 4. Game process of paid digital empowerment model.
Jtaer 20 00230 g004
Figure 5. The impact of data utilization capability coefficient of a content creator.
Figure 5. The impact of data utilization capability coefficient of a content creator.
Jtaer 20 00230 g005
Figure 6. The Impact of Industry Competition Coefficient.
Figure 6. The Impact of Industry Competition Coefficient.
Jtaer 20 00230 g006
Figure 7. Impact of Advertising Monetization Coefficient.
Figure 7. Impact of Advertising Monetization Coefficient.
Jtaer 20 00230 g007
Figure 8. Impact of Word-of-Mouth Spillover Coefficient.
Figure 8. Impact of Word-of-Mouth Spillover Coefficient.
Jtaer 20 00230 g008
Table 1. Model Parameters and Their Meanings.
Table 1. Model Parameters and Their Meanings.
Parameters
c Content creator’s effort cost coefficient
q i Overall content quality of the UGC platform
μ Data utilization capability coefficient of a content creator
F i Total traffic of a single content creator
k Content consumer and creator preference coefficient
p Price of paid digital empowerment for content creators
t Time content consumers spend on the UGC platform
δ Conversion coefficient from private to public domain traffic
Q y i Content   creator   scale   on   UGC   platform   i
ω UGC platform’s advertising monetization coefficient
γ y A scaling coefficient controlling content creator expansion
Q x i Content   consumer   scale   on   UGC   platform   i
λ Word-of-mouth spillover coefficient
α UGC platform industry competition coefficient
C p Digital empowerment cost for UGC platform
Table 2. Initial Parameter Values for Simulation.
Table 2. Initial Parameter Values for Simulation.
Parameters μ k p ω δ γ y c t α λ C p
Initial Value0.30.151.880.60.551.20.50.950.50.20.5
Disclaimer/Publisher’s Note: The statements, opinions and data contained in all publications are solely those of the individual author(s) and contributor(s) and not of MDPI and/or the editor(s). MDPI and/or the editor(s) disclaim responsibility for any injury to people or property resulting from any ideas, methods, instructions or products referred to in the content.

Share and Cite

MDPI and ACS Style

Liang, Y.; Ma, Z. Evaluating Digital Empowerment Models for Multi-Homing Content Creators on UGC Platforms. J. Theor. Appl. Electron. Commer. Res. 2025, 20, 230. https://doi.org/10.3390/jtaer20030230

AMA Style

Liang Y, Ma Z. Evaluating Digital Empowerment Models for Multi-Homing Content Creators on UGC Platforms. Journal of Theoretical and Applied Electronic Commerce Research. 2025; 20(3):230. https://doi.org/10.3390/jtaer20030230

Chicago/Turabian Style

Liang, Yongtao, and Zhiqiang Ma. 2025. "Evaluating Digital Empowerment Models for Multi-Homing Content Creators on UGC Platforms" Journal of Theoretical and Applied Electronic Commerce Research 20, no. 3: 230. https://doi.org/10.3390/jtaer20030230

APA Style

Liang, Y., & Ma, Z. (2025). Evaluating Digital Empowerment Models for Multi-Homing Content Creators on UGC Platforms. Journal of Theoretical and Applied Electronic Commerce Research, 20(3), 230. https://doi.org/10.3390/jtaer20030230

Article Metrics

Back to TopTop