Next Article in Journal
Evaluating Digital Empowerment Models for Multi-Homing Content Creators on UGC Platforms
Previous Article in Journal
A Dynamic Analysis of Cross-Category Innovation in Digital Platform Ecosystems with Network Effects
 
 
Font Type:
Arial Georgia Verdana
Font Size:
Aa Aa Aa
Line Spacing:
Column Width:
Background:
Article

Faster Delivery? You May Be Paying a Higher Price than Others!

College of Economics and Management, Shandong University of Science and Technology, Qingdao 266590, China
*
Author to whom correspondence should be addressed.
J. Theor. Appl. Electron. Commer. Res. 2025, 20(3), 227; https://doi.org/10.3390/jtaer20030227
Submission received: 10 June 2025 / Revised: 12 August 2025 / Accepted: 15 August 2025 / Published: 1 September 2025

Abstract

The development of information technology allows firms to access consumer purchase records, enabling them to distinguish between new and old consumers. Firms can then provide these groups with respective product pricing and promised delivery time. This paper develops a two-period dynamic model based on game theory to examine the effects of behavior-based pricing and behavior-based promised delivery time strategies on product price, promised delivery time, firm profits, consumer surplus, and social welfare under conditions where consumers exhibit time-sensitive preferences. We find, first, when firms opt to implement behavior-based pricing and promised delivery time strategies, they should offer lower (higher) prices and longer (shorter) delivery times to new (old) consumers. Second, the implementation of behavior-based pricing and promised delivery time strategies may decrease firm profits while enhancing consumer surplus. Third, when consumers exhibit stronger time-sensitive preferences, behavior-based pricing and promised delivery time strategies can enhance social welfare; conversely, they may have a detrimental impact on social welfare. Finally, we extend the model into three aspects—asymmetric strategy selection, firm logistics service costs, and myopic consumer behavior—to enrich our research and test the robustness of the model. The results of this paper supply managerial implications and theoretical references for firms’ strategic implementation and policy-making by relevant government departments.

1. Introduction

The extensive application of big data technology and the ongoing advancement of e-commerce have enabled firms to effectively collect consumer purchase data and conduct in-depth analyses of consumer purchasing behavior. By leveraging consumer purchase history (e.g., purchase frequency, price sensitivity), retailers can accurately identify the heterogeneous preferences of new and old consumers. This enables them to carry out behavior-based pricing (BBP) [1,2] in conjunction with behavior-based quality discrimination (BBQD) [3]. For instance, Meituan Hotel provides a discount of “20 RMB off the first order” to new users, while Amazon facilitates user conversion by offering exclusive discounts to new consumers. Simultaneously, iQiyi grants high-definition quality privileges to new members, and Amazon Prime as well as Taobao 88 VIP members enjoy priority shipping rights, which help reduce logistics times. It is clear that the strategy of aligning user needs through differentiated pricing or service quality has become a critical tool for firms to enhance revenue and improve user retention [4,5,6].
In particular, in recent years, BBP has been extensively adopted across industries such as telecommunications, insurance, e-commerce, airlines, and hotel reservations. Firms utilize this form of price discrimination to either poach competitors’ consumers or enhance their own profits [7]. However, since waiting time (e.g., logistics delivery time, food delivery time, and the estimated arrival time for ride-hailing services) is also a crucial factor affecting purchasing decisions for some consumers beyond price, such consumers are categorized as time sensitive. For instance, a related survey report indicates that 87% of online shoppers view delivery speed as an essential factor in shaping their online shopping choices, while 67% are willing to spend more for same-day delivery.
In particular, Shen et al.’s study (2024) [8] conducted a data analysis of transaction-level data for a single product category on JD.com Mall from 1 to 31 March 2018. These data include 9159 stock unit transactions and 486,928 customer purchase orders. They reveal that committed delivery date criteria play a crucial role in consumer purchase decisions. The data results show that consumers are willing to pay a premium for JD.com resale products and are willing to pay a price premium for a shorter promised delivery time [8,9]. Thus, the promised delivery time displayed for a product is a critical factor influencing consumers’ willingness to pay and firm profits. Additionally, a substantial body of research has demonstrated that the connection between delivery speed and sales is evident in various retail settings, such as interior design and furniture [10,11], personalized photo products [12], and clothing [13]. For example, Zhang and Song (2017) studied the effect of delivery time on furniture sales based on the Chinese market [14].
Therefore, to meet consumers’ personalized needs and enhance their competitiveness, some firms have gradually adopted the behavior-based delivery time strategy (BBT). For instance, in his 2020 letter to shareholders, Jeff Bezos highlighted that Amazon Prime enables 200 million global users to receive fast and free delivery of millions of eligible online products within two business days. Prime members can opt for free “same-day” or “next-day” logistics services for millions of items. This is because Amazon can automatically assign the nearest warehouse node to frequent Prime members based on historical order data, thereby further reducing the delivery time. Vakulenko et al. (2022) [15] emphasize that, against the backdrop of growing e-commerce and the increasing number of e-consumers globally, e-retailers and logistics service providers must differentiate and customize their offerings to refine their operations and better satisfy consumer needs. Their study found that distribution differentiation may benefit all market participants. According to the above description, existing technologies enable firms to selectively offer different prices and promised delivery times to consumers, thereby meeting more consumers’ personalized needs while ensuring that goods are delivered within the promised delivery time.
Despite Amazon Prime achieving tremendous economic success and receiving widespread acclaim, few studies have rigorously quantified the economic value, consumer welfare impact, or public policy implications of the various terms in the subscription program. Thus, we demonstrate the necessity of our research from two perspectives. On the one hand, the economic value of the delivery time strategy in Amazon Prime’s terms, changes in consumer welfare, and market competition have yet to be rigorously quantified; on the other hand, existing studies have predominantly analyzed the single-dimensional effects of price or delivery time in isolation, with limited exploration of the dynamic interaction mechanism between the two within the framework of behavioral discrimination. For instance, how do firms influence consumer choice and firm profits when implementing differential pricing and differentiated promised delivery times simultaneously? These theoretical gaps constrain firms’ abilities to operate precisely for time-sensitive consumers.
Actually, dynamic behavioral discrimination strategies are already pretty common. Especially in today’s platform economy, platform firms often use historical purchase records (such as initial consumption frequency and price sensitivity) to build a second-stage differentiation strategy to dynamically adjust the next period’s price and service strategy. For example, the “the longer you wait, the more expensive it gets” phenomenon with DiDi and Uber ride-hailing services, where if the platform detects that you have canceled orders multiple times, it will dynamically adjust the quote to test your willingness to pay. This will spark new forms of competition in terms of consumer data value mining and joint strategies. The dynamic price adjustment of ride-hailing platforms is a typical scenario of adjusting current strategies (the second period) based on historical behavioral data (the first period). However, traditional static theoretical research mechanisms have difficulty effectively responding to the complex heterogeneity of consumer behavior due to their static and homogeneous characteristics [4]. Therefore, considering that consumers are becoming increasingly strategic, this paper constructs a two-period dynamic game model that is more in line with the increasingly complex business environment.
According to Abdellaoui and Kemel [16], consumers exhibit varying degrees of perceptual sensitivity across the two dimensions of price and time. Therefore, when targeting time-sensitive consumers, how firms can simultaneously fulfill consumers’ personalized needs and enhance their shopping experience in both price and time dimensions has garnered significant attention [17,18,19]. To address the current research gap and investigate the unique impact of this information-driven personalized strategy, we primarily focus on the following research questions:
(1)
When targeting time-sensitive consumers, how can firms make joint decisions on promised delivery time and price across different scenarios (uniform pricing and uniform promised delivery times; differential pricing and uniform promised delivery times; differential pricing and differentiated promised delivery times) when adopting behavior-based pricing and promised delivery time strategies?
(2)
In a two-period dynamic game, what are the optimal decisions for the firm in each period?
(3)
How do different promised delivery time strategies impact the firm’s profits in each period?
(4)
What are the implications of behavior-based pricing and promised delivery time strategies for consumer surplus and social welfare?
In order to tackle these challenges, this paper develops a two-period dynamic game model. We examine the effects of behavior-based pricing (BBP) and behavior-based promised delivery time strategies (BBT) by considering two horizontally differentiated firms that sell products A and B to customers in the market. In the first period, firms opt for uniform pricing (UP) with uniform delivery time (UT) due to the lack of consumer purchase history. Consumers’ options in the first period reflect their inherent preferences, and their purchase history information in the first period is identified and recorded by firms, enabling the firms to segment the market in the subsequent period. In the second period, firms decide whether to segment the market based on the consumer identification data collected in the previous period. If the market is segmented in the second period and firms implement BBP or BBT, they will present distinct prices to new and old consumers, respectively, or provide differentiated promised delivery times. We primarily analyze the following three scenarios by considering the strategic choices of firms: UP and UT (UU); BBP and UT (DU); BBP and BBT (DD). We not only derive the optimal decisions for firms under each scenario but also carry out an in-depth analysis of consumer surplus and social welfare.
We obtain several noteworthy findings. First, while the classic conclusion of BBP is that firms offer high prices to old consumers and low prices to new consumers, the results of BBT are the opposite. That is, firms should offer shorter delivery times to old consumers and longer delivery times to new customers. Second, while BBP intensifies price competition among firms, BBT helps to mitigate competition, but it exacerbates the price differences between new and existing consumers. That is, it further reduces the price for new consumers and raises the price for old consumers. In addition, the differentiated delivery time strategy enables firms to adjust the promised delivery time appropriately, which may alleviate some of the delivery pressure on firms. Finally, we also derive some important conclusions by analyzing changes in firm profits, consumer surplus, and social welfare. The differentiation strategy may reduce firm profits, but it will benefit consumer surplus. In particular, under certain conditions, the joint strategy of BBP and BBT will increase the welfare of the whole society. These findings particularly emphasize the interplay between behavioral discriminatory strategies across different dimensions, enriching our understanding of discriminatory strategies under consumer heterogeneity and time preference from both price and logistics service perspectives, and provide valuable theoretical insights for e-commerce operations and policy design.
This paper has the following main contributions. First, it contributes new knowledge to the emerging problem of behavioral discrimination in the digital economy context. It provides a theoretical explanation for the phenomena of “price differentiation” and “logistics service differentiation”. Our study fills a gap in the literature, which tends to consider the effects of the two individually, neglecting the mechanism of their mutual influence. Second, we construct a two-period dynamic game model considering a joint price and time decision problem, test that both price and logistics services are effective means of implementing discriminatory strategies, and develop a stream of the literature on behavior-based price discrimination. In particular, we demonstrate that firms can strategically target consumers by adjusting prices flexibly and committing to specific delivery times. We test the robustness of our main conclusions through specific extensions. Third, the findings also provide many insights for managers. These insights concern how firms can make optimal decisions when adopting differentiation strategies, such as pricing and logistics services, in dealing with strategic consumers. This approach will help firms retain existing customers and acquire new ones. Finally, in addition to the theoretical contribution, the findings obtained from this study provide valuable recommendations for government regulators in the formulation of relevant public policies, particularly in regulating digital markets and consumer rights.
The rest of the structure of the paper is organized as follows. Section 3 elaborates on the model construction and game sequence. Section 4 solves the model and obtains the optimal decisions of firms regarding pricing and promised delivery time under the three scenarios, respectively. Section 5 examines and analyzes the equilibrium results across the scenarios to draw the main conclusions of this paper and further investigates the impacts of behavior-based pricing and promised delivery time strategies on firm profits, consumer surplus, and social welfare. Section 6 extends the main model, relaxes several key assumptions, and tests the robustness of the model. Section 7 reviews and summarizes the entire paper and explores future research.

2. Literature Review

The main topics related to our research encompass both BBP and joint decision-making on pricing and delivery time.
The first stream of the literature focuses on BBP. Many domestic and foreign scholars have examined it from multiple perspectives and directions. Villas-Boas (2004) and Tirole (2000) arrived at the classic conclusion that, in a horizontally symmetric duopoly market, BBP intensifies market price competition, thereby reducing firm profits [20,21]. Esteves and Reggiani (2014) found that, in a market context with variable demand elasticity, BBP reduces firm profits while increasing consumer surplus compared to uniform pricing [22]. Chen et al. (2021) analyzed social welfare under differential pricing versus uniform pricing for symmetric costs and homogeneous products and found that differential pricing is more likely to enhance consumer surplus [6]. As consumers become more strategic, some literature has extended the analysis of BBP by considering consumers’ fairness concerns [23,24]. In addition, BBP research is closely related to service-level decision-making [25,26], information disclosure [27,28], quality differentiation [29,30], and product innovation [31]. Among them, Li et al. (2025) [29] investigated the unique effects of BBP in an asymmetric environment in the experience goods market. Jing (2016) [30] proposed shifting price competition under BBP by selling quality-differentiated products, and his research focused on the impact of BBP on product quality differentiation. Li (2021) extended a typical two-period dynamic game model of BBP by investigating how firms differentiate service quality based on consumers’ purchase history, revealing the link between product quality differentiation and price differentiation [3]. This paper differs from the above studies in that it integrates promised delivery time into the two-period dynamic game model and examines the two-period dynamic game under the dual dimensions of price and time.
The second stream of the literature focuses on joint decision-making regarding pricing and delivery time. This literature stream encompasses two critical dimensions: pricing and delivery time. Drawing from the first stream of the literature, the influence of price on consumer purchasing decisions is self-evident. Indeed, time-sensitive consumers represent the most prevalent type of consumers encountered in the retail market. Goebel et al. (2012) identified and explored the potential of time-based delivery, a novel service that enhances convenience at the intersection of retailers and consumers [32]. Some researchers have investigated and analyzed retailers’ delivery service strategies, with particular emphasis on delivery time [9,33,34]. Among them, Wang et al. examined the combined competition between promised delivery time and demand and analyzed the strategic entry of trunk airlines into the regional transportation service market and its impact on existing regional airlines [33]. In the study by Cui et al. (2024), the disclosure strategy of delivery speed not only influences timely consumer demand but also affects purchase decisions related to future consumer demand [12]. By reviewing the existing literature, we observe that most studies have disconnected the relationship between price and time, analyzing their individual effects separately.
Some researchers have addressed this limitation by initiating studies that consider both price and time dimensions. Next, we will review this literature. In the field of queuing economics, Yang et al. (2014) initially incorporated time-based competition into their analysis [35]. Furthermore, Yang et al. (2018) extended their research by analyzing how the reference effect influences service systems, taking into account customers’ loss aversion to both product price and waiting time [36]. In particular, we reviewed the literature on the interaction between price and delivery time, revealing that some scholars have investigated the trade-offs faced by time-sensitive consumers in both delivery time and price dimensions [37,38,39,40]. Among them, Amorim et al. (2024) examined consumers’ preferences for three logistics service attributes: speed, accuracy, and timeliness. Their findings indicate that consumers view speed as an essential attribute of delivery services while also regarding accuracy and timeliness as key factors influencing their purchase intentions [40]. In particular, Leng et al. (2024) examined how the disclosure of product delivery information influences consumer behavior, when customers are sensitive to price, delivery reliability, and promised delivery time [18]. Wen et al. (2022) revealed that firms should offer consumers higher product quality and faster delivery times in markets where consumers are sensitive to product quality or delivery time [41]. A review of the existing literature indicates that in recent years, an increasing number of scholars have focused on consumer time sensitivity, no longer restricting their research to single pricing studies. However, in the context of product delivery time, most studies have overlooked the connection between retail price and delivery time, and our work addresses this gap.
With the growth of e-commerce retailing, e-commerce companies can develop marketing strategies with a deeper understanding of customer behavior by tracking the purchasing habits of potential customers and the purchasing history of existing customers. This plays a crucial role in attracting new customers and retaining existing ones [42]. Therefore, in this paper, we specifically investigate the impact of price and delivery service strategies. In fact, consumer preferences and sensitivities to service attributes may differ significantly [43,44], and some customers might not place a high priority on speed or accuracy because of other factors (e.g., scheduling flexibility or constraints, retail price discounts). By detecting changes in customer preferences and encouraging some customers to opt for flexible delivery times, firms may be able to alleviate delivery affordability while preserving consumer satisfaction. Achieving this balance could offer valuable contributions to both the theoretical understanding and practical applications in retail distribution marketing [45]. Therefore, this paper explores the connection between product delivery time and selling price from the two perspectives of behavior-based pricing and promised delivery time, providing new insights into achieving such a balance.
In summary, in conjunction with the relevant background and the aforementioned related literature, it is evident that an increasing number of scholars have focused on the individual effects of product price and promised delivery time in various scenarios. Therefore, there are three primary distinctions between our study and the literature mentioned above:
(1)
We explicitly include market segments shaped by consumer behavior in our analysis, aiming to reveal the fundamental difference between price and logistics services under a behavior-based discrimination strategy;
(2)
This study incorporates promised delivery time into a canonical two-period dynamic game model of BBP, extending the single-dimensional pricing decision to a two-dimensional decision involving both price and delivery time;
(3)
In particular, we emphasize the interplay between price differentiation and delivery time differentiation strategies. Building on this, the study focuses on time-sensitive consumers as the research subject, aiming to examine the impact of behavior-based pricing and promised delivery time strategies adopted by firms, under the time-sensitive characteristics of consumers, on product prices, promised delivery times, firm profits, consumer surplus, and social welfare.

3. Model

The meanings of symbols and variables in this paper are shown in Table 1, where P , T are decision variables; i A , B , j 1 , 2 , t ; t represents the total profits of the two sales periods here.

3.1. Model Setup

Based on the above background, this paper constructs a two-period dynamic game model with the framework of the Hotelling model. We consider that there are two oligopolistic firms A and B in the market, located at the two ends of the linear city [0, 1]. The total number of consumers in the market is 1, uniformly distributed between 0 and 1. The base value of products purchased by consumers will be a base utility V , which is large enough to satisfy that the market is fully covered and that each customer buys the product in every sales period [3,7,29]. Consumers are all sensitive to delivery waiting time, and θ [ 0 , 1 ] represents the degree of consumers’ sensitivity to time. In this two-period dynamic game model, all consumers enter the market at the beginning of the first sales period and stay for two periods. The product is a daily non-durable good.
After entering the market in the first period, consumers do not exit the market in the second period and have different intrinsic preferences for the two firms, and his or her preferences remain unchanged over the two periods. This paper captures this intrinsic preference in terms of the consumer’s location on the interval from 0 to 1; consequently, when consumers purchase a product or service that does not align with their preferences, they generate a negative utility due to the mismatch. Therefore, when a consumer’s location is x , the consumer faces a utility loss of x if he or she chooses firm A. Similarly, the consumer faces a utility loss of ( 1 x ) if he or she chooses firm B [27,31].
Taking the second period as an example, the utility that a consumer can obtain by purchasing product A is V θ T A P A x ; the utility that can be obtained by purchasing product B is V θ T B P B ( 1 x ) . Herein, the decision variables P and T represent the product price and the promised delivery time, respectively. In addition, V P A x and V P B ( 1 x ) represent the utility obtained by consumers choosing firm A and firm B, respectively, in the first period. We focus on how firms make joint decisions on price and promised delivery time in the second period based on the data information stored in the first period, so we do not consider the impact of promised delivery time in the first period because firms do not have enough data information in the first period to support their differentiation strategies.
In this paper, the promised delivery time of a product is used to characterize the service cost of a firm; the shorter the promised delivery time, the greater the pressure on the firm’s go time and the higher the service cost paid. Conversely, the firm has less delivery time pressure and pays lower service costs. Differentiated logistics services in segmented markets require the firm to have a certain level of logistics service capability. We assume that the logistics service capacity of the firm is λ , and thus the cost paid by the firm can be expressed as ( 1 λ T ) 2 [3,46,47]. For ease of analysis, and to focus on the impact of differentiated promised delivery time strategies without loss of generality, we normalize λ to 1. We relax this assumption in Section 6.2.
As we have described, firms have two strategy choices in both pricing and delivery time: uniform pricing (UP) and behavior-based pricing (BBP); uniform promised delivery time (UT) and behavior-based promised delivery time (BBT). Based on the basic setup of the BBP model, the inclusion of the promised delivery time strategy in the second period requires the firms to make a joint decision on price and promised delivery time. Therefore, we consider the following three scenarios: UP and UT (UU); BBP and UT (DU); and BBP and BBT (DD). In this paper, we ignore situations where firms take UP and BBT (UD). Combined with the competitive environment of the actual market, there are two main reasons. First, referring to some previous classic literature [1,2,3,6,7], all of them point out that the BBP strategy is a dominant strategy compared with uniform pricing, which is the reason why this strategy is prevalent in the market. Second, from the perspective of firms’ cost inputs, the adoption of BBT results in higher operational costs compared to UT, and these increased logistics expenses must be compensated through well-designed pricing strategies.

3.2. Game Proceeds

Referring to previous studies [1,3,20,21,25], strategic consumers are forward-looking and pursue the maximum total utility across all periods, meaning that the first-period decision is influenced by the second-period decision. We consider the impact of the presence of myopic consumers on the extension. Consumer choice patterns in the market are shown in Figure 1. In the first period of the sales cycle, consumers located in ( 0 , x 1 ) choose firm A and consumers located in ( x 1 , 1 ) choose firm B. In the second period of the sales cycle, consumers located in ( 0 , x A ) still choose firm A, and consumers located in ( x B , 1 ) still choose firm B; however, consumers located in ( x A , x 1 ) switch to firm B, and consumers located in ( x 1 , x B ) switch to firm A.
The game sequence is organized as follows: in the first period, since there is no consumer purchase record information available for firms to distinguish consumers, each firm charges the same price to all consumers. Firms A and B simultaneously determine the first-period prices (denoted P A 1 and P B 1 ), and then consumers observe the prices to decide which firm to choose. Consumers’ purchase decisions in the first period reveal their intrinsic preferences. If firms store the purchase history data of consumers, they can use this data to differentiate between new and old consumers in the second period.
The second period consists of four stages. In the first stage, firms A and B simultaneously decide whether to adopt BBT. In the second stage, if a firm adopts the strategy, it sets the promised delivery period at the same time, where T A O and T B O represent the promised delivery times provided by firms A and B to old consumers, respectively, while T A N and T B N represent the promised delivery times to new consumers. If the firm does not adopt BBT, it offers uniform promised delivery times to all consumers in the second stage, denoted as T A and T B . In the third stage, if the firm adopts differential pricing, it sets the second-period prices at the same time, where P A O and P B O represent the prices provided by firms A and B to old consumers, respectively. P A N and P B N represent the prices provided by the two firms to new consumers, respectively. If the firm does not adopt BBP, it provides a uniform price to all consumers in the second stage, denoted as P A 2 and P B 2 . In the fourth stage, consumers observe the promised delivery time and prices offered to them by firms from their purchase records in the first period and decide whether to stay with the original firm or switch to another firm.
During this process, firms make promised delivery time decisions before pricing decisions, and the sequence of decisions is because prices tend to be more easily adjustable short-term decisions than promised delivery time [3].

4. Model Analysis

4.1. UU

Let us consider a basic scenario in which firms A and B adopt uniform pricing and a uniform promised delivery time. Firms sell their products normally. The decisions of the firms remain the same in each period. Thus, the two-period dynamic game model can be regarded as a repetition of the static game.
The second period: Firms A and B offer their products to consumers at prices P U U A 2 and T U U A , respectively, with promised delivery times P U U B 2 and T U U B , respectively. Consumers who buy from firm A obtain utility U A = V P U U A 2 θ T U U A x 2 ; consumers who buy from firm B obtain utility U B = V P U U B 2 θ T U U B ( 1 x 2 ) . Letting U A = U B , we obtain the position of the marginal consumer x 2 = P U U B 2 P U U A 2 2 + θ ( T U U B T U U A ) 2 + 1 2 . The position of x 2 represents the fact that the consumer’s choice of firm A and firm B is indistinguishable. The second-period profit functions for firms A and B are π U U A 2 = P U U A 2 x 2 ( 1 T U U A 2 ) 2 and π U U B 2 = P U U B 2 ( 1 x 2 ) ( 1 T U U B 2 ) 2 . By substituting x 2 into the profit functions and since 2 π U U A 2 2 P U U A 2 < 0 , 2 π U U B 2 2 P U U B 2 < 0 both hold, using first-order optimality conditions, we can obtain the equilibrium price P U U A 1 * = P U U B 1 * = 1 + ( T U U B 1 T U U A 1 ) θ 3 . Then, we can obtain the equilibrium promised delivery time T U U A 1 * = T U U B 1 * = 1 θ 6 .
The analysis process for the first period refers to that of the second period. All equilibrium results are presented in Lemma 1.
Lemma 1.
The optimal first-period profits  π U U A 1 *  and π U U B 1 *  , the optimal second-period profits π U U A 2 *  and π U U B 2 * , the optimal total profits π U U A t *  and π U U B t * , the optimal first-period prices P U U A 1 *  and P U U B 1 * , the optimal second-period prices P U U A 2 *  and P U U B 2 * , and the optimal promised delivery times T U U A *  and T U U B * for firms A and B obtained in this case are, respectively, as follows:
π U U A 1 * = π U U B 1 * = π U U A 2 * = π U U B 2 * = 1 2 θ 2 36 ,   π U U A t * = π U U B t * = 1 θ 2 18 ,
P U U A 1 * = P U U B 1 * = P U U A 2 * = P U U B 2 * = 1 ,   T U U A * = T U U B * = 1 θ 6 .

4.2. DU

In this case, firms A and B adopt differential pricing and uniform promised delivery time in the second period. P D U A N , P D U A O , P D U B N , and P D U B O denote the prices offered by firm A and firm B to new and old consumers, respectively. Previous studies have mostly focused on a single differentiation in terms of price; in contrast, this paper considers consumers’ sensitivity to service time by incorporating the factor of promised delivery time. That is, firm A and firm B simultaneously offer consumers in the second period promised delivery times of T D U A and T D U B , respectively. Considering the consumers’ forward-looking perspective, the analytical process in this section is different from that of the UU, which is analyzed in detail as follows.
The second period: Referring to previous studies on consumer utility, the second-period utility obtained by different consumer groups is as follows
U A A = V θ T D U A P D U A O x A U A B = V θ T D U B P D U B N ( 1 x A ) U B B = V θ T D U B P D U B O ( 1 x B ) U B A = V θ T D U A P D U A N x B ,
where U A A represents consumers who purchase from firm A in each period; U A B represents new consumers who purchase at firm B in the second period because they purchased at firm A in the first period; U B B represents consumers who purchase from firm B in each period; and U B A represents new consumers who purchase at firm A in the second period because they purchased at firm B in the first period. Letting U A A = U A B , we obtain the position of the marginal consumer x A = P D U B N P D U A O 2 + ( T D U B T D U A ) θ 2 + 1 2 . The position of x A represents the fact that the consumer’s choice of firm A and firm B is indistinguishable. Similarly, letting U B B = U B A , we obtain the position of the marginal consumer x B = P D U B O P D U A N 2 + ( T D U B T D U A ) θ 2 + 1 2 . The position of x B represents the fact that the consumer’s choice of firm A and firm B is indistinguishable.
The firms’ second-period profit functions are π D U A 2 = P D U A O x A + P D U A N ( x B x 1 ) ( 1 T D U A ) 2 and π D U B 2 = P D U B N ( x 1 x A ) + P D U B O ( 1 x B ) ( 1 T D U B ) 2 . Since 2 π D U A 2 2 P D U A N , 2 π D U A 2 2 P D U A O , 2 π D U B 2 2 P D U B N , 2 π D U B 2 2 P D U B O < 0 both hold, the second-period equilibrium prices P D U A N * = 3 4 x 1 3 + ( T D U B T D U A ) θ 3 , P D U A O * = 1 + 2 x 1 3 + ( T D U B T D U A ) θ 3 , P D U B N * = 1 + 4 x 1 3 + ( T D U A T D U B ) θ 3 , and P D U B O * = 3 2 x 1 3 + ( T D U A T D U B ) θ 3 are obtained by using the first-order optimal solution. Substituting them into the profit functions, and since 2 π D U A 2 2 T D U A , 2 π D U B 2 2 T D U B < 0 both hold, the optimal promised delivery times T D U A * = 6 θ 2 + θ 3 6 θ + 3 θ x 1 + 27 3 ( 2 θ 2 + 9 ) and T D U B * = 6 θ 2 + θ 3 3 θ 3 θ x 1 + 27 3 ( 2 θ 2 + 9 ) can be obtained.
The first period: In the initial stage, firms offer uniform prices to all consumers, which we denote by P D U A 1 and P D U B 1 .The marginal consumer located in x 1 is rational and he or she will consider the expected utility in the second period and make a trade-off between purchasing from firms A and B in the first period. As we described in Section 3.1, consumers are forward-looking, and after purchasing in the first period, consumers want a better product experience in the second period. Therefore, marginal consumers located near x 1 will switch brands in the second period. We can write
V P D U A 1 x 1 + V θ T D U B e * P D U B N e * ( 1 x 1 ) = V P D U B 1 ( 1 x 1 ) + V θ T D U A e * P D U A N e * x 1 ,
This equation represents the total utility obtained in both periods by a rational consumer who switches firms in the second period. For example, the left side of the equation represents the utility gained by the consumer who purchases product A in the first period and product B in the second period, where e * represents the rational expectation of consumer [3,21,31,48], which can be expressed in terms of the equilibrium result obtained in the second period, and x 1 = 9 P D U A 1 + 9 P D U B 1 + 2 θ 2 P D U A 1 2 θ 2 P D U B 1 3 θ 2 + 12 6 ( θ 2 + 4 ) can be obtained by substituting P D U A N * , P D U B N * , T D U A * , and T D U B * into this equation.
The total profits of firms A and B are π D U A t = π D U A 1 + π D U A 2 = P D U A 1 x 1 + π D U A 2 and π D U B t = π D U B 1 + π D U B 2 = P D U B 1 ( 1 x 1 ) + π D U B 2 , respectively. Using the first-order optimality condition, the first-period equilibrium price is solved to be P D U A 1 * = P D U B 1 * = 4 3 . By substituting the equilibrium price into the profit functions, the profits of firms in each period can be obtained, which are shown in Lemma 2.
Lemma 2.
In case DU, the optimal first-period profits  π D U A 1 *  and  π D U B 1 * , the optimal second-period profits  π D U A 2 *   and  π D U B 2 * , and the optimal total profits  π D U A t *   and  π D U B t *   for firms A and B obtained are  π D U A 1 * = π D U B 1 * = 2 3 ,  π D U A 2 * = π D U B 2 * = θ 2 + 10 36 ,  π D U A t * = π D U B t * = 34 θ 2 36 , respectively. The optimal first-period prices  P D U A 1 *   and  P D U B 1 * ; the optimal second-period prices  P D U A N * ,  P D U A O * ,  P D U B N * ,  P D U B O * ; and the optimal promised delivery times  T D U A *   and  T D U B * , are  P D U A 1 * = 4 3 ,  P D U B 1 * = 4 3 ,  P D U A N * = P D U B N * = 1 3 ,  P D U A O * = P D U B O * = 2 3 ,  T D U A * = T D U B * = 1 θ 6 , respectively.

4.3. DD

Similar to the analysis in Section 4.2, in this case, firms A and B adopt BBP in the second period, with firm A offering prices of P D D A N and P D D A O to new and old consumers, respectively. Firm B offers prices of P D D B N and P D D B O to new and old consumers, respectively. However, unlike Section 4.2, firms also adopt BBT in the second period. Firm A offers promised delivery times T D D A N and T D D A O to new and old consumers, respectively, while firm B offers promised delivery times T D D B N and T D D B O to new and old consumers, respectively.
The second period: Referring to previous studies on consumer utility, in the second period, the utilities obtained by different consumer groups are
U A A = V θ T D D A O P D D A O x A U A B = V θ T D D B N P D D B N ( 1 x A ) U B B = V θ T D D B O P D D B O ( 1 x B ) U B A = V θ T D D A N P D D A N x B ,
where U A A represents consumers who purchased from firm A in each period; U A B represents new consumers who purchased from firm B in the second period because they purchased from firm A in the first period; U B B represents consumers who purchased from firm B in each period; and U B A represents new consumers who purchased from firm A in the second period because they purchased from firm B in the first period. The positions of x A = P D D B N P D D A O 2 + ( T D D B N T D D A O ) θ 2 + 1 2 and x B = P D D B O P D D A N 2 + ( T D D B O T D D A N ) θ 2 + 1 2 represent the fact that the consumer’s choice of firm A and firm B is indistinguishable. The second-period profit functions are
π D D A 2 = P D D A O x A + P D D A N ( x B x 1 ) ( 1 T D D A N ) 2 ( 1 T D D A O ) 2 ,
π D D B 2 = P D D B N ( x 1 x A ) + P D D B O ( 1 x B ) ( 1 T D D B N ) 2 ( 1 P D D B O ) 2 ,
Since 2 π D D A 2 2 P D D A N , 2 π D D A 2 2 P D D A O , 2 π D D B 2 2 P D D B N , 2 π D D B 2 2 P D D B O < 0 both hold, the second-period prices are obtained by using the first-order optimality condition. Then, the optimal promised delivery times can be obtained. The results are as follows
P D D A N * = 3 4 x 1 3 + ( T D D B O T D D A N ) θ 3 P D D A O * = 1 + 2 x 1 3 + ( T D D B N T D D A O ) θ 3 P D D B N * = 1 + 4 x 1 3 + ( T D D A O T D D B N ) θ 6 P D D B O * = 1 2 x 1 3 + ( T D D A N T D D B O ) θ 6 ,   T D D A N * = 6 θ 2 θ 3 x 1 + θ 3 9 θ + 54 + 12 θ x 1 6 ( θ 2 + 9 ) T D D A O * = 6 θ 2 + θ 3 x 1 3 θ + 54 6 θ x 1 6 ( θ 2 + 9 ) T D D B N * = 6 θ 2 + θ 3 x 1 + 3 θ + 54 12 θ x 1 6 ( θ 2 + 9 ) T D D B O * = 6 θ 2 θ 3 x 1 + θ 3 9 θ + 54 + 6 θ x 1 6 ( θ 2 + 9 ) ,
The first period: According to the analysis in Section 4.2, the marginal consumer located in x 1 is rational, and he or she will consider the expected utility in the second period and make a trade-off between purchasing from firms A and B in the first period.
V P D D A 1 x 1 + V θ T D D B N e * P D D B N e * ( 1 x 1 ) = V P D D B 1 ( 1 x 1 ) + V θ T D D A N e * P D D A N e * x 1 ,
This equation represents the total utility obtained in both periods by a rational consumer who switches firms in the second period. For example, the left side of the equation represents the utility gained by the consumer who purchases product A in the first period and product B in the second period. Substituting P D U A N * , P D U B N * , T D U A N * , and T D U B N * into this equation, x 1 = ( 54 P D D B 1 54 P D D A 1 + 6 θ 2 P D D A 1 6 θ 2 P D D B 1 18 θ 2 + θ 4 + 72 ) 2 ( θ 4 18 θ 2 + 72 ) can be obtained.
The total profits of firms A and B are π D D A t = π D D A 1 + π D D A 2 = P D D A 1 x 1 + π D D A 2 and π D D B t = π D D B 1 + π D D B 2 = P D D B 1 ( 1 x 1 ) + π D D B 2 , respectively. Using the first-order optimality condition, the first period price is solved to be P D D A 1 * = P D D B 1 * = ( θ 4 18 θ 2 + 72 ) 6 ( θ 2 + 9 ) . By substituting them into the profit functions, the profits of firms in each period can be obtained, which are presented in Lemma 3.
Lemma 3.
In this case, the optimal first-period profits  π D D A 1 *  and  π D D B 1 * , optimal second-period profits  π D D A 2 *  and  π D D B 2 * , and optimal total profits  π D D A t *  and  π D D B t *  for firms A and B obtained are  π D D A 1 * = π D D B 1 * = θ 4 18 θ 2 + 52 12 θ 2 + 108 ,  π D D A 2 * = π D D B 2 * = θ 6 + 36 θ 4 414 θ 2 + 1620 72 ( θ 2 + 9 ) 2 , and  π D D A t * = π D D B t * = 7 θ 6 + 198 θ 4 1818 θ 2 + 5508 72 ( θ 2 + 9 ) 2 , respectively. The optimal first-period prices  P D D A 1 *  and  P D D B 1 * , optimal second-period prices  P D D A N * ,  P D D A O * ,  P D D B N * , and  P D D B O * , and optimal promised delivery times  T D D A N * ,  T D D A O * ,  T D D B N * , and  T D D B O *  are  P D D A 1 * = P D D B 1 * = θ 4 18 θ 2 + 72 6 ( θ 2 + 9 ) ,  P D D A N * = θ 2 + 6 2 θ 2 + 18 ,  P D D A O * = θ 2 + 12 2 θ 2 + 18 ,  P D D B N * = θ 2 + 6 2 θ 2 + 18 ,  P D D B O * = θ 2 + 12 2 θ 2 + 18 ,  T D D A N * = T D D B N * = θ 3 12 θ 2 6 θ + 108 12 θ 2 + 108 ,  T D D A O * = T D D B O * = θ 3 12 θ 2 12 θ + 108 12 θ 2 + 108 .

5. Equilibrium Results Analysis

This section first compares the firm’s optimal price and promised delivery time in both periods under the above three cases, then compares equilibrium profits, and finally analyzes changes in consumer surplus and social welfare. Referring to previous research [7,25], considering that firms A and B are symmetric in the duopoly market in this paper, we explain the equilibrium results from the perspective of firm A. In Section 6.1, we analyze the asymmetric case to enrich our study. The proofs are presented in the Appendix B.1.
Proposition 1.
The relationship between equilibrium prices in each case:
(1)
P D U A 1 * > P D D A 1 * > P U U A 1 * ,  P U U A 2 * > P D U A N * > P D D A N * ,  P U U A 2 * > P D D A O * > P D U A O * .
(2)
P D U A O * > P D U A N * ,  P D D A O * > P D D A N * .
Corollary 1.
Shown in Table 2.
Proposition 1 (1) reveals that in both DD and DU cases, firms offer their products to both new and old consumers for less than a uniform price in the second period. Furthermore, in order to maximize the total profit in the two periods, firms provide product prices in the first period that are lower than the uniform price under uniform pricing. This indicates that when firms adopt BBP, they increase the price of products in the first period and decrease the price in the second period, with different changes in prices between the first and second periods. Meanwhile, P D U A 1 * > P D D A 1 * indicates that the inclusion of the promised delivery time can appropriately curb first-period price increases and mitigate the intensified product price competition due to the adoption of BBP.
Proposition 1 (2) explicitly analyzes the optimal price that firms provide to both new and existing consumers when adopting BBP. The study finds that, regardless of whether the impact of promised delivery time is considered, under both the DD and DU cases, the prices provided by firms to new consumers are consistently lower than those provided to old consumers, which means that the BBP strategy is essentially a form of “price discrimination”. This conclusion is consistent with the findings of previous BBP studies. Table 2 shows the relationship between the optimal product pricing for firms in the first and second periods and θ : in the DD case, the price provided by firms to new consumers decreases as θ increases. However, P D U A 1 * , P D U A N * , and P D U A O * do not change with θ , and in the DD case, the price offered by firms to old consumers increases as θ increases.
Figure 2 and Figure 3 present more intuitively the impact of θ on the equilibrium price in different cases. It is easy to see from Figure 3 that when differential pricing exists, regardless of whether the promised delivery time is uniformly provided or not, the price difference provided by firms to new consumers in both DD and DU cases is not significant, nor is the price difference provided to old consumers. Moreover, unlike the monotonically decreasing change in first-period prices, when firms employ both BBP and BBT, the price offered by firms to old consumers increases slowly with θ . However, the opposite is true for the price offered to new consumers. The price provided to new consumers becomes increasingly lower, and the price provided to old consumers becomes increasingly higher, and this difference becomes more pronounced. This indicates that the adoption of BBT by firms exacerbates price differentials in BBP, and the nature that P D U A N * and P D U A O * do not change with θ also reveals this conclusion. We explain that when firms adopt BBP and UT, the prices provided to new and old consumers do not change with θ , and the addition of BBT causes these prices to change and leads to an increasing difference.
Proposition 2.
The relationship of promised delivery times in each case:  T D D A N * > T D D A O * > T D U A * = T U U A * .
Corollary 2.
T D U A * θ = T U U A * θ < 0 ,  T D D A N * θ < 0 ,  T D D A O * θ < 0 .
Proposition 2 reveals that regardless of whether BBP is adopted, for firms, adopting UT is a better choice; that is, T D U A * = T U U A * . Moreover, through comparative analysis, it can be found that there is an interesting phenomenon in the promised delivery times provided by firms to new and old consumers in each case. First, when firms adopt both BBP and BBT, firms provide a longer promised delivery time to new consumers and a shorter promised delivery time to old consumers. That is, the equilibrium results of the model show that the committed delivery period of old consumers should be smaller than that of new consumers, i.e., T D D A N * > T D D A O * . This conclusion is exactly the opposite of the analysis of Proposition 1 regarding the optimal price. In a dynamic competitive environment, firms implementing differentiation strategies should pursue a dynamic balance of intertemporal discrimination, that is, balancing the acquisition of new customers with the retention of old customers.
However, in reality, the individual needs of new and old consumers often have differentiation. New consumers lack brand loyalty and are more concerned about product prices. Long delivery times can be used as a hidden discount (e.g., sacrificing time in exchange for a first-order discount), which can lower the threshold for their initial purchase. At the same time, firms can attract new customers at a low cost by diluting the cost of delayed fulfillment. Old consumers have formed usage inertia or switching costs, and shortening their delivery times (such as express delivery for members) is essentially a service bundle lock-in, while the firm’s marginal logistics investment costs decrease with data accumulation (such as historical order optimization route planning). Therefore, considering consumers’ fairness perception, this strategy may avoid fairness issues arising from direct horizontal price comparisons between new and old groups, thereby achieving a balance in behavioral discrimination.
Second, firms offer longer promised delivery times to both new and existing consumers than they would in the case of uniform promised delivery times. This suggests that BBT allows firms to lengthen promised delivery times appropriately; that is, BBT keeps firms from unilaterally promising shorter and shorter promised delivery times to consumers. Finally, Figure 4 shows more intuitively that the promised delivery time decreases as θ increases, and as θ increases, the difference in promised delivery times between new and old consumers becomes larger and larger, and the “discrimination” becomes more and more pronounced.
The results of Propositions 1 and 2 imply that firm managers should adopt different strategies for new and old consumers on both the pricing and promised delivery time dimensions when facing time-sensitive consumers. Firms should provide lower prices and longer promised delivery times to new consumers, and higher prices and shorter promised delivery times to old consumers. Next, the relationships between firm profits in each period under the three different scenarios are given, and the results are as follows.
Proposition 3.
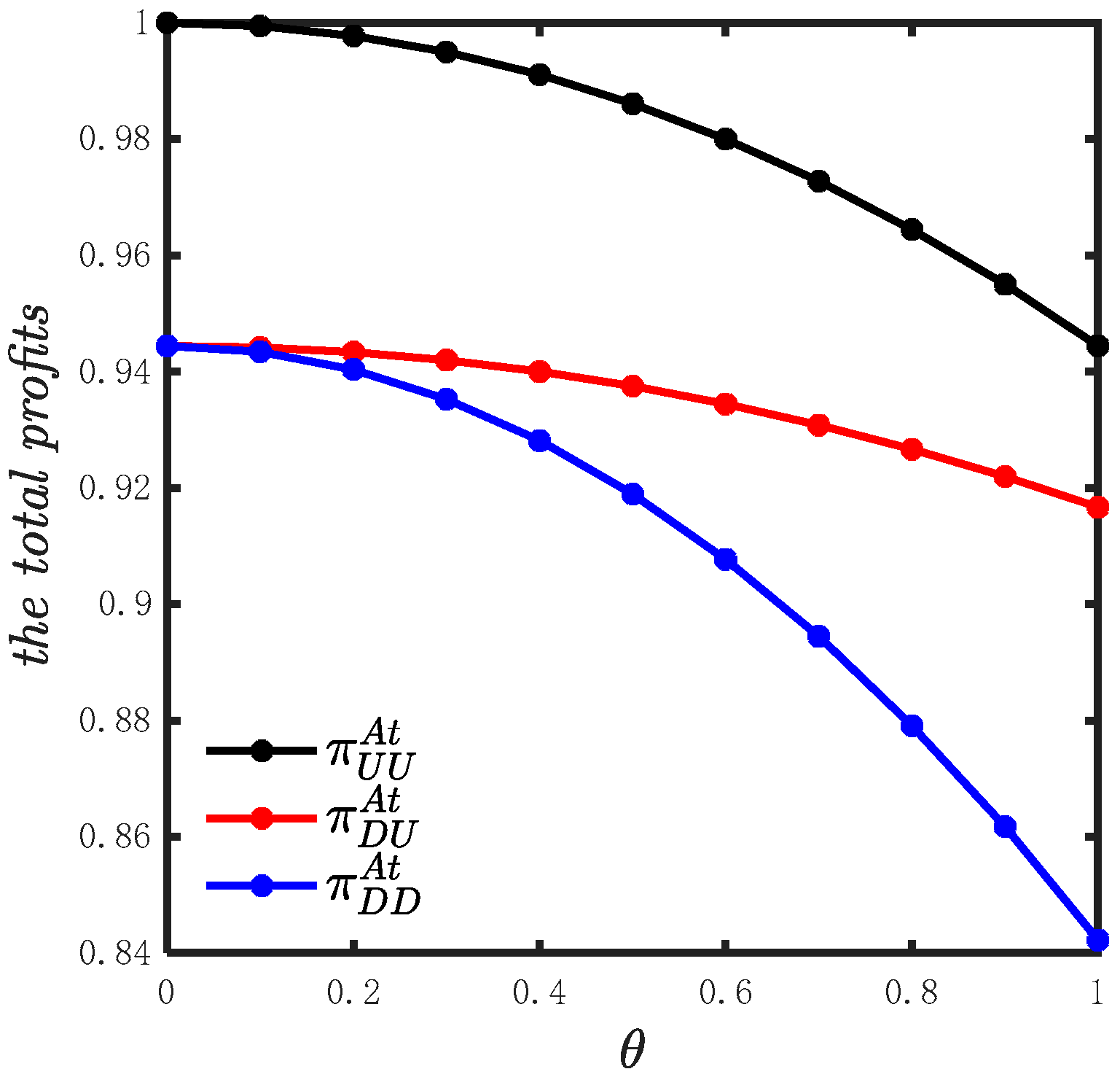
The relationship between firm profits in each case:  π D U A 1 * > π D D A 1 * > π U U A 1 * ,  π U U A 2 * > π D D A 2 * > π D U A 2 * ,  π U U A t * > π D U A t * > π D D A t * ;
Corollary 3.
Shown in Table 3.
Proposition 3 indicates that compared to case UU, the first-period sales profits of firms increase in both DU and DD; however, the second-period profits and total profits of firms decrease. This phenomenon suggests that the adoption of differentiation strategies by firms results in lower profits. In this paper, the reduction in profit mainly occurs in the second period, as the cost incurred by the firm in the two-period dynamic game model is generated by the decision made in the second period. In our model, joint decision-making on price and promised delivery time produces a synergy effect. Previous studies have found that BBP intensifies price competition in the first period, thereby reducing profits in the first period [2,3,24]. However, our findings differ from previous studies in that BBP increases firms’ profits in the first period. As shown in Figure 5, profits in the DU and DD scenarios are greater than those in the UU scenario. Our explanation is that previous studies have considered discrimination strategies based on a single price dimension, which causes firms to focus on acquiring new customers and engage in low-price competition. However, the addition of promised delivery times allows firms to balance the acquisition of new customers with the retention of old customers, achieving a dynamic discrimination equilibrium.
In order to further explore the unique relationship between BBP and BBT, we compare the profits of each period under DU and DD. We find that when a firm adopts BBP, the addition of BBT has different effects on the firm’s profits in each period. In the first period, compared with firms adopting BBP and UT, firms further adopting BBT will lead to a decrease in profits (i.e., π D U A 1 * > π D D A 1 * ). In the second period, firms adopting BBP and BBT will slightly alleviate the loss of profits caused by firms adopting differential pricing and uniform promised delivery times (i.e., π D D A 2 * > π D U A 2 * ). The decline in profits in the first period is understandable, as BBT’s entry further intensifies price competition in the first period, leading to profit losses. Interestingly, unlike the changes in the first period, profits increase in the second period. Considering market competition and consumer perceptions of fairness, this shows that discrimination strategies in different dimensions achieve synergy effects. As shown in Propositions 1 and 2, firms can use two-dimensional differentiation strategies to accurately design “price-time” combination bundles. In particular, in the second phase, designing a combination of “long delivery times and low-price discounts” for new customers not only attracts new customers, but also cushions logistics investment costs by extending delivery times. This may be the main reason for the profit growth in the second phase.
Finally, in terms of the difference in total profits earned by the firms in the three scenarios, the disparity between the total profits of the firms in the UU and DD scenarios increases as θ increases. In the UU and DU scenarios, the difference in total firm profits decreases as θ increases. This indicates that compared with the adoption of BBP and UT by firms, the further adoption of BBT by firms leads to a further reduction in profits, i.e., π D U A t * > π D D A t * . In addition, the extent of profit reduction has a tendency to increase as θ increases. Figure 5, Figure 6 and Figure 7 more intuitively show the impact of θ on firm profits in different cases.
Lemma 4.
The consumer surplus  C S U U ,  C S D U , and  C S D D   in the three cases are
C S U U = 2 V + θ 2 6 θ 3 5 2 ,   C S D U = 2 V + 3 θ 2 18 θ 44 18 ,
C S D D = 2 V + 2 θ 6 8 θ 5 57 θ 4 + 144 θ 3 + 528 θ 2 648 θ 1584 8 ( θ 2 + 9 ) 2 ,
The overall social welfare  S W U U , S W D U , and  S W D D , are as follows
S W U U = 2 V + 2 θ 2 18 θ 9 1 2 ,   S W D U = 2 V + θ 2 9 θ 5 9 ,
S W D D = 2 V + 4 θ 6 72 θ 5 117 θ 4 + 1296 θ 3 + 1116 θ 2 5832 θ 3240 72 ( θ 2 + 9 ) 2 ,
Proposition 4.
The relationship between consumer surplus in different cases:  C S D D > C S D U > C S U U .
Corollary 4.
C S U U θ < 0 ,  C S D U θ < 0 ,  C S D D θ < 0 .
According to the analysis of the profit results, compared with case UU, the total firm profits decrease in both BBP and UT, and BBP and BBT. Generally, when firms use information technology to analyze consumers’ purchase histories and make targeted differential treatments, it is disadvantageous to consumers, and consumer surplus is reduced. The results of this paper differ from subjective intuition, as Proposition 4 suggests that consumer surplus increases under DU and further increases under DD. It is easy to understand that a discriminatory strategy with a single price dimension in situation DU exacerbates competition between firms that engage in price competition, ultimately benefiting consumers. Our results corroborate this; that is, firms’ prices fall in the first period.
However, in case DD, the consumer surplus increases further, which is an exciting finding of the study. This suggests that the addition of BBT has a unique impact. Considering consumers’ perceived fairness in behavior [23,24], the differentiated promised delivery time strategy will compensate for the unfairness in pricing experienced by older consumers. Combining Proposition 2 with Proposition 3, in the second period, old consumers face higher prices and shorter promised delivery times, while new customers face lower prices and longer promised delivery times. In fact, the individual needs of both new and existing consumers often differ, and this differentiation strategy enables both groups to satisfy their needs and enjoy a better consumer experience. This explains the growth of consumer surplus; that is, the differentiation strategy constructs an equitable equilibrium in new customer acquisition and old customer retention. Thus, our results suggest that the joint strategy of BBP and BBT is a win–win mechanism for both new and existing consumers, and such results have not been seen before.
Corollary 4 and Figure 8 reveal changes in consumer surplus, which decreases with increasing θ in all three cases, and the differences in consumer surplus among the three cases become larger and larger as θ increases.
Proposition 5.
The relationship between social welfare in various cases: when  θ ( 0 , θ 1 ) ,  S W U U > S W D U > S W D D ; when  θ ( θ 1 , θ 2 ) ,  S W D U > S W U U > S W D D ; when  θ ( θ 2 , 1 ) ,  S W U U < S W D D < S W D U .
Corollary 5.
S W U U θ < 0 ,  S W D U θ < 0 ,  S W D D θ < 0 .
In Proposition 5, starting from the perspective of the welfare of the entire society and considering consumers’ sensitivity to time, social welfare may increase or decrease in both DU and DD compared to case UU. Proposition 5 indicates that social welfare will increase as long as θ satisfies certain conditions. We argue that this is because consumers prefer the original firm that they like better, and few consumers casually switch firms without a goal in mind. As long as consumers are not less time-sensitive, differentiation strategies can increase social welfare by discouraging such switching by consumers. In particular, in the analysis of consumer surplus, we find that the joint strategy of BBP and BBT is a win–win mechanism for new and old customers. Firms should utilize different dimensions of differentiation strategies to achieve a fair equilibrium in new consumer acquisition and old consumer retention. The time-sensitive group pays a premium in exchange for delivery time compression, and its price loss is offset by high time utility.
However, the price-sensitive group waits in exchange for a lower price, reducing its price expenditure. This double differentiation rule reduces the sense of exploitation and increases the acceptance of dynamic pricing by all types of groups, so that social welfare will be superior to single uniform pricing.
Corollary 5 shows that social welfare decreases with increasing θ in all three cases. In addition, Figure 9 intuitively shows that as θ increases, the social welfare in the uniform pricing and uniform promised delivery time case is increasingly different from that in the other two cases (DU and DD). To more intuitively show the changes in the equilibrium results of behavior-based pricing and promised delivery time strategies under various cases, we now set θ = 0.5 , V = 10 . The equilibrium results obtained in this paper are shown in Table 4. Table 4 allows us to understand the impact of BBP and BBT strategies more intuitively. For example, in case DD, we can find that new consumers have lower prices and longer promised delivery times, yet the opposite is true for old consumers. Moreover, the numerical results clearly show that both consumer surplus and social welfare are improved under case DU and case DD. These findings are consistent with the description in our proposition and test the robustness of the results.

6. Extensions

6.1. Asymmetric Strategy Selection

We consider two firms adopting the same pricing and promised delivery time strategies in all three cases of the main model, which can better analyze the unique impact of BBT. However, the game scenario where firms A and B simultaneously choose pricing strategies is quite common, so in this section we will further consider the impact of different strategy choices by the two firms in the market on competition and study a full-information dynamic game of pricing strategies of competing firms. For example, in the strategic game between a local firm (firm A) and a foreign firm (firm B), the local firm has the advantage of local information and a larger audience. It can integrate customer information and identify the customer types for the first time, thereby making pricing and delivery time strategies a priority. We consider that firm A has the first-mover advantage and will choose DD (BBP and BBT), and then three cases will occur in the market due to firm B’s strategic choice: DD (both firm A and firm B choose BBP and BBT), DD1 (firm A chooses BBP and BBT while firm B chooses UP and UT), and DD2 (firm A chooses BBP and BBT while firm B chooses BBP and UT).
The decision-making process is shown in Figure 10. Firm A, as the game leader, prioritizes the pricing strategy, and firm B, as the game follower, chooses the optimal response strategy. Therefore, the next section is devoted to investigating what the optimal response strategy of foreign firm B is when it knows explicitly that the strategic choice of local firm A is DD. There exists a subgame Nash equilibrium for this game. By analyzing the correlation results, we find that π D D 2 B   t * > max ( π D D B   t * , π D D 1 B   t * ) ; that is, when firm A takes both BBP and BBT, firm B will gain the most profit by choosing BBP and UT. Thus, we obtain Proposition 6.
Proposition 6.
In the full-information dynamic game, when firm A prioritizes BBP and BBT, the optimal response strategy of firm B is to choose BBP and UT.

6.2. Firm Logistics Service Cost

In this section, we relax our assumption about the firm delivery cost, which is in fact closely related to the firm’s logistics and transportation capability. Therefore, we consider the firm’s logistics service capacity as λ , and the larger λ is, the less cost firms have to pay to shorten the delivery time. According to the main model, the firm logistics service cost is ( 1 λ T ) 2 , and firm profits’ function changes in the second period. If we take DD as an example, firm profits’ function in the second period becomes
π T P A 2 = P D D A O x A + P D D A N ( x B x 1 ) ( 1 λ T D D A N ) 2 ( 1 λ T D D A O ) 2 ,
π D D B 2 = P D D B N ( x 1 x A ) + P D D B O ( 1 x B ) ( 1 λ T D D B N ) 2 ( 1 λ T D D B O ) 2 .
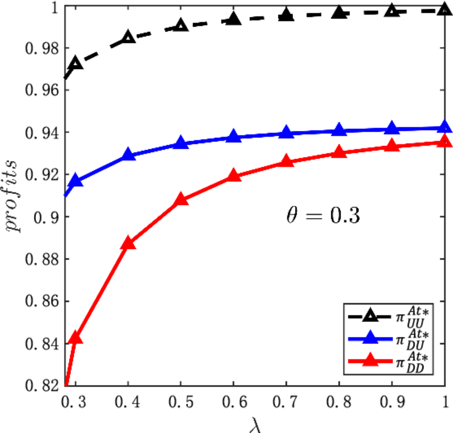
Referring to the analysis process in the main model, we find that π U U A t * > π D U A t * > π D D A t * , which is consistent with the conclusion of the main model (see Proposition 3), and it tests the robustness of our model. In addition, we find that firm profits increase with the increase in logistics capacity, which reflects the motivation of firms to enhance their own logistics capacity so that they can further shorten the promised delivery time and gain a competitive advantage in time, thus poaching competitors’ consumers and obtaining more profits and markets. Figure 11 and Figure 12 show the changes in profits in detail. The proof process is presented in the Appendix B.2.

6.3. Myopic Consumers

The main model considers strategic consumers who maximize the utility of both periods in their purchase decisions in the first period. We relax this assumption in this subsection and extend the problem to some myopic consumers who exist in the marketplace. Suppose the proportion of strategic consumers is β , and the proportion of myopic consumers is 1 β , where myopic consumers only consider maximizing utility in the current period of the purchase decision. As previously described, we obtain the optimal decisions of firms when myopic consumers exist. The impact of myopic consumers on firm profits is shown in Figure 13 and Figure 14, and our analysis finds π U U A t * > π D U A t * > π D D A t * , which is consistent with the conclusions of our main model.
Through our analysis, we also find that firm profits decrease as the proportion of myopic consumers increases. Our interpretation is that while firms raise their first-period prices, strategic consumers are less sensitive to the first-period price increase. This is because their rational expectations assume that they will receive lower prices as new consumers when they switch firms in the second period. This rational expectation reduces the price sensitivity of consumers in the first period, who are more concerned about the overall benefits, thus inducing firms to increase the first-period price. Thus, as the proportion of myopic consumers in the market gradually increases, firms are increasingly constrained in their ability to raise first-period prices. This leads to a drop in prices in the first period and subsequently reduces firm profits. Figure 13 and Figure 14 provide a better visualization of our insights. According to the assumptions made in this paper, a larger β indicates more strategic consumers, and a smaller β indicates fewer strategic consumers and more myopic consumers.

7. Implications

7.1. Theoretical Implications

Our work helps to fill the relevant research gaps and suggests conceptual directions for future research. Some noteworthy theoretical contributions are mainly provided as follows: (1) This paper expands the scope of research related to behavior-based pricing and provides valuable new insights into behavioral discrimination strategies in the context of the digital economy era from a theoretical perspective. Previous studies have focused on price differentiation strategies from channel selection [7], product quality [29,30], and product innovation [31]. However, our study suggests that a combined strategy of price and promised delivery time may result in a “win–win” mechanism, a result that has not been seen before. This provides an important starting point for future research. (2) This paper reveals the mutual influence mechanism of “price differentiation” and “logistics service differentiation”. The related literature tends to consider the effects of the two separately, ignoring the mutual influence mechanism between them. Our study fills this gap. Although some studies have addressed the joint decision-making problem of price and promised delivery time [9,38], the interactive effects of the two under behavioral discrimination strategies have not been fully elucidated. This study examines the time-sensitive characteristics of consumers, presents a new theoretical framework, and systematically explores the relationship between the two, thereby filling a gap in the relevant literature. (3) The applicability of this joint strategy of BBP and BBT is verified. Industry studies have shown that consumer preference for faster delivery time increases over time [49,50]. Therefore, this paper constructs a two-period dynamic game model considering time-sensitive consumers and tests the robustness of the model through a series of expansions to verify the applicability of the joint behavioral discrimination strategy of BBP and BBT. The results indicate that this is an effective management strategy for improving social welfare.

7.2. Practical Implications

In addition to theoretical contributions, the findings of this paper have important practical implications for firm marketing strategies, operational management, and sustainable development. In particular, when dealing with complex and heterogeneous consumer behaviors, a nuanced understanding of consumer behaviors is crucial for developing effective pricing and logistics service strategies. Specific management insights are as follows: (1) From the perspective of competition in promised delivery time, under the combined effect of BBP and BBT, firms can set longer promised delivery times for their consumers, which eases the competition in logistics services for firms from pursuing shorter delivery times. Our findings reveal the joint effect of BBP and BBT from different perspectives, enriching the understanding of discriminatory strategies under consumer heterogeneity and time preference. (2) From the perspective of consumers, previous studies have focused on differentiation in a single price dimension, which will inevitably cause consumers’ unfairness [23,24]. However, the research in this paper finds that a differentiated promised delivery time strategy will compensate for the old consumer’s sense of unfairness in terms of price. Additionally, it has been a critical issue for firms to strike a balance between acquiring new customers and retaining existing ones [27]. The results show that the inclusion of a promised delivery time strategy will construct a fair equilibrium between the two. This provides a feasible guide for managers to implement a joint price and delivery time strategy in a competitive market. (3) This study also provides meaningful implications for market regulation and public policy. Firms determine targeted product prices and services by analyzing historical consumer purchase data. This marketing model enhances the alignment between the firm’s services and consumer needs, improving consumers’ shopping experiences. However, this differential treatment is essentially a form of “discrimination.” In this study, this type of multi-segment and multi-faceted “discrimination” does not negatively affect consumer surplus but can reduce social welfare under specific conditions. Therefore, to avoid impairing social welfare, relevant market regulatory authorities should prevent firms from engaging in adverse “discriminatory” practices that harm social welfare. The findings of this study can serve as a theoretical basis for relevant departments to regulate firm behavior.

8. Conclusions and Future Research

8.1. Conclusions

This study develops a duopoly two-period dynamic game model within the Hotelling framework, considering two symmetrically competing oligopolistic firms, to investigate joint decision-making on pricing and promised delivery time aimed at maximizing profits. We derive the equilibrium outcomes under three scenarios, UU, DU, and DD, and based on this analysis, we examine the effects of behavior-based pricing and promised delivery time strategies on social welfare and consumer surplus. The main insights and managerial implications can be outlined as follows:
(1)
In this paper, we particularly emphasize the interconnection between price and committed delivery time joint strategies. While previous studies have found that BBP increases price competition, we find that the addition of BBT will mitigate price competition. That is, firms can set higher product prices and avoid the risk of falling into low-price competition. However, in terms of differences between customer groups, the inclusion of BBT might widen the price difference between new and old consumers and intensify the degree of discrimination in the price dimension.
(2)
If firms offer new consumers a longer promised delivery time than old consumers, they should set a lower price for new customers than for old ones. Conversely, for old consumers, if they are charged a higher price than new consumers, firms should provide them with a shorter promised delivery time than new consumers. In summary, firms “reward” new consumers and “penalize” old consumers in terms of pricing, while “rewarding” old consumers and “penalizing” new consumers in terms of promised delivery time.
(3)
Compared with uniform pricing by firms, the conclusion drawn from differentiation in the single pricing dimension aligns with prior BBP studies; specifically, BBP reduces firm profits while enhancing the consumer surplus. When firms opt to differentiate in both the price and time dimensions, firm profits decline further, and consumer surplus rises further. Our study also finds that BBP with BBT will increase the welfare of the whole society under certain conditions. Thus, from the perspective of firm profits, uniform pricing may make firms more profitable, but for consumers, BBP and BBT strategies will lead to a higher consumer surplus. Especially when consumers are more time sensitive, BBP and BBT will increase the welfare of the whole society. This will provide a theoretical reference for the relevant departments to regulate the behavior of firms.

8.2. Limitations and Future Research

Although this study reveals the mechanism by which behavioral pricing and promised delivery time strategies affect time-sensitive consumers, there are still several significant limitations.
First, this paper ignores the effects of inventory capacity, capacity bottlenecks, and other factors, which will lead to some discrepancies between promised delivery time and actual delivery time (e.g., warehouse bursts during product promotions will inevitably affect delivery time). This may weaken the realistic applicability of the model. In the future, stochastic optimization and constraint coupling mechanisms can be introduced to construct an inventory–capacity synergy model to quantify the capacity thresholds, so as to be more relevant to the actual situation. Second, the two-period dynamic model constructed in this paper is based on the assumptions of full market coverage and perfectly rational consumers. That is, our study is conducted in a fixed market, ignoring waiting time misjudgments due to a lack of user coverage and cognitive bias in remote areas. Future research may be able to extend the model to the competition scenario with partial coverage and asymmetric settings, or to examine the robustness of our results in a non-Hotelling competition model. This is the focus of our work thereafter.
Finally, our theoretical analysis predicts firms’ joint optimal decisions on price and logistics service strategies. However, considering the fairness concerns of consumers arising from behavioral discrimination strategies, how does the perception of fairness trigger boycotts when consumers are informed of others’ shorter delivery times? In the future, cross-industry empirical evidence can be conducted to isolate the causal effects of price and time discrimination by using e-commerce platform AB tests (e.g., “members’ priority delivery” gray-scale release). It would be worthwhile to empirically test these predictions using relevant data.

Author Contributions

T.J. and K.S.; methodology, T.J., K.S., S.W. and W.F.; validation, T.J., K.S., W.F., W.L. and S.W.; formal analysis, T.J., K.S. and W.F.; writing—original draft preparation, K.S.; writing—review and editing, T.J., K.S., W.F., W.L. and S.W. All authors have read and agreed to the published version of the manuscript.

Funding

This work was supported by the Shandong Provincial Natural Science Foundation (Grant No. ZR2024MG041), and the National Natural Science Foundation of China (Grant No. 12001329).

Institutional Review Board Statement

Not applicable.

Informed Consent Statement

Not applicable.

Data Availability Statement

Data are contained within the article.

Conflicts of Interest

The authors declare no conflicts of interest.

Appendix A

Proof of Proposition 1.
P U U A 1 * P D U A 1 * = 1 3 < 0 ,   P U U A 1 * P D D A 1 * = θ 4 12 θ 2 + 18 6 θ 2 54 < 0 ,   P D U A 1 * P D D A 1 * = θ 2 ( 10 θ 2 ) 6 ( θ 2 + 9 ) > 0 ,
P U U A 2 * P D U A N * = 2 3 > 0 ,   P U U A 2 * P D D A N * = θ 2 12 2 θ 2 18 > 0 ,   P D U A N * P D D A N * = θ 2 6 θ 2 54 > 0 ,
P U U A 2 * P D U A O * = 1 3 > 0 ,   P U U A 2 * P D D A O * = θ 2 6 2 θ 2 18 > 0 ,   P D U A O * P D D A O * = θ 2 6 θ 2 54 < 0 ,
P D U A O * P D U A N * = 1 3 > 0 ,   P D D A N * P D D A O * = 3 θ 2 9 < 0 .
Thus, we can obtain P D U A 1 * > P D D A 1 * > P U U A 1 * , P U U A 2 * > P D U A N * > P D D A N * , P U U A 2 * > P D D A O * > P D U A O * , P D U A O * > P D U A N * , and P D D A O * > P D D A N * . Then, taking the first-order derivative with respect to θ of the correlation result gives P D U A 1 * θ = 0 , P D D A 1 * θ = θ ( θ 4 18 θ 2 + 90 ) 3 ( θ 2 9 ) 2 < 0 , P D D A N * θ = 3 θ ( θ 2 9 ) 2 < 0 , and P D D A O * θ = 3 θ ( θ 2 9 ) 2 > 0 . □
Proof of Proposition 2.
T U U A * T D D A N * = θ 3 + 12 θ 12 θ 2 108 < 0 ,   T U U A * T D D A O * = θ 3 + 6 θ 12 θ 2 108 < 0 ,   T D D A N * T D D A O * = θ 2 θ 2 18 > 0 .
Thus, we can obtain T D D A N * > T D D A O * > T D U A * = T U U A * . Then, taking the first-order derivative with respect to θ of the correlation result gives T D U A * θ = T U U A * θ = 1 6 < 0 , T D D A N * θ = θ 4 + 21 θ 2 54 12 ( θ 2 9 ) 2 , H = θ 4 + 21 θ 2 54 < 0 , thus, T D D A N * θ < 0 , T D D A O * θ = θ 4 + 15 θ 2 108 12 ( θ 2 9 ) 2 < 0 . □
Proof of Proposition 3.
π U U A 1 * π D U A 1 * = 2 θ 4 + 9 θ 2 54 72 θ 2 + 324 < 0 ,   π U U A 1 * π D D A 1 * = 2 θ 4 + 27 θ 2 54 36 θ 2 + 324 < 0 ,
π D U A 1 * π D D A 1 * = 2 θ 6 27 θ 4 + 72 θ 2 12 ( θ 2 + 9 ) ( 2 θ 2 + 9 ) > 0 ,   π U U A 2 * π D U A 2 * = 2 9 > 0 ,
π U U A 2 * π D D A 2 * = θ 6 + 36 θ 4 396 θ 2 + 1296 72 ( θ 2 + 9 ) 2 > 0 ,   π D U A 2 * π D D A 2 * = θ 6 + 20 θ 4 108 θ 2 72 ( θ 2 + 9 ) 2 < 0 ,
π U U A t * π D U A t * = 2 θ 4 7 θ 2 + 18 72 θ 2 + 324 > 0 ,   π U U A t * π D D A t * = θ 6 18 θ 4 + 66 θ 2 + 108 24 ( θ 2 + 9 ) 2 > 0 ,
π D U A t * π D D A t * = 10 θ 8 + 221 θ 6 1494 θ 4 + 2916 θ 2 72 ( θ 2 + 9 ) 2 ( 2 θ 2 + 9 ) > 0 .
Thus, we can obtain π D U A 1 * > π D D A 1 * > π U U A 1 * , π U U A 2 * > π D D A 2 * > π D U A 2 * , π U U A t * > π D U A t * > π D D A t * . Then, taking the first-order derivative with respect to θ of the correlation result gives
π U U A 1 * θ = θ 18 < 0 , π D U A 1 * θ = 3 θ ( 2 θ 2 9 ) 2 < 0 ,   π D D A 1 * θ = θ 5 + 18 θ 3 90 θ 6 ( θ 2 9 ) 2 < 0 ,
π U U A 2 * θ = θ 18 < 0 ,   π D U A 2 * = θ 18 < 0 ,   π D D A 2 * = θ 7 + 27 θ 5 234 θ 3 + 486 θ 36 ( θ 2 9 ) 3 < 0 ,
π U U A t * = θ 9 < 0 ,   π D U A t * = 4 θ 5 + 36 θ 3 135 θ 18 ( 2 θ 2 9 ) 2 < 0 ,
π D D A t * = 7 θ 7 + 189 θ 5 1746 θ 3 + 5346 θ 36 ( θ 2 9 ) 3 < 0 .
Proof of Lemma 4.
Based on the above proposition and the optimal price and the optimal promised delivery time in the Lemma, the following equations can be used to find the consumer surplus and the social welfare under various scenarios.
C S U U = 4 0 x 1 ( V P U U A 1 x θ T U U A ) d x = 2 V + θ 2 6 θ 3 5 2 ,
C S D D = 0 x 1 ( V P D D A 1 x ) d x + x 1 1 ( V P D D B 1 1 + x ) d x + 0 x A ( V P D D A O θ T D D A O x ) d x + x B 1 ( V P D D B O θ T D D B O 1 + x ) d x + x 1 x B ( V P D D A N θ T D D A N x ) d x + x A x 1 ( V P D D B N θ T D D B N 1 + x ) d x = 2 V + 2 θ 6 8 θ 5 57 θ 4 + 144 θ 3 + 528 θ 2 648 θ 1584 8 ( θ 2 9 ) 2 ,
S W U U = C S U U + π U U A t * + π U U B t * = 2 V + 4 θ 2 36 θ 9 18 ,
S W D U = C S D U + π D U A t * + π D U B t * = 2 V + θ 2 9 θ 5 9 ,
S W D D = C S D D + π D D A t * + π D D B t * = 2 V + 4 θ 6 72 θ 5 117 θ 4 + 1296 θ 3 + 1116 θ 2 5832 θ 3240 72 ( θ 2 9 ) 2 .
Proof of Proposition 4.
C S U U C S D U = 3 θ 2 18 θ 1 18 < 0 ,   C S D U C S D D = 6 θ 6 + 121 θ 4 612 θ 2 72 ( θ 2 9 ) 2 < 0 ,
C S U U C S D D = 2 θ 6 24 θ 5 33 θ 4 + 432 θ 3 + 144 θ 2 1944 θ 108 24 ( θ 2 9 ) 2 < 0 .
Thus, we can obtain C S D D > C S D U > C S U U . Then, taking the first-order derivative with respect to θ of the correlation result gives C S U U θ < 0 , C S D U θ < 0 , C S D D θ < 0 . □
Proof of Proposition 5.
S W U U S W D U = 2 θ 2 18 θ + 1 18 ,   F 1 = 2 θ 2 18 θ + 1 18 ,   when   F 1 > 0 ,   ( 0 < θ < 9 79 2 ) .
When   F 1 < 0 ,   ( 9 79 2 < θ < 1 ) ,   9 79 2 = θ 1 .
S W U U S W D D = 4 θ 6 24 θ 5 69 θ 4 + 432 θ 3 + 276 θ 2 1944 θ + 108 24 ( θ 2 9 ) 2 ,
F 2 = 4 θ 6 24 θ 5 69 θ 4 + 432 θ 3 + 276 θ 2 1944 θ + 108 24 ( θ 2 9 ) 2 ,   θ 2 0.0560 .
When F 2 > 0 , 0 < θ < θ 2 . When F 2 < 0 , θ 2 < θ < 1 . When θ ( 0 , 1 ) , S W D U S W D D = 4 θ 6 67 θ 4 + 252 θ 2 72 ( θ 2 9 ) 2 > 0 . S W D U is always greater than S W D D .
In summary, if θ 0 , θ 1 , then S W U U > max S W D U , S W D D , if θ ( θ 2 , 1 ) , S W U U < min S W D U , S W D D . Thus, we can obtain C S D D > C S D U > C S U U . Then, taking the first-order derivative with respect to θ of the correlation result gives S W U U θ < 0 , S W D U θ < 0 , S W D D θ < 0 . □

Appendix B. Proof of Extension

Appendix B.1. Asymmetric Strategy Options

The analytical solution process is similar to that of the main model DD, so we will show the detailed solution process in case DD2 as an example. In this scenario, firms A and B adopt BBP in the second period, and the prices offered by firm A to new and existing consumers in the second period are P D D 2 A N and P D D 2 A O , respectively. P D D 2 B N and P D D 2 B O are the prices offered by firm B to new and old consumers. However, unlike Section 4.2, firm A takes BBT in the second period and firm B takes UT. Firm A offers promised delivery times of T D D 2 A N and T D D 2 A O to new and old consumers, respectively, and firm B offers a promised delivery time of T D D 2 B to all consumers. The solution process for DD2 is as follows.
The second period: With reference to the analysis of the main model on utility, in the second period, the different groups of consumers obtain utilities as
U A A = V θ T D D 2 A O P D D 2 A O x A U A B = V θ T D D 2 B P D D 2 B N ( 1 x A ) U B B = V θ T D D 2 B P D D 2 B O ( 1 x B ) U B A = V θ T D D 2 A N P D D 2 A N x B ,
With the above functions, we can obtain x A = P D D 2 B N P D D 2 A O 2 + ( T D D 2 B T D D 2 A O ) θ 2 + 1 2 and x B = P D D 2 B O P D D 2 A N 2 + ( T D D 2 B T D D 2 A N ) θ 2 + 1 2 . The second-period profit functions are
π D D 2 A 2 = P D D 2 A O x A + P D D 2 A N ( x B x 1 ) ( 1 T D D 2 A N ) 2 ( 1 T D D 2 A O ) 2
π D D 2 B 2 = P D D 2 B N ( x 1 x A ) + P D D 2 B O ( 1 x B ) ( 1 T D D 2 B ) 2 ,
Using the first-order optimality conditions, the second-period equilibrium prices are solved. Bringing them into the profit function and using the first-order optimality conditions, the optimal promised delivery time can be obtained.
The first period: Referring to the analysis in Section 4.3, the marginal consumer located in it is rational, and he or she will consider the expected utility in the second period and make a trade-off between purchasing from firms A and B within the first period. We have
V P D D 2 A 1 x 1 + V θ T D D 2 B e * P D D 2 B N e * ( 1 x 1 ) = V P D D 2 B 1 ( 1 x 1 ) + V θ T D D 2 A N e * P D D 2 A N e * x 1
The left side of the equation represents the utility gained by a consumer who purchases at firm A in the first period and at firm B in the second period; the right side represents the utility gained by a consumer who purchases at firm B in the first period and at firm A in the second period. Substituting P D D 2 A N * , P D D 2 B N * , T D D 2 A N * , and T D D 2 B * into this equation yields x 1 = ( θ 2 6 ) ( 54 P D D 2 A 1 54 P D D 2 B 1 3 θ 2 P D D 2 A 1 + 3 θ 2 P D D 2 B 1 + 7 θ 2 72 ) 6 ( 3 θ 4 44 θ 2 + 144 ) . Total firm profits are π D D 2 A t = P D D 2 A 1 x 1 + π D D 2 A 2 * and π D D 2 B t = P D D 2 B 1 ( 1 x 1 ) + π D D 2 B 2 * . Using the first-order optimality conditions, one can find the first-period equilibrium prices P D D 2 A 1 * and P D D 2 B 1 * .
The equilibrium results for DD are shown in Lemma 3 of the main model, and we summarize all the equilibrium results for DD1 and DD2 in the following table. n stands for the new consumers, and o stands for the old consumers.
  • DD1
Firm AFirm B
Second-period priceN: ( 18 θ 8 371 θ 6 + 2684 θ 4 7736 θ 2 + 6624 ) 3 ( θ 2 8 ) ( 9 θ 6 145 θ 4 + 734 θ 2 1104 )
O: ( 18 θ 8 455 θ 6 + 4100 θ 4 15416 θ 2 + 19872 ) 3 ( θ 2 8 ) ( 9 θ 6 145 θ 4 + 734 θ 2 1104 )
9 θ 6 166 θ 4 + 962 θ 2 1656 27 θ 6 435 θ 4 + 2202 θ 2 3312
Promised delivery timeN: H 1 9 ( θ 2 8 ) ( 9 θ 6 145 θ 4 + 734 θ 2 1104 )
O: H 2 3 ( θ 2 8 ) ( 9 θ 6 145 θ 4 + 734 θ 2 1104 )
9 θ 7 + 81 θ 6 + 166 θ 5 1305 θ 4 962 θ 3 + 6606 θ 2 + 1656 θ 9936 81 θ 6 1305 θ 4 + 6606 θ 2 9936
Total firm profit H 3 162 ( θ 2 8 ) ( 9 θ 6 145 θ 4 + 734 θ 2 1104 ) 2 H 4 162 ( θ 2 8 ) ( 9 θ 6 145 θ 4 + 734 θ 2 1104 ) 2
H 1 = 9 θ 9 + 81 θ 8 + 175 θ 7 1953 θ 6 1165 θ 5 + 17046 θ 4 + 2908 θ 3 62784 θ 2 1656 θ + 79488
H 2 = 9 θ 9 + 81 θ 8 + 238 θ 7 1953 θ 6 2227 θ 5 + 17046 θ 4 + 8668 θ 3 62784 θ 2 11592 θ + 79488
H 3 = 324 θ 16 + 22833 θ 14 604291 θ 12 + 8354808 θ 10 67653252 θ 8 + 332117696 θ 6 969427776 θ 4 + 1540000512 θ 2 1020148992
H 4 = 162 θ 18 + 20691 θ 16 730379 θ 14 + 12722940 θ 12 129812472 θ 10 + 827614792 θ 8 3338760192 θ 6 + 8264394432 θ 4 11414794752 θ 2 + 6713238528
  • DD2
Firm AFirm B
Second-period priceN: 2 ( 3 θ 6 92 θ 4 + 612 θ 2 864 ) 3 ( 3 θ 6 104 θ 4 + 852 θ 2 1728 )
O: 2 ( 15 θ 8 649 θ 6 + 8244 θ 4 39420 θ 2 + 62208 ) 3 ( 5 θ 2 36 , 3 θ 6 104 θ 4 + 852 θ 2 1728 )
N: ( 9 θ 8 328 θ 6 + 4716 θ 4 29376 θ 2 + 62208 ) 3 ( 5 θ 2 36 , 3 θ 6 104 θ 4 + 852 θ 2 1728 )
O: ( 21 θ 8 1006 θ 6 + 14076 θ 4 74952 θ 2 + 124416 ) 3 ( 5 θ 2 36 ) ( 3 θ 6 104 θ 4 + 852 θ 2 1728 )
Promised delivery timeN: L 5 9 ( 3 θ 6 104 θ 4 + 852 θ 2 1728 )
O: L 1 9 ( 5 θ 2 36 ) ( 3 θ 6 104 θ 4 + 852 θ 2 1728 )
L 2 9 ( 5 θ 2 36 ) ( 3 θ 6 104 θ 4 + 852 θ 2 1728 )
Total firm profit ( 6 θ 2 ) L 3 162 ( θ 2 18 ) ( 5 θ 2 36 ) 2 ( 3 θ 6 104 θ 4 + 852 θ 2 1728 ) 2 L 4 162 ( 5 θ 2 36 ) 2 ( θ 4 24 θ 2 + 108 ) ( 3 θ 6 104 θ 4 + 852 θ 2 1728 ) 2
L 1 = 15 θ 9 + 135 θ 8 + 649 θ 7 5652 θ 6 8244 θ 5 + 72036 θ 4 + 39420 θ 3 353808 θ 2 62208 θ + 559872
L 2 = 15 θ 9 + 135 θ 8 + 667 θ 7 5652 θ 6 9396 θ 5 + 72036 θ 4 + 52164 θ 3 353808 θ 2 93312 θ + 559872
L 3 = 900 θ 18 143427 θ 16 + 8410462 θ 14 251473500 θ 12 + 4324950288 θ 10 44989397136 θ 8 + 285441011424 θ 6 1069605082944 θ 4 + 2151386542080 θ 2 1776254386176
L 4 = 450 θ 22 + 117789 θ 20 9034730 θ 18 + 341591952 θ 16 7581374856 θ 14 + 107150415840 θ 12 1002322581984 θ 10 + 6274153499904 θ 8 25921076188032 θ 6 + 67545147739392 θ 4 100071037550592 θ 2 + 63945157902336
L 5 = 3 θ 7 + 27 θ 6 + 92 θ 5 936 θ 4 612 θ 3 + 7668 θ 2 + 864 θ 15552
When firm A chooses BBP and BBT, we compare the profits of firm B when it chooses a different strategy.
π D D 2 B t * π D D 21 B t * = U 1 6 ( θ 2 8 ) ( θ 2 18 ) ( 5 θ 2 36 ) 2 ( 9 θ 6 145 θ 4 + 734 θ 2 1104 ) 2 ( 3 θ 6 104 θ 4 + 852 θ 2 1728 ) 2 ,
U 1 = 97902 θ 32 12178995 θ 30 + 683522567 θ 28 23089916464 θ 26 + 528044925836 θ 24 8703901120392 θ 22 + 107305389625264 θ 20 1011618404094816 θ 18 + 7381460315231808 θ 16 41859334091576448 θ 14 + 183911427100048896 θ 12 619255651036985856 θ 10 + 1565490162131841024 θ 8 2869788483903651840 θ 6 + 3594039039479513088 θ 4 2744763568342695936 θ 2 + 962189895973994496 ,
U 1 > 0 ,   thus ,   we   have   π D D 2 B t * > π D D 21 B t * .
π D D 2 B t * π D D B t * = θ 2 U 2 648 ( θ 2 9 ) 2 ( 5 θ 2 36 ) 2 ( θ 4 24 θ 2 + 108 ) ( 3 θ 6 104 θ 4 + 852 θ 2 1728 ) 2 ,
U 2 = 12375 θ 24 1424514 θ 22 + 72102334 θ 20 2127672024 θ 18 + 40875108048 θ 16 539487655344 θ 14 + 5018869994112 θ 12 33138619466688 θ 10 + 153833308462080 θ 8 487985123282688 θ 6 + 999142275930624 θ 4 1178004399012864 θ 2 + 600896410288128
U 2 > 0 ; thus, we can obtain π D D 2 B t * > π D D B t * . In summary, π D D 2 B t * > max ( π D D B t * , π D D 1 B t * ) . That is, firm B will gain the most profit by choosing BBP and UT. The following figure shows our results more visually.
Figure A1. Profits of firm B under different strategies.
Figure A1. Profits of firm B under different strategies.
Jtaer 20 00227 g0a1

Appendix B.2. Costs of Logistics Services

We have worked on the impact of differentiated promised delivery time strategies in our main model by normalizing the firm’s logistics service capability, so in this section we relax this assumption in order to study the impact of the firm’s logistics service capability and to test the robustness of our model and conclusions. To ensure that the firm is profitable, we focus on the parameter region when profits are non-negative, i.e., the parameter region where 5508 λ 6 1818 λ 4 θ 2 + 198 λ 2 θ 4 7 θ 6 > 0 exists, λ > λ ¯ 0.28 . This condition suggests that the firm’s logistics capability cannot be poor enough. Based on the above description, the input costs of the firm’s logistics service will be a. The firms’ profit functions change in the second period, and the profit functions in the three scenarios are
U U : π U U A 2 = P U U A 2 x 2 ( 1 λ T U U A ) 2 π U U B 2 = P U U B 2 ( 1 x 2 ) ( 1 λ T U U B ) 2 ,
D U : π D U A 2 = P D U A O x A + P D U A N ( x B x 1 ) ( 1 λ T D U A ) 2 π D U B 2 = P D U B N ( x 1 x A ) + P D U B O ( 1 x B ) ( 1 λ T D U B ) 2 ,
D D : π D D A 2 = P D D A O x A + P D D A N ( x B x 1 ) ( 1 λ T D D A N ) 2 ( 1 λ T D D A O ) 2 π D D B 2 = P D D B N ( x 1 x A ) + P D D B O ( 1 x B ) ( 1 λ T D D B N ) 2 ( 1 λ T D D B O ) 2 .
The rest of the analytical process refers to the main model, so we can obtain the equilibrium profit for each scenario. It is easy to prove that π U U A t * > π D U A t * > π D D A t * .
π U U A t * = π U U B t * = 36 λ 2 θ 2 36 θ 2 ; π D U A t * = π D U B t * = 34 λ 2 θ 2 36 θ 2 ,
π D D A t * = π D D B t * = 5508 λ 6 1818 λ 4 θ 2 + 198 λ 2 θ 4 7 θ 6 72 λ 2 ( 9 λ 2 θ 2 ) 2 .

Appendix B.3. Myopic Consumers

In this section, we allow for the presence of myopic consumers in the market to segment consumers further, assuming that the proportion of strategic consumers is β , and that the proportion of myopic consumers is 1 β . Myopic consumers will only consider the utility gained in the first period and do not care about the utility in the second period, while strategic consumers will consider the magnitude of the total utility gained in both periods together. Therefore, the equilibrium solution will be changed in our model. Next, we take case DD as an example.
The second period: Due to the presence of myopic consumers in the market, the firm’s profit function will change in the second period, and the profit functions are
π D D A 2 = P D D A O x A + P D D A N [ β ( x B x n ¯ ) + ( 1 β ) ( x B x m ¯ ) ] ( 1 T D D A N ) 2 ( 1 T D D A O ) 2
π D D B 2 = P D D B O ( 1 x B ) + P D D B N [ β ( x n ¯ x A ) + ( 1 β ) ( x m ¯ x A ) ] ( 1 T D D B N ) 2 ( 1 T D D B O ) 2 .
where x m ¯ represents the marginal position of myopic consumers and x n ¯ represents the marginal position of strategic consumers. Since myopic consumers only consider the period in which they are maximizing their utility, it follows that x m ¯ satisfies V P D D A 1 x m ¯ = V P D D B 1 ( 1 x m ¯ ) , and we have x m ¯ = P D D B 1 P D D A 1 2 + 1 2 . However, the strategic consumer will combine the two periods to obtain total utility, x n ¯ satisfying
V P D D 2 A 1 x n ¯ + V θ T D D B e * P D D B N e * ( 1 x n ¯ ) = V P D D B 1 ( 1 x n ¯ ) + V θ T D D A N e * P D D A N e * x n ¯
where, as in the main model, the superscript e * represents the rational expectation of the strategic consumer for the second period, and bringing in the optimal price yields
x 1 = ( 54 P D D B 1 54 P D D A 1 + 6 θ 2 P D D A 1 6 θ 2 P D D B 1 18 θ 2 + θ 4 + 72 ) 2 ( θ 4 18 θ 2 + 72 ) .
The first period: Similar to the main model analysis, firm A and firm B will aim to maximize their total profit over the two periods, and the total profits are π D D A t = P D D A 1 [ β x n ¯ + ( 1 β ) x m ¯ ] + π D D A 2 * and π D D B t = P D D B 1 [ β ( 1 x n ¯ ) + ( 1 β ) ( 1 x m ¯ ) ] + π D D B 2 * . The optimal solution can be obtained using the first-order condition.
Since UU is a replication of a two-period static game and is not affected by the type of consumer, we focus on analyzing the equilibrium changes in DD and DU. We pay special attention in this section to the impact on firm profits in the presence of myopic consumers, and the equilibrium profits of DD and DU are as follows.
π D D A t * = π D D B t * = ( 46656 43416 θ 2 + 11772 θ 4 1350 θ 6 + 66 θ 8 θ 10 ) β + 174636 θ 2 33372 θ 4 + 2916 θ 6 108 θ 8 + θ 10 344088 72 ( θ 2 + 9 ) 2 ( 18 β 12 θ 2 β + θ 4 β + 18 θ 2 θ 4 72 ) ,
π D U A t * = π D U B t * = ( 48 19 θ 2 + θ 4 ) β + 96 θ 2 3 θ 4 354 36 ( 3 β θ 2 β + 3 θ 2 12 )

References

  1. Fudenberg, D.; Villas-Boas, J.M. Behavior-based price discrimination and consumer recognition. In Handbook on Economics and Information Systems; Elsevier: Amsterdam, The Netherlands, 2006; Volume 1, pp. 377–436. [Google Scholar]
  2. Rhee, K.E.; Thomadsen, R. Behavior-based pricing in vertically differentiated industries. Manag. Sci. 2017, 63, 2729–2740. [Google Scholar] [CrossRef]
  3. Li, K.J. Behavior-based quality discrimination. Manuf. Serv. Oper. Manag. 2020, 23, 425–436. [Google Scholar] [CrossRef]
  4. Acquisti, A.; Varian, H.R. Conditioning prices on purchase history. Mark. Sci. 2005, 24, 367–381. [Google Scholar] [CrossRef]
  5. Amaldoss, W.; He, C. The charm of behavior-based pricing: When consumers’ taste is diverse and the consideration set is limited. J. Mark. Res. 2019, 56, 767–790. [Google Scholar] [CrossRef]
  6. Chen, Y.; Li, J.; Schwartz, M. Competitive differential pricing. RAND J. Econ. 2021, 52, 100–124. [Google Scholar] [CrossRef]
  7. Li, K.J. Behavior-based pricing in marketing channels. Mark. Sci. 2018, 37, 310–326. [Google Scholar] [CrossRef]
  8. Shen, M.; Tang, C.S.; Wu, D.; Yuan, R.; Zhou, W. JD.com: Transaction-level data for the 2020 MSOM data driven research challenge. Manuf. Serv. Oper. Manag. 2024, 26, 2–10. [Google Scholar] [CrossRef]
  9. Niu, B.; Liu, J.; Zhang, J.; Chen, K. Promised-delivery-time-driven reselling facing global platform’s private label competition: Game analysis and data validation. Omega 2024, 123, 102990. [Google Scholar] [CrossRef]
  10. Marino, G.; Zotteri, G.; Montagna, F. Consumer sensitivity to delivery lead time: A furniture retail case. Int. J. Phys. Distrib. Logist. Manag. 2018, 48, 610–629. [Google Scholar] [CrossRef]
  11. Baldauf, C.; Eng-Larsson, F.; Isaksson, O. Where to cut the long tail? the value of carrying inventory in online retail. Manag. Sci. 2024, 70, 1855–1874. [Google Scholar] [CrossRef]
  12. Cui, R.; Lu, Z.; Sun, T.; Golden, J.M. Sooner or later? Promising delivery speed in online retail. Manuf. Serv. Oper. Manag. 2024, 26, 233–251. [Google Scholar] [CrossRef]
  13. Fisher, M.L.; Gallino, S.; Xu, J.J. The value of rapid delivery in omnichannel retailing. J. Mark. Res. 2019, 56, 732–748. [Google Scholar] [CrossRef]
  14. Zhang, F.; Song, G. Can delivery speed affect sale in ecommerce: Evidence from household appliance. In Proceedings of the 2016 International Conference on Logistics, Informatics and Service Sciences (LISS), Sydney, Australia, 24–27 July 2016; pp. 1–5. [Google Scholar]
  15. Vakulenko, Y.; Arsenovic, J.; Hellström, D.; Shams, P. Does delivery service differentiation matter? Comparing rural to urban e-consumer satisfaction and retention. J. Bus. Res. 2022, 142, 476–484. [Google Scholar] [CrossRef]
  16. Abdellaoui, M.; Kemel, E. Eliciting prospect theory when consequences are measured in time units: “Time is not money”. Manag. Sci. 2014, 60, 1844–1859. [Google Scholar] [CrossRef]
  17. Allon, G.; Federgruen, A. Competition in service industries. Oper. Res. 2007, 55, 37–55. [Google Scholar] [CrossRef]
  18. Leng, M.; Becerril-Arreola, R.; Parlar, M.; Ferguson, M. Disclosing Delivery Performance Information When Consumers Are Sensitive to Promised Delivery Time, Delivery Reliability, and Price. Manuf. Serv. Oper. Manag. 2024, 26, 1918–1924. [Google Scholar] [CrossRef]
  19. Zhao, W.; Yan, X.; Yu, Y. Product price and delivery-time commitment decisions with reference effects. Transp. Res. Part E Logist. Transp. Rev. 2025, 197, 104093. [Google Scholar] [CrossRef]
  20. Villas-Boas, J.M. Price cycles in markets with customer recognition. RAND J. Econ. 2004, 35, 486–501. [Google Scholar] [CrossRef]
  21. Tirole, F.J. Customer poaching and brand switching. RAND J. Econ. 2000, 31, 634–657. [Google Scholar] [CrossRef]
  22. Esteves, R.B.; Reggiani, C. Elasticity of demand and behavior-based price discrimination. Int. J. Ind. Organ. 2014, 32, 46–56. [Google Scholar] [CrossRef]
  23. Li, K.J.; Jain, S. Behavior-based pricing: An analysis of the impact of peer-induced fairness. Manag. Sci. 2016, 62, 2705–2721. [Google Scholar] [CrossRef]
  24. Jiang, Y.; Ji, X.; Wu, J.; Lu, W. Behavior-based pricing and consumer fairness concerns with green product design. Ann. Oper. Res. 2023, 2, 1–27. [Google Scholar] [CrossRef]
  25. Li, K.J.; Zhang, J. How does customer recognition affect service provision? Int. J. Res. Mark. 2021, 38, 900–914. [Google Scholar] [CrossRef]
  26. Subramanian, U.; Raju, J.S.; Zhang, Z.J. The strategic value of high-cost consumers. Manag. Sci. 2014, 60, 494–507. [Google Scholar] [CrossRef]
  27. Zhang, J.; Li, K.J. Retention or Acquisition? Behavior-Based Quality Disclosure. Manag. Sci. 2025. [Google Scholar] [CrossRef]
  28. Ma, P.; Lu, Y.; Wang, H.; Wen, D. Retailers’ information disclosure strategies with behavior-based pricing in competitive supply chains. Manag. Decis. Econ. 2023, 44, 2973–2997. [Google Scholar] [CrossRef]
  29. Li, T.; Li, F.; Teng, W.; Cai, G.; Zhu, X. Pricing experience goods: Distinguishing product quality through behavior-based pricing. J. Oper. Res. Soc. 2025, 1–19. [Google Scholar] [CrossRef]
  30. Jing, B. Behavior-based pricing, production efficiency, and quality differentiation. Manag. Sci. 2017, 63, 2365–2376. [Google Scholar] [CrossRef]
  31. Li, K.J. Product and service innovation with customer recognition. Decis. Sci. 2024, 55, 17–32. [Google Scholar] [CrossRef]
  32. Goebel, P.; Moeller, S.; Pibernik, R. Paying for convenience: Attractiveness and revenue potential of time-based delivery services. Int. J. Phys. Distrib. Logist. Manag. 2012, 42, 584–606. [Google Scholar] [CrossRef]
  33. Wang, F.; Zhuo, X.; Niu, B. Strategic entry to regional air cargo market under joint competition of demand and promised delivery time. Transp. Res. Part B Methodol. 2017, 104, 317–336. [Google Scholar] [CrossRef]
  34. Rao, S.; Rabinovich, E.; Raju, D. The role of physical distribution services as determinants of product returns in Internet retailing. J. Oper. Manag. 2014, 32, 295–312. [Google Scholar] [CrossRef]
  35. Yang, L.; De Vericourt, F.; Sun, P. Time-based competition with benchmark effects. Manuf. Serv. Oper. Manag. 2014, 16, 119–132. [Google Scholar] [CrossRef]
  36. Yang, L.; Guo, P.; Wang, Y. Service pricing with loss-averse customers. Oper. Res. 2018, 66, 761–777. [Google Scholar] [CrossRef]
  37. Modak, N.M.; Kelle, P. Managing a dual-channel supply chain under price and delivery-time dependent stochastic demand. Eur. J. Oper. Res. 2019, 272, 147–167. [Google Scholar] [CrossRef]
  38. Modak, I.; Bardhan, S.; Giri, B.C. Optimal dynamic pricing and preservation policies under quality-, stock-and price-sensitive demand with partial backlogging and controllable lead time. Int. J. Syst. Sci. Oper. Logist. 2025, 12, 2462098. [Google Scholar] [CrossRef]
  39. Duarte, A.L.D.C.M.; Teixeira, R.; Araujo, F.V.M.; Picanco Rodrigues, V. Punctuality and customer satisfaction in attended home delivery: The moderation effects of price-promotional, emotional and pandemic events. Benchmark. Int. J. 2025. [Google Scholar] [CrossRef]
  40. Amorim, P.; DeHoratius, N.; Eng-Larsson, F.; Martins, S. Customer preferences for delivery service attributes in attended home delivery. Manag. Sci. 2024, 11, 7559–7578. [Google Scholar] [CrossRef]
  41. Wen, X.; Wang, C. Optimal-quality choice and committed delivery time in build-to-order supply chain. Sustainability 2022, 14, 11746. [Google Scholar] [CrossRef]
  42. Goldman, S.P.; van Herk, H.; Verhagen, T.; Weltevreden, J.W. Strategic orientations and digital marketing tactics in cross-border e-commerce: Comparing developed and emerging markets. Int. Small Bus. J. 2021, 39, 350–371. [Google Scholar] [CrossRef]
  43. Nguyen, D.H.; De Leeuw, S.; Dullaert, W.; Foubert, B.P. What is the right delivery option for you? Consumer preferences for delivery attributes in online retailing. J. Bus. Logist. 2019, 40, 299–321. [Google Scholar] [CrossRef]
  44. Buldeo Rai, H.; Verlinde, S.; Macharis, C. The “next day, free delivery” myth unravelled: Possibilities for sustainable last mile transport in an omnichannel environment. Int. J. Retail. Distrib. Manag. 2019, 47, 39–54. [Google Scholar] [CrossRef]
  45. Oyama, Y.; Fukuda, D.; Imura, N.; Nishinari, K. Do people really want fast and precisely scheduled delivery? E-commerce customers’ valuations of home delivery timing. J. Retail. Consum. Serv. 2024, 78, 103711. [Google Scholar] [CrossRef]
  46. Ma, P.; Li, K.W.; Wang, Z.J. Pricing decisions in closed-loop supply chains with marketing effort and fairness concerns. Int. J. Prod. Res. 2017, 55, 6710–6731. [Google Scholar] [CrossRef]
  47. Jiang, T.; Guo, Y. The brand self-live streaming or the influencer live-streaming? The impact of dispatching time on the brand decisions. Electron. Commer. Res. 2024, 1–38. [Google Scholar] [CrossRef]
  48. Villas-Boas, J.M. Dynamic competition with consumer recognition. Rand J. Econ. 1999, 30, 604–631. [Google Scholar] [CrossRef]
  49. Lim, H.; Dubinsky, A.J. Consumers’ perceptions of e-shopping characteristics: An expectancy-value approach. J. Serv. Mark. 2004, 18, 500–513. [Google Scholar] [CrossRef]
  50. Brynjolfsson, E.; Hu, Y.; Rahman, M.S. Battle of the retail channels: How product selection and geography drive cross-channel competition. Manag. Sci. 2009, 55, 1755–1765. [Google Scholar] [CrossRef]
Figure 1. Regions of consumer choice patterns.
Figure 1. Regions of consumer choice patterns.
Jtaer 20 00227 g001
Figure 2. The relationship between first-period prices and θ .
Figure 2. The relationship between first-period prices and θ .
Jtaer 20 00227 g002
Figure 3. The relationship between second-period prices and θ .
Figure 3. The relationship between second-period prices and θ .
Jtaer 20 00227 g003
Figure 4. The relationship between promised delivery time and θ .
Figure 4. The relationship between promised delivery time and θ .
Jtaer 20 00227 g004
Figure 5. The relationship between firm’s first-period profits and θ .
Figure 5. The relationship between firm’s first-period profits and θ .
Jtaer 20 00227 g005
Figure 6. The relationship between firm’s second-period profits and θ .
Figure 6. The relationship between firm’s second-period profits and θ .
Jtaer 20 00227 g006
Figure 7. The relationship between firm’s total profits and θ .
Figure 7. The relationship between firm’s total profits and θ .
Jtaer 20 00227 g007
Figure 8. The relationship between consumer surplus and θ .
Figure 8. The relationship between consumer surplus and θ .
Jtaer 20 00227 g008
Figure 9. The relationship between social welfare and θ .
Figure 9. The relationship between social welfare and θ .
Jtaer 20 00227 g009
Figure 10. Decision-making process.
Figure 10. Decision-making process.
Jtaer 20 00227 g010
Figure 11. The relationship between firms’ total profits and λ .
Figure 11. The relationship between firms’ total profits and λ .
Jtaer 20 00227 g011
Figure 12. The relationship between firms’ total profits and λ .
Figure 12. The relationship between firms’ total profits and λ .
Jtaer 20 00227 g012
Figure 13. Comparison of firm profits considering myopic consumers.
Figure 13. Comparison of firm profits considering myopic consumers.
Jtaer 20 00227 g013
Figure 14. Comparison of firm profits considering myopic consumers.
Figure 14. Comparison of firm profits considering myopic consumers.
Jtaer 20 00227 g014
Table 1. Symbols and descriptions.
Table 1. Symbols and descriptions.
NotationDefinition
U Utility gained by consumers from purchasing a product
V The base value of products
θ Consumers’ time sensitivity
x Consumers’ position in the marketplace
x i Location of marginal consumers
T i N Firm i’s promised delivery time for new (N) consumers
T i O Firm i’s promised delivery time for old (O) consumers
P i 1 Firm i’s first-period price
P i N Firm i’s second-period price for new (N) consumers
P i O Firm i’s second-period price for old (O) consumers
λ Logistics service capabilities of firm
π i j Profit of firm i in period j
C S Customer surplus
S W Social welfare
Table 2. Impact of θ on prices.
Table 2. Impact of θ on prices.
P D U A 1 * θ P D D A 1 * θ P D U A N * θ P D U A O * θ P D D A N * θ P D D A O * θ
> 0
= 0
< 0
Note. √ represents the value corresponding to the first derivative of the relevant variable.
Table 3. The impact of θ on firm profits.
Table 3. The impact of θ on firm profits.
π U U A 1 * θ π D U A 1 * θ π D D A 1 * θ π U U A 2 * θ π D U A 2 * θ π D D A 2 * θ π U U A t * θ π D U A t * θ π D D A t * θ
= 0
< 0
Note. √ represents the value corresponding to the first derivative of the relevant variable.
Table 4. Numerical analysis of equalization results.
Table 4. Numerical analysis of equalization results.
UUDUDD
First-period price11.32351.2869
Second-period price1N: 0.3333
O: 0.6667
N: 0.3286
O: 0.6714
Promised delivery time0.91670.9617N: 0.9762
O: 0.9400
First-period profit0.49310.66180.6435
Second-period profit0.49310.27080.2755
Total firm profit0.98610.93260.9190
Consumer surplus16.583317.101717.1236
Social welfare18.555618.972218.9615
Disclaimer/Publisher’s Note: The statements, opinions and data contained in all publications are solely those of the individual author(s) and contributor(s) and not of MDPI and/or the editor(s). MDPI and/or the editor(s) disclaim responsibility for any injury to people or property resulting from any ideas, methods, instructions or products referred to in the content.

Share and Cite

MDPI and ACS Style

Jiang, T.; Shen, K.; Fu, W.; Liu, W.; Wang, S. Faster Delivery? You May Be Paying a Higher Price than Others! J. Theor. Appl. Electron. Commer. Res. 2025, 20, 227. https://doi.org/10.3390/jtaer20030227

AMA Style

Jiang T, Shen K, Fu W, Liu W, Wang S. Faster Delivery? You May Be Paying a Higher Price than Others! Journal of Theoretical and Applied Electronic Commerce Research. 2025; 20(3):227. https://doi.org/10.3390/jtaer20030227

Chicago/Turabian Style

Jiang, Tao, Kaigeng Shen, Wenxiao Fu, Wenshuo Liu, and Shuwei Wang. 2025. "Faster Delivery? You May Be Paying a Higher Price than Others!" Journal of Theoretical and Applied Electronic Commerce Research 20, no. 3: 227. https://doi.org/10.3390/jtaer20030227

APA Style

Jiang, T., Shen, K., Fu, W., Liu, W., & Wang, S. (2025). Faster Delivery? You May Be Paying a Higher Price than Others! Journal of Theoretical and Applied Electronic Commerce Research, 20(3), 227. https://doi.org/10.3390/jtaer20030227

Article Metrics

Back to TopTop