Sign in to use this feature.

Years

Between: -

Subjects

remove_circle_outline
remove_circle_outline
remove_circle_outline
remove_circle_outline
remove_circle_outline
remove_circle_outline
remove_circle_outline

Journals

Article Types

Countries / Regions

Search Results (39)

Search Parameters:
Keywords = unsteady two-dimensional flow calculation

Order results
Result details
Results per page
Select all
Export citation of selected articles as:
20 pages, 3358 KB  
Article
CFD Simulation of a Vertical-Axis Savonius-Type Micro Wind Turbine Using Meteorological Data from an Educational Environment
by José Cabrera-Escobar, Carlos Mauricio Carrillo Rosero, César Hernán Arroba Arroba, Santiago Paúl Cabrera Anda, Catherine Cabrera-Escobar and Raúl Cabrera-Escobar
Clean Technol. 2026, 8(2), 40; https://doi.org/10.3390/cleantechnol8020040 - 12 Mar 2026
Viewed by 670
Abstract
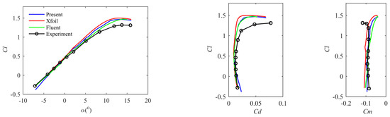
This study presents a two-dimensional computational fluid dynamics analysis of a vertical-axis Savonius-type wind turbine under atmospheric conditions representative of an educational environment located in the Ecuadorian Andean region. Unlike previous studies conducted under sea-level meteorological conditions, this research is performed under high-altitude [...] Read more.
This study presents a two-dimensional computational fluid dynamics analysis of a vertical-axis Savonius-type wind turbine under atmospheric conditions representative of an educational environment located in the Ecuadorian Andean region. Unlike previous studies conducted under sea-level meteorological conditions, this research is performed under high-altitude conditions (2723 m a.s.l.). The unsteady flow around the rotor was simulated using a two-dimensional approach based on the Unsteady Reynolds-Averaged Navier–Stokes (URANS) equations, discretized with the finite volume method and coupled with the k–ω Shear Stress Transport (SST) turbulence model. The rotor rotation was modeled using sliding mesh technique, employing a second-order implicit time scheme to ensure numerical stability and adequate temporal resolution. The numerical model was configured for a tip speed ratio of 0.8 and a wind speed of 3.9 m/s. The time step was defined based on a constant angular advancement of the rotor per time iteration, ensuring numerical stability and adequate temporal resolution. The aerodynamic torque was obtained by integrating the pressure and viscous forces acting on the blades, allowing the calculation of the mechanical power generated and the power coefficient. The results showed a periodic and stable torque behavior after the initial transient cycles, yielding an average torque of 0.7687 N·m and a mechanical power of 5.17 W, while the power coefficient reached a value of 0.2102. Analysis of the flow fields revealed the formation of a low-velocity wake downstream of the rotor, regions of high turbulent kinetic energy associated with periodic vortex shedding, and a significant pressure difference between the advancing and returning blades, confirming that turbine operation is dominated by drag forces. The numerical results were validated through comparison with previous studies, showing good agreement and demonstrating the reliability of the proposed Computational Fluid Dynamics (CFD) approach. This study highlights the potential of Savonius turbines for low-power applications in urban and educational environments, as well as the usefulness of CFD as a tool for evaluating and optimizing their aerodynamic performance. Full article
Show Figures

Figure 1

29 pages, 4828 KB  
Article
A Novel Solution- and Moving Boundary-Adaptive Cartesian Grid Strategy for Efficient and High-Fidelity Simulations of Complex Flow with Moving Boundaries
by Zhiwei Guo, Lincheng Xu, Yuan Gao and Naizhen Zhou
Aerospace 2025, 12(11), 957; https://doi.org/10.3390/aerospace12110957 - 26 Oct 2025
Viewed by 906
Abstract
In this paper, a novel solution- and moving boundary-adaptive Cartesian grid strategy is proposed and used to develop a computational fluid dynamics (CFD) solver. The new Cartesian grid strategy is based on a multi-block structure without grid overlapping or ghost grids in non-fluid [...] Read more.
In this paper, a novel solution- and moving boundary-adaptive Cartesian grid strategy is proposed and used to develop a computational fluid dynamics (CFD) solver. The new Cartesian grid strategy is based on a multi-block structure without grid overlapping or ghost grids in non-fluid areas. In particular, the dynamic grid adaptive operations, as well as the adaptive criteria calculations, are restricted to the grid block boundaries. This reduces the grid adaptation complexity to one dimension lower than that of CFD simulations and also facilitates an intrinsic compatibility with moving boundaries since they are natural grid block boundaries. In addition, an improved hybrid immersed boundary method enforcing a physical constraint of pressure is proposed to robustly implement boundary conditions. The recursively regularized lattice Boltzmann method is applied to solve for fluid dynamics. The performance of the proposed method is validated in simulations of flow induced by a series of two- (2D) and three-dimensional (3D) moving boundaries. Results confirm that the proposed method is adequate to provide efficient and effective dynamical grid refinements for flow solutions and moving boundaries simultaneously. The considered unsteady flow physics are accurately and efficiently reproduced. Particularly, the 3D multiscale flow induced by two tandem flapping wings is simulated at a computational time cost about one order lower than that of a reported adaptive Cartesian strategy. Notably, the grid adaptations only account for a small fraction of CFD time consumption, about 0.5% for pure flow characteristics and 5.0% when moving boundaries are involved. In addition, favorable asymptotic convergence with decreasing minimum grid spacing is observed in the 2D cases. Full article
(This article belongs to the Special Issue Aerospace Vehicles and Complex Fluid Flow Modelling)
Show Figures

Figure 1

15 pages, 3080 KB  
Article
A New Method for Calculating the Roughness Coefficient of Salt Marsh Vegetation Based on Field Flow Observation
by Haifeng Cheng, Fengfeng Gu, Leihua Zhao, Wei Zhang, Yin Zuo and Yuanye Wang
Water 2025, 17(10), 1490; https://doi.org/10.3390/w17101490 - 15 May 2025
Cited by 1 | Viewed by 1042
Abstract
Salt marsh vegetation significantly changes water motion and sediment transport in coastal wetlands, which further influences the geomorphological evolution of coastal wetlands. Accurate determination of the vegetation drag coefficient (Manning’s roughness coefficient) is critical to vegetation flow resistance research. Previous studies on the [...] Read more.
Salt marsh vegetation significantly changes water motion and sediment transport in coastal wetlands, which further influences the geomorphological evolution of coastal wetlands. Accurate determination of the vegetation drag coefficient (Manning’s roughness coefficient) is critical to vegetation flow resistance research. Previous studies on the vegetation roughness coefficient mainly conducted flume experiments under the one-dimensional steady flow condition, which could not reflect the two-dimensional unsteady flow condition in salt marsh vegetated zones. Through theoretical formula analysis and synchronized field observations in a salt marsh vegetated zone, we propose a novel method for calculating the roughness coefficient of salt marsh vegetation especially under the two-dimensional unsteady flow condition. The results indicate that the vegetation roughness coefficient under the two-dimensional unsteady flow condition can be obtained by integrating the flow resistance equation with the discretized momentum conservation equation. Then, in combination with field observation data, the temporal variations in the vegetation roughness coefficient can be derived. The salt marsh vegetated zone in the Jiuduansha Wetland is dominated by flooding currents, and ebbing currents are of secondary importance. The flow resistance of vegetation on flooding and ebbing currents is remarkable. Moreover, the roughness coefficient shows an inverse power-law relationship with the product of flow velocity and water depth (i.e., Ufhf) at the control volume center. Under the same Ufhf scenario, due to the increase in the water-facing area of vegetation, the roughness coefficient during the submerged period is generally greater than that during the non-submerged period. The calculated roughness coefficients and their relationships with Ufhf are consistent with those shown in previous flume experiments, indicating that our proposed method is reasonable. This new method could help determine vegetation flow resistance accurately (particularly under the two-dimensional unsteady flow condition), and it may provide implications for eco-geomorphological simulations of coastal wetlands. Full article
(This article belongs to the Section Ecohydrology)
Show Figures

Figure 1

23 pages, 12993 KB  
Article
A Contribution to the Temperature Particles Method—Implementation of a Large-Eddy Simulation (LES) Model for the Temperature Field
by Tiago Raimundo Chiaradia, Gabriel Ferraz Marcondes de Carvalho, Alex Mendonça Bimbato and Luiz Antonio Alcântara Pereira
Appl. Sci. 2025, 15(8), 4122; https://doi.org/10.3390/app15084122 - 9 Apr 2025
Cited by 3 | Viewed by 1051
Abstract
This paper introduces a numerical methodology for the investigation of two-dimensional, incompressible and unsteady flows. The analyses involve Fluid–Structure Interaction (FSI) over solid boundaries of known shape with effects of mixed convection heat transfer. The main contribution is the implementation of a Large-Eddy [...] Read more.
This paper introduces a numerical methodology for the investigation of two-dimensional, incompressible and unsteady flows. The analyses involve Fluid–Structure Interaction (FSI) over solid boundaries of known shape with effects of mixed convection heat transfer. The main contribution is the implementation of a Large-Eddy Simulation (LES) model for the energy equation. LES is a mathematical model for simulating turbulent flows. The Boussinesq approximation links the vorticity transport equation with the energy equation to include buoyancy forces. The methodology consists of discretizing the vorticity field and heat by using particles (computational points), which characterizes a purely Lagrangian description. The vorticity field is discretized by using Lamb discrete vortices (vortex blobs) and the heat by using temperature particles. The velocity field is computed over each particle as the vortex cloud contribution requires high computational cost. The buoyancy forces computation is necessary over each vortex blob because of the temperature particles and also requires high computational cost. Thus, all those computations involving particles interactions demand the use of parallel computing in OpenMP-Fortran. The turbulence calculation makes use of the second-order velocity structure function model; that computation is necessary over each computational point during every time increment of a typical numerical simulation. As examples of application, two problems are chosen: nominally, the flow around a single circular cylinder and the interaction of airplane wake vortices with a ground plane. The numerical results are compared with experimental data, exhibiting very good agreement with the expected physics for each investigated problem. Full article
Show Figures

Figure 1

17 pages, 5866 KB  
Article
An Application of Upwind Difference Scheme with Preconditioned Numerical Fluxes to Gas-Liquid Two-Phase Flows
by Tianmu Zhao and Byeongrog Shin
Fluids 2025, 10(2), 38; https://doi.org/10.3390/fluids10020038 - 1 Feb 2025
Cited by 2 | Viewed by 1343
Abstract
A time-consistent upwind difference scheme with a preconditioned numerical flux for unsteady gas-liquid multiphase flows is presented and applied to the analysis of cavitating flows. The fundamental equations were formulated in general curvilinear coordinates to apply to diverse flow fields. The preconditioning technique [...] Read more.
A time-consistent upwind difference scheme with a preconditioned numerical flux for unsteady gas-liquid multiphase flows is presented and applied to the analysis of cavitating flows. The fundamental equations were formulated in general curvilinear coordinates to apply to diverse flow fields. The preconditioning technique was applied specifically to the numerical dissipation terms in the upwinding process without changing the time derivative terms to maintain time consistency. This approach enhances numerical stability in unsteady multiphase flow computations, consistently delivering time-accurate solutions compared to conventional preconditioning methods. A homogeneous gas-liquid two-phase flow model, third-order Runge-Kutta method, and the flux difference splitting upwind scheme coupled with a third-order MUSCL TVD scheme were employed. Numerical tests of two-dimensional gas-liquid single- and two-phase flows over backward-facing step with different step height and flow conditions successfully demonstrated the capability of the present scheme. The calculations remained stable even for flows with a very low Mach number of 0.001, typically considered incompressible flows, and the results were in good agreement with the experimental data. In addition, we analyzed unsteady cavitating flows at high Reynolds numbers and confirmed the effectiveness and applicability of the present scheme for calculating unsteady gas-liquid two-phase flows. Full article
(This article belongs to the Special Issue Advances in Multiphase Flow Science and Technology, 2nd Edition)
Show Figures

Figure 1

24 pages, 14298 KB  
Article
Three-Dimensional Aerodynamics and Vortex-Shedding Characteristics of Wind Turbine Airfoils over 360-Degree Angles of Attack
by Shreyas Bidadi, Ganesh Vijayakumar, Georgios Deskos and Michael Sprague
Energies 2024, 17(17), 4328; https://doi.org/10.3390/en17174328 - 29 Aug 2024
Cited by 4 | Viewed by 3044
Abstract
In this work, we present the first three-dimensional (3D) computational investigation of wind turbine airfoils over 360° angles of attack to predict unsteady aerodynamic loads and vortex-shedding characteristics. To this end, static–airfoil simulations are performed for the FFA-W3 airfoil family at a [...] Read more.
In this work, we present the first three-dimensional (3D) computational investigation of wind turbine airfoils over 360° angles of attack to predict unsteady aerodynamic loads and vortex-shedding characteristics. To this end, static–airfoil simulations are performed for the FFA-W3 airfoil family at a Reynolds number of 107 with the Improved Delayed Detached Eddy Simulation turbulence model. Aerodynamic forces reveal that the onset of boundary-layer instabilities and flow separation does not necessarily coincide with the onset of stall. In addition, a comparison with two-dimensional simulation data and flat plate theory extension of airfoil polars, suggest that, in the deep stall regime, 3D effects remain critical for predicting both the unsteady loads and the vortex-shedding dynamics. For all airfoils, the vortex-shedding frequencies are found to be inversely proportional to the wake width. In the case of slender airfoils, the frequencies are nearly independent of the airfoil thickness, and their corresponding Strouhal number St is approximately 0.15. Based on the calculated St, the potential for shedding frequencies to coincide with the natural frequencies of the International Energy Agency 15 MW reference wind turbine blades is investigated. The analysis shows that vortex-induced vibrations occur primarily at angles of attack of around ±90° for all airfoils. Full article
(This article belongs to the Section B: Energy and Environment)
Show Figures

Figure 1

16 pages, 6982 KB  
Article
Impact of Blade Modifications on the Performance of a Darrieus Wind Turbine
by M. Özgün Korukçu
Processes 2024, 12(4), 732; https://doi.org/10.3390/pr12040732 - 4 Apr 2024
Cited by 10 | Viewed by 4010
Abstract
Vertical axis wind turbines (VAWTs) are gaining increasing significance in the realm of renewable energy. One notable advantage they possess is their ability to operate efficiently in diverse wind conditions, including low-speed and turbulent winds, which are often prevalent in urban areas. In [...] Read more.
Vertical axis wind turbines (VAWTs) are gaining increasing significance in the realm of renewable energy. One notable advantage they possess is their ability to operate efficiently in diverse wind conditions, including low-speed and turbulent winds, which are often prevalent in urban areas. In this study, dimples and pitch angles into the rotor blades are used to enhance the aerodynamic performance of a straight-bladed Darrieus turbine. To simulate the turbine’s rotation under transient conditions, computational fluid dynamics calculations are conducted in a two-dimensional setting. The unsteady Navier–Stokes equations are solved, and the k-ω SST turbulence model is employed to represent turbulent flow. The results of the simulation demonstrate that the application of a circular dimple on the pressure side of the blades, positioned at 0.25 of the chord length with a diameter of 0.08 chord length, leads to a 5.18% increase in the power coefficient at λ = 2.7, in comparison to a turbine with plain airfoils. Moreover, when an airfoil with both a dimple and a + 1° pitch angle is utilized, the turbine’s performance at λ = 2.7 improved by 7.17% compared to a plain airfoil, and by 1.8% compared to a dimpled airfoil without a pitch angle. Additionally, the impact of a double dimple on both the pressure and suction sides of the airfoil on turbine performance was investigated. It was discovered that the double-dimpled airfoil exhibited lower performance in comparison to a plain airfoil. The study showed that the utilization of both dimples and pitch angles for airfoils of a Darrieus turbine blade increases the power generated by the turbine. Full article
(This article belongs to the Special Issue Advances in Wind Turbine Energy Conversion Systems)
Show Figures

Figure 1

20 pages, 18983 KB  
Article
A Lagrangian Analysis of Tip Leakage Vortex in a Low-Speed Axial Compressor Rotor
by Jiexuan Hou, Yangwei Liu and Yumeng Tang
Symmetry 2024, 16(3), 344; https://doi.org/10.3390/sym16030344 - 13 Mar 2024
Cited by 7 | Viewed by 2731
Abstract
A Lagrangian method is introduced to analyze the tip leakage vortex (TLV) behavior in a low-speed axial compressor rotor. The finite-time Lyapunov exponent (FTLE) fields are calculated based on the delayed detached-eddy simulation (DDES) results and identifying the FTLE ridges as Lagrangian coherent [...] Read more.
A Lagrangian method is introduced to analyze the tip leakage vortex (TLV) behavior in a low-speed axial compressor rotor. The finite-time Lyapunov exponent (FTLE) fields are calculated based on the delayed detached-eddy simulation (DDES) results and identifying the FTLE ridges as Lagrangian coherent structures (LCSs). The computational method of the FTLE field in three-dimensional unsteady flow fields is discussed and then applied to the instantaneous flow fields at both the design and near-stall conditions. Results show that the accuracy of the particle trajectory and the density of the initial grid of the particle trajectory greatly affect the results of the FTLE field and, thus, the LCSs. Compared to the Eulerian Q method, which is calculated based on the symmetric and anti-symmetric components of the local velocity gradient tensor, the Lagrangian method has great potential in unraveling the mechanism of complex vortex structures. The LCSs show a transport barrier between the TLV and the secondary TLV, indicating two separate vortices. The aLCSs show the bubble-like and bar-like structure in the isosurfaces corresponding to the bubble and spiral breakdown patterns. Full article
(This article belongs to the Special Issue Applications Based on Symmetry/Asymmetry in Fluid Mechanics)
Show Figures

Figure 1

16 pages, 4469 KB  
Article
Unsteady Multiphase Simulation of Oleo-Pneumatic Shock Absorber Flow
by Ahmed A. Sheikh Al-Shabab, Bojan Grenko, Paulo A. S. F. Silva, Antonis F. Antoniadis, Panagiotis Tsoutsanis and Martin Skote
Fluids 2024, 9(3), 68; https://doi.org/10.3390/fluids9030068 - 7 Mar 2024
Cited by 2 | Viewed by 3277
Abstract
The internal flow in oleo-pneumatic shock absorbers is a complex multiphysics problem combining the interaction between highly unsteady turbulent flow and multiphase mixing, among other effects. The aim is to present a validated simulation methodology that facilitates shock absorber performance prediction by capturing [...] Read more.
The internal flow in oleo-pneumatic shock absorbers is a complex multiphysics problem combining the interaction between highly unsteady turbulent flow and multiphase mixing, among other effects. The aim is to present a validated simulation methodology that facilitates shock absorber performance prediction by capturing the dominant internal flow physics. This is achieved by simulating a drop test of approximately 1 tonne with an initial contact vertical speed of 2.7 m/s, corresponding to a light jet. The flow field solver is ANSYS Fluent, using an unsteady two-dimensional axisymmetric multiphase setup with a time-varying inlet velocity boundary condition corresponding to the stroke rate of the shock absorber piston. The stroke rate is calculated using a two-equation dynamic system model of the shock absorber under the applied loading. The simulation is validated against experimental measurements of the total force on the shock absorber during the stroke, in addition to standard physical checks. The flow field analysis focuses on multiphase mixing and its influence on the turbulent free shear layer and recirculating flow. A mixing index approach is suggested to facilitate systematically quantifying the mixing process and identifying the distinct stages of the interaction. It is found that gas–oil interaction has a significant impact on the flow development in the shock absorber’s upper chamber, where strong mixing leads to a periodic stream of small gas bubbles being fed into the jet’s shear layer from larger bubbles in recirculation zones, most notably in the corner between the orifice plate and outer shock absorber wall. Full article
(This article belongs to the Special Issue Turbulent Flow, 2nd Edition)
Show Figures

Figure 1

15 pages, 5387 KB  
Article
Back-Calculation of Manning’s Roughness Coefficient by 2D Flow Simulation and Influence of In-Channel Physical Parameters in a Mountain River, Japan
by Hiroshi Takata, Shogo Obata, Tatsuro Sato and Yukihiro Shimatani
Water 2024, 16(2), 320; https://doi.org/10.3390/w16020320 - 17 Jan 2024
Cited by 5 | Viewed by 3829
Abstract
This study attempts to back-calculate Manning’s roughness coefficients by repeating a two-dimensional flow simulation to fit the spatially and temporally dense river water-level data observed in Japan’s Yamatsuki River, a typical mountainous river with an average riverbed gradient of 1/50 and an average [...] Read more.
This study attempts to back-calculate Manning’s roughness coefficients by repeating a two-dimensional flow simulation to fit the spatially and temporally dense river water-level data observed in Japan’s Yamatsuki River, a typical mountainous river with an average riverbed gradient of 1/50 and an average river width of 17.9 m. Furthermore, we aim to clarify the influence of the in-channel physical parameters on the coefficient of roughness obtained through the above method. In the Yamatsuki River, 16 water-level gauges were installed at intervals of about 40~80 m in the longitudinal direction in the study reach. Manning’s roughness coefficients were back-calculated by repeating two-dimensional flow simulations to match the observed water levels of a flood in 2021 (the estimated maximum flow rate is 11.5 m3/s). The back-calculated roughness coefficients approached a constant value in the range of 0.05 to 0.1 s/m1/3 as the relative water depth increased, indicating that the roughness coefficient can be considered a constant value when performing plane two-dimensional flow calculations for flooding. The roughness coefficient during flooding was found to be correlated with the slope and step height (H)-step length (L)- channel slope (S) ratios (H/L/S). An equation for predicting the roughness coefficient during flooding based on the physical parameters of the channel is also proposed. Full article
(This article belongs to the Topic Research on River Engineering)
Show Figures

Figure 1

24 pages, 7326 KB  
Article
Calculation and Selection of Airfoil for Flapping-Wing Aircraft Based on Integral Boundary Layer Equations
by Ming Qi, Wenguo Zhu and Shu Li
Aerospace 2024, 11(1), 46; https://doi.org/10.3390/aerospace11010046 - 31 Dec 2023
Cited by 2 | Viewed by 4535
Abstract
The flight of a migratory bird-like flapping-wing aircraft is characterized by a low Reynolds number and unsteadiness. The selection of airfoil profiles is critical to designing an efficient flapping-wing aircraft. To choose the suitable airfoil for various wing sections, it is necessary to [...] Read more.
The flight of a migratory bird-like flapping-wing aircraft is characterized by a low Reynolds number and unsteadiness. The selection of airfoil profiles is critical to designing an efficient flapping-wing aircraft. To choose the suitable airfoil for various wing sections, it is necessary to calculate the aerodynamic forces of the unsteady two-dimensional airfoil with a Reynolds number in the range of 105. While accurate, calculating this by solving the Navier–Stokes equations is impractical for early design stages due to its high consumption of computing resources and time. The computational demands for extending it to 3D aerodynamic calculations are even more prohibitive. In this paper, a relatively simple method is proposed. The two-dimensional unsteady panel method is utilized to derive the inviscid flow field, the unsteady integral boundary layer method is utilized to solve the boundary layer viscous flow, and the eN transition model is adopted to predict the position of the transition. These models are coupled with the semi-inverse interaction method to solve the aerodynamics of the unsteady low-Reynolds-number two-dimensional airfoil. The unsteady aerodynamics of the symmetric and cambered airfoils at different wing sections are calculated respectively by the proposed method. Mechanism analysis of the calculation results is conducted, and a symmetrical airfoil or a slightly cambered airfoil is recommended for the wing tip, a moderately cambered airfoil is suggested for the outer-wing section, and a highly cambered airfoil is suggested for the inner-wing section. Full article
Show Figures

Figure 1

17 pages, 9580 KB  
Article
Analysis of Cavitation-Induced Unsteady Flow Conditions in Francis Turbines under High-Load Conditions
by Haobo Wang, Daqing Zhou, An Yu and Junxun Guo
Processes 2024, 12(1), 72; https://doi.org/10.3390/pr12010072 - 28 Dec 2023
Cited by 6 | Viewed by 2835
Abstract
Hydraulic vibrations in Francis turbines caused by cavitation profoundly impact the overall hydraulic performance and operational stability. Therefore, to investigate the influence of cavitation phenomena under high-load conditions, a three-dimensional unsteady numerical simulation is carried out for a Francis turbine with different head [...] Read more.
Hydraulic vibrations in Francis turbines caused by cavitation profoundly impact the overall hydraulic performance and operational stability. Therefore, to investigate the influence of cavitation phenomena under high-load conditions, a three-dimensional unsteady numerical simulation is carried out for a Francis turbine with different head operating conditions, which is combined with the SST k-w turbulence model and two-phase flow cavitation model to capture the evolution of cavitation under high-load conditions. Additionally, utilizing entropy production theory, the hydraulic losses of the Francis turbine during cavitation development are assessed. Contrary to the pressure-drop method, the entropy production theory can quantitatively reflect the characteristics of the local hydraulic loss distribution, with a calculated error coefficient τ not exceeding 2%. The specific findings include: the primary sources of energy loss inside the turbine are the airfoil cavitation and cavitation vortex rope, constituting 26% and 71% of the total hydraulic losses, respectively. According to the comparison with model tests, the vapor volume fraction (VVF) inside the draft tube fluctuates periodically under high-load conditions, causing low-frequency pressure pulsation in the turbine’s power, flow rate, and other external characteristic parameters at 0.37 Hz, and the runner radial force fluctuates at a frequency of 1.85 Hz. Full article
(This article belongs to the Special Issue State-of-the-Art Energy Conversion and Storage)
Show Figures

Figure 1

16 pages, 12794 KB  
Article
Unsteady Cloud Cavitation on a 2D Hydrofoil: Quasi-Periodic Loads and Phase-Averaged Flow Characteristics
by Elizaveta Ivashchenko, Mikhail Hrebtov, Mikhail Timoshevskiy, Konstantin Pervunin and Rustam Mullyadzhanov
Energies 2023, 16(19), 6990; https://doi.org/10.3390/en16196990 - 7 Oct 2023
Cited by 1 | Viewed by 2344
Abstract
We perform large-eddy simulations to study a cavitating flow over a two-dimensional hydrofoil section—a scaled-down profile (1:13.26) of guide vanes of a Francis turbine—using the Schnerr–Sauer cavitation model with an adaptive mesh refinement in intensive phase transition flow areas. In the test case, [...] Read more.
We perform large-eddy simulations to study a cavitating flow over a two-dimensional hydrofoil section—a scaled-down profile (1:13.26) of guide vanes of a Francis turbine—using the Schnerr–Sauer cavitation model with an adaptive mesh refinement in intensive phase transition flow areas. In the test case, the guide vane is tilted at an angle of attack of 9° to the direction of the flow, in which the Reynolds number, based on the hydrofoil chord length, equals 1.32×106, thus providing a strong adverse pressure gradient along the surface. The calculated time-averaged turbulence characteristics are compared with those measured by particle image velocimetry to verify that the flow is correctly reproduced in numerical simulations using the procedure of conditional averaging proposed and tested in our previous investigation. A re-entrant jet is identified as the primary source of vapor cloud shedding, and a spectral analysis of the cavitating flow over the profile midsection is conducted. Two characteristic frequencies corresponding to the cases, when an attached cavity detaches completely (as a whole) and two partially from the hydrofoil, are found in the flow. The study reveals that the natural frequency of partial cavity shedding is three times higher than that of full detachments. The examined regime exhibits an oscillatory system with two oscillation zones related to cavitation surge instability and unsteady cloud cavitation resulting from the re-entrant jet. Conditional averaging correlates cavitation structures with pressure distributions, forces, and torque on the guide vane. This modeling approach captures the fine details of quasi-periodic cavitation dynamics, providing insights into unsteady sheet/cloud cavitation and offering a method for developing control strategies. Full article
Show Figures

Figure 1

30 pages, 12365 KB  
Article
Study of Combustor–Turbine Interactions by Performing Coupled and Decoupled Hybrid RANS-LES Simulations under Representative Engine-like Conditions
by Stella Grazia Tomasello, Roberto Meloni, Luca Andrei and Antonio Andreini
Energies 2023, 16(14), 5395; https://doi.org/10.3390/en16145395 - 15 Jul 2023
Cited by 4 | Viewed by 2649
Abstract
Combustion–turbine interaction phenomena are attracting ever-growing interest in recent years. As a matter of fact, the strong unsteady and three-dimensional flow field that characterizes the combustor is usually conserved up to the first-stage nozzle, possibly affecting its design and performance in terms of [...] Read more.
Combustion–turbine interaction phenomena are attracting ever-growing interest in recent years. As a matter of fact, the strong unsteady and three-dimensional flow field that characterizes the combustor is usually conserved up to the first-stage nozzle, possibly affecting its design and performance in terms of aerodynamics and the effectiveness of the cooling system as well. Such conditions are also exacerbated by the employment of lean-burn combustors, where high turbulence levels are required for the flame stabilization, resulting in even greater temperature and velocity distortions at the inlet of the first-stage nozzle. Even if it has been proven by several past studies that the best way of studying the combustor–turbine interaction is simulating the two components together, performing coupled simulations is still challenging from a numerical point of view, especially in an industrial context. For this reason, the application and generation of the most representative and reliable boundary conditions possible at the inlet of the S1N have assumed an increased importance in order to study the two components separately by performing decoupled simulations. In this context, the purpose of the present work is to compare fully integrated combustor–stator SBES simulations to isolated stator ones. To perform the stator-only calculations, the fully unsteady inlet conditions of the stator have been recorded at the interface plane between the two components in the integrated SBES simulation and then they have been reconstructed by applying the proper orthogonal decomposition (POD) technique. The SBES simulations of the isolated stator have been so performed with the aim of determining whether the flow field obtained is comparable with the one of the integrated simulation, thus allowing more realistic results to be obtained rather than imposing time-averaged 2D maps, as per standard design practice. Full article
Show Figures

Figure 1

1174 KB  
Article
Unsteady flow and heat transfer characteristics over the rounded and square leading-edge plate
by Channarong Wantha
Int. J. Thermofluid Sci. Technol. 2023, 10(2), 100202; https://doi.org/10.36963/IJTST.2023100202 - 28 May 2023
Cited by 1 | Viewed by 27
Abstract
The influences of the shape of the leading edge of the upstream plate on the transition region from steady laminar flow to unsteady flow, as well as the heat transfer from these leading edges, were numerically studied. The calculations were performed using the [...] Read more.
The influences of the shape of the leading edge of the upstream plate on the transition region from steady laminar flow to unsteady flow, as well as the heat transfer from these leading edges, were numerically studied. The calculations were performed using the finite volume method in two-dimensional domains in a low Reynolds number regime with a constant incoming flow. The results show that von Kármán vortex shedding patterns start behind the rounded upstream plate at a low Reynolds number of 114. When the leading edge of the upstream plate is square, the plate experiences flow separation and the flow become unsteady at higher Reynolds numbers of around 400. The mean Nusselt number of the upstream plate increases by approximately 179% and 213% for square and rounded leading edges, respectively, for Reynolds numbers ranging from 100 to 700. Full article
Show Figures

Figure 1

Back to TopTop