Unsteady Multiphase Simulation of Oleo-Pneumatic Shock Absorber Flow
Abstract
1. Introduction
1.1. Background
1.2. Oleo-Pneumatic Shock Absorber Modelling
1.3. Multiphase Mixing
1.4. Turbulence Modelling
1.5. Scope of Present Work
2. Methodology and Computational Setup
3. Numerical Methods
4. Results and Discussion
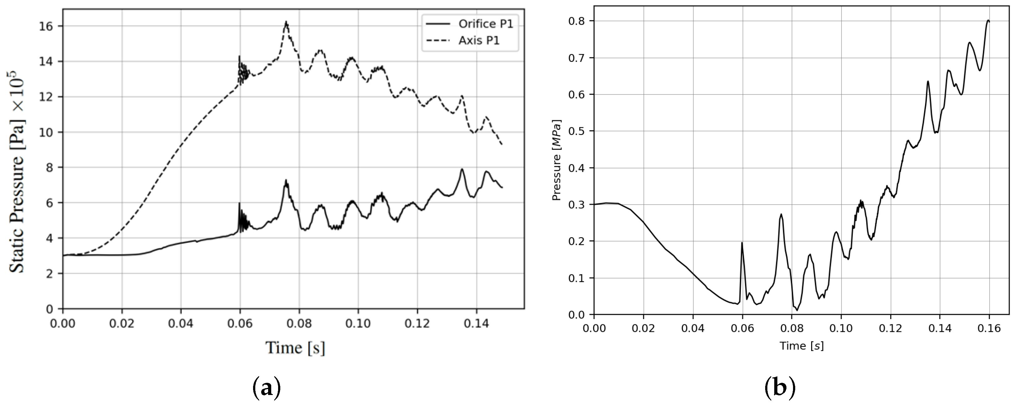
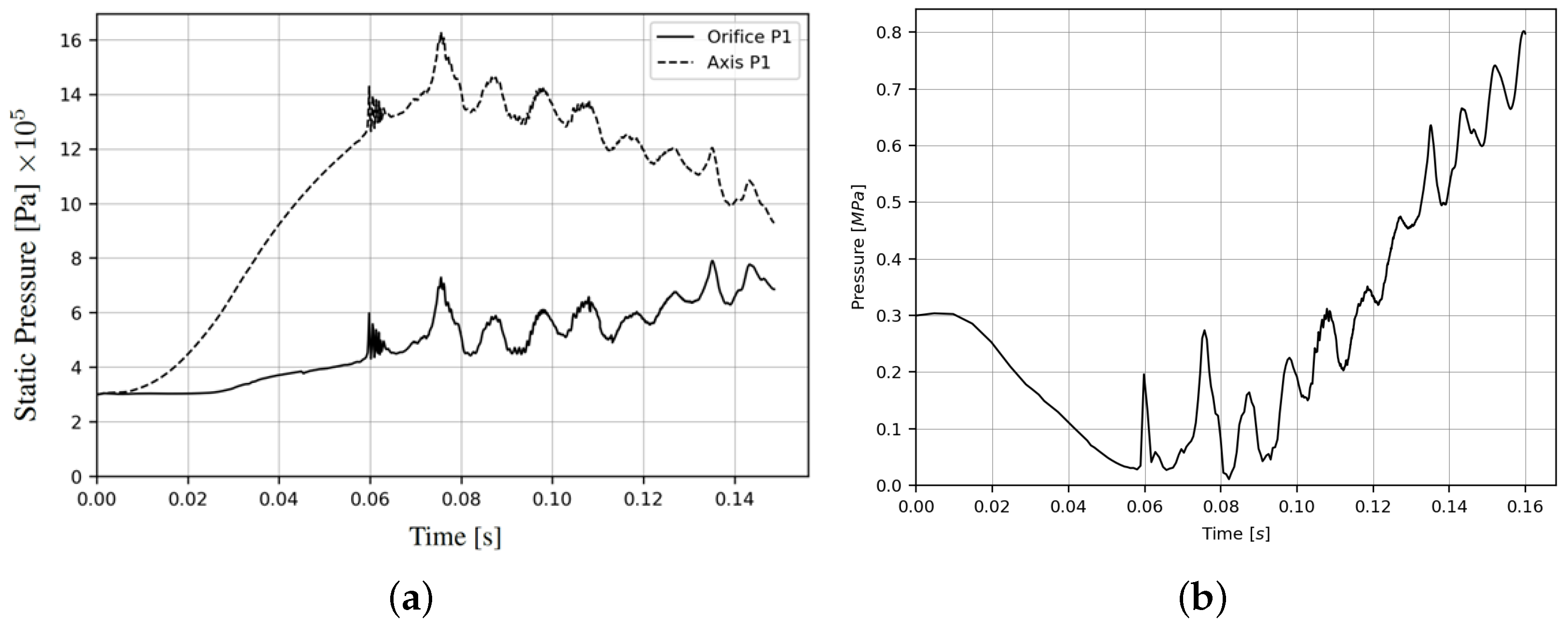
4.1. Case Validation
4.2. Shock Absorber Internal Flow Field Development
- Initial slow increase in interface area while the gas remains mainly in a single bubble, which continues until approximately t = 0.06 s in the present drop test simulation;
- A sharp increase in interface area after the main bubble starts breaking up into smaller ones over the highest stroke rate values between t = 0.06 s and t = 0.1 s;
- An approximate plateau of fluctuating values around a roughly steady interface area value, extending from t = 0.1 s to t = 0.135 s;
- A sharp decrease in interface area towards the end of the stroke, beyond t = 0.135 s, probably caused by the agglomeration of the gas into larger bubbles as the stroke rate decreases and the flow begins to settle again.
5. Conclusions
Author Contributions
Funding
Data Availability Statement
Conflicts of Interest
Abbreviations
| 2D | Two-dimensional |
| 3D | Three-dimensional |
| Phase volume fraction | |
| Discharge coefficient | |
| CFL | Courant–Friedrich–Lewy number |
| Diameter of orifice at orifice exit | |
| DOF | Degrees of Freedom |
| FFT | Fast Fourier Transform |
| LES | Large eddy simulation |
| MI | Mixing index |
| OPSA | Oleo-pneumatic shock absorber |
| RANS | Reynolds-averaged Navier–Stokes |
| URANS | Unsteady Reynolds-averaged Navier–Stokes |
References
- Young, D. Aircraft landing gears—The past, present and future. Proc. Inst. Mech. Eng. Part D Transp. Eng. 1986, 200, 75–92. [Google Scholar] [CrossRef]
- Currey, N. Aircraft Landing Gear Design: Principles and Practices; AIAA Education Series; American Institute of Aeronautics and Astronautics: Reston, VA, USA, 1988. [Google Scholar]
- Milwitzky, B.; Cook, F.E. Analysis of Landing-gear Behavior. NACA Tech. Rept No. NACA-TR-1154. 1952. Available online: https://ntrs.nasa.gov/citations/19930092181 (accessed on 13 December 2023).
- Schmidt, R.K. The Design of Aircraft Landing Gear; SAE International: Warrendale, PA, USA, 2021. [Google Scholar]
- Sheikh Al-Shabab, A.A.; Grenko, B.; Vitlaris, D.; Tsoutsanis, P.; Antoniadis, A.F.; Skote, M. Numerical Investigation of Orifice Nearfield Flow Development in Oleo-Pneumatic Shock Absorbers. Fluids 2022, 7, 54. [Google Scholar] [CrossRef]
- Daniels, J.N. A Method for Landing Gear Modeling and Simulation with Experimental Validation. NASA Rept. No. NASA-CR-201601. 1996. Available online: https://ntrs.nasa.gov/citations/19960049759 (accessed on 13 December 2023).
- Horta, L.G.; Daugherty, R.H.; Martinson, V.J. Modeling and Validation of a Navy A6-Intruder Actively Controlled Landing Gear System. NASA Tech. Pub. No. NASA/TP-1999-209124. 1999. Available online: https://ntrs.nasa.gov/citations/19990046416 (accessed on 13 December 2023).
- Heininen, A.; Aaltonen, J.; Koskinen, K.; Huitula, J. Equations of State in Fighter Aircraft Oleo-pneumatic Shock Absorber Modelling. Linköping Electron. Conf. Proc. 2019, 162, 64–70. [Google Scholar] [CrossRef]
- Shi, F.; Dean, W.I.A.; Suyama, T. Single-objective Optimization of Passive Shock Absorber for Landing Gear. Am. J. Mech. Eng. 2019, 7, 107–115. [Google Scholar] [CrossRef]
- Ding, Y.W.; Wei, X.H.; Nie, H.; Li, Y.P. Discharge coefficient calculation method of landing gear shock absorber and its influence on drop dynamics. J. Vibroengineering 2018, 20, 2550–2562. [Google Scholar] [CrossRef]
- Du, S.; Zhang, C.; Zhou, K.; Zhao, Z. Study of the Two-Phase Flow Characteristics of a Damping Orifice in an Oleo-Pneumatic Shock Absorber. Fluids 2022, 7, 360. [Google Scholar] [CrossRef]
- Kharangate, C.R.; Mudawar, I. Review of computational studies on boiling and condensation. Int. J. Heat Mass Transf. 2017, 108, 1164–1196. [Google Scholar] [CrossRef]
- Mohammed, H.I.; Giddings, D.; Walker, G.S. CFD simulation of a concentrated salt nanofluid flow boiling in a rectangular tube. Int. J. Heat Mass Transf. 2018, 125, 218–228. [Google Scholar] [CrossRef]
- Pothukuchi, H.; Kelm, S.; Patnaik, B.; Prasad, B.; Allelein, H.J. CFD modeling of critical heat flux in flow boiling: Validation and assessment of closure models. Appl. Therm. Eng. 2019, 150, 651–665. [Google Scholar] [CrossRef]
- Mulbah, C.; Kang, C.; Mao, N.; Zhang, W.; Shaikh, A.R.; Teng, S. A review of VOF methods for simulating bubble dynamics. Prog. Nucl. Energy 2022, 154, 104478. [Google Scholar] [CrossRef]
- Vaishnavi, G.S.; Ramarajan, J.; Jayavel, S. Numerical studies of bubble formation dynamics in gas-liquid interaction using Volume of Fluid (VOF) method. Therm. Sci. Eng. Prog. 2023, 39, 101718. [Google Scholar] [CrossRef]
- Rabha, S.S.; Buwa, V.V. Volume-of-fluid (VOF) simulations of rise of single/multiple bubbles in sheared liquids. Chem. Eng. Sci. 2010, 65, 527–537. [Google Scholar] [CrossRef]
- Lahey, R.T., Jr.; Baglietto, E.; Bolotnov, I.A. Progress in multiphase computational fluid dynamics. Nucl. Eng. Des. 2021, 374, 111018. [Google Scholar] [CrossRef]
- Lauber, G.; Hager, W.H. Experiments to dambreak wave: Horizontal channel. J. Hydraul. Res. 1998, 36, 291–307. [Google Scholar] [CrossRef]
- Stansby, P.; Chegini, A.; Barnes, T. The initial stages of dam-break flow. J. Fluid Mech. 1998, 374, 407–424. [Google Scholar] [CrossRef]
- Tan, T.; Ma, Y.; Zhang, J.; Niu, X.; Chang, K.A. Experimental study on flow kinematics of dam-break induced surge impacting onto a vertical wall. Phys. Fluids 2023, 35, 025127. [Google Scholar] [CrossRef]
- Issakhov, A.; Zhandaulet, Y.; Nogaeva, A. Numerical simulation of dam break flow for various forms of the obstacle by VOF method. Int. J. Multiph. Flow 2018, 109, 191–206. [Google Scholar] [CrossRef]
- Abdolmaleki, K.; Thiagarajan, K.; Morris-Thomas, M. Simulation of the dam break problem and impact flows using a Navier-Stokes solver. Simulation 2004, 13, 17. [Google Scholar]
- Zhainakov, A.Z.; Kurbanaliev, A. Verification of the open package OpenFOAM on dam break problems. Thermophys. Aerom. 2013, 20, 451–461. [Google Scholar] [CrossRef]
- Besagni, G.; Varallo, N.; Mereu, R. Computational Fluid Dynamics Modelling of Two-Phase Bubble Columns: A Comprehensive Review. Fluids 2023, 8, 91. [Google Scholar] [CrossRef]
- Besagni, G.; Inzoli, F.; Ziegenhein, T. Two-phase bubble columns: A comprehensive review. ChemEngineering 2018, 2, 13. [Google Scholar] [CrossRef]
- Al-Shabab, A.A.S.; Tucker, P.G. Toward Active Computational Fluid Dynamics Role in Open Jet Airfoil Experiments Design. AIAA J. 2018, 56, 3205–3215. [Google Scholar] [CrossRef]
- Al-Shabab, A.S.; Tucker, P. RANS prediction of open jet aerofoil interaction and design metrics. Aeronaut. J. 2019, 123, 1275–1296. [Google Scholar] [CrossRef]
- Sheikh-AlShabab, A.A.; Tucker, P.G. Numerical Investigation of Installation Effects in Open Jet Wind Tunnel Airfoil Experiments. In Proceedings of the 52nd Aerospace Sciences Meeting, AIAA Paper, National Harbor, MD, USA, 13–17 January 2014. [Google Scholar] [CrossRef]
- Tucker, P. Computation of unsteady turbomachinery flows: Part 1—Progress and challenges. Prog. Aerosp. Sci. 2011, 47, 522–545. [Google Scholar] [CrossRef]
- Tucker, P. Computation of unsteady turbomachinery flows: Part 2—LES and hybrids. Prog. Aerosp. Sci. 2011, 47, 546–569. [Google Scholar] [CrossRef]
- Tucker, P. Trends in turbomachinery turbulence treatments. Prog. Aerosp. Sci. 2013, 63, 1–32. [Google Scholar] [CrossRef]
- Sheikh Al Shabab, A.; Grenko, B.; Vitlaris, D.; Tsoutsanis, P.; Antoniadis, A.; Skote, M. Numerical investigation of oleo-pneumatic shock absorber: A multi-fidelity approach. In Proceedings of the ECCOMAS Congress 2022—8th European Congress on Computational Methods in Applied Sciences and Engineering, ECCOMAS, Oslo, Norway, 5–9 June 2022. [Google Scholar] [CrossRef]
- ANSYS Fluent. Release 2019 R2, Theory Guide; ANSYS Inc.: Southpoint, Canonsburg, PA, USA, 2019. [Google Scholar]
- Menter, F.R. Two-equation eddy-viscosity turbulence models for engineering applications. AIAA J. 1994, 32, 1598–1605. [Google Scholar] [CrossRef]
- Menter, F.R.; Kuntz, M.; Langtry, R. Ten years of industrial experience with the SST turbulence model. Turbul. Heat Mass Transf. 2003, 4, 625–632. [Google Scholar]
- Menter, F.R. Review of the shear-stress transport turbulence model experience from an industrial perspective. Int. J. Comput. Fluid Dyn. 2009, 23, 305–316. [Google Scholar] [CrossRef]
- Tsoutsanis, P.; Nogueira, X.; Fu, L. A short note on a 3D spectral analysis for turbulent flows on unstructured meshes. J. Comput. Phys. 2023, 474, 111804. [Google Scholar] [CrossRef]
- Solehati, N.; Bae, J.; Sasmito, A.P. Numerical investigation of mixing performance in microchannel T-junction with wavy structure. Comput. Fluids 2014, 96, 10–19. [Google Scholar] [CrossRef]
- Wang, S.; Huang, X.; Yang, C. Mixing enhancement for high viscous fluids in a microfluidic chamber. Lab Chip 2011, 11, 2081–2087. [Google Scholar] [CrossRef] [PubMed]
- Nguyen, Q.; Papavassiliou, D.V. Quality Measures of Mixing in Turbulent Flow and Effects of Molecular Diffusivity. Fluids 2018, 3, 53. [Google Scholar] [CrossRef]
- Yan, Y.; Thorpe, R. Flow regime transitions due to cavitation in the flow through an orifice. Int. J. Multiph. Flow 1990, 16, 1023–1045. [Google Scholar] [CrossRef]
- Osterland, S.; Günther, L.; Weber, J. Experiments and Computational Fluid Dynamics on Vapor and Gas Cavitation for Oil Hydraulics. Chem. Eng. Technol. 2023, 46, 147–157. [Google Scholar] [CrossRef]
- Folden, T.S.; Aschmoneit, F.J. A classification and review of cavitation models with an emphasis on physical aspects of cavitation. Phys. Fluids 2023, 35, 081301. [Google Scholar] [CrossRef]
- Antoniadis, A.F.; Drikakis, D.; Farmakis, P.S.; Fu, L.; Kokkinakis, I.; Nogueira, X.; Silva, P.A.; Skote, M.; Titarev, V.; Tsoutsanis, P. UCNS3D: An open-source high-order finite-volume unstructured CFD solver. Comput. Phys. Commun. 2022, 279, 108453. [Google Scholar] [CrossRef]











| Grid | No. of Cells | ||||
|---|---|---|---|---|---|
| C1 | % | % | |||
| C2 | % | % | |||
| C3 | % | % | |||
| C4 | – | – |
| Case Parameter | Value |
|---|---|
| Hydraulic oil | AN-VV-O-366B |
| Hydraulic oil density, (kg/m3) | |
| Hydraulic oil kinematic viscosity, (m2/s) | |
| Gas | Air (assumed ideal gas) |
| Orifice diameter, m | |
| Lower chamber diameter, m | |
| Upper chamber diameter, m | |
| Air column height, m | |
| Time step | Adaptive with and |
| Grid size | ≈1 cells |
| Drop test upper mass (sprung mass), kg | |
| Drop test lower mass (unsprung mass), kg | |
| Vertical speed at initial impact, m/s | 2.70 |
Disclaimer/Publisher’s Note: The statements, opinions and data contained in all publications are solely those of the individual author(s) and contributor(s) and not of MDPI and/or the editor(s). MDPI and/or the editor(s) disclaim responsibility for any injury to people or property resulting from any ideas, methods, instructions or products referred to in the content. |
© 2024 by the authors. Licensee MDPI, Basel, Switzerland. This article is an open access article distributed under the terms and conditions of the Creative Commons Attribution (CC BY) license (https://creativecommons.org/licenses/by/4.0/).
Share and Cite
Sheikh Al-Shabab, A.A.; Grenko, B.; Silva, P.A.S.F.; Antoniadis, A.F.; Tsoutsanis, P.; Skote, M. Unsteady Multiphase Simulation of Oleo-Pneumatic Shock Absorber Flow. Fluids 2024, 9, 68. https://doi.org/10.3390/fluids9030068
Sheikh Al-Shabab AA, Grenko B, Silva PASF, Antoniadis AF, Tsoutsanis P, Skote M. Unsteady Multiphase Simulation of Oleo-Pneumatic Shock Absorber Flow. Fluids. 2024; 9(3):68. https://doi.org/10.3390/fluids9030068
Chicago/Turabian StyleSheikh Al-Shabab, Ahmed A., Bojan Grenko, Paulo A. S. F. Silva, Antonis F. Antoniadis, Panagiotis Tsoutsanis, and Martin Skote. 2024. "Unsteady Multiphase Simulation of Oleo-Pneumatic Shock Absorber Flow" Fluids 9, no. 3: 68. https://doi.org/10.3390/fluids9030068
APA StyleSheikh Al-Shabab, A. A., Grenko, B., Silva, P. A. S. F., Antoniadis, A. F., Tsoutsanis, P., & Skote, M. (2024). Unsteady Multiphase Simulation of Oleo-Pneumatic Shock Absorber Flow. Fluids, 9(3), 68. https://doi.org/10.3390/fluids9030068

