Due to scheduled maintenance work on our servers, there may be short service disruptions on this website between 11:00 and 12:00 CEST on March 28th.
Sign in to use this feature.

Years

Between: -

Subjects

remove_circle_outline
remove_circle_outline
remove_circle_outline
remove_circle_outline
remove_circle_outline
remove_circle_outline
remove_circle_outline
remove_circle_outline
remove_circle_outline

Journals

Article Types

Countries / Regions

Search Results (154)

Search Parameters:
Keywords = transit network design problem

Order results
Result details
Results per page
Select all
Export citation of selected articles as:
33 pages, 4521 KB  
Article
Land Use, Street Design, and Older Adults’ Active Travel: Uncovering Nonlinear Effects in Multi-Scale Convenient Living Circles
by Chang Liu, Yu Zhang, Shuo Yang, Liang Guo, Hui He and Xiaoli Sun
ISPRS Int. J. Geo-Inf. 2026, 15(3), 109; https://doi.org/10.3390/ijgi15030109 - 4 Mar 2026
Viewed by 305
Abstract
Promoting older adults’ active travel (AT) is important for healthy ageing, yet the optimal spatial units and scales for built environment (BE) interventions remain unclear. Existing studies often ignore the Modifiable Areal Unit Problem and fail to distinguish macro-scale land-use patterns from micro-scale [...] Read more.
Promoting older adults’ active travel (AT) is important for healthy ageing, yet the optimal spatial units and scales for built environment (BE) interventions remain unclear. Existing studies often ignore the Modifiable Areal Unit Problem and fail to distinguish macro-scale land-use patterns from micro-scale street design under potentially nonlinear behavior–environment relationships. This study aims to clarify how multi-scale BE influences older adults’ AT and to identify the most effective intervention scale. Using survey data from 2494 older adults in Wuhan, China, we construct six behaviorally meaningful sliding units (5, 10, and 15 min walking network buffers and distance-equivalent Euclidean buffers), derive macro- and micro-scale indicators from GIS, census data, and street view images, and build separate Extreme Gradient Boosting (XGBoost) models with Accumulated Local Effects plots for interpretation. A model comparison reveals pronounced scale effects: network-based buffers systematically outperform circular buffers, and the 15 min walking network buffer emerges as the optimal intervention unit. Across all scales, BE variables contribute more to model performance than socio-demographic factors, and macro-scale attributes (e.g., land-use mix, facility density, and transit access) consistently outweigh micro-scale street features. Nonlinear effects and thresholds are identified for key density, accessibility, and streetscape indicators. These findings underscore the necessity of multi-scale analysis and support planning “15 min life circles” for older adults that prioritize macro-scale land-use and facility optimization, complemented by targeted, context-specific street-level improvements to create safe, age-friendly walking environments. Full article
Show Figures

Figure 1

17 pages, 3829 KB  
Article
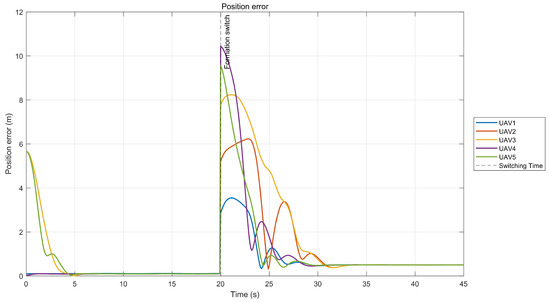
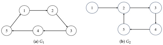
Formation Control for UAVs Considering Safety Constraints Based on Control Barrier Functions with Switched Trajectories and Switching Communication Topologies
by Zerui Wei, Xiaoyu Zhang, Yang Song and Rong Guo
Sensors 2026, 26(5), 1477; https://doi.org/10.3390/s26051477 - 26 Feb 2026
Viewed by 269
Abstract
This paper investigates the formation control problem of multi-UAV systems in the presence of switched trajectories and time-varying communication topologies. A distributed formation control protocol is proposed to enable UAVs to track piecewise continuous trajectories while the underlying communication network switches among a [...] Read more.
This paper investigates the formation control problem of multi-UAV systems in the presence of switched trajectories and time-varying communication topologies. A distributed formation control protocol is proposed to enable UAVs to track piecewise continuous trajectories while the underlying communication network switches among a finite set of directed graphs. Sufficient and necessary conditions for achieving accurate formation tracking under dual-switching scenarios are derived through stability analysis while the stability of the overall switched system is proven by using multiple Lyapunov functions. To ensure collision avoidance during both trajectory and topology transitions, control barrier functions (CBFs) are employed to construct safety sets, and a quadratic programming(QP)-based optimization framework is designed to modify control inputs in real time. Simulation results demonstrate that the proposed approach effectively coordinates formation tracking, topology switching, and inter-agent safety, offering a solution for UAV collaboration in dynamic and uncertain environments. Full article
(This article belongs to the Section Sensors and Robotics)
Show Figures

Figure 1

30 pages, 1444 KB  
Review
Uncertainty-Aware Planning of EV Charging Infrastructure and Renewable Integration in Distribution Networks: A Review
by Sasmita Tripathy, Edwin Boima Fahnbulleh, Sriparna Roy Ghatak, Fernando Lopes and Parimal Acharjee
Energies 2026, 19(5), 1131; https://doi.org/10.3390/en19051131 - 24 Feb 2026
Viewed by 353
Abstract
Transitioning from internal combustion engines to electric vehicles (EVs) is critical for fighting climate change. This requires widespread adoption of Electric Vehicle Charging Stations (EVCSs). Integrating EVCSs and renewable energy sources (RESs) into distribution networks (DNs) is vital for a sustainable transportation system [...] Read more.
Transitioning from internal combustion engines to electric vehicles (EVs) is critical for fighting climate change. This requires widespread adoption of Electric Vehicle Charging Stations (EVCSs). Integrating EVCSs and renewable energy sources (RESs) into distribution networks (DNs) is vital for a sustainable transportation system while enhancing power generation in an environmentally friendly manner. This review explores challenges and opportunities of EVCS and RES integration, concentrating on EV charging-demand uncertainty modeling, forecasting algorithms, planning techniques, and the impacts on DN. It discusses forecasting algorithms in terms of learning-based and non-learning-based methods. EVCS planning algorithms are also discussed, involving deterministic and stochastic methods. The technical, environmental, reliability, and economic impacts of EVCS-RES on DNs are discussed. It explores optimization strategies to minimize these impacts, incorporating them as objective functions. Additionally, the survey examines the methods of incorporating EVs and RES in DN, optimizing EVCS allocation while addressing EVCS impacts on voltage regulation, power loss, and network reliability. The importance of energy management systems and advanced forecasting techniques in balancing power fluctuation and improving efficiency is emphasized. Finally, it identifies open problems and future directions for forecasting and optimizing EVCS-RES integration in the networks. These findings are highly relevant for designing resilient and efficient modern power systems that leverage RES and EVCS in the grids. Full article
(This article belongs to the Section F2: Distributed Energy System)
Show Figures

Figure 1

19 pages, 8702 KB  
Article
Design and Experimental Research of a Track Vibration Energy Harvester Based on a Wideband Magnetic Levitation Structure
by Zhen Li, Lijun Rong, Aoxiang Lan, Mingze Tang and Yougang Sun
Machines 2026, 14(2), 225; https://doi.org/10.3390/machines14020225 - 13 Feb 2026
Viewed by 353
Abstract
With the rapid development of rail transit, how to power low-energy monitoring systems for the vast and complex infrastructure in the rail transit system is becoming an urgent problem. To achieve green and intelligent rail transit infrastructure while ensuring long-term operational safety, harvesting [...] Read more.
With the rapid development of rail transit, how to power low-energy monitoring systems for the vast and complex infrastructure in the rail transit system is becoming an urgent problem. To achieve green and intelligent rail transit infrastructure while ensuring long-term operational safety, harvesting vibration energy from tracks to power wireless sensor networks has become a research hotspot. This paper designs a track vibration energy harvester based on a broadband magnetic levitation structure. First, a dynamic model of the harvester is established, and the corresponding dynamic equations, energy–velocity relationship, and system transfer function are derived. Also, by simulating electromagnetic interactions, the distribution pattern of magnetic density inside the energy harvester is revealed. Next, the response characteristics of the energy harvester are analyzed under single-frequency and multi-frequency excitation conditions. Using the Runge-Kutta algorithm for computational analysis, the optimal structural parameters of the energy harvester are designed. Finally, a magnetic levitation energy harvester prototype is constructed. Experimental validation confirmed the feasibility of the energy harvester and its adaptability to low-frequency vibration environments. Full article
(This article belongs to the Section Electromechanical Energy Conversion Systems)
Show Figures

Figure 1

21 pages, 6750 KB  
Article
Machine Learning-Based Energy Consumption and Carbon Footprint Forecasting in Urban Rail Transit Systems
by Sertaç Savaş and Kamber Külahcı
Appl. Sci. 2026, 16(3), 1369; https://doi.org/10.3390/app16031369 - 29 Jan 2026
Cited by 1 | Viewed by 331
Abstract
In the fight against global climate change, the transportation sector is of critical importance because it is one of the major causes of total greenhouse gas emissions worldwide. Although urban rail transit systems offer a lower carbon footprint compared to road transportation, accurately [...] Read more.
In the fight against global climate change, the transportation sector is of critical importance because it is one of the major causes of total greenhouse gas emissions worldwide. Although urban rail transit systems offer a lower carbon footprint compared to road transportation, accurately forecasting the energy consumption of these systems is vital for sustainable urban planning, energy supply management, and the development of carbon balancing strategies. In this study, forecasting models are designed using five different machine learning (ML) algorithms, and their performances in predicting the energy consumption and carbon footprint of urban rail transit systems are comprehensively compared. For five distribution-center substations, 10 years of monthly energy consumption data and the total carbon footprint data of these substations are used. Support Vector Regression (SVR), Extreme Gradient Boosting (XGBoost), Long Short-Term Memory (LSTM), Adaptive Neuro-Fuzzy Inference System (ANFIS), and Nonlinear Autoregressive Neural Network (NAR-NN) models are developed to forecast these data. Model hyperparameters are optimized using a 20-iteration Random Search algorithm, and the stochastic models are run 10 times with the optimized parameters. Results reveal that the SVR model consistently exhibits the highest forecasting performance across all datasets. For carbon footprint forecasting, the SVR model yields the best results, with an R2 of 0.942 and a MAPE of 3.51%. The ensemble method XGBoost also demonstrates the second-best performance (R2=0.648). Accordingly, while deterministic traditional ML models exhibit superior performance, the neural network-based stochastic models, such as LSTM, ANFIS, and NAR-NN, show insufficient generalization capability under limited data conditions. These findings indicate that, in small- and medium-scale time-series forecasting problems, traditional machine learning methods are more effective than neural network-based methods that require large datasets. Full article
(This article belongs to the Section Computing and Artificial Intelligence)
Show Figures

Figure 1

26 pages, 6631 KB  
Article
Research on Fault Location Methods for Multi-Terminal Multi-Section Overhead Line–Cable Hybrid Transmission Lines
by Peilin Xu and Ruyan Zhou
Processes 2026, 14(3), 438; https://doi.org/10.3390/pr14030438 - 26 Jan 2026
Viewed by 263
Abstract
To address the fault location problem in multi-terminal hybrid overhead–cable transmission lines with multiple sections, this paper proposes a novel method combining Modified Ensemble Empirical Mode Decomposition (MEEMD) and the Teager Energy Operator (TEO). First, the MEEMD algorithm—which mitigates mode mixing—is integrated with [...] Read more.
To address the fault location problem in multi-terminal hybrid overhead–cable transmission lines with multiple sections, this paper proposes a novel method combining Modified Ensemble Empirical Mode Decomposition (MEEMD) and the Teager Energy Operator (TEO). First, the MEEMD algorithm—which mitigates mode mixing—is integrated with the TEO, which captures instantaneous energy variations, to achieve accurate detection of traveling wavefronts. Considering the topological complexity of multi-terminal hybrid transmission lines, a fault branch separation and iterative judgment method is proposed. Based on the arrival time characteristics of traveling waves, two topology decoupling strategies are designed to enable branch identification through network reconstruction and iterative computation. After determining the faulted branch, the fault section is precisely localized by comparing the time difference between the arrival of traveling waves at branch terminals and T-nodes with the propagation time differences at each connection point. Finally, the dual-ended traveling wave method is applied to calculate the fault distance. The proposed method is validated through co-simulation using PSCAD 4.6.2 and MATLAB R2023b. Comparative analysis of ranging accuracy demonstrates that this approach ensures reliable fault location under varying fault positions and transition resistances. Full article
(This article belongs to the Section Energy Systems)
Show Figures

Figure 1

29 pages, 3435 KB  
Article
Passenger-Oriented Interim-Period Train Timetable Synchronization Optimization for Urban Rail Transit Network
by Yan Xu, Haoran Liang, Ziwei Jia, Minghua Li, Jiaxin Bai and Qiyu Liang
Appl. Sci. 2026, 16(2), 1103; https://doi.org/10.3390/app16021103 - 21 Jan 2026
Viewed by 275
Abstract
Interim periods between peak and off-peak operations in urban rail transit networks often suffer from mismatched headways across lines, which increases passenger transfer waiting and operating costs. This paper proposes a passenger-oriented timetable synchronization method for network-wide interim period train service. In this [...] Read more.
Interim periods between peak and off-peak operations in urban rail transit networks often suffer from mismatched headways across lines, which increases passenger transfer waiting and operating costs. This paper proposes a passenger-oriented timetable synchronization method for network-wide interim period train service. In this study, based on the AFC data, passengers are assigned to the shortest travel time paths, and passenger transfer flows are linked to connecting train pairs by consideration of the maximum acceptable waiting time. As a result, the transfer waiting time is accurately calculated by matching passengers’ platform arrival times with the departures of feasible connecting trains. A mixed integer nonlinear programming model then jointly optimizes departure headways at each line’s first station, arrival and departure times at transfer stations, subject to safety headways and time bounds. The objective minimizes total cost, combining transfer waiting time cost and train operating cost (depreciation and distance-related cost). A simulated-annealing-based genetic algorithm (SA-GA) is designed to solve the NP-hard problem. A case study on the Nanjing rail transit network from 6:30 to 7:30 reduces total cost by 6.88%, including 3.77% lower transfer waiting time cost and 14.49% lower operating cost, and shows stable results under typical transfer demand fluctuations. Full article
Show Figures

Figure 1

28 pages, 15350 KB  
Article
Model–Data Dual-Driven Method for Mode-Switching Radar Target Detection
by Boyu Wang and Gongjian Zhou
Remote Sens. 2026, 18(1), 144; https://doi.org/10.3390/rs18010144 - 1 Jan 2026
Viewed by 486
Abstract
Maneuvering targets exhibit range migration (RM) and Doppler-frequency migration (DFM) during the coherent integration period. Most existing coherent integration methods model maneuvering target motion with a single motion mode. However, highly maneuvering targets often undergo mode-switching, which degrades the detection performance of conventional [...] Read more.
Maneuvering targets exhibit range migration (RM) and Doppler-frequency migration (DFM) during the coherent integration period. Most existing coherent integration methods model maneuvering target motion with a single motion mode. However, highly maneuvering targets often undergo mode-switching, which degrades the detection performance of conventional algorithms. To address this problem, this paper proposes a model–data dual-driven method for mode-switching radar targets. From the model-driven perspective, the range evolution over time is derived in the Cartesian coordinate system for transitions among constant-velocity (CV), constant-acceleration (CA), and constant-turn (CT) motions, thereby constructing multiple possible mode-switching scenarios. Subsequently, from the data-driven perspective, a hierarchical residual network and keypoint loss functions are designed to learn and capture the uncertainty associated with mode-switching, thereby accurately inferring the initial and switching points of the target. Furthermore, to enhance the interpretability of the network, probability heatmap visualization is employed to intuitively reveal the internal mechanisms of the network. Finally, by partitioning the Coherent Processing Interval (CPI) based on network-detected keypoints, the proposed method performs efficient piecewise coherent integration for different motion models by integrating along the slow-time echo-envelope migration path. Simulation results demonstrate that the proposed method not only effectively eliminates both RM and DFM but also achieves strong detection performance and favorable computational efficiency. Full article
Show Figures

Figure 1

30 pages, 1826 KB  
Article
Unveiling the Scientific Knowledge Evolution: Carbon Capture (2007–2025)
by Kuei-Kuei Lai, Yu-Jin Hsu and Chih-Wen Hsiao
Appl. Syst. Innov. 2025, 8(6), 187; https://doi.org/10.3390/asi8060187 - 30 Nov 2025
Viewed by 728
Abstract
This study explores how research on carbon capture technologies (CCTs) has developed over time and shows how semantic text mining can improve the analysis of technology trajectories. Although CCTs are widely viewed as essential for net-zero transitions, the literature is still scattered across [...] Read more.
This study explores how research on carbon capture technologies (CCTs) has developed over time and shows how semantic text mining can improve the analysis of technology trajectories. Although CCTs are widely viewed as essential for net-zero transitions, the literature is still scattered across many subthemes, and links between engineering advances, infrastructure deployment, and policy design are often weak. Methods that rely mainly on citations or keyword frequencies tend to overlook contextual meaning and the subtle diffusion of ideas across these strands, making it difficult to reconstruct clear developmental pathways. To address this problem, we ask the following: How do CCT topics change over time? What evolutionary mechanisms drive these transitions? And which themes act as bridges between technical lineages? We first build a curated corpus using a PRISMA-based screening process. We then apply BERTopic, integrating Sentence-BERT embeddings with UMAP, HDBSCAN, and class-based TF-IDF, to identify and label coherent semantic topics. Topic evolution is modeled through a PCC-weighted, top-K filtered network, where cross-year connections are categorized as inheritance, convergence, differentiation, or extinction. These patterns are further interpreted with a Fish-Scale Multiscience mapping to clarify underlying theoretical and disciplinary lineages. Our results point to a two-stage trajectory: an early formation phase followed by a period of rapid expansion. Long-standing research lines persist in amine absorption, membrane separation, and metal–organic frameworks (MOFs), while direct air capture emerges later and becomes increasingly stable. Across the full period, five evolutionary mechanisms operate in parallel. We also find that techno-economic assessment, life-cycle and carbon accounting, and regulation–infrastructure coordination serve as key “weak-tie” bridges that connect otherwise separated subfields. Overall, the study reconstructs the core–periphery structure and maturity of CCT research and demonstrates that combining semantic topic modeling with theory-aware mapping complements strong-tie bibliometric approaches and offers a clearer, more transferable framework for understanding technology evolution. Full article
Show Figures

Figure 1

23 pages, 5035 KB  
Article
LMI-Based Optimal Synchronization for Fractional-Order Coupled Reaction-Diffusion Neural Networks with Markovian Switching Topologies
by Fengyi Liu, Ming Zhao, Qi Chang and Yongqing Yang
Fractal Fract. 2025, 9(11), 749; https://doi.org/10.3390/fractalfract9110749 - 19 Nov 2025
Viewed by 689
Abstract
This study investigates the synchronization of coupled fractional-order Markovian reaction-diffusion neural networks (MRDNNs) with partially unknown transition rates. The novelty of this work is mainly reflected in three aspects: First, this study incorporates the Markovian switching model and reaction-diffusion term into a fractional-order [...] Read more.
This study investigates the synchronization of coupled fractional-order Markovian reaction-diffusion neural networks (MRDNNs) with partially unknown transition rates. The novelty of this work is mainly reflected in three aspects: First, this study incorporates the Markovian switching model and reaction-diffusion term into a fractional-order system, which is a challenging and under-explored issue in existing literature, and effectively addresses the synchronization problem of fractional-order MRDNNs by introducing a continuous frequency distribution model of the fractional integrator. Second, it derives a new set of sufficient synchronization conditions with reduced conservatism; by utilizing the (extended) Wirtinger inequality and delay-partitioning techniques, abundant free parameters are introduced to significantly broaden the solution range. Third, it proposes an LMI-based optimal synchronization design by establishing an efficient offline optimization framework with semidefinite constraints, and achieves the precise solution of control gains. Finally, numerical simulations are conducted to validate the effectiveness of the proposed method. Full article
(This article belongs to the Special Issue Analysis and Modeling of Fractional-Order Dynamical Networks)
Show Figures

Figure 1

28 pages, 5070 KB  
Article
Energy-Efficient Scheduling for Distributed Hybrid Flowshop of Offshore Wind Blade Manufacturing Considering Limited Buffers
by Qinglei Zhang, Qianyuan Zhang, Jianguo Duan, Jiyun Qin and Ying Zhou
J. Mar. Sci. Eng. 2025, 13(11), 2176; https://doi.org/10.3390/jmse13112176 - 17 Nov 2025
Viewed by 488
Abstract
Amidst the backdrop of energy transition, scheduling problems in offshore manufacturing have emerged as critical challenges in marine engineering. However, the inherently coupled constraints of sequence-dependent setup times (SDST) and limited buffers (LB) have been largely overlooked. Therefore, this paper establishes the first [...] Read more.
Amidst the backdrop of energy transition, scheduling problems in offshore manufacturing have emerged as critical challenges in marine engineering. However, the inherently coupled constraints of sequence-dependent setup times (SDST) and limited buffers (LB) have been largely overlooked. Therefore, this paper establishes the first multi-objective scheduling model, DHFSP-SDST&LB, specifically tailored for large components like turbine blades. A hybrid optimization algorithm, DDQN-MOCE, integrating an evolutionary algorithm (EA) and a double deep Q-network (DDQN), is proposed to overcome the inherent limitations of traditional MOEAs. In the EA component, a three-phase crossover and mutation policy is employed to generate offspring. In the DDQN component, the dimension-reduced feature vectors serve as the state input, and three makespan-oriented and two energy-oriented heuristic search actions are defined based on the knowledge. Finally, the optimal parameter combination is determined via Taguchi experimental design, and the effectiveness of DDQN-MOCE is evaluated on 36 instances and 1 industrial case. Experimental results demonstrate that DDQN-MOCE’s HV surpasses the second-best result by over 50% in 34 instances. It achieves the best GD, near-absolute dominance, and saves over 22% in total energy, with its high volume of solutions compensating for a minor weakness in spacing. Full article
(This article belongs to the Section Ocean Engineering)
Show Figures

Figure 1

50 pages, 42505 KB  
Article
CPMFFormer: Class-Aware Progressive Multiscale Fusion Transformer for Hyperspectral Image Classification
by Meng Zhang, Yi Yang, Sixian Zhang, Pengbo Mi and Deqiang Han
Remote Sens. 2025, 17(22), 3684; https://doi.org/10.3390/rs17223684 - 10 Nov 2025
Cited by 1 | Viewed by 756
Abstract
Hyperspectral image (HSI) classification is a basic and significant task in remote sensing, the aim of which is to assign a class label to each pixel in an image. Recently, deep learning networks have been widely applied in HSI classification. They can extract [...] Read more.
Hyperspectral image (HSI) classification is a basic and significant task in remote sensing, the aim of which is to assign a class label to each pixel in an image. Recently, deep learning networks have been widely applied in HSI classification. They can extract discriminative spectral–spatial features through spectral weighting and multiscale spatial information modeling. However, existing spectral weighting mechanisms lack the ability to explore the inter-class spectral overlap caused by spectral variability. Moreover, current multiscale fusion strategies ignore semantic conflicts between features with large-scale differences. To address these problems, a class-aware progressive multiscale fusion transformer (CPMFFormer) is proposed. It first introduces class information into a spectral weighting mechanism. This helps CPMFFormer to learn class-specific spectral weights and enhance class-discriminative spectral features. Then, a center residual convolution module is constructed to extract features at different scales. It is embedded with a center feature calibration layer to achieve hierarchical enhancement of representative spatial features. Finally, a progressive multiscale fusion strategy is designed to promote effective collaboration between features at different scales. It achieves a smooth semantic transition by gradually fusing adjacent scale features. Experiments using five public HSI datasets show that CPMFFormer is rational and effective. Full article
Show Figures

Graphical abstract

19 pages, 1672 KB  
Article
Deep Learning-Based Method for a Ground-State Solution of Bose-Fermi Mixture at Zero Temperature
by Xianghong He, Jidong Gao, Rentao Wu, Yuhan Wang and Rongpei Zhang
Big Data Cogn. Comput. 2025, 9(11), 279; https://doi.org/10.3390/bdcc9110279 - 4 Nov 2025
Viewed by 837
Abstract
A Bose-Fermi mixture, consisting of both bosons and fermions, exhibits distinctive quantum coherence and phase transitions, offering valuable insights into many-body quantum systems. The ground state, as the system’s lowest energy configuration, is essential for understanding its overall behavior. In this study, we [...] Read more.
A Bose-Fermi mixture, consisting of both bosons and fermions, exhibits distinctive quantum coherence and phase transitions, offering valuable insights into many-body quantum systems. The ground state, as the system’s lowest energy configuration, is essential for understanding its overall behavior. In this study, we introduce the Bose-Fermi Energy-based Deep Neural Network (BF-EnDNN), a novel deep learning approach designed to solve the ground-state problem of Bose-Fermi mixtures at zero temperature through energy minimization. This method incorporates three key innovations: point sampling pre-training, a Dynamic Symmetry Layer (DSL), and a Positivity Preserving Layer (PPL). These features significantly improve the network’s accuracy and stability in quantum calculations. Our numerical results show that BF-EnDNN achieves accuracy comparable to traditional finite difference methods, with effective extension to two-dimensional systems. The method demonstrates high precision across various parameters, making it a promising tool for investigating complex quantum systems. Full article
(This article belongs to the Special Issue Application of Deep Neural Networks)
Show Figures

Figure 1

19 pages, 5686 KB  
Article
RipenessGAN: Growth Day Embedding-Enhanced GAN for Stage-Wise Jujube Ripeness Data Generation
by Jeon-Seong Kang, Junwon Yoon, Beom-Joon Park, Junyoung Kim, Sung Chul Jee, Ha-Yoon Song and Hyun-Joon Chung
Agronomy 2025, 15(10), 2409; https://doi.org/10.3390/agronomy15102409 - 17 Oct 2025
Cited by 1 | Viewed by 717
Abstract
RipenessGAN is a novel Generative Adversarial Network (GAN) designed to generate synthetic images across different ripeness stages of jujubes (green fruit, white ripe fruit, semi-red fruit, and fully red fruit), aiming to provide balanced training data for diverse applications beyond classification accuracy. This [...] Read more.
RipenessGAN is a novel Generative Adversarial Network (GAN) designed to generate synthetic images across different ripeness stages of jujubes (green fruit, white ripe fruit, semi-red fruit, and fully red fruit), aiming to provide balanced training data for diverse applications beyond classification accuracy. This study addresses the problem of data imbalance by augmenting each ripeness stage using our proposed Growth Day Embedding mechanism, thereby enhancing the performance of downstream classification models. The core innovation of RipenessGAN lies in its ability to capture continuous temporal transitions among discrete ripeness classes by incorporating fine-grained growth day information (0–56 days) in addition to traditional class labels. The experimental results show that RipenessGAN produces synthetic data with higher visual quality and greater diversity compared to CycleGAN. Furthermore, the classification models trained on the enriched dataset exhibit more consistent and accurate performance. We also conducted comprehensive comparisons of RipenessGAN against CycleGAN and class-conditional diffusion models (DDPM) under strictly controlled and fair experimental settings, carefully matching model architectures, computational resources, training conditions, and evaluation metrics. The results indicate that although diffusion models yield highly realistic images and CycleGAN ensures stable cycle-consistent generation, RipenessGAN provides superior practical benefits in training efficiency, temporal controllability, and adaptability for agricultural applications. This research demonstrates the potential of RipenessGAN to mitigate data imbalance in agriculture and highlights its scalability to other crops. Full article
(This article belongs to the Section Precision and Digital Agriculture)
Show Figures

Figure 1

15 pages, 1824 KB  
Article
Differential Associations Between Adaptability and Mental Health Symptoms Across Interpersonal Style Groups: A Network Comparison Study
by Shixiu Ren
Behav. Sci. 2025, 15(10), 1307; https://doi.org/10.3390/bs15101307 - 25 Sep 2025
Viewed by 1054
Abstract
The university period is a transitional stage during which students develop heterogeneous interpersonal styles to navigate complex social demands. While prior studies have linked interpersonal functioning to adaptability and mental health, structural differences across interpersonal style groups remain underexplored. Therefore, the current research [...] Read more.
The university period is a transitional stage during which students develop heterogeneous interpersonal styles to navigate complex social demands. While prior studies have linked interpersonal functioning to adaptability and mental health, structural differences across interpersonal style groups remain underexplored. Therefore, the current research was designed to examine whether and how adaptability is differentially related to mental health symptoms when considered within the framework of distinct interpersonal style profiles. Using K-means clustering, we identified three distinct interpersonal profiles: the withdrawn and avoidant type, the overinvolved and compliant type, and the well-adjusted interpersonal type. Based on this classification, network analyses were conducted to examine how six dimensions of adaptability related to three core mental health symptoms within each group. The results showed a consistent pattern across all profiles, with emotional adaptability negatively associated with depression, anxiety, and stress. Subsequent network comparison analyses demonstrated that the withdrawn and avoidant group differed significantly in structure from the well-adjusted interpersonal group, particularly in the connections involving emotional, interpersonal, and economic adaptability. By uncovering meaningful differences in adaptability-mental health associations across interpersonal style, this study provides a foundation for designing targeted strategies that address the unique adaptabilities and mental health problems of distinct interpersonal profiles. Full article
(This article belongs to the Section Health Psychology)
Show Figures

Figure 1

Back to TopTop