Sign in to use this feature.

Years

Between: -

Subjects

remove_circle_outline
remove_circle_outline
remove_circle_outline
remove_circle_outline
remove_circle_outline
remove_circle_outline
remove_circle_outline
remove_circle_outline
remove_circle_outline

Journals

remove_circle_outline
remove_circle_outline
remove_circle_outline
remove_circle_outline
remove_circle_outline
remove_circle_outline

Article Types

Countries / Regions

remove_circle_outline
remove_circle_outline
remove_circle_outline
remove_circle_outline
remove_circle_outline
remove_circle_outline
remove_circle_outline

Search Results (2,385)

Search Parameters:
Keywords = regional climate model simulations

Order results
Result details
Results per page
Select all
Export citation of selected articles as:
29 pages, 14567 KB  
Article
Calibration and Verification of a Coupled Model for the Coastal and Estuaries in the Mekong River Delta, Vietnam
by Lai Trinh Dinh and Thanh Nguyen Viet
J. Mar. Sci. Eng. 2026, 14(2), 157; https://doi.org/10.3390/jmse14020157 - 11 Jan 2026
Viewed by 130
Abstract
This study focuses on the calibration and verification of a large-scale coupled numerical model to simulate the complex hydrodynamic–wave–sediment transport processes in the coastal and estuarine regions of the Mekong River Delta (MRD), Vietnam. Using the MIKE 21/3 modeling system, the research integrates [...] Read more.
This study focuses on the calibration and verification of a large-scale coupled numerical model to simulate the complex hydrodynamic–wave–sediment transport processes in the coastal and estuarine regions of the Mekong River Delta (MRD), Vietnam. Using the MIKE 21/3 modeling system, the research integrates Hydrodynamics (HD), Spectral Wave (SW), and Mud Transport (MT) modules across a computational domain of 270 × 300 km. The models were rigorously tested using field measurement data from three distinct periods: May 2004 (dry season calibration), September 2017 (first verification), and June 2024 (second verification). The results from the hydrodynamic model demonstrated high accuracy in predicting water levels, with the average Root Mean Square Error (RMSE) values ranging between 4.4% and 5.8%. The wave spectral model showed reliable performance, with the average RMSE values for wave height ranging from 15.1% to 18.0%. Furthermore, the Mud Transport module successfully captured suspended sediment concentrations (SSC), yielding average RMSE values between 26.0% and 32.1% after the fine-tuning of site-specific parameters such as critical shear stress for erosion and deposition. The study highlights the critical importance of utilizing site-specific sedimentological parameters to accurately predict morphological changes in highly dynamic estuarine environments. This validated model provides a robust tool for assessing coastal erosion and developing protection measures in regions that are increasingly vulnerable to climate change and human activities. Full article
(This article belongs to the Section Coastal Engineering)
Show Figures

Figure 1

20 pages, 2452 KB  
Article
Simulation Study on the Yield Reduction Risk of Late Sowing Winter Wheat and the Compensation Effect of Soil Moisture in the North China Plain
by Chen Cheng, Jintao Yan, Yue Lyu, Shunjie Tang, Shaoqing Chen, Xianguan Chen, Lu Wu and Zhihong Gong
Agriculture 2026, 16(2), 183; https://doi.org/10.3390/agriculture16020183 - 11 Jan 2026
Viewed by 125
Abstract
The North China Plain, a major grain production base in China, is facing the chronic threat of climate-change-induced delays in winter wheat sowing, with late sowing constraining yields by shortening the pre-winter growth period, and soil moisture at sowing potentially serving as a [...] Read more.
The North China Plain, a major grain production base in China, is facing the chronic threat of climate-change-induced delays in winter wheat sowing, with late sowing constraining yields by shortening the pre-winter growth period, and soil moisture at sowing potentially serving as a key factor to alleviate late-sowing losses. However, previous studies have mostly independently analyzed the effects of sowing time or water stress, and there is still a lack of systematic quantitative evaluation on how the interaction effects between the two determine long-term yield potential and risk. To fill this gap, this study aims to quantify, in the context of long-term climate change, the independent and interactive effects of different sowing dates and baseline soil moisture on the growth, yield, and production risk of winter wheat in the North China Plain, and to propose regionally adaptive management strategies. We selected three representative stations—Beijing (BJ), Wuqiao (WQ), and Zhengzhou (ZZ)—and, using long-term meteorological data (1981–2025) and field trial data, undertook local calibration and validation of the APSIM-Wheat model. Based on the validated model, we simulated 20 management scenarios comprising four sowing dates and five baseline soil moisture levels to examine the responses of phenology, aboveground dry matter, and yield, and further defined yield-reduction risk probability and expected yield loss indicators to assess long-term production risk. The results show that the APSIM-Wheat model can reliably simulate the winter wheat growing period (RMSE 4.6 days), yield (RMSE 727.1 kg ha−1), and soil moisture dynamics for the North China Plain. Long-term trend analysis indicates that cumulative rainfall and the number of rainy days within the conventional sowing window have risen at all three sites. Delayed sowing leads to substantial yield reductions; specifically, compared with S1, the S4 treatment yields about 6.9%, 16.2%, and 16.0% less at BJ, WQ, and ZZ, respectively. Moreover, increasing the baseline soil moisture can effectively compensate for the losses caused by late sowing, although the effect is regionally heterogeneous. In BJ and WQ, raising the baseline moisture to a high level (P85) continues to promote biomass accumulation, whereas in ZZ this promotion diminishes as growth progresses. The risk assessment indicates that increasing baseline moisture can notably reduce the probability of yield loss; for example, in BJ under S4, elevating the baseline moisture from P45 to P85 can reduce risk from 93.2% to 0%. However, in ZZ, even the optimal management (S1P85) still carries a 22.7% risk of yield reduction, and under late sowing (S4P85) the risk reaches 68.2%, suggesting that moisture management alone cannot fully overcome late-sowing constraints in this region. Optimizing baseline soil moisture management is an effective adaptive strategy to mitigate late-sowing losses in winter wheat across the North China Plain, but the optimal approach must be region-specific: for BJ and WQ, irrigation should raise baseline moisture to high levels (P75-P85); for ZZ, the key lies in ensuring baseline moisture crosses a critical threshold (P65) and should be coupled with cultivar selection and fertilizer management to stabilize yields. The study thus provides a scientific basis for regionally differentiated adaptation of winter wheat in the North China Plain to address climate change and achieve stable production gains. Full article
(This article belongs to the Section Agricultural Systems and Management)
Show Figures

Figure 1

41 pages, 22326 KB  
Article
Comparative Study on Multi-Objective Optimization Design Patterns for High-Rise Residences in Northwest China Based on Climate Differences
by Teng Shao, Kun Zhang, Yanna Fang, Adila Nijiati and Wuxing Zheng
Buildings 2026, 16(2), 298; https://doi.org/10.3390/buildings16020298 - 10 Jan 2026
Viewed by 68
Abstract
As China’s urbanization rate continues to rise, the scale of high-rise residences also grows, emerging as one of the main sources of building energy consumption and carbon emissions. It is therefore crucial to conduct energy-efficient design tailored to local climate and resource endowments [...] Read more.
As China’s urbanization rate continues to rise, the scale of high-rise residences also grows, emerging as one of the main sources of building energy consumption and carbon emissions. It is therefore crucial to conduct energy-efficient design tailored to local climate and resource endowments during the schematic design phase. At the same time, consideration should also be given to its impact on economic efficiency and environmental comfort, so as to achieve synergistic optimization of energy, carbon emissions, and economic and environmental performance. This paper focuses on typical high-rise residences in three cities across China’s northwestern region, each with distinct climatic conditions and solar energy resources. The optimization objectives include building energy consumption intensity (BEI), useful daylight illuminance (UDI), life cycle carbon emissions (LCCO2), and life cycle cost (LCC). The optimization variables include 13 design parameters: building orientation, window–wall ratio, horizontal overhang sun visor length, bedroom width and depth, insulation layer thickness of the non-transparent building envelope, and window type. First, a parametric model of a high-rise residence was created on the Rhino–Grasshopper platform. Through LHS sample extraction, performance simulation, and calculation, a sample dataset was generated that included objective values and design parameter values. Secondly, an SVM prediction model was constructed based on the sample data, which was used as the fitness function of MOPSO to construct a multi-objective optimization model for high-rise residences in different cities. Through iterative operations, the Pareto optimal solution set was obtained, followed by an analysis of the optimization potential of objective performances and the sensitivity of design parameters across different cities. Furthermore, the TOPSIS multi-attribute decision-making method was adopted to screen optimal design patterns for high-rise residences that meet different requirements. After verifying the objective balance of the comprehensive optimal design patterns, the influence of climate differences on objective values and design parameter values was explored, and parametric models of the final design schemes were generated. The results indicate that differences in climatic conditions and solar energy resources can affect the optimal objective values and design variable settings for typical high-rise residences. This paper proposes a building optimization design framework that integrates parametric design, machine learning, and multi-objective optimization, and that explores the impact of climate differences on optimization results, providing a reference for determining design parameters for climate-adaptive high-rise residences. Full article
(This article belongs to the Section Architectural Design, Urban Science, and Real Estate)
Show Figures

Figure 1

31 pages, 16955 KB  
Article
Uncertainty Assessment of the Impacts of Climate Change on Streamflow in the Iznik Lake Watershed, Türkiye
by Anıl Çalışkan Tezel, Adem Akpınar, Aslı Bor and Şebnem Elçi
Water 2026, 18(2), 187; https://doi.org/10.3390/w18020187 - 10 Jan 2026
Viewed by 199
Abstract
Study region: This study focused on the Iznik Lake Watershed in northwestern Türkiye. Study focus: Climate change is increasingly affecting water resources worldwide, raising concerns about future hydrological sustainability. This study investigates the impacts of climate change on river streamflow in [...] Read more.
Study region: This study focused on the Iznik Lake Watershed in northwestern Türkiye. Study focus: Climate change is increasingly affecting water resources worldwide, raising concerns about future hydrological sustainability. This study investigates the impacts of climate change on river streamflow in the Iznik Lake Watershed, a critical freshwater resource in northwestern Türkiye. To capture possible future conditions, downscaled climate projections were integrated with the SWAT+ hydrological model. Recognizing the inherent uncertainties in climate models and model parameterization, the analysis examined the relative influence of climate realizations, emission scenarios, and hydrological parameters on streamflow outputs. By quantifying both the magnitude of climate-induced changes and the contribution of different sources of uncertainty, the study provides insights that can guide decision-makers in future management planning and be useful for forthcoming modeling efforts. New hydrological insights for the region: Projections indicate wetter winters and springs but drier summers, with an overall warming trend in the study area. Based on simulations driven by four representative grid points, the results at the Karadere station, which represents the main inflow of the watershed, indicate modest changes in mean annual streamflow, ranging from −7% to +56% in the near future and from +19% to +54% in the far future. Maximum flows (Qmax) exhibit notable increases, ranging from +0.9% to +47% in the near future and from +21% to +63% in the far future, indicating a tendency toward higher peak discharges under future climate conditions. Low-flow conditions, especially in summer, exhibit the greatest relative variability due to near-zero baseline discharges. Relative change analysis revealed considerable differences in Karadere and Findicak sub-catchments, reflecting heterogeneous hydrological responses even within the same basin. Uncertainty analysis, conducted using both an ANOVA-based approach and Bayesian Model Averaging (BMA), highlighted the dominant influence of climate projections and potential evapotranspiration calculation methods, while land use change contributed negligibly to overall uncertainty. Full article
Show Figures

Figure 1

23 pages, 5183 KB  
Article
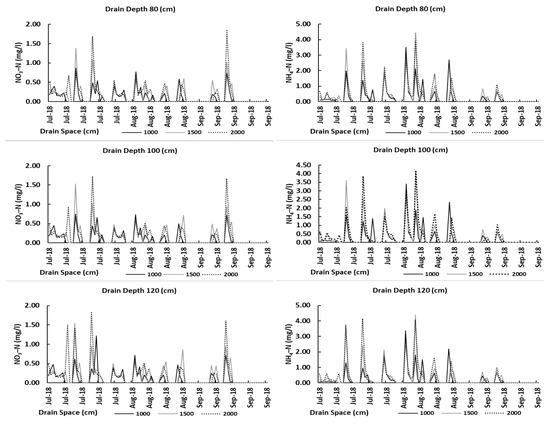
Optimizing Drainage Design to Reduce Nitrogen Losses in Rice Field Under Extreme Rainfall: Coupling Log-Pearson Type III and DRAINMOD-N II
by Anis Ur Rehman Khalil, Fazli Hameed, Junzeng Xu, Muhammad Mannan Afzal, Khalil Ahmad, Shah Fahad Rahim, Raheel Osman, Peng Chen and Zhenyang Liu
Water 2026, 18(2), 175; https://doi.org/10.3390/w18020175 - 8 Jan 2026
Viewed by 136
Abstract
The intensification of extreme rainfall events under changing climate regimes has heightened concerns over nutrient losses from paddy agriculture, particularly nitrogen (N), a primary contributor to non-point source pollution. Despite advances in drainage management, limited studies have integrated probabilistic rainfall modeling with N [...] Read more.
The intensification of extreme rainfall events under changing climate regimes has heightened concerns over nutrient losses from paddy agriculture, particularly nitrogen (N), a primary contributor to non-point source pollution. Despite advances in drainage management, limited studies have integrated probabilistic rainfall modeling with N transport simulation to evaluate mitigation strategies in rice-based systems. This study addresses this critical gap by coupling the Log-Pearson Type III (LP-III) distribution with the DRAINMOD-N II model to simulate N dynamics under varying rainfall exceedance probabilities and drainage design configurations in the Kunshan region of eastern China. The DRAINMOD-N II showed good performance, with R2 values of 0.70 and 0.69, AAD of 0.05 and 0.39 mg L−1, and RMSE of 0.14 and 0.91 mg L−1 for NO3-N and NH4+-N during calibration, and R2 values of 0.88 and 0.72, AAD of 0.06 and 0.21 mg L−1, and RMSE of 0.10 and 0.34 mg L−1 during validation. Using around 50 years of historical precipitation data, we developed intensity–duration–frequency (IDF) curves via LP-III to derive return-period rainfall scenarios (2%, 5%, 10%, and 20%). These scenarios were then input into a validated DRAINMOD-N II model to assess nitrate-nitrogen (NO3-N) and ammonium-nitrogen (NH4+-N) losses across multiple drain spacing (1000–2000 cm) and depth (80–120 cm) treatments. Results demonstrated that NO3-N and NH4+-N losses increase with rainfall intensity, with up to 57.9% and 45.1% greater leaching, respectively, under 2% exceedance events compared to 20%. However, wider drain spacing substantially mitigated N losses, reducing NO3-N and NH4+-N loads by up to 18% and 12%, respectively, across extreme rainfall scenarios. The integrated framework developed in this study highlights the efficacy of drainage design optimization in reducing nutrient losses while maintaining hydrological resilience under extreme weather conditions. Full article
(This article belongs to the Section Water, Agriculture and Aquaculture)
Show Figures

Figure 1

32 pages, 7480 KB  
Article
Immersive Content and Platform Development for Marine Emotional Resources: A Virtualization Usability Assessment and Environmental Sustainability Evaluation
by MyeongHee Han, Hak Soo Lim, Gi-Seong Jeon and Oh Joon Kwon
Sustainability 2026, 18(2), 593; https://doi.org/10.3390/su18020593 - 7 Jan 2026
Viewed by 113
Abstract
This study develops an immersive marine Information and Communication Technology (ICT) convergence framework designed to enhance coastal climate resilience by improving accessibility, visualization, and communication of scientific research on Dokdo (Dok Island) in the East Sea. High-resolution spatial datasets, multi-source marine observations, underwater [...] Read more.
This study develops an immersive marine Information and Communication Technology (ICT) convergence framework designed to enhance coastal climate resilience by improving accessibility, visualization, and communication of scientific research on Dokdo (Dok Island) in the East Sea. High-resolution spatial datasets, multi-source marine observations, underwater imagery, and validated research outputs were integrated into an interactive virtual-reality (VR) and web-based three-dimensional (3D) platform that translates complex geophysical and ecological information into intuitive experiential formats. A geospatially accurate 3D virtual model of Dokdo was constructed from maritime and underwater spatial data and coupled with immersive VR scenarios depicting sea-level variability, coastal morphology, wave exposure, and ecological characteristics. To evaluate practical usability and pro environmental public engagement, a three-phase field survey (n = 174) and a System Usability Scale (SUS) assessment (n = 42) were conducted. The results indicate high satisfaction (88.5%), strong willingness to re-engage (97.1%), and excellent usability (mean SUS score = 80.18), demonstrating the effectiveness of immersive content for environmental education and science communication crucial for achieving Sustainable Development Goal 14 targets. The proposed platform supports stakeholder engagement, affective learning, early climate risk perception, conservation planning, and multidisciplinary science–policy dialogue. In addition, it establishes a foundation for a digital twin system capable of integrating real-time ecological sensor data for environmental monitoring and scenario-based simulation. Overall, this integrated ICT-driven framework provides a transferable model for visualizing marine research outputs, enhancing public understanding of coastal change, and supporting sustainable and adaptive decision-making in small island and coastal regions. Full article
Show Figures

Figure 1

16 pages, 5630 KB  
Article
Alternative to Groundwater Drip Irrigation for Tomatoes in Cold and Arid Regions of North China by Rainwater Harvesting from Greenhouse Film
by Mengmeng Sun, Jizong Zhang, Jiayi Qin, Huibin Li and Lifeng Zhang
Agronomy 2026, 16(1), 132; https://doi.org/10.3390/agronomy16010132 - 5 Jan 2026
Viewed by 143
Abstract
Groundwater resources are scarce in the cold and arid regions of north China. Moreover, regional water resource replenishment without external sources remains difficult. This water deficit has become a major factor restricting the sustainable development of regional vegetable production. The effective utilization of [...] Read more.
Groundwater resources are scarce in the cold and arid regions of north China. Moreover, regional water resource replenishment without external sources remains difficult. This water deficit has become a major factor restricting the sustainable development of regional vegetable production. The effective utilization of rainwater harvesting for irrigated agricultural production is necessary to suppress droughts and floods in farming under the semi-arid climate of this area in order to both guarantee a stable supply of vegetables to the market in south and north China and promote the balanced development of regional agriculture–resource–environment integration. In this study, based on continuous simulation and Python modeling, we simulated and analyzed the water supply and production effects of irrigation with harvests and stored rainwater on tomatoes under different water supply scenarios from 1992 to 2023. We then designed and tested a water-saving and high-yield project for rainwater-irrigated greenhouses in 2024 and 2025 under natural rainfall conditions in northwestern Hebei Province based on the reference irrigation scheme. The water supply satisfaction rate, water demand satisfaction rate, and volume of water inventory of tomato fields under different water supply scenarios increased with the rainwater tank size, and the corresponding drought yield reduction rate of tomato decreased. Under the actual rainfall scenarios in 2024 and 2025, a 480 m2 greenhouse with a 14.4 m3 rainwater tank for producing tomatoes irrigated with rainwater drip from the greenhouse film collected 127.7 and 120.5 m3 of rainwater, respectively. The volume of the rainwater tank was exceeded 8.3 and 8.0 times, and up to 93.8% and 95.0% of the irrigated groundwater was replaced; additionally, the average yield of the small-fruited tomato ‘Beisi’ was 50,076.6 kg·hm−2 and 48,110.2 kg·hm−2, reaching 96.1% and 92.3% of the expected yield. Conclusion: The irrigation strategy based on the innovative “greenhouse film–rainwater harvesting–groundwater replenishment” model developed in this study has successfully achieved a high substitution rate of groundwater for greenhouse tomato production in the cold and arid regions of north China while ensuring stable yields by mitigating drought and waterlogging risks. This model not only provides a replicable technical framework for sustainable agricultural water resource management in semi-arid areas but also offers critical theoretical and practical support for addressing water scarcity and ensuring food security under global climate change. Full article
(This article belongs to the Section Water Use and Irrigation)
Show Figures

Figure 1

21 pages, 2168 KB  
Article
Hourly Regional Rainfall–Runoff Prediction Using Transformer with Water Conservation Constraints
by Guoxu Jing, Tianhua Chen, Qinghua Qiao and Hongping Zhang
Sustainability 2026, 18(1), 536; https://doi.org/10.3390/su18010536 - 5 Jan 2026
Viewed by 160
Abstract
This paper introduces MC-former, a Transformer-based rainfall-runoff model designed for hourly regional runoff prediction. Unlike the original Transformer, MC-former integrates a water-balance-guided constraint into the attention layer and enforces physical consistency through a penalty structure. Additionally, MC-former transforms the aggregated input embeddings into [...] Read more.
This paper introduces MC-former, a Transformer-based rainfall-runoff model designed for hourly regional runoff prediction. Unlike the original Transformer, MC-former integrates a water-balance-guided constraint into the attention layer and enforces physical consistency through a penalty structure. Additionally, MC-former transforms the aggregated input embeddings into the frequency domain via a Fourier transform, enabling more effective modeling of long-range dependencies in hourly runoff data. We tested MC-former on two tasks: regional rainfall-runoff simulation and runoff prediction for ungauged basins with similar hydrogeological units. In the first task, MC-former outperformed baseline models in prediction accuracy. In the second, it improved performance under ungauged conditions, with a notable increase in the Nash–Sutcliffe efficiency coefficient (NSE) in the HUC03 region, surpassing the baseline by nearly 0.08. Furthermore, adopting a strategy of training MC-former with hydrological data from climatically and geologically similar regions further enhanced its predictive accuracy, as demonstrated by consistently higher NSE and Pearson-r values. The MC-former model can support sustainable water resources management and enable transferable prediction of rainfall runoff in ungauged basins. Full article
(This article belongs to the Section Sustainable Water Management)
Show Figures

Figure 1

28 pages, 833 KB  
Review
Mechanisms and Integrated Pathways for Tropical Low-Carbon Healthy Building Envelopes: From Multi-Scale Coupling to Intelligent Optimization
by Qiankun Wang, Chao Tang and Ke Zhu
Appl. Sci. 2026, 16(1), 548; https://doi.org/10.3390/app16010548 - 5 Jan 2026
Viewed by 142
Abstract
Tropical buildings face the coupled effects of four-high environmental factors, which accelerate thermal–humidity degradation, increase operational energy demands, and diminish building health attributes. This paper systematically integrates global research advancements to establish a theoretical framework for Tropical Low-Carbon Healthy Building Enclosures (TLHBEs) by [...] Read more.
Tropical buildings face the coupled effects of four-high environmental factors, which accelerate thermal–humidity degradation, increase operational energy demands, and diminish building health attributes. This paper systematically integrates global research advancements to establish a theoretical framework for Tropical Low-Carbon Healthy Building Enclosures (TLHBEs) by linking materials, structures, and buildings across scales. It identifies three key scientific questions: (1) Establishing a multi-scale parametric design model that couples materials, structures, and architecture. (2) Elucidating experimental and simulated multi-scale equivalent relationships under the coupled effects of temperature, humidity, radiation, and salinity. (3) Design multi-objective optimization strategies balancing energy efficiency, comfort, indoor air quality, and carbon emissions. Based on this, a technical implementation pathway is proposed, integrating multi-scale unified parametric design, multi-physics testing and simulation, machine learning, and intelligent optimization technologies. This aims to achieve multi-scale parametric design, data–model fusion, interpretable decision-making, and robust performance prediction under tropical climatic conditions, providing a systematic technical solution to address the key scientific questions. This framework not only provides scientific guidance and engineering references for designing, retrofitting, and evaluating low-carbon healthy buildings in tropical regions but also aligns with China’s dual carbon goals and healthy building development strategies. Full article
(This article belongs to the Special Issue AI-Assisted Building Design and Environment Control)
Show Figures

Figure 1

18 pages, 3145 KB  
Article
Biased Aerosol Wet Deposition CAM5 Simulations: A Result of Misrepresented Convective-Stratiform Precipitation Partitioning When Benchmarked Against SPCAM
by Wenwen Xia, Yujun He and Bin Wang
Remote Sens. 2026, 18(1), 151; https://doi.org/10.3390/rs18010151 - 2 Jan 2026
Viewed by 203
Abstract
Wet deposition is a major sink for atmospheric aerosols, but its representation in conventional global climate models (GCMs) remains highly uncertain, partly as a result of the partitioning between convective and stratiform precipitation. Using the Super-parameterized Community Atmosphere Model (SPCAM) as a benchmark, [...] Read more.
Wet deposition is a major sink for atmospheric aerosols, but its representation in conventional global climate models (GCMs) remains highly uncertain, partly as a result of the partitioning between convective and stratiform precipitation. Using the Super-parameterized Community Atmosphere Model (SPCAM) as a benchmark, we evaluate the performance of the conventional CAM5 model in simulating precipitation and aerosol wet deposition. SPCAM explicitly resolves convection and provides a more physical representation of cloud and precipitation processes. Compared to SPCAM, CAM5 overestimates the frequency of light convective rainfall by up to 50% at rain rates from 1 to 20 mm day−1 and underestimates heavy convective precipitation, leading to a more than 90% contribution from convective precipitation to total rainfall in the tropics, far exceeding that in satellite observations. Accordingly, this bias results in an overestimation of aerosol wet removal by convective precipitation (74.2% in CAM5 versus 47.6% in SPCAM) and an underestimation by large-scale precipitation, as well as an overestimation of aerosol wet removal by light rain (84.0% in CAM5 versus 65.5% in SPCAM). As a result, CAM5 shows systematic biased wet deposition fluxes simulations across aerosol types and sizes compared to SPCAM, particularly in tropical regions. The misrepresentation of convective-stratiform rainfall partitioning in conventional GCMs like CAM5 significantly distorts aerosol lifetime and distribution. Improving convective parameterizations to better capture precipitation frequency distribution and partitioning is essential for credible aerosol-climate projections. Full article
Show Figures

Figure 1

34 pages, 11413 KB  
Article
Hydrodynamic-Ecological Synergistic Effects of Interleaved Jetties: A CFD Study Based on a 180° Bend
by Dandan Liu, Suiju Lv and Chunguang Li
Hydrology 2026, 13(1), 17; https://doi.org/10.3390/hydrology13010017 - 2 Jan 2026
Viewed by 336
Abstract
Under the dual pressures of global climate change and anthropogenic activities, enhancing the ecological functions of hydraulic structures has become a critical direction for sustainable watershed management. While traditional spur dike designs primarily focus on bank protection and flood control, current demands require [...] Read more.
Under the dual pressures of global climate change and anthropogenic activities, enhancing the ecological functions of hydraulic structures has become a critical direction for sustainable watershed management. While traditional spur dike designs primarily focus on bank protection and flood control, current demands require additional consideration of river ecosystem restoration. Numerical simulations were performed using the RNG k-ε turbulence model to solve the three-dimensional Reynolds-averaged Navier–Stokes equations, a formulation that enhances prediction accuracy for complex flows in curved channels, including separation and reattachment. Following a grid independence study and the application of standard wall functions for near-wall treatment, a comparative analysis was conducted to examine the flow characteristics and ecological effects within a 180° channel bend under three configurations: no spur dikes, a single-side arrangement, and a staggered arrangement of non-submerged, flow-aligned, rectangular thin-walled spur dikes. The results demonstrate that staggered spur dikes significantly reduce the lateral water surface gradient by concentrating the main flow, thereby balancing water levels along the concave and convex banks and suppressing lateral channel migration. Their synergistic flow-contracting effect enhances the kinetic energy of the main flow and generates multi-scale turbulent vortices, which not only increase sediment transport capacity in the main channel but also create diverse habitat conditions. Specifically, the bed shear stress in the central channel region reached 2.3 times the natural level. Flow separation near the dike heads generated a high-velocity zone, elevating velocity and turbulent kinetic energy by factors of 2.3 and 6.8, respectively. This shift promoted bed sediment coarsening and consequently increased scour resistance. In contrast, the low-shear wake zones behind the dikes, with weakened hydrodynamic forces, facilitated fine-sediment deposition and the growth of point bars. Furthermore, this study identifies a critical interface (observed at approximately 60% of the water depth) that serves as a key interface for vertical energy conversion. Below this height, turbulence intensity intermittently increases, whereas above it, energy dissipates markedly. This critical elevation, controlled by both the spur dike configuration and flow conditions, embodies the transition mechanism of kinetic energy from the mean flow to turbulent motions. These findings provide a theoretical basis and engineering reference for optimizing eco-friendly spur dike designs in meandering rivers. Full article
Show Figures

Figure 1

21 pages, 4758 KB  
Article
Explaining and Reducing Urban Heat Islands Through Machine Learning: Evidence from New York City
by Shengyao Liao and Zhewei Liu
Buildings 2026, 16(1), 186; https://doi.org/10.3390/buildings16010186 - 1 Jan 2026
Viewed by 215
Abstract
Urban heat islands (UHIs) have intensified in rapidly urbanizing regions like New York, exacerbating thermal discomfort, public health risks, and energy consumption. While previous research has highlighted various environmental and socioeconomic contributors, most existing studies lack interpretable, fine-scale models capable of quantifying the [...] Read more.
Urban heat islands (UHIs) have intensified in rapidly urbanizing regions like New York, exacerbating thermal discomfort, public health risks, and energy consumption. While previous research has highlighted various environmental and socioeconomic contributors, most existing studies lack interpretable, fine-scale models capable of quantifying the effects of specific drivers—limiting their utility for targeted planning. To address this challenge, we develop an interpretable machine learning framework using Random Forest and XGBOOST to predict land surface temperature across 1800+ census tracts in the New York metropolitan area, incorporating vegetation indices, water proximity, urban morphology, and socioeconomic factors. Both models performed strongly (mean R2 ≈ 0.90), with vegetation coverage and water proximity emerging as the most influential cooling factors, while built form features played supporting roles. Socioeconomic vulnerability indicators showed weak correlations with temperature, suggesting a relatively equitable thermal landscape. Optimization simulations further revealed that increasing vegetation to a threshold level could lower average surface temperatures by up to 6.38 °C, with additional but smaller gains achievable through adjustments to water access and urban form. These findings provide evidence-based guidance for climate-adaptive urban design and green infrastructure planning. More broadly, the study illustrates the potential of explainable machine learning to support data-driven environmental interventions in complex urban systems. Full article
(This article belongs to the Special Issue Advancing Urban Analytics and Sensing for Sustainable Cities)
Show Figures

Figure 1

18 pages, 57120 KB  
Article
A Deep Learning Approach to Detecting Atmospheric Rivers in the Arctic
by Sinéad McGetrick, Hua Lu, Grzegorz Muszynski, Oscar Martínez-Alvarado, Matthew Osman, Kyle Mattingly and Daniel Galea
Atmosphere 2026, 17(1), 61; https://doi.org/10.3390/atmos17010061 - 1 Jan 2026
Viewed by 285
Abstract
The Arctic is warming rapidly, with atmospheric rivers (ARs) amplifying ice melt, extreme precipitation, and abrupt temperature shifts. Detecting ARs in the Arctic remains challenging, because AR detection algorithms designed for mid-latitudes perform poorly in polar regions. This study introduces a regional deep [...] Read more.
The Arctic is warming rapidly, with atmospheric rivers (ARs) amplifying ice melt, extreme precipitation, and abrupt temperature shifts. Detecting ARs in the Arctic remains challenging, because AR detection algorithms designed for mid-latitudes perform poorly in polar regions. This study introduces a regional deep learning (DL) image segmentation model for Arctic AR detection, leveraging large-ensemble (LE) climate simulations. We analyse historical simulations from the Climate Change in the Arctic and North Atlantic Region and Impacts on the UK (CANARI) project, which provides a large, internally consistent sample of AR events at 6-hourly resolution and enables a close comparison of AR climatology across model and reanalysis data. A polar-specific, rule-based AR detection algorithm was adapted to label ARs in simulated data using multiple thresholds, providing training data for the segmentation model and supporting sensitivity analyses. U-Net-based models are trained on integrated water vapour transport, total column water vapour, and 850 hPa wind speed fields. We quantify how AR identification depends on threshold choices in the rule-based algorithm and show how these propagate to the U-Net-based models. This study represents the first use of the CANARI-LE for Arctic AR detection and introduces a unified framework combining rule-based and DL methods to evaluate model sensitivity and detection robustness. Our results demonstrate that DL segmentation achieves robust skill and eliminates the need for threshold tuning, providing a consistent and transferable framework for detecting Arctic ARs. This unified approach advances high-latitude moisture transport assessment and supports improved evaluation of Arctic extremes under climate change. Full article
(This article belongs to the Section Atmospheric Techniques, Instruments, and Modeling)
Show Figures

Figure 1

20 pages, 15128 KB  
Article
Study of the Maximum Pressures in an Evaporator of a Direct Expansion Heat Pump Using R744 Assisted by Solar Energy
by Jéssica C. C. M. Silva, Tiago F. Paulino, Luiz Machado and Willian M. Duarte
Processes 2026, 14(1), 103; https://doi.org/10.3390/pr14010103 - 27 Dec 2025
Viewed by 350
Abstract
Replacing electric water heaters with heat pumps significantly lowers energy consumption and greenhouse gas emissions. Among the refrigerants considered, carbon dioxide (CO2 or R744) has attracted considerable attention from refrigeration specialists. However, the high operating pressures of R744 can exceed safe limits [...] Read more.
Replacing electric water heaters with heat pumps significantly lowers energy consumption and greenhouse gas emissions. Among the refrigerants considered, carbon dioxide (CO2 or R744) has attracted considerable attention from refrigeration specialists. However, the high operating pressures of R744 can exceed safe limits when heat pump components are exposed to intense solar radiation and elevated temperatures. This study develops a mathematical model for the evaporator of a Direct Expansion Solar-Assisted Heat Pump (DX-SAHP) to analyze pressure behavior when the system is inactive but subjected to solar radiation. The model also examines how these pressures affect component integrity, accounting for the mass of R744 trapped inside the evaporator. Meteorological data from Brazil’s four regions, provided by INMET, were used in the simulations. Simulations were conducted using information from five different cities and up to 10 years of climate data. Results show that for a refrigerant mass fraction of 12%, the maximum pressure reached approximately 122 bar, compared to the manufacturer’s specified limit of 132 bar for the evaporator tubes. Full article
(This article belongs to the Special Issue Process Design and Performance Analysis of Heat Pumps)
Show Figures

Figure 1

35 pages, 1037 KB  
Review
A Structured Literature Review of the Application of Local Climate Zones (LCZ) in Urban Climate Modelling
by Tamás Gál, Niloufar Alinasab, Hawkar Ali Abdulhaq and Nóra Skarbit
Earth 2026, 7(1), 3; https://doi.org/10.3390/earth7010003 - 27 Dec 2025
Viewed by 552
Abstract
Local Climate Zones (LCZs) have become a foundational framework for urban climate modeling, yet their use across model families has not been systematically evaluated. Crucially, the LCZ framework itself has served as a developmental basis, revealing the progression of urban canopy parameterizations (UCP) [...] Read more.
Local Climate Zones (LCZs) have become a foundational framework for urban climate modeling, yet their use across model families has not been systematically evaluated. Crucially, the LCZ framework itself has served as a developmental basis, revealing the progression of urban canopy parameterizations (UCP) from early models to the diverse model families currently in use. This evolution is exemplified by systems like the Weather Research and Forecasting (WRF) model, where the application of LCZ has fundamentally shifted from an experimental add-on to a basic, built-in feature of its urban-modeling capabilities. This review synthesizes a decade of LCZ-based studies to clarify how LCZ improves surface representation, enhances comparability, and supports multiscale modeling workflows. It provides a comprehensive overview of peer-reviewed work up to the end of 2024, offering a baseline for understanding the field’s rapid recent growth. Using a structured evidence-mapping approach, we categorize applications into three maturity stages: testing and measurement, operational and planning-oriented applications, and expansions beyond urban climate to chemistry, hydrology, and Earth-system modeling. The assessment covers various iterations of mesoscale systems (WRF, SURFEX/TEB, COSMO), local-scale climatologies (MUKLIMO-3, UrbClim), microscale models (ENVI-met, CFD), and supporting tools including SUEWS, SOLWEIG, RayMan, VCWG, and CESM-CLMU. Results show clear divisions of labor: WRF and SURFEX/TEB anchor process-rich regional simulations; MUKLIMO-3 and UrbClim offer computationally efficient long-horizon or multi-city assessments; ENVI-met and CFD provide design-scale insight when parameterized with LCZ archetypes. Across all families, model skill is strongly constrained by LCZ data quality and by inconsistencies in LCZ to UCP translation. We conclude that advancing LCZ-based urban climate modeling will depend on improved LCZ products, standardized parameter libraries, and formalized cross-scale model couplings that allow existing tools to interoperate more reliably under growing urban-climate pressures. Full article
Show Figures

Figure 1

Back to TopTop