Sign in to use this feature.

Years

Between: -

Subjects

remove_circle_outline
remove_circle_outline

Journals

Article Types

Countries / Regions

Search Results (1)

Search Parameters:
Keywords = maptionnaire

Order results
Result details
Results per page
Select all
Export citation of selected articles as:
15 pages, 2487 KB  
Article
Participatory Mapping of Cultural Ecosystem Services in Madrid: Insights for Landscape Planning
by Víctor García-Díez, Marina García-Llorente and José A. González
Land 2020, 9(8), 244; https://doi.org/10.3390/land9080244 - 25 Jul 2020
Cited by 48 | Viewed by 8255
Abstract
Cultural ecosystem services are gaining increasing attention in the scientific literature, despite the conceptual and methodological difficulties associated with their assessment. We used a participatory GIS method to map and assess three cultural ecosystem services, namely, (a) outdoor recreation, (b) aesthetic enjoyment, and [...] Read more.
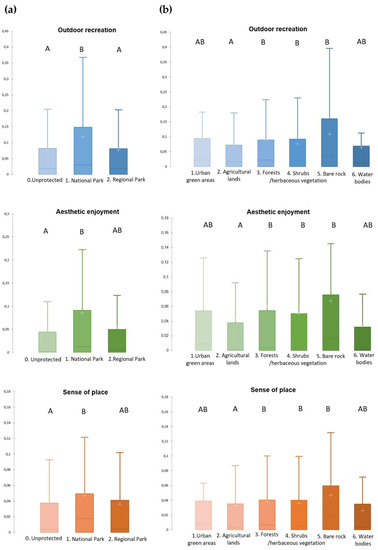
Cultural ecosystem services are gaining increasing attention in the scientific literature, despite the conceptual and methodological difficulties associated with their assessment. We used a participatory GIS method to map and assess three cultural ecosystem services, namely, (a) outdoor recreation, (b) aesthetic enjoyment, and (c) sense of place, in the Madrid region (Spain). The main goal of the study was to identify cultural ecosystem service hotspots in the region and to explore the relationships among the three ecosystem services mapped. We developed a Maptionnaire online questionnaire asking participants to locate places that they associate with these three ecosystem services and their main reasons for choosing those places on a map. We collected 580 complete questionnaires with 1710 location points (807 for outdoor recreation, 506 for aesthetic enjoyment and 397 for sense of place). We found that the three ecosystem services analysed were spatially correlated, with similar hotspots appearing across the region. Most of the identified hotspots were located in the northern part of the region, which is characterised by mountains and forests. Other hotspots appeared within the city of Madrid, highlighting the importance of urban green areas. Natural protected areas supplied significantly more cultural ecosystem services than non-protected areas. Among CORINE land-use types, forested areas, mountain shrubs and rocky landscapes were more relevant than arable lands for the supply of cultural ecosystem services. Our results highlight the utmost importance of including ecosystem services mapping within land-use planning and policy-making agendas to ensure the conservation of areas supplying cultural services that are critical for societal wellbeing. Full article
(This article belongs to the Section Landscape Ecology)
Show Figures

Figure 1

Back to TopTop