You are currently on the new version of our website. Access the old version .

14 Results Found

  • Article
  • Open Access
1 Citations
2,371 Views
11 Pages

Diagnosis of Latent Tuberculosis Infection in Hemodialysis Patients: TST versus T-SPOT.TB

  • Umut Devrim Binay,
  • Ali Veysel Kara,
  • Faruk Karakeçili and
  • Orçun Barkay

Hemodialysis (HD) patients should be screened for latent tuberculosis (TB) infection. We aimed to determine the frequency of latent TB infection in HD patients and to compare the effectiveness of the tests used. The files of 56 HD patients followed b...

  • Article
  • Open Access
6 Citations
2,081 Views
12 Pages

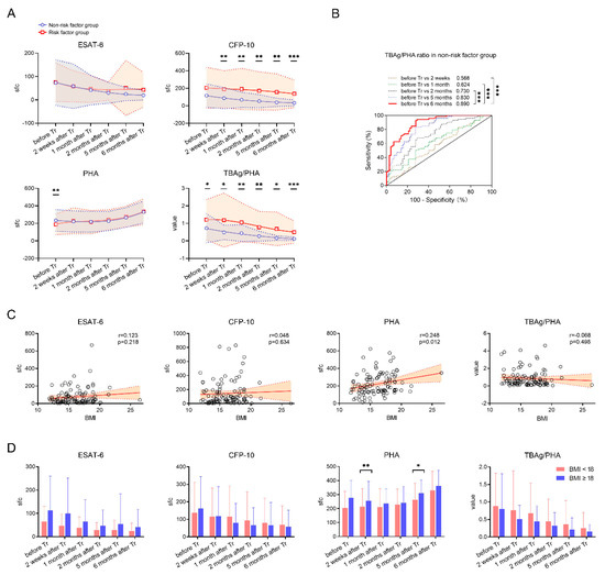
Using TBAg/PHA Ratio for Monitoring TB Treatment: A Prospective Multicenter Study

  • Xiaochen Wang,
  • Mingwu Li,
  • Guobiao Liu,
  • Xiaoying Wu,
  • Rong Wan,
  • Hongyan Hou,
  • Shiji Wu,
  • Ziyong Sun,
  • Haobin Kuang and
  • Feng Wang

29 June 2022

The way to monitor tuberculosis (TB) treatment is extremely lacking in clinical practice. The aim of the study is to assess the role of the TBAg/PHA ratio in the treatment monitoring of TB. TB patients were followed up for 6 months and serial T-SPOT....

  • Article
  • Open Access
3 Citations
1,871 Views
7 Pages

Use of interferon-gamma release assay and tuberculin skin test in diagnosing tuberculosis in Lithuanian adults: A comparative analysis

  • Laura Tamašauskienė,
  • Edita Hansted,
  • Astra Vitkauskienė,
  • Skaidrius Miliauskas,
  • Albinas Naudžiūnas and
  • Brigita Šitkauskienė

3 July 2017

Background and objective: Lithuania belongs to the group of countries with a high-incidence of tuberculosis (TB). Some scientific studies show that the interferon-gamma release assay is more accurate and correlates more highly with TB exposure as com...

  • Article
  • Open Access
3 Citations
1,197 Views
4 Pages

Research for practice: a new in vitro test for identification of tuberculosis infection

  • Edita Hansted,
  • Brigita Šitkauskienė,
  • Rimantas Kėvalas,
  • Andrea Tattersall and
  • Toni Day

Tuberculosis is one of the biggest global health problems. One-third of the world’s population (2 billion) is latently infected with tuberculosis. The tuberculin skin test is commonly used to diagnose tuberculosis infection. This test has poor specif...

  • Article
  • Open Access
5 Citations
845 Views
8 Pages

Interferon-Gamma Assay T-SPOT.TB in the Diagnostics of Latent Tuberculosis Infection

  • Dagmara Borkowska,
  • Zofia Zwolska,
  • Dorota Michałowska-Mitczuk,
  • Maria Korzeniewska-Koseła,
  • Anna Zabost,
  • Agnieszka Napiórkowska,
  • Monika Kozińska,
  • Sylwia Brzezińska and
  • Ewa Augustynowicz-Kopeć

15 June 2011

Introduction: Diagnostics of latent tuberculosis infection (LTBI) has been based on a century-old tuberculin skin test (TST). However, a positive reaction can result not only from infection with Mycobacterium tuberculosis, but also from BCG vaccinati...

  • Article
  • Open Access
12 Citations
8,984 Views
10 Pages

ELISPOT Refinement Using Spot Morphology for Assessing Host Responses to Tuberculosis

  • Laura S. Sibley,
  • Andrew D. White,
  • Alice Marriott,
  • Michael J. Dennis,
  • Ann Williams,
  • Philip D. Marsh and
  • Sally A. Sharpe

13 March 2012

Tuberculosis is a global health problem. The Mycobacterium bovis Bacille Calmette Guerin (BCG) vaccine has variable efficacy (0–80%) so there is a drive to develop novel vaccines. The cytokine, interferon gamma (IFNγ), is an essential component of th...

  • Article
  • Open Access
12 Citations
4,487 Views
11 Pages

Evaluating Latent Tuberculosis Infection Test Performance Using Latent Class Analysis in a TB and HIV Endemic Setting

  • Shahieda Adams,
  • Rodney Ehrlich,
  • Roslynn Baatjies,
  • Nandini Dendukuri,
  • Zhuoyu Wang and
  • Keertan Dheda

Background: Given the lack of a gold standard for latent tuberculosis infection (LTBI) and paucity of performance data from endemic settings, we compared test performance of the tuberculin skin test (TST) and two interferon-gamma-release assays (IGRA...

  • Brief Report
  • Open Access
1 Citations
2,285 Views
7 Pages

27 September 2023

Background and Objectives: This study aimed to evaluate the performance of a new chemiluminescent immunoassay-based tuberculosis (TB) interferon-gamma release assay (IGRA), AdvanSureI3 TB-IGRA (LG Chem Ltd., Seoul, Republic of Korea), for detecting l...

  • Article
  • Open Access
3 Citations
2,471 Views
9 Pages

Efficacy and Risk Factors of Interferon-Gamma Release Assays among HIV-Positive Individuals

  • Huifang Qin,
  • Yiting Wang,
  • Liwen Huang,
  • Yan Huang,
  • Jing Ye,
  • Guijin Liang,
  • Chongxing Zhou,
  • Dabin Liang,
  • Xiaoyan Liang and
  • Mei Lin

Latent tuberculosis is prevalent in HIV-infected people and has an impact on the progression of AIDS. The aim of this study is to match a more accurate IGRA method for the better detection of latent tuberculosis infection in HIV patients. All 2394 pa...

  • Article
  • Open Access
7 Citations
851 Views
9 Pages

Interferon Gamma Release Assays Based on M. tuberculosis-specific Antigens in Sarcoidosis Patients

  • Anna Kempisty,
  • Beata Białas-Chromiec,
  • Dagmara Borkowska and
  • Jan Kuś

10 March 2015

Introduction: This study is a part of the project on interferon gamma release assays performed in the group of untreated sarcoidosis patients formerly BCG vaccinated. The aim of the study was to assess the rate of positive commercial interferon γ rel...

  • Systematic Review
  • Open Access
3,398 Views
25 Pages

Interferon-Gamma Release Assays Versus Tuberculin Skin Test for Active Tuberculosis Diagnosis: A Systematic Review and Diagnostic Meta-Analysis

  • Muhammad Abubaker Tobaiqi,
  • Musleh Naser Alshamrani,
  • Shyamkumar Sriram,
  • Ahmad Bakur Mahmoud,
  • Hammad Ali Fadlalmola and
  • Muayad Albadrani

16 September 2025

Background: The world health goal of eliminating tuberculosis (TB) is heavily hinged on timely and efficient diagnosis and treatment. The interferon-γ release assays (I.G.R.A.s) can diagnose Mycobacterium tuberculosis infection and offer an alt...

  • Review
  • Open Access
607 Views
5 Pages

Nowe możliwości diagnostyki utajonego zakażenia prątkiem gruźlicy

  • Katarzyna Kruczak and
  • Ewa Niżankowska-Mogilnicka

31 October 2008

Dotychczas jednym z ważnych narzędzi diagnostycznych zakażenia prątkiem gruźlicy był skórny odczyn tuberkulinowy—jest on jednak mało swoisty i mało czuły. W niniejszym artykule omówiono nowe testy w diagnostyce utajonej infekcji gruźliczej oraz czynn...

  • Article
  • Open Access
27 Citations
5,385 Views
25 Pages

Protective Efficacy of Inhaled BCG Vaccination Against Ultra-Low Dose Aerosol M. tuberculosis Challenge in Rhesus Macaques

  • Andrew D. White,
  • Charlotte Sarfas,
  • Laura S. Sibley,
  • Jennie Gullick,
  • Simon Clark,
  • Emma Rayner,
  • Fergus Gleeson,
  • Martí Català,
  • Isabel Nogueira and
  • Sally A. Sharpe
  • + 3 authors

Ten million cases of tuberculosis (TB) were reported in 2018 with a further 1.5 million deaths attributed to the disease. Improved vaccination strategies are urgently required to tackle the ongoing global TB epidemic. In the absence of a validated co...

  • Article
  • Open Access
5 Citations
3,511 Views
14 Pages

Priming with Recombinant BCG Expressing HTI Enhances the Magnitude and Breadth of the T-Cell Immune Responses Elicited by MVA.HTI in BALB/c Mice

  • Narcís Saubi,
  • Athina Kilpeläinen,
  • Yoshiki Eto,
  • Chun-Wei Chen,
  • Àlex Olvera,
  • Tomáš Hanke,
  • Christian Brander and
  • Joan Joseph-Munné

13 November 2020

The use of Mycobacterium bovis bacillus Calmette–Guérin (BCG) as a live vaccine vehicle is a promising approach for HIV-1-specific T-cell induction. In this study, we used recombinant BCG expressing HIVACAT T-cell immunogen (HTI), BCG.HT...