Sign in to use this feature.

Years

Between: -

Subjects

remove_circle_outline
remove_circle_outline
remove_circle_outline
remove_circle_outline
remove_circle_outline
remove_circle_outline
remove_circle_outline
remove_circle_outline

Journals

Article Types

Countries / Regions

Search Results (203)

Search Parameters:
Keywords = AMESIM

Order results
Result details
Results per page
Select all
Export citation of selected articles as:
20 pages, 4448 KB  
Article
Research on the Dynamic Performance of a New Semi-Active Hydro-Pneumatic Suspension System Based on GA-MPC Strategy
by Ruochen Wang, Xiangwen Zhao, Renkai Ding and Jie Chen
World Electr. Veh. J. 2026, 17(2), 93; https://doi.org/10.3390/wevj17020093 - 13 Feb 2026
Viewed by 131
Abstract
To address the limited capability of conventional hydro-pneumatic suspensions in coordinated damping–stiffness regulation, this paper proposes a new semi-active hydro-pneumatic suspension (SAHPS) system based on a dual-valve shock absorber. A damping valve architecture composed of a spring check valve–solenoid proportional valve–spring check valve [...] Read more.
To address the limited capability of conventional hydro-pneumatic suspensions in coordinated damping–stiffness regulation, this paper proposes a new semi-active hydro-pneumatic suspension (SAHPS) system based on a dual-valve shock absorber. A damping valve architecture composed of a spring check valve–solenoid proportional valve–spring check valve is arranged between the rod and rodless chambers of the hydraulic cylinder, enabling coordinated adjustment of suspension damping and equivalent stiffness. Furthermore, a genetic algorithm optimization with model predictive control (GA-MPC) is designed to enhance the overall dynamic performance of the suspension while effectively reducing the operating frequency of the solenoid proportional valve. Finally, AMESim–Simulink co-simulations and hardware-in-the-loop (HIL) experiments are conducted under bumpy road excitation and Class C random road conditions. Under Class C random road conditions, compared with passive hydro-pneumatic suspension and semi-active suspension with conventional MPC, the proposed method achieves maximum reductions of 11%, 25%, and 12.9% in the root mean square values of body acceleration, suspension working space, and dynamic tire load, respectively. The discrepancies between experimental and simulation results remain below 7%, confirming the effectiveness of the proposed system and control strategy. This study provides a new technical guidance for low-frequency vibration suppression in vehicle suspension systems. Full article
Show Figures

Figure 1

20 pages, 3858 KB  
Article
Magnetorheological Safety Valve and Control Strategies for Hydraulic Supports
by Haodang Li, Qing Liu, Chenglong Wang, Kaifei Shi, Xinping Bao, Xinyu Song and Qifan Dong
Appl. Sci. 2026, 16(4), 1813; https://doi.org/10.3390/app16041813 - 12 Feb 2026
Viewed by 102
Abstract
With the continuous increase in coal mining depth, rock burst occurs frequently, which poses a serious threat to coal mine safety production. As the key equipment to ensure the stability of coal mine working face, the response characteristics of the hydraulic support safety [...] Read more.
With the continuous increase in coal mining depth, rock burst occurs frequently, which poses a serious threat to coal mine safety production. As the key equipment to ensure the stability of coal mine working face, the response characteristics of the hydraulic support safety valve are directly related to the life safety of coal miners and the protection of equipment. To address the problem that the traditional hydraulic support safety valve has a slow response and cannot release pressure rapidly, a new control strategy of a hydraulic support safety valve based on the magnetorheological effect is proposed. The fixed current control strategy and the fuzzy PID strategy based on grey predictive control are studied to improve the response speed and pressure relief efficiency of the safety valve. The effectiveness of the control strategy is verified by AMESim and Simulink co-simulation. The simulation results show that the new control strategy can significantly improve the dynamic response characteristics of the safety valve, shorten the response time and enhance the pressure relief performance. The superiority of the magnetorheological effect safety valve in improving the impact resistance of the coal mine hydraulic support is verified. This study provides a new technical path and theoretical basis for the optimal design of the safety valve of coal mine hydraulic support and the safety protection under rock burst. Full article
(This article belongs to the Section Mechanical Engineering)
Show Figures

Figure 1

18 pages, 4253 KB  
Article
Optimization of Transmission Parameters for a Tractor Equipped with HMCVT Based on Power Flow Analysis to Improve Efficiency
by Huadong Zhou, Zhixiong Lu and Zhun Cheng
Appl. Sci. 2026, 16(3), 1641; https://doi.org/10.3390/app16031641 - 6 Feb 2026
Viewed by 122
Abstract
In order to match the transmission parameters of HMCVT more reasonably, this paper takes a three-planetary-row parallel scheme as the research object, and proposes the concept of ‘hydraulic circuit power coefficient’, that is, the ratio of the power transmitted from the hydraulic circuit [...] Read more.
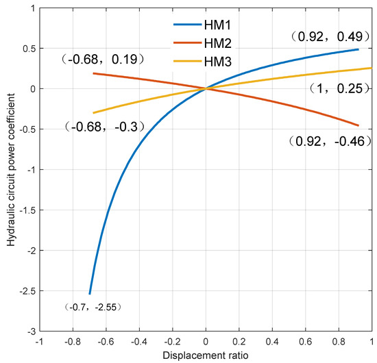
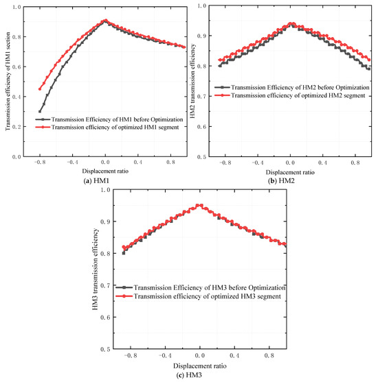
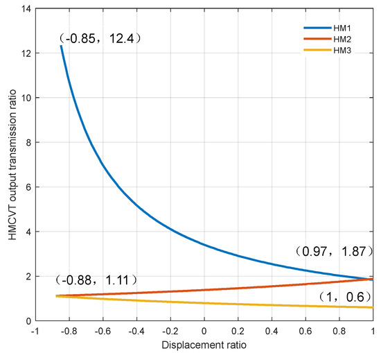
In order to match the transmission parameters of HMCVT more reasonably, this paper takes a three-planetary-row parallel scheme as the research object, and proposes the concept of ‘hydraulic circuit power coefficient’, that is, the ratio of the power transmitted from the hydraulic circuit to the confluence mechanism to the output power of the HMCVT system. Under the condition of satisfying the variable speed range, the proportion of the power transmitted by the hydraulic circuit with lower efficiency is reduced as much as possible. The optimization function with the minimum sum of the hydraulic circuit power coefficients as the objective is established, and the PSO algorithm with compression factor is used for iterative optimization. The objective function is optimal when iterating 85 times, after parameter optimization, the hydraulic power coefficients of the three sections are reduced to varying degrees. When the displacement ratio e = −0.7, the HM1 section is reduced by 1.07, a decrease of 42%, and the sum of the hydraulic power coefficients at the endpoints of the three working sections is reduced from 4.24 to 2.91, a decrease of 32%. The physical simulation model of a three-planetary parallel HMCVT is established by AMESim software, and the speed ratio characteristics obtained by simulation are consistent with the theoretical analysis results, which verifies the correctness of the model. The parameters before and after optimization are substituted into the model for a simulation test, and the transmission efficiency of three working sections is obtained. The simulation results show that the efficiency of the three working sections after parameter optimization is higher than that before optimization. When the displacement ratio e = −0.8, the transmission efficiency of the HM1 section increases from 0.3 to 0.45, which is increased by 50%. When the displacement ratio e = 0.98, the transmission efficiency of the HM2 section increases from 0.78 to 0.83, which is increased by 6.4%, and the optimization effect is obvious. Full article
Show Figures

Figure 1

23 pages, 3823 KB  
Article
IPSO-Optimized DE-MFAC Strategy for Suspension Servo Actuators Under Compound-Degradation Faults
by Hao Xiong, Dingxuan Zhao, Haiwu Zheng, Xuechun Wang, Ziqi Huang, Zeguang Hu, Zhuangding Zhou, Liqiang Zhao and Liangpeng Li
Actuators 2026, 15(2), 81; https://doi.org/10.3390/act15020081 - 30 Jan 2026
Viewed by 212
Abstract
The dynamic response accuracy of suspension servo actuators directly determines the vibration-reduction performance of active-suspension systems. However, during long-term service, the system is prone to the influence of compound-degradation faults, such as internal leakage and time delay, leading to a significant decline in [...] Read more.
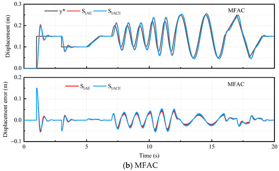
The dynamic response accuracy of suspension servo actuators directly determines the vibration-reduction performance of active-suspension systems. However, during long-term service, the system is prone to the influence of compound-degradation faults, such as internal leakage and time delay, leading to a significant decline in control performance. To address this issue, this paper proposes a collaborative control framework combining model-free adaptive control with a differential term of tracking error (DE-MFAC) and an improved particle swarm optimization (IPSO) algorithm. Firstly, to overcome the limitations of traditional model-free adaptive control (MFAC), a DE-MFAC strategy is constructed by implicitly handling the time-delay term and introducing the differential term of tracking error and dynamic weight factor into the performance index. Secondly, to enhance the parameter-tuning effect, the traditional particle swarm optimization (PSO) algorithm is improved (IPSO) by incorporating a dynamic inertia weight and an out-of-bounds random reflection mechanism, thereby strengthening the global optimization capability. On this basis, a suspension servo actuator system model incorporating internal leakage and time-delay faults is established based on the co-simulation platform of Simulink and AMESim, and the proposed method is validated. The simulation results show that, compared with the optimized traditional MFAC, the DE-MFAC tuned by IPSO exhibits superior position-tracking accuracy, faster response speed, and stronger overshoot-suppression capability under various compound-fault conditions. Further analysis indicates that the Integral of Absolute Cubic Error (IACE) function, due to its higher sensitivity to large deviations, can more effectively suppress overshoot and is suitable for engineering scenarios with strict requirements on dynamic performance. In addition, the optimization of control parameters using the IPSO algorithm can effectively compensate for the performance degradation caused by degradation faults, providing a feasible technical approach for extending the service life of actuators through adaptive adjustment. Full article
Show Figures

Figure 1

22 pages, 7265 KB  
Article
Dynamic Modeling of Multi-Stroke Radial Piston Motor with CFD-Informed Leakage Characterization
by Manhui Woo and Sangwon Ji
Actuators 2026, 15(1), 54; https://doi.org/10.3390/act15010054 - 13 Jan 2026
Viewed by 272
Abstract
Radial piston motors are expected to expand their applications in hydraulic drive systems due to their high torque density and mechanical robustness. However, its volumetric efficiency can be significantly affected by the multi-stroke operating characteristics and leakage occurring in the micro-clearances of the [...] Read more.
Radial piston motors are expected to expand their applications in hydraulic drive systems due to their high torque density and mechanical robustness. However, its volumetric efficiency can be significantly affected by the multi-stroke operating characteristics and leakage occurring in the micro-clearances of the valve plate. In this study, a detailed modeling procedure for a multi-stroke radial piston motor is proposed using the 1D system simulation software Amesim. In particular, the dynamic interaction between the ports and pistons inside the motor is formulated using mathematical function-based expressions, enabling a more precise representation of the driving behavior and torque generation process. Furthermore, to characterize the leakage flow occurring in the micro-clearance between the fluid distributor and cylinder housing, the commercial CFD software Simerics MP+ was employed to analyze the three-dimensional flow characteristics within the leakage gap. Based on these CFD results, a leakage-path function was constructed and implemented in the Amesim model. As a result, the developed model exhibited strong agreement with reference data from an actual motor in terms of overall operating performance, including volumetric and mechanical efficiencies while consistently reproducing the leakage behavior observed in the CFD analysis. The simulation approach presented in this study demonstrates the capability to reliably capture complex fluid–mechanical interactions at the system level, and it can serve as an effective tool for performance prediction and optimal design of hydraulic motors. Full article
Show Figures

Figure 1

16 pages, 3710 KB  
Article
Modeling and Analysis of the Hydraulic–Thermal Coupling System for the Barrier Fluid System in Subsea Boosting Pumps
by Weizheng An, Zhiling Chen, Liya Zhu, Ruizhi Li and Qiyue Zhang
Appl. Sci. 2026, 16(2), 691; https://doi.org/10.3390/app16020691 - 9 Jan 2026
Viewed by 341
Abstract
The barrier fluid system in subsea boosting pumps primarily serves to seal and cool the pumps, representing a critical auxiliary system in subsea oil and gas development. Throughout their entire service life, these pumps experience both steady-state and transient operating conditions, making the [...] Read more.
The barrier fluid system in subsea boosting pumps primarily serves to seal and cool the pumps, representing a critical auxiliary system in subsea oil and gas development. Throughout their entire service life, these pumps experience both steady-state and transient operating conditions, making the monitoring of key parameters in the barrier fluid system essential. However, existing sensor configurations are relatively limited, hindering comprehensive monitoring of various components of the system, which constrains performance evaluation and optimal design. To address the sealing and cooling requirements of subsea boosting pumps, this paper establishes a system-level simulation model of the barrier fluid system based on the AMESim 2021.1 platform. The model captures the flow and pressure relationships among different components and incorporates the pump’s cooling circuit to investigate the thermal management efficiency of the barrier fluid system. Furthermore, integrated control algorithms enable automatic valve operation. The model’s accuracy is validated against measured data, and it can be used for parametric optimization to improve design and enhance overall system performance. Based on the analysis results, the model can identify optimal parameters for the subsea boosting pump barrier fluid system, providing a theoretical foundation for preventing potential issues in subsea boosting operations. Full article
(This article belongs to the Section Applied Industrial Technologies)
Show Figures

Figure 1

16 pages, 1877 KB  
Article
Modeling the Impact of Ventilation Strategies on In-Cabin Air Quality and Energy Efficiency of the R744 Heat Pump
by Jaemin Choi, Jonghyuk Park, Seohyeon Ban and Kibum Kim
Energies 2026, 19(1), 119; https://doi.org/10.3390/en19010119 - 25 Dec 2025
Viewed by 332
Abstract
Conventional Heating, Ventilation, and Air Conditioning (HVAC) systems in electric vehicles significantly penalize the driving range due to high power consumption, particularly during heating operation. While R744 heat pump systems are gaining traction as a promising solution for addressing this limitation, their ventilation [...] Read more.
Conventional Heating, Ventilation, and Air Conditioning (HVAC) systems in electric vehicles significantly penalize the driving range due to high power consumption, particularly during heating operation. While R744 heat pump systems are gaining traction as a promising solution for addressing this limitation, their ventilation strategies pose a complex trade-off between energy consumption and in-vehicle air quality (IAQ). Specifically, the continuous use of recirculation mode to enhance energy efficiency can lead to the accumulation of occupant-exhaled CO2 conversely, introducing fresh air to dilute CO2 results in both an energy penalty and the infiltration of external pollutants. To analyze this complex trade-off under varying fresh-to-recirculated air ratios, this study developed a model of an automotive R744 HVAC system and IAQ considering CO2 and PM2.5 using the 1D simulation tool AMEsim. The system model was validated against experimental data from the literature, demonstrating high fidelity with overall relative errors consistently within 10%. The analysis of the ventilation strategy reveals a distinct IAQ trade-off: increased fresh air intake effectively diluted in-cabin CO2 concentrations but simultaneously increases the infiltration of external PM2.5. In terms of energy efficiency, during cooling mode, increased fresh air intake reduces the system COP from 1.77 to 1.54 and increases total battery consumption by up to 57%. Conversely, in heating mode, the increased fresh air intake enhances heat exchanger efficiency, leading to a rise in the COP by up to 9%. However, due to the higher overall thermal load, the total battery consumption still increases by up to 24%. Full article
(This article belongs to the Section E: Electric Vehicles)
Show Figures

Figure 1

13 pages, 2449 KB  
Article
Dynamic System Analysis of Vent and Recycle Configurations in Centrifugal Compressors
by Andrea Betti, Leonardo Cappelli, Andrea Fusi, Fulvio Palmieri and Luigi Tundo
Machines 2026, 14(1), 4; https://doi.org/10.3390/machines14010004 - 19 Dec 2025
Viewed by 324
Abstract
Centrifugal compressors are vital components in industrial applications, but they are prone to a disruptive phenomenon known as surge, which can lead to mechanical stress and temperature increase. Surge occurrence is influenced by machine design, plant layout, and geometry. Engineers often deploy long [...] Read more.
Centrifugal compressors are vital components in industrial applications, but they are prone to a disruptive phenomenon known as surge, which can lead to mechanical stress and temperature increase. Surge occurrence is influenced by machine design, plant layout, and geometry. Engineers often deploy long (cold) and short (hot) recycle valves to address this issue. To ensure surge prevention, a fluid dynamic model is indispensable. In this study, a 1D Computational Fluid Dynamics (1D-CFD) model was developed using Amesim for a two-section centrifugal compressor. The main objective was to investigate the impact of various parameters on surge occurrence and compare different plant layouts to determine the most suitable solution for the specific study case. Here, the focus is on the influence of vent valves over the plant performance. To achieve this comparison, transient simulations of emergency shutdown (ESD) operations were performed. This study contributes to a better understanding of how machine design and operational factors affect surge behavior. By systematically evaluating different plant layouts, we identified the most effective strategies for preventing surge and enhancing compressor performance. This research provides valuable insights for engineers and operators striving to optimize industrial processes and improve the reliability and efficiency of centrifugal compressor systems. Full article
(This article belongs to the Section Turbomachinery)
Show Figures

Figure 1

18 pages, 2222 KB  
Article
Model-Free Multi-Parameter Optimization Control for Electro-Hydraulic Servo Actuators with Time Delay Compensation
by Haiwu Zheng, Hao Xiong, Dingxuan Zhao, Yinying Ren, Shuoshuo Cao, Ziqi Huang, Zeguang Hu, Zhuangding Zhou, Liqiang Zhao and Liangpeng Li
Actuators 2025, 14(12), 617; https://doi.org/10.3390/act14120617 - 17 Dec 2025
Cited by 1 | Viewed by 388
Abstract
System time delays and nonlinear unmodeled dynamics severely constrain the control performance of the Active Suspension Electro-Hydraulic Servo Actuator (ASEHSA). To tackle these challenges, this paper presents a Dynamic Error Differentiation-based Model-Free Adaptive Control (DE-MFAC) strategy integrated with an Improved Particle Swarm Optimization [...] Read more.
System time delays and nonlinear unmodeled dynamics severely constrain the control performance of the Active Suspension Electro-Hydraulic Servo Actuator (ASEHSA). To tackle these challenges, this paper presents a Dynamic Error Differentiation-based Model-Free Adaptive Control (DE-MFAC) strategy integrated with an Improved Particle Swarm Optimization (IPSO) algorithm. Established under the Model-Free Adaptive Control (MFAC) framework, the DE-MFAC integrates a dynamic error differentiation mechanism and an implicit expression of time delays, thus removing the dependence on a precise system model. The traditional PSO algorithm is improved by incorporating an inertia weight adjustment strategy and a boundary reflection wall strategy, which effectively mitigates the issues of local optima and boundary stagnation. In AMESim 2021, a 1/4 vehicle active suspension electro-hydraulic actuation system model is constructed. To ensure an impartial evaluation of controller performance, the IPSO algorithm is employed to optimize the parameters of the PID, MFAC, and DE-MFAC controllers, respectively. Co-simulations with Simulink 2023b are conducted under two time delay scenarios using a composite square-sine wave signal as the reference. The results indicate that all three IPSO-optimized controllers realize effective position tracking. Among them, the DE-MFAC controller exhibits the optimal performance, demonstrating remarkable advantages in reducing tracking errors and balancing settling time with overshoot. These findings verify the effectiveness of the proposed control strategy, time delay compensation mechanism, and optimization algorithm. Future research will involve validation on a physical ASEHSA platform, further exploration of the method’s applicability and robustness under diverse operating conditions, and extension to other industrial systems with similar nonlinear time delay features. Full article
Show Figures

Figure 1

28 pages, 5033 KB  
Article
Simulation Method for Hydraulic Tensioning Systems in Tracked Vehicles Using Simulink–AMESim–RecurDyn
by Zian Ding, Shufa Sun, Hongxing Zhu, Zhiyong Yan and Yuan Zhou
Actuators 2025, 14(12), 615; https://doi.org/10.3390/act14120615 - 17 Dec 2025
Viewed by 702
Abstract
We developed a robust tri-platform co-simulation framework that integrates Simulink, AMESim, and RecurDyn to address the dynamic inconsistencies observed in traditional tensioning models for tracked vehicles. The proposed framework synchronizes nonlinear hydraulic dynamics, closed-loop control, and track–ground interactions within a unified time step, [...] Read more.
We developed a robust tri-platform co-simulation framework that integrates Simulink, AMESim, and RecurDyn to address the dynamic inconsistencies observed in traditional tensioning models for tracked vehicles. The proposed framework synchronizes nonlinear hydraulic dynamics, closed-loop control, and track–ground interactions within a unified time step, thereby ensuring causal consistency along the pressure–flow–force–displacement power chain. Five representative operating conditions—including steady tension tracking, random road excitation, steering/braking pulses, supply-pressure drops, and parameter perturbations—were analyzed. The results show that the tri-platform model reduces tracking error by up to 60%, shortens recovery time by 35%, and decreases energy consumption by 12–17% compared with dual-platform models. Both simulations and full-scale experiments confirm that strong cross-domain coupling enhances system stability, robustness, and energy consistency under variable supply pressure and parameter uncertainties. The framework provides a high-fidelity validation tool and a transferable modeling paradigm for electro-hydraulic actuation systems in tracked vehicles and other multi-domain machinery. Full article
(This article belongs to the Section Actuators for Surface Vehicles)
Show Figures

Figure 1

21 pages, 8620 KB  
Article
Hardware-in-the-Loop Simulation Research on Adaptive Control Strategy for Traveling Power of Hydrostatic Harvesters
by Jichen Xie, Wenxing Ma, Zhongshan Wang, Haoji Song and Xin Wang
Agriculture 2025, 15(24), 2594; https://doi.org/10.3390/agriculture15242594 - 15 Dec 2025
Viewed by 297
Abstract
Conventional harvesters usually depend on the operator’s expertise to manually manage the power allocation between the harvesting and traveling system, which results in problems like high subjectivity, labor intensity, and sensitivity to terrain. To overcome issues such as inadequate power and power mismatches [...] Read more.
Conventional harvesters usually depend on the operator’s expertise to manually manage the power allocation between the harvesting and traveling system, which results in problems like high subjectivity, labor intensity, and sensitivity to terrain. To overcome issues such as inadequate power and power mismatches between harvesting and traveling on gentle slopes, this study introduces a hydrostatic four-wheel-drive system featuring a single variable pump paired with two variable motors, improving the vehicle’s capability to handle complex terrains. Building on this system, an adaptive power allocation method for traveling is proposed. This method dynamically adjusts the power distribution between traveling and harvesting according to changing terrain conditions, giving priority to harvesting power while controlling vehicle and engine speeds to avoid engine stalls, thereby enhancing operational quality and efficiency. A model of the full vehicle system is created using Amesim 2410, and a comparation of adaptive control and constant speed control is modeled under a hardware-in-the-loop environment. The simulation results show that the proposed control approach effectively manages power distribution across different slopes and speeds, and avoids engine stalling, providing valuable technical guidance for power coordination control in harvesters working on gentle slopes. Full article
(This article belongs to the Section Agricultural Technology)
Show Figures

Figure 1

23 pages, 4161 KB  
Article
A Hybrid Leveling Control Strategy: Integrating a Dual-Layer Threshold and BP Neural Network for Intelligent Tracked Chassis in Complex Terrains
by Ming Yan, Jianxi Zhu, Pengfei Wang, Shaohui Yang and Xin Yang
Agriculture 2025, 15(24), 2534; https://doi.org/10.3390/agriculture15242534 - 7 Dec 2025
Viewed by 423
Abstract
To address the challenges of low automatic leveling efficiency and insufficient control precision for small tracked operation chassis navigating uneven terrain in hilly and mountainous areas, this study proposes a leveling control system that integrates a dual-layer threshold strategy with a BP neural [...] Read more.
To address the challenges of low automatic leveling efficiency and insufficient control precision for small tracked operation chassis navigating uneven terrain in hilly and mountainous areas, this study proposes a leveling control system that integrates a dual-layer threshold strategy with a BP neural network algorithm. The system is developed based on a four-point lifting leveling mechanism. Building upon this foundation, the conventional single-threshold angle error compensation control strategy was optimized to meet the specific leveling demands of chassis operating in such complex environments. A co-simulation platform was established using Matlab/Simulink-AMEsim for subsequent simulation and comparative analysis. Simulation results demonstrate that the proposed method achieves a 15.6% improvement in leveling response speed and a 21.3% enhancement in leveling accuracy compared to the classical single-threshold PID control algorithm. Static test results reveal a smooth leveling process devoid of significant overshoot or hysteresis, with the leveling error consistently maintained within 0.5°. Field tests further indicate that at a travel speed of 3 km/h under a 50 kg load, the platform stabilization time is reduced by an average of 1.3 s, while the leveling angle error remains within 0.5°. The proposed system not only improves leveling response speed and precision but also effectively enhances the overall leveling efficiency of the tracked chassis system. Full article
(This article belongs to the Section Agricultural Technology)
Show Figures

Figure 1

22 pages, 4302 KB  
Article
Vehicle Vibration Characteristics of an Additional-Flow-Path-Type Magnetorheological Damper Using a Frequency-Tuned Proportional-Integral Controller
by Seongjae Won, Sukju Kim, Chanyoung Jin and Jinwook Lee
Energies 2025, 18(23), 6324; https://doi.org/10.3390/en18236324 - 1 Dec 2025
Viewed by 358
Abstract
Magnetorheological (MR) dampers provide tunable, fast-response damping for semi-active suspension systems. However, their nonlinear flow behavior can limit stability and energy efficiency under broadband road excitation. This study proposes an additional-flow-path-type MR damper integrated with a frequency-domain proportional-integral (PI) controller that captures the [...] Read more.
Magnetorheological (MR) dampers provide tunable, fast-response damping for semi-active suspension systems. However, their nonlinear flow behavior can limit stability and energy efficiency under broadband road excitation. This study proposes an additional-flow-path-type MR damper integrated with a frequency-domain proportional-integral (PI) controller that captures the dominant spectral characteristics of ISO-standard road profiles. A quarter-car simulation model developed in AMESim was used to assess the dynamic performance of the integrated system. The controller gains were tuned using representative excitation frequencies obtained through spectral analysis, allowing the damping force to be shaped in accordance with the primary vibration bandwidth. This approach combines structural modifications that enhance internal flow linearity with a control strategy aligned with the statistical nature of real road disturbances. Simulation results show that the proposed method reduces vertical acceleration of the sprung mass while simultaneously lowering the average damping-force demand compared with a passive suspension. These findings indicate that the combined structural control framework improves both ride comfort and mechanical energy dissipation efficiency. Full article
Show Figures

Figure 1

22 pages, 6895 KB  
Article
A Study on Fractional-Order Adaptive Super-Twisting Sliding Mode Control for an Excavator Working Device
by Shunjie Zhou, Zhong Liu, Mengyi Li, Deqing Liu, Chongyu Wang and Hao Li
Appl. Sci. 2025, 15(23), 12581; https://doi.org/10.3390/app152312581 - 27 Nov 2025
Cited by 2 | Viewed by 484
Abstract
This study proposes a fractional-order adaptive super-twisting sliding mode control (FO-ASTSMC) strategy to mitigate the difficulties arising from nonlinearity, uncertain parameters, and substantial external interferences during path-following operations of a hydraulic excavator working device. The developed approach merges a high-order sliding mode differentiator [...] Read more.
This study proposes a fractional-order adaptive super-twisting sliding mode control (FO-ASTSMC) strategy to mitigate the difficulties arising from nonlinearity, uncertain parameters, and substantial external interferences during path-following operations of a hydraulic excavator working device. The developed approach merges a high-order sliding mode differentiator aimed at state observation, a fresh fractional-order sliding manifold that embeds a memory component for bolstering transient performance and equilibrium accuracy, together with an adaptable super-twisting coefficient. This adaptive gain eliminates the requirement for prior awareness of disturbance limits, all the while mitigating chattering effects and bolstering system robustness. Utilizing Lyapunov theory, the finite-time stability of the overall closed-loop framework has been thoroughly demonstrated. For controller verification, joint simulations employing AMESim and Simulink platforms were performed, pitting its efficacy against both terminal sliding mode control (TSMC) and adaptive fuzzy sliding mode control (AFSMC). In nominal scenarios, the FO-ASTSMC method yielded the lowest root mean square error (RMSE) along with maximum error (MAXE) across boom, arm, and bucket articulations, registering mean decreases of 60% in RMSE and 58.2% in MAXE when benchmarked against AFSMC, alongside 41.8% in RMSE and 43.6% in MAXE versus TSMC. Facing sudden variations in loading, it exhibited enhanced robustness, achieving reductions of 64.2% in RMSE and 54.5% in MAXE beyond AFSMC, as well as 39% in RMSE and 36.5% in MAXE in comparison to TSMC. Outcomes from the simulations affirm that the suggested controller exhibits elevated precision, formidable robustness, and good applicability to actuators, thereby highlighting its considerable promise for implementation in actual engineering scenarios. Full article
Show Figures

Figure 1

26 pages, 8977 KB  
Article
Research on Modeling, Simulation and Performance Improvement of Mechanical Feedback Digital Hydraulic Drive System for Three-Degree-of-Freedom Crane
by Shenyang Zhang, Zhaoqiang Wang and Cunyue Yan
Machines 2025, 13(12), 1092; https://doi.org/10.3390/machines13121092 - 26 Nov 2025
Viewed by 438
Abstract
To mitigate the inadequate performance of traditional hydraulic systems, mechanical feedback-based digital hydraulic technology is applied to a 3-degree-of-freedom (3-DOF) crane. Digital hydraulic cylinders drive the pitch mechanism, and digital hydraulic motors power the rotary and winch mechanisms. By analyzing the working principles [...] Read more.
To mitigate the inadequate performance of traditional hydraulic systems, mechanical feedback-based digital hydraulic technology is applied to a 3-degree-of-freedom (3-DOF) crane. Digital hydraulic cylinders drive the pitch mechanism, and digital hydraulic motors power the rotary and winch mechanisms. By analyzing the working principles of digital hydraulic cylinders and motors, transfer functions of the 3-DOF actuators are derived. AMESim simulation models are established for each actuator, with model validity verified. Based on these models, simulation analysis of the digital hydraulic system is performed to examine key influencing factors: motor speed, motor subdivision, system flow rate, digital valve opening, and throttle groove shape. System characteristics are obtained, and corresponding optimization schemes are proposed. After optimization, the comprehensive performance of the digital hydraulic system is improved by 1.29%. This study provides theoretical support for the engineering application of digital hydraulic systems in cranes, clarifies their operational specifications and optimization pathways, and exhibits substantial engineering application value. Full article
(This article belongs to the Section Automation and Control Systems)
Show Figures

Figure 1

Back to TopTop