A Study on Fractional-Order Adaptive Super-Twisting Sliding Mode Control for an Excavator Working Device
Abstract
1. Introduction
2. System Model
2.1. Kinematics Modeling of the Excavator
2.2. Hydraulic System Modeling
2.2.1. Valve-Controlled Asymmetric Hydraulic Cylinder
2.2.2. Other Stage
2.2.3. Overall Mathematical Model of the System
3. Controller Design
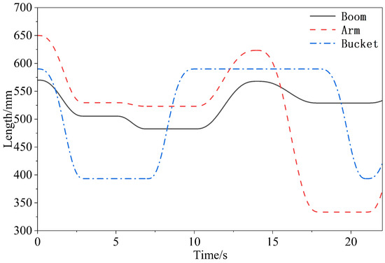
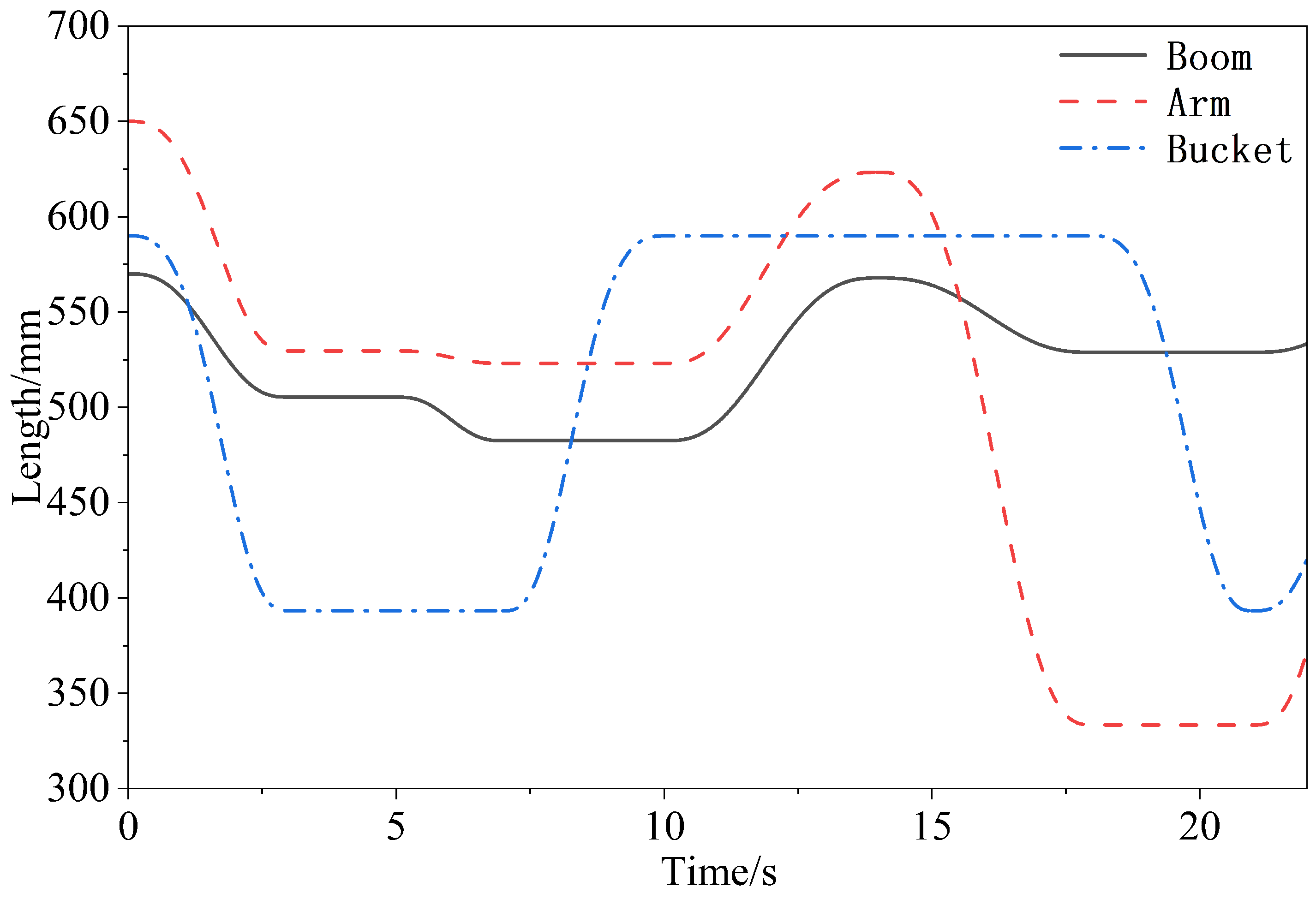
3.1. Reference Trajectory Planning
3.2. Design of a Fractional-Order Adaptive Super-Twisting Sliding Mode Controller
3.2.1. State Estimation Using a High-Order Sliding Mode Differentiator
3.2.2. Design of a Fractional-Order Sliding Surface
3.2.3. Design of an Adaptive Super-Twisting Control Law
3.3. System Stability Analysis
3.3.1. Problem Formulation and Sliding Mode Dynamics Derivation
3.3.2. Lyapunov Stability Proof
4. Co-Simulation Results and Analysis
4.1. Simulation Platform and Parameter Settings
4.2. Discussion and Results
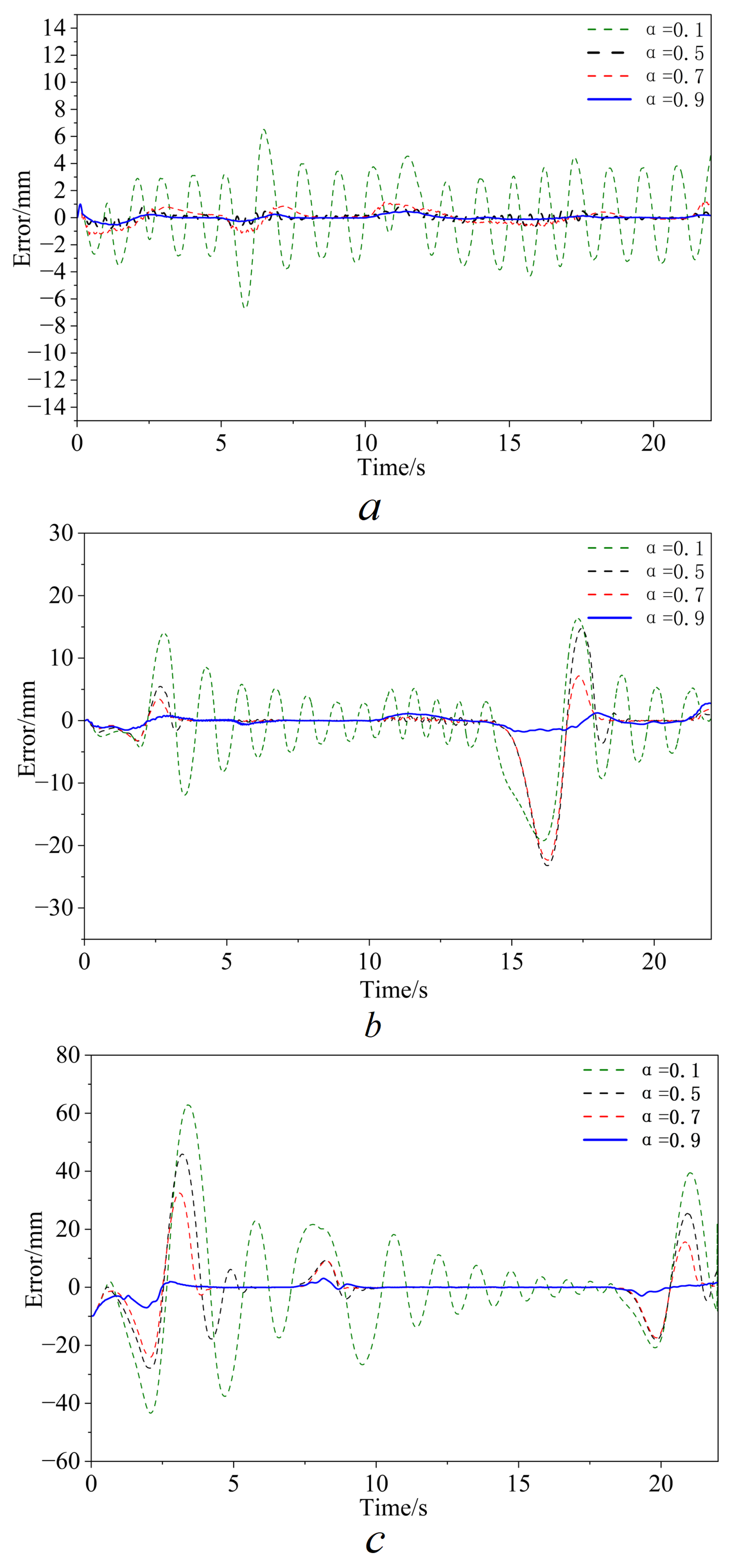
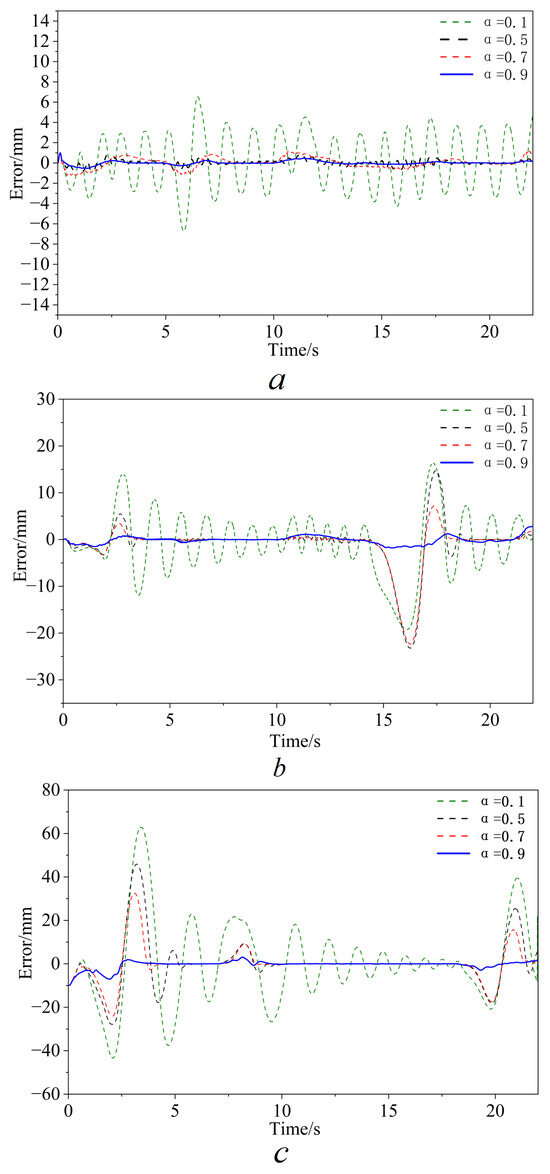
4.2.1. Finding the Right FO Value by Tracking the Error
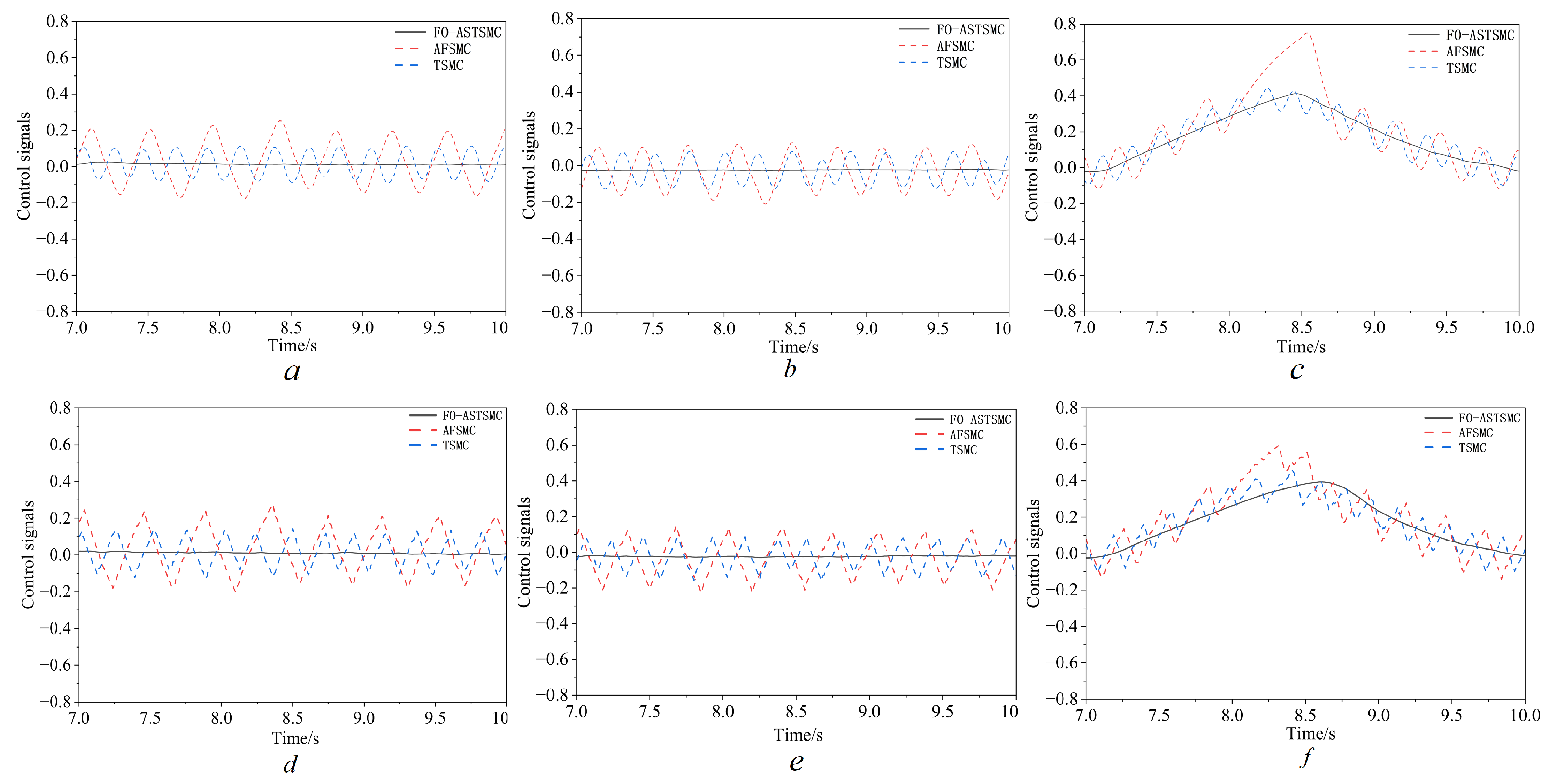
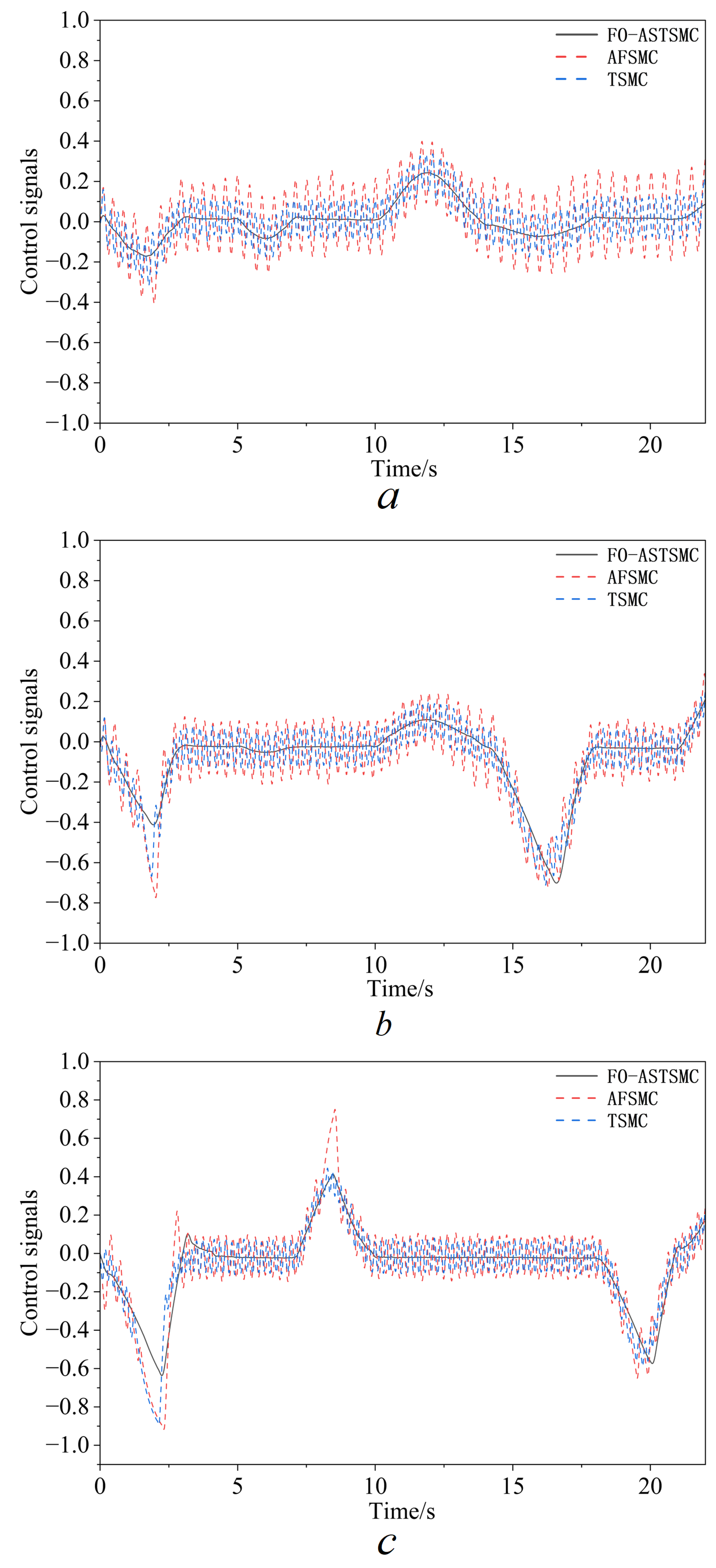
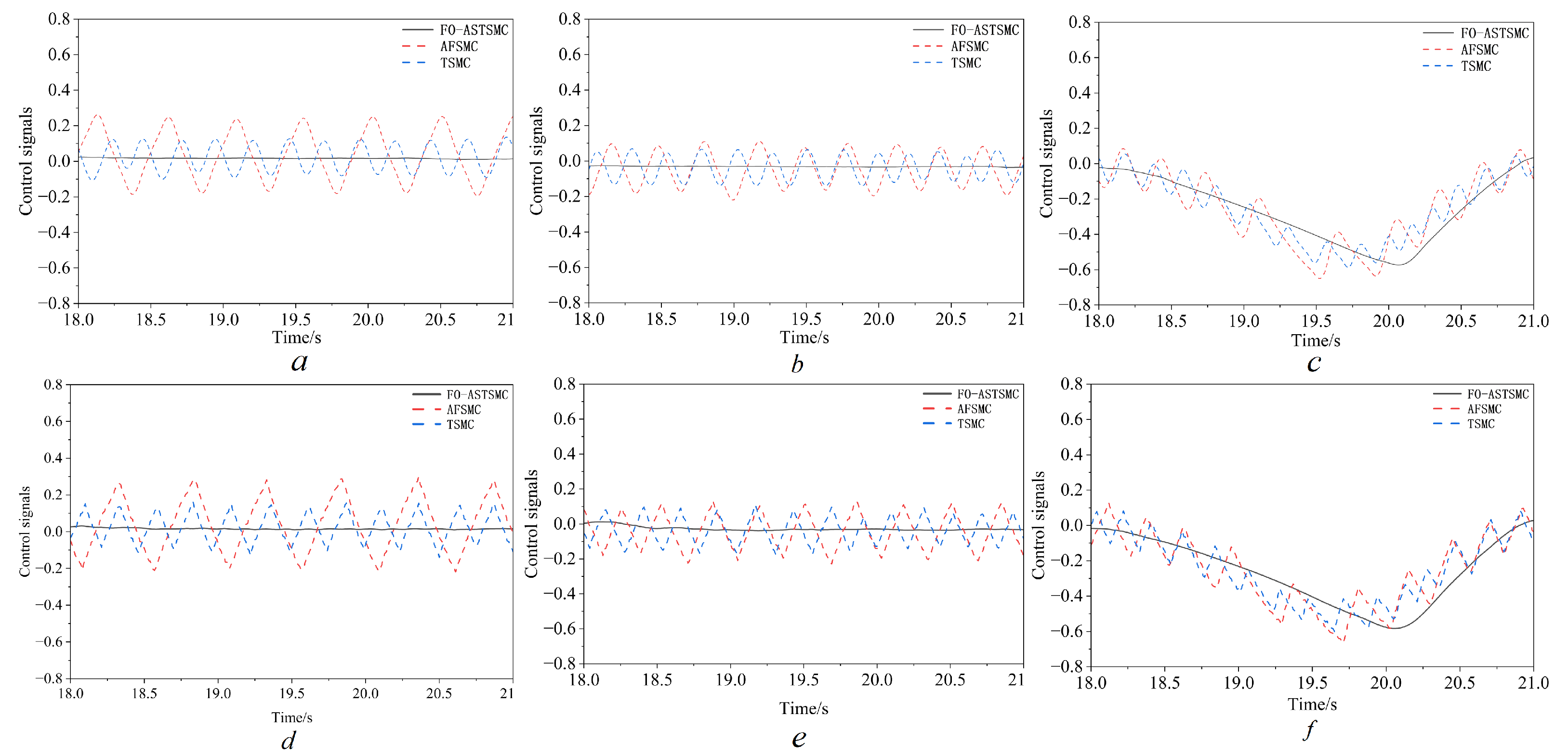
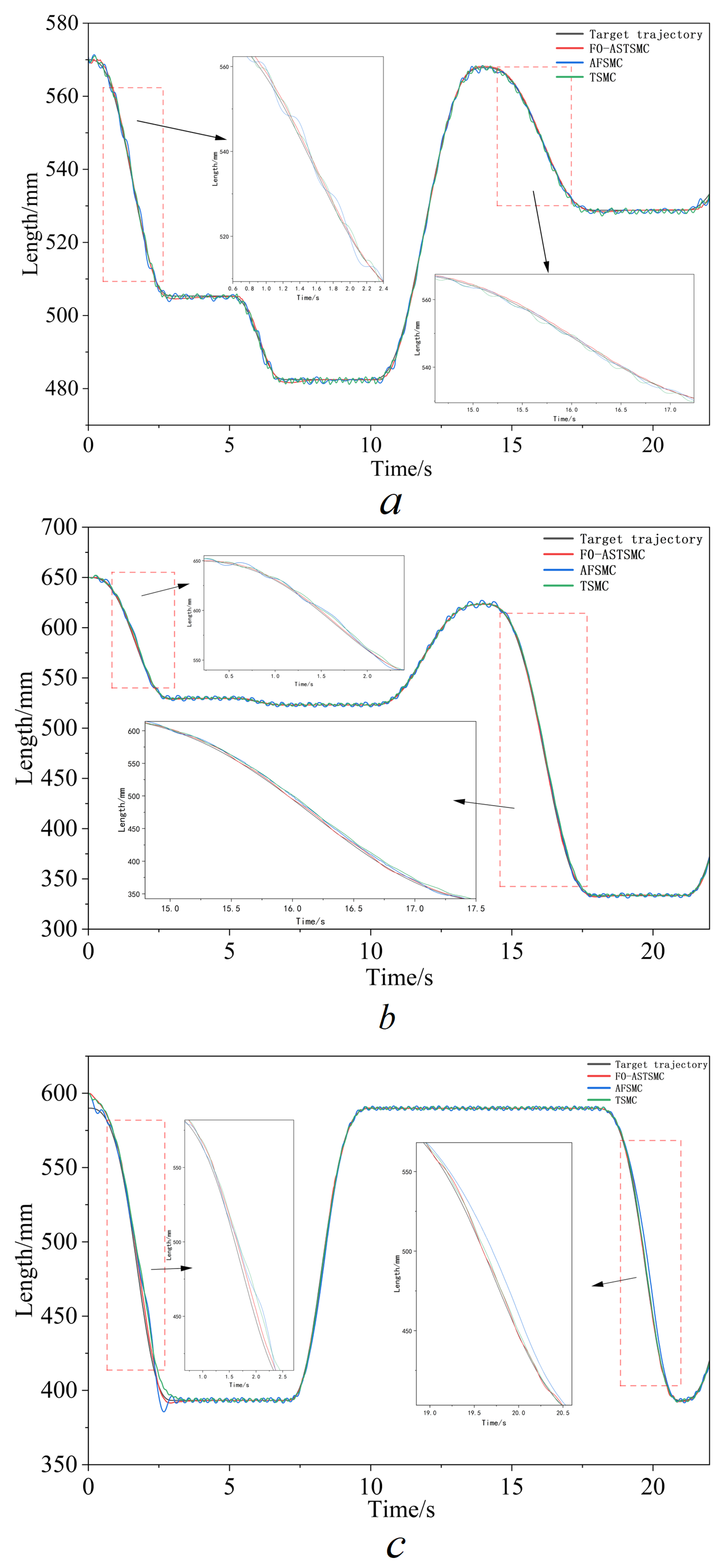
4.2.2. Scenario S1: Performance Comparison Under Nominal Operating Conditions
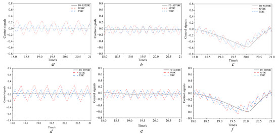
4.2.3. Scenario S2: Robustness Comparison Under Sudden Load Disturbance
4.3. Practical Implementation Considerations
5. Conclusions
Author Contributions
Funding
Institutional Review Board Statement
Informed Consent Statement
Data Availability Statement
Acknowledgments
Conflicts of Interest
References
- Zhang, L.; Zhao, J.; Long, P. An autonomous excavator system for material loading tasks. Sci. Robot. 2021, 6, eabc3164. [Google Scholar] [CrossRef] [PubMed]
- Asama, H. Remote-Controlled Technology and Robot Technology for Accident Response and Decommissioning of Fukushima Nuclear Power Plant. Insights Concern. Fukushima Daiichi Nucl. Accid. 2021, 2, 199–208. [Google Scholar]
- Eraliev, O.M.U.; Lee, K.H.; Shin, D.Y. Sensing, perception, decision, planning and action of autonomous excavators. Autom. Constr. 2022, 141, 104428. [Google Scholar] [CrossRef]
- Feng, H.; Jiang, J.; Chang, X. Adaptive sliding mode controller based on fuzzy rules for a typical excavator electro-hydraulic position control system. Eng. Appl. Artif. Intell. 2021, 126, 107008. [Google Scholar] [CrossRef]
- Fu, T.; Zhang, T.; Lv, Y.; Song, X.; Li, G.; Yue, H. Digital Twin-Based Excavation Trajectory Generation of Uncrewed Excavators for Autonomous Mining. Autom. Constr. 2023, 149, 10482. [Google Scholar] [CrossRef]
- Wang, J.; Zhang, H.; Hao, P.; Deng, H. Observer-Based Approximate Affine Nonlinear Model Predictive Controller for Hydraulic Robotic Excavators with Constraints. Processes 2023, 11, 1918. [Google Scholar] [CrossRef]
- Phan, V.D.; Ahn, K.K. Fault-tolerant control for an electro-hydraulic servo system with sensor fault compensation and disturbance rejection. Nonlinear Dyn. 2023, 111, 10131–10146. [Google Scholar] [CrossRef]
- Li, J.; Li, W.; Du, X. Research on the characteristics of electro-hydraulic position servo system of RBF neural network under fuzzy rules. Sci. Rep. 2024, 14, 15332. [Google Scholar] [CrossRef]
- Yuan, X.; Wang, W.; Zhu, X. Theoretical model of dynamic bulk modulus for aerated hydraulic fluid. Chin. J. Mech. Eng. 2022, 35, 121. [Google Scholar] [CrossRef]
- Jose, J.T.; Das, J.; Mishra, S.K.; Wrat, G. Early detection and classification of internal leakage in boom actuator of mobile hydraulic machines using SVM. Eng. Appl. Artif. Intell. 2021, 106, 104492. [Google Scholar] [CrossRef]
- Zhang, T.; Yan, G.; Liu, X. Nonlinear flow modeling of electro hydrostatic pump unit based on Gauss Newton iterative method for high performance control. Sci. Rep. 2024, 14, 21750. [Google Scholar] [CrossRef]
- Zhou, R.; Meng, L.; Yuan, X. Experimental Test and Feasibility Analysis of Hydraulic Cylinder Position Control Based on Pressure Detection. Processes 2022, 10, 1167. [Google Scholar] [CrossRef]
- Chen, M.; Si, L.; Dai, J. A variable structure robust control strategy for automatic drilling tools loading and unloading system. Control Eng. Pract. 2025, 161, 106340. [Google Scholar] [CrossRef]
- Yu, S.; Song, X.; Sun, Z. On-line prediction of resistant force during soil–tool interaction. J. Dyn. Syst. Meas. Control 2023, 145, 081004. [Google Scholar] [CrossRef]
- Sun, Y.; Wang, Y.; Wang, L. Digging Performance and Stress Characteristic of the Excavator Bucket. Appl. Sci. 2023, 13, 11507. [Google Scholar] [CrossRef]
- Won, D.; Kim, W.; Tomizuka, M. Nonlinear Control With High-Gain Extended State Observer for Position Tracking of Electro-Hydraulic Systems. IEEE/ASME Trans. Mechatron. 2020, 25, 2610–2621. [Google Scholar] [CrossRef]
- He, Z.; Jiang, B.; Sun, C. Electro-hydraulic position servo system based on sliding mode active disturbance rejection compound control. Proc. Inst. Mech. Eng. Part C J. Mech. Eng. Sci. 2022, 236, 2089–2098. [Google Scholar] [CrossRef]
- He, J.; Su, S.; Wang, H. Online PID tuning strategy for hydraulic servo control systems via sac-based deep reinforcement learning. Machines 2023, 11, 593. [Google Scholar] [CrossRef]
- Wu, L.; Liu, J.; Vazquez, S. Sliding mode control in power converters and drives: A review. IEEE/CAA J. Autom. Sin. 2022, 9, 392–406. [Google Scholar] [CrossRef]
- Mousavi, Y.; Bevan, G.; Küçükdemiral, I.B. Sliding mode control of wind energy conversion systems: Trends and applications. Renew. Sustain. Energy Rev. 2022, 167, 112734. [Google Scholar] [CrossRef]
- Sun, C.; Dong, X.; Wang, M.; Li, J. Sliding Mode Control of Electro-Hydraulic Position Servo System Based on Adaptive Reaching Law. Appl. Sci. 2022, 12, 6897. [Google Scholar] [CrossRef]
- Soon, C.C.; Ghazali, R.; Ghani, M.F. Chattering analysis of an optimized sliding mode controller for an electro-hydraulic actuator system. J. Robot. Control 2022, 3, 160–165. [Google Scholar] [CrossRef]
- Xu, R.; Wang, Z.; Zhou, M. A robust fractional-order sliding mode control technique for piezoelectric nanopositioning stages in trajectory-tracking applications. Sens. Actuators A Phys. 2023, 363, 114711. [Google Scholar] [CrossRef]
- Dong, H.; Yang, X.; Kuang, Z. On practical terminal sliding-mode control for systems with or without mismatched uncertainty. J. Frankl. Inst. 2022, 359, 8084–8106. [Google Scholar] [CrossRef]
- Hou, Q.; Ding, S. Finite-time extended state observer-based super-twisting sliding mode controller for PMSM drives with inertia identification. IEEE Trans. Transp. Electrif. 2022, 8, 1918–1929. [Google Scholar] [CrossRef]
- Choi, A.; Kim, H.; Hu, M. Super-Twisting Sliding Mode Control with SVR Disturbance Observer for PMSM Speed Regulation. Appl. Sci. 2022, 12, 10749. [Google Scholar] [CrossRef]
- Lao, L.; Chen, P. Adaptive sliding mode control of an electro-hydraulic actuator with a Kalman extended state observer. IEEE Access 2024, 12, 8970–8982. [Google Scholar] [CrossRef]
- Tho, N.H.; Phuong, V.N.Y.; Danh, L.T. Development of an Adaptive Fuzzy Sliding Mode Controller of an Electrohydraulic Actuator Based on a Virtual Prototyping. Actuators 2023, 12, 258. [Google Scholar] [CrossRef]
- Tao, X.; Liu, K.; Yang, J. Sliding Mode Backstepping Control of Excavator Bucket Trajectory Synovial in Particle Swarm Optimization Algorithm and Neural Network Disturbance Observer. Actuators 2025, 14, 9. [Google Scholar] [CrossRef]
- Guo, X.; Wang, H.; Liu, H. Adaptive Sliding Mode Control with Disturbance Estimation for Hydraulic Actuator Systems and Application to Rock Drilling Jumbo. Appl. Math. Model. 2024, 136, 115637. [Google Scholar] [CrossRef]
- Deng, W.; Yao, J.; Wang, Y. Output feedback backstepping control of hydraulic actuators with valve dynamics compensation. Mech. Syst. Signal Process. 2021, 158, 107769. [Google Scholar] [CrossRef]
- Ding, H.; Wang, Y.; Zhang, H. Robust output feedback position control of hydraulic support with neural network compensator. Actuators 2023, 12, 263. [Google Scholar] [CrossRef]
- Ruderman, M. Extended fractional-order jeffreys model of viscoelastic hydraulic cylinder. J. Dyn. Syst. Meas. Control 2021, 143, 074502. [Google Scholar] [CrossRef]
- Hui, J.; Yuan, J. Chattering-free higher order sliding mode controller with a high-gain observer for the load following of a pressurized water reactor. Energy 2021, 223, 120066. [Google Scholar] [CrossRef]
- Zhu, P.; Chen, Y.; Li, M.; Zhang, P.; Wan, Z. Fractional-order sliding mode position tracking control for servo system with disturbance. ISA Trans. 2020, 105, 269–277. [Google Scholar] [CrossRef]
- Yang, X.; Yao, J.; Deng, W. Output feedback adaptive super-twisting sliding mode control of hydraulic systems with disturbance compensation. ISA Trans. 2021, 109, 175–185. [Google Scholar] [CrossRef]
- Wan, Z.; Fu, Y.; Yue, L.; Liu, C. Adaptive super-twisting sliding mode control of hydraulic servo actuator with nonlinear features and modeling uncertainties. Stroj. Vestn.–J. Mech. Eng. 2022, 68, 771–780. [Google Scholar] [CrossRef]
- Xie, Y.; Zhang, X.; Meng, W.; Zheng, S.; Jiang, L.; Meng, J.; Wang, S. Coupled fractional-order sliding mode control and obstacle avoidance of a four-wheeled steerable mobile robot. ISA Trans. 2021, 108, 380–391. [Google Scholar] [CrossRef]
- Jing, C.; Zhang, H.; Liu, Y.; Zhang, J. Adaptive super-twisting sliding mode control for robot manipulators with input saturation. Sensors 2024, 24, 2783. [Google Scholar] [CrossRef]
- Zhang, S.; Li, Z.; Wang, H.N.; Xiong, T. Fractional Order Sliding Mode Control Based on Single Parameter Adaptive Law for Nano-Positioning of Piezoelectric Actuators. IET Control Theory Appl. 2021, 15, 1422–1437. [Google Scholar] [CrossRef]
- Barros, L.C.D.; Lopes, M.M.; Pedro, F.S. The memory effect on fractional calculus: An application in the spread of COVID-19. Comput. Appl. Math. 2021, 40, 72. [Google Scholar] [CrossRef]
- Yang, X.; Chen, W.; Yin, C. Fractional-order sliding-mode control and radial basis function neural network adaptive damping passivity-based control with application to modular multilevel converters. Energies 2024, 17, 580. [Google Scholar] [CrossRef]
- Razzaghian, A.; Kardehi, M.R.; Pariz, N. Disturbance observer-based fractional-order nonlinear sliding mode control for a class of fractional-order systems with matched and mismatched disturbances. Int. J. Dyn. Control 2021, 9, 671–678. [Google Scholar] [CrossRef]
- Jin, Z.; Gong, M.; Zhao, D.; Luo, S.; Li, G.; Li, J.; Zhang, Y.; Liu, W. Mining Trajectory Planning of Unmanned Excavator Based on Machine Learning. Mathematics 2024, 12, 1298. [Google Scholar] [CrossRef]
- Zhang, Y.; Sun, Z.; Sun, Q. Time-jerk optimal trajectory planning of hydraulic robotic excavator. Adv. Mech. Eng. 2021, 13, 16878140211034611. [Google Scholar] [CrossRef]
- Ding, H.; Sang, Z.; Li, Z. Trajectory planning and control of large robotic excavators based on inclination-displacement mapping. Autom. Constr. 2024, 158, 105209. [Google Scholar] [CrossRef]
- Wetzlinger, M.; Reichhartinger, M.; Horn, M. Higher order sliding mode inspired nonlinear discrete-time observer. Syst. Control Lett. 2021, 155, 104992. [Google Scholar] [CrossRef]
- Filo, G. Artificial intelligence methods in hydraulic system design. Energies 2023, 16, 3320. [Google Scholar] [CrossRef]
- Yavuz, M.; Öztürk, M.; Yaskıran, B. Sliding Mode Controller of Fractional Order for a Robot Manipulator Control. In Proceedings of the International Conference on Computational Modeling and Sustainable Energy, Gandhinagar, India, 15–17 December 2023; pp. 193–213. [Google Scholar]
- Rodríguez-Mata, A.E.; Medrano-Hermosillo, J.A.; López-Pérez, P.A. A novel fractional high-order sliding mode control for enhanced bioreactor performance. Fractal Fract. 2024, 8, 607. [Google Scholar] [CrossRef]
- Chaudhary, K.S.; Kumar, N. Fractional Order Fast Terminal Sliding Mode Control Scheme for Tracking Control of Robot Manipulators. ISA Trans. 2023, 142, 57–69. [Google Scholar] [CrossRef]











| Parameter | Boom | Arm | Bucket | Unit (Symbol) | |
|---|---|---|---|---|---|
| Mechanical | Mass | 150 | 70 | 50 | kg |
| Mechanical | Length | 2.6 | 1.4 | 0.634 | m |
| Hydraulic Cylinder | Piston Diameter | 80 | 65 | 67 | mm |
| Hydraulic Cylinder | Piston Rod Diameter | 40 | 37 | 37 | mm |
| Hydraulic Cylinder | Stroke Length | 0.59 | 0.67 | 0.62 | m |
| Parameter | Value | Unit (Symbol) |
|---|---|---|
| Supply Pressure | 150 | bar |
| Hydraulic Oil Density | 850 | kg/m3 |
| Bulk Modulus | pa | |
| Pump Displacement | 25 | cc/rev |
| Motor Speed | 1500 | rpm |
| Dead Zone | 0.01 | |
| Natural Frequency | 80 | Hz |
| Damping Ratio | 0.8 |
| Boom | ||||
|---|---|---|---|---|
| RMSE | 2.726 | 0.588 | 0.653 | 0.528 |
| MAXE | 6.762 | 1.240 | 1.375 | 1.245 |
| Arm | ||||
| RMSE | 6.887 | 8.001 | 8.828 | 0.896 |
| MAXE | 18.697 | 23.201 | 22.834 | 3.392 |
| Bucket | ||||
| RMSE | 19.881 | 11.352 | 7.899 | 1.971 |
| MAXE | 62.861 | 45.905 | 32.518 | 9.94 |
| Controller | Performance Index | Boom | Arm | Bucket | Improvement FO-ASTSMC vs. AFSMC |
|---|---|---|---|---|---|
| FO-ASTSMC | RMSE | 0.528 | 0.896 | 1.971 | // |
| FO-ASTSMC | MAXE | 1.245 | 3.392 | 9.940 | // |
| AFSMC | RMSE | 1.808 | 2.204 | 4.317 | |
| AFSMC | MAXE | 4.365 | 6.796 | 21.16 | Improvement FO-ASTSMC vs. TSMC |
| TSMC | RMSE | 0.739 | 2.114 | 3.255 | // |
| TSMC | MAXE | 1.888 | 7.509 | 17.08 | // |
| Controller | Performance Index | Boom | Arm | Bucket | Improvement FO-ASTSMC vs. AFSMC |
|---|---|---|---|---|---|
| FO-ASTSMC | RMSE | 0.368 | 1.116 | 2.781 | // |
| FO-ASTSMC | MAXE | 1.157 | 3.852 | 16.76 | // |
| AFSMC | RMSE | 1.816 | 2.657 | 6.201 | |
| AFSMC | MAXE | 4.270 | 10.53 | 23.05 | Improvement FO-ASTSMC vs. TSMC |
| TSMC | RMSE | 0.812 | 2.026 | 3.493 | // |
| TSMC | MAXE | 2.172 | 7.083 | 20.31 | // |
| Scenario | Controller | RMSE avg (mm ) | MAXE avg (mm) | RMSE vs. AFSMC (%) | RMSE vs. TSMC (%) | MAXE vs. AFSMC (%) | MAXE vs. TSMC (%) |
|---|---|---|---|---|---|---|---|
| S1 | FO-ASTSMC | 1.132 | 4.859 | 59.2 | 44.4 | 54.9 | 44.9 |
| S1 | AFSMC | 2.776 | 10.773 | ||||
| S1 | TSMC | 2.036 | 8.826 | ||||
| S2 | FO-ASTSMC | 1.422 | 7.256 | 60 | 32.6 | 42.5 | 26.4 |
| S2 | AFSMC | 3.558 | 12.615 | ||||
| S2 | TSMC | 2.11 | 9.856 |
Disclaimer/Publisher’s Note: The statements, opinions and data contained in all publications are solely those of the individual author(s) and contributor(s) and not of MDPI and/or the editor(s). MDPI and/or the editor(s) disclaim responsibility for any injury to people or property resulting from any ideas, methods, instructions or products referred to in the content. |
© 2025 by the authors. Licensee MDPI, Basel, Switzerland. This article is an open access article distributed under the terms and conditions of the Creative Commons Attribution (CC BY) license (https://creativecommons.org/licenses/by/4.0/).
Share and Cite
Zhou, S.; Liu, Z.; Li, M.; Liu, D.; Wang, C.; Li, H. A Study on Fractional-Order Adaptive Super-Twisting Sliding Mode Control for an Excavator Working Device. Appl. Sci. 2025, 15, 12581. https://doi.org/10.3390/app152312581
Zhou S, Liu Z, Li M, Liu D, Wang C, Li H. A Study on Fractional-Order Adaptive Super-Twisting Sliding Mode Control for an Excavator Working Device. Applied Sciences. 2025; 15(23):12581. https://doi.org/10.3390/app152312581
Chicago/Turabian StyleZhou, Shunjie, Zhong Liu, Mengyi Li, Deqing Liu, Chongyu Wang, and Hao Li. 2025. "A Study on Fractional-Order Adaptive Super-Twisting Sliding Mode Control for an Excavator Working Device" Applied Sciences 15, no. 23: 12581. https://doi.org/10.3390/app152312581
APA StyleZhou, S., Liu, Z., Li, M., Liu, D., Wang, C., & Li, H. (2025). A Study on Fractional-Order Adaptive Super-Twisting Sliding Mode Control for an Excavator Working Device. Applied Sciences, 15(23), 12581. https://doi.org/10.3390/app152312581
