- 4.9Impact Factor
- 9.0CiteScore
- 18 daysTime to First Decision
Interactions Between Microbes and Hosts: Physiology, Pathology and Treatment
This special issue belongs to the section “Molecular Microbiology“.
Special Issue Information
Dear Colleagues,
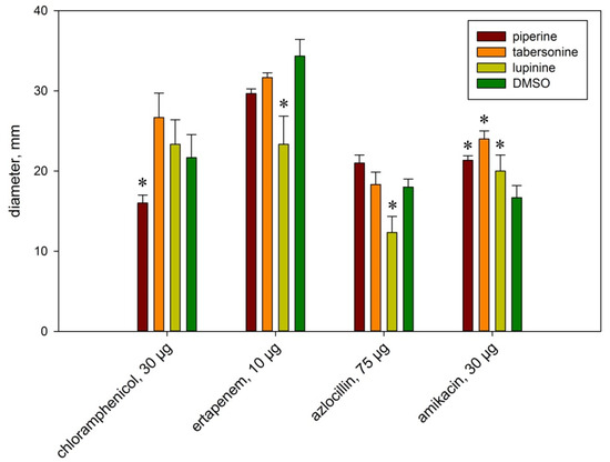
Studies have shown that microbial virulence factors and bias molecules play important roles in host cell invasion, colonization and immune escape. These factors not only affect the pathogenicity of microbes, they also determine the host's immune response.
This Special Issue aims to explore new advances in microbial pathogenicity and treatment, understand the interactions between microbes and hosts and provide theoretical support for the development of new treatment strategies. We invite researchers to publish reviews and research articles exploring the mechanisms of microbial infection, the topics of interest include but are not limited to:
- Interactions between microbes and hosts;
- Virulence factors and their effects;
- Bacterial and viral infection mechanisms and effects;
- Antimicrobial drugs: antimicrobial peptides, antibiotics, antivirals and other drugs.
Dr. Mariusz Cycoń
Guest Editor
Manuscript Submission Information
Manuscripts should be submitted online at www.mdpi.com by registering and logging in to this website. Once you are registered, click here to go to the submission form. Manuscripts can be submitted until the deadline. All submissions that pass pre-check are peer-reviewed. Accepted papers will be published continuously in the journal (as soon as accepted) and will be listed together on the special issue website. Research articles, review articles as well as short communications are invited. For planned papers, a title and short abstract (about 250 words) can be sent to the Editorial Office for assessment.
Submitted manuscripts should not have been published previously, nor be under consideration for publication elsewhere (except conference proceedings papers). All manuscripts are thoroughly refereed through a single-blind peer-review process. A guide for authors and other relevant information for submission of manuscripts is available on the Instructions for Authors page. International Journal of Molecular Sciences is an international peer-reviewed open access semimonthly journal published by MDPI.
Please visit the Instructions for Authors page before submitting a manuscript. There is an Article Processing Charge (APC) for publication in this open access journal. For details about the APC please see here. Submitted papers should be well formatted and use good English. Authors may use MDPI's English editing service prior to publication or during author revisions.
Keywords
- microbial infection
- microbes–host interaction
- virulence factors
- molecular and cell biology
- antimicrobial therapy
- antibiotics
- antimicrobial peptides
- resistance mechanisms
Benefits of Publishing in a Special Issue
- Ease of navigation: Grouping papers by topic helps scholars navigate broad scope journals more efficiently.
- Greater discoverability: Special Issues support the reach and impact of scientific research. Articles in Special Issues are more discoverable and cited more frequently.
- Expansion of research network: Special Issues facilitate connections among authors, fostering scientific collaborations.
- External promotion: Articles in Special Issues are often promoted through the journal's social media, increasing their visibility.
- Reprint: MDPI Books provides the opportunity to republish successful Special Issues in book format, both online and in print.

