Journal Description
Geotechnics
Geotechnics
is an international, peer-reviewed, open access journal on geotechnical engineering published quarterly online by MDPI.
- Open Access— free for readers, with article processing charges (APC) paid by authors or their institutions.
- High Visibility: indexed within ESCI (Web of Science), Scopus, GeoRef, and other databases.
- Journal Rank: CiteScore - Q2 (Engineering (miscellaneous))
- Rapid Publication: manuscripts are peer-reviewed and a first decision is provided to authors approximately 20.6 days after submission; acceptance to publication is undertaken in 4.8 days (median values for papers published in this journal in the second half of 2025).
- Recognition of Reviewers: APC discount vouchers, optional signed peer review, and reviewer names published annually in the journal.
- Journal Cluster of Geotechnical Engineering and Geology: Minerals, GeoHazards, Mining, Geotechnics, Glacies.
Impact Factor:
1.9 (2024);
5-Year Impact Factor:
2.3 (2024)
Latest Articles
Review of Numerical Simulation of Overburden Grouting in Foundation Improvement
Geotechnics 2026, 6(1), 3; https://doi.org/10.3390/geotechnics6010003 - 1 Jan 2026
Abstract
Overburden layers, composed of unconsolidated sediments, are widely distributed in construction, transportation, and water conservancy projects, but their inherent defects (e.g., developed pores, low strength) easily induce engineering disasters. Grouting is a core reinforcement technology, yet traditional design relying on empirical formulas and
[...] Read more.
Overburden layers, composed of unconsolidated sediments, are widely distributed in construction, transportation, and water conservancy projects, but their inherent defects (e.g., developed pores, low strength) easily induce engineering disasters. Grouting is a core reinforcement technology, yet traditional design relying on empirical formulas and on-site trials suffers from high costs and low prediction accuracy. Numerical simulation has become a key bridge connecting grouting theory and practice. This study systematically reviews the numerical simulation of overburden grouting based on 82 core articles screened via the PRISMA framework. First, the theoretical system is clarified: core governing equations for seepage, stress, grout diffusion, and chemical fields, as well as their coupling mechanisms (e.g., HM coupling via effective stress principle), are sorted out, and the advantages/disadvantages of different equations are quantified. The material parameter characterization focuses on grout rheological models (Newtonian, power-law, Bingham) and overburden heterogeneity modeling. Second, numerical methods and engineering applications are analyzed: discrete (DEM) and continuous (FEM/FDM) methods, as well as their coupling modes, are compared; the simulation advantages (visualization of diffusion mechanisms, parameter controllability, low-cost risk prediction) are verified by typical cases. Third, current challenges and trends are identified: bottlenecks include the poor adaptability of models in heterogeneous strata, unbalanced accuracy–efficiency, insufficient rheological models for complex grouts, and theoretical limitations of multi-field coupling. Future directions involve AI-driven parameter optimization, cross-scale simulation, HPC-enhanced computing efficiency, and targeted models for environmentally friendly grouts. The study concludes that overburden grouting simulation has formed a complete “theory–parameter–method–application” system, evolving from a “theoretical tool” to the “core of engineering decision-making”. The core contradiction lies in the conflict between refinement requirements and technical limitations, and breakthroughs rely on the interdisciplinary integration of AI, multi-scale simulation, and HPC. This review provides a clear technical context for researchers and practical reference for engineering technicians.
Full article
(This article belongs to the Special Issue Recent Advances in Geotechnical Engineering (3rd Edition))
►
Show Figures
Open AccessReview
A One-Dimensional Model Used for the Analysis of Seismic Site Response and Soil Instabilities: A Review of SCOSSA 1.0 Computer Code
by
Giuseppe Tropeano and Anna Chiaradonna
Geotechnics 2026, 6(1), 2; https://doi.org/10.3390/geotechnics6010002 - 25 Dec 2025
Abstract
►▼
Show Figures
This review aims to provide a complete and comprehensive state of the art of the SCOSSA computer code, which is a one-dimensional nonlinear computer code used for the analysis of seismic site response and soil instability. Indeed, among the effects of earthquakes, the
[...] Read more.
This review aims to provide a complete and comprehensive state of the art of the SCOSSA computer code, which is a one-dimensional nonlinear computer code used for the analysis of seismic site response and soil instability. Indeed, among the effects of earthquakes, the activation of landslides and liquefaction constitute two of the predominant causes of vulnerability in the physical and built environment. The SCOSSA computer code (Seismic Code for Stick–Slip Analysis) was initially developed to evaluate the permanent displacements of simplified slopes using a coupled model, and introduced several improvements with respect to the past, namely, the formulation for solving the dynamic equilibrium equations incorporates the capability for automated detection of the critical sliding surface; an up-to-date constitutive model to represent hysteretic material behavior and a stable iterative algorithm to support the solution of the system in terms of kinematic variables. To address liquefaction-induced failure, a simplified pore water pressure generation model was subsequently developed and integrated into the code, coupled with one-dimensional consolidation theory. This review retraces the main features, developments, and applications of the computer code from the origin to the present version.
Full article

Figure 1
Open AccessArticle
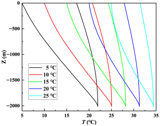
Transient Pressure Build-Up in Saturated Column System from Buffering-Induced CO2 Generation: Implications for Soil Liquefaction in Lignite Overburden Dumps
by
Donata N. W. Wardani, Nils Hoth, Sarah Amos, Kofi Moro, Johanes Maria Vianney and Carsten Drebenstedt
Geotechnics 2026, 6(1), 1; https://doi.org/10.3390/geotechnics6010001 - 24 Dec 2025
Abstract
►▼
Show Figures
Spontaneous liquefaction in the Lusatian lignite dump sites has raised significant geotechnical and environmental concerns. While mechanical influences have been extensively studied, hydrochemical investigations suggest an inner initial that is highly correlated to CO2 generation, attributed to buffering reactions, which lays the
[...] Read more.
Spontaneous liquefaction in the Lusatian lignite dump sites has raised significant geotechnical and environmental concerns. While mechanical influences have been extensively studied, hydrochemical investigations suggest an inner initial that is highly correlated to CO2 generation, attributed to buffering reactions, which lays the foundation for this study. This study aims to understand the process behind and to quantify the transient evolution of excess pore-pressure induced by CO2 accumulation, both dissolved and as free gas, in saturated medium using a series of column experiments. Excess pore-pressures up to 7.7 kPa were recorded following a period of buffering reaction, with discharged gas confirmed as CO2. The results demonstrate that the buffering process strongly influences the elevated pressure, while, in turn, elevated pressures affect the chemical conditions within the column. Secondary mineral precipitation, as one of the effects, was observed to reduce buffering reactivity and modify pore structure, thereby altering pore-pressure response. These findings highlight hydrochemical feedback as critical internal triggers and amplifiers in liquefaction events, complementing mechanical explanations and advancing understanding of coupled hydro-chemo-mechanical processes in dump site stability.
Full article

Figure 1
Open AccessArticle
Long-Term Effects of Cement Kiln Dust (CKD) on the Permeability of a Treated Soil Slope
by
Sandra A. A. O. Donkor, Mehrdad Razavi, Claudia Mara Dias Wilson, Benjamin Abankwa, Richard Otoo and Abraham Armah
Geotechnics 2025, 5(4), 87; https://doi.org/10.3390/geotechnics5040087 - 16 Dec 2025
Abstract
Soil permeability is an important factor in the mining and geotechnical industry, impacting slope stability and tailings management. It directly influences the stability of structures, the control of water in tailings ponds, and the safety of workers. Various additives, such as cement kiln
[...] Read more.
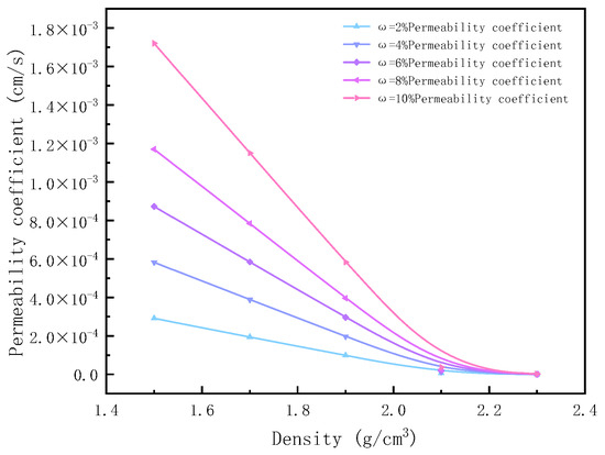
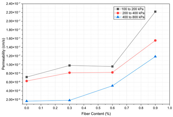
Soil permeability is an important factor in the mining and geotechnical industry, impacting slope stability and tailings management. It directly influences the stability of structures, the control of water in tailings ponds, and the safety of workers. Various additives, such as cement kiln dust (CKD), bentonite, fly ash, polymers, lime, and asphalt, are incorporated into soil structures to improve permeability and stability. Any significant changes in soil permeability will alter the soil’s behavior. However, the long-term effect of most additives on structures remains unexplored. This study investigates the long-term impact of CKD on the permeability of a CKD-treated slope. The slope surface was treated with 0%, 5%, 10%, and 15% of CKD by the dry weight of the soil in 2008 and was evaluated in 2024. The permeability test results of the collected soil sample from the slope (2024) showed that the permeability of the soil decreases with an increase in the soil CKD content. The coefficient of permeability, k, is more than 100 times less for a CKD content of 15% by the dry weight of the soil compared to the permeability of the untreated native soil. The treated soil becomes almost impermeable when the CKD content increases to 20% (by the dry weight of the soil). However, the treated slope’s permeability increased over time, possibly due to erosion, resulting in a reduction in CKD content. The surface permeability of the slope exhibits an irregular distribution, resulting from the evolving spatial distribution of Cement Kiln Dust over time.
Full article
(This article belongs to the Topic Support Theory and Technology of Geotechnical Engineering, 2nd Edition)
►▼
Show Figures

Figure 1
Open AccessArticle
Bayesian Networks: Application in Tailings Design Process and Risk Assessment
by
Keith Mandisodza and David Williams
Geotechnics 2025, 5(4), 86; https://doi.org/10.3390/geotechnics5040086 - 12 Dec 2025
Abstract
Tailings dams, critical for storing mine waste and water, must maintain stability and functionality throughout their lifespan. Their design and risk assessment are complicated by significant uncertainties stemming from multivariable parameters, including material properties, loading conditions, and operational decisions. Traditional dam design and
[...] Read more.
Tailings dams, critical for storing mine waste and water, must maintain stability and functionality throughout their lifespan. Their design and risk assessment are complicated by significant uncertainties stemming from multivariable parameters, including material properties, loading conditions, and operational decisions. Traditional dam design and risk assessment procedures often rely on first-order probabilistic approaches, which fail to capture the complex, multi-layered nature of these uncertainties fully. This paper reviews the current tailings dam design practice and proposes the application of Bayesian networks (BNs) to analyse the epistemic and aleatory uncertainty inherent in tailings dam design parameters and risk assessment. By representing these uncertainties explicitly, BNs can facilitate more robust and targeted design strategies. The proposed approach involves several key steps, including parameterisation—design input variable probability density function and uncertainty, knowledge elicitation, and model assessment and integration. This methodology provides a sophisticated and comprehensive approach to accounting for the full spectrum of uncertainties, thereby enhancing the reliability of tailings dam designs and risk management decisions.
Full article
(This article belongs to the Topic Advanced Risk Assessment in Geotechnical Engineering)
►▼
Show Figures

Figure 1
Open AccessArticle
Preliminary Results on Mechanical Degradation and Strain Evolution of Carrara Marble Under Freeze–Thaw Cycles and Acid Weathering
by
Azemeraw Wubalem, Chiara Caselle, Anna Maria Ferrero and Gessica Umili
Geotechnics 2025, 5(4), 85; https://doi.org/10.3390/geotechnics5040085 - 11 Dec 2025
Abstract
►▼
Show Figures
Environmental stressors, such as freeze–thaw (F–T) cycling and acid rain, affect the durability of carbonate rocks used in engineering and cultural heritage structures. This study investigates the mechanical degradation and strain evolution of Carrara marble subjected to 10 F–T cycles and immersion in
[...] Read more.
Environmental stressors, such as freeze–thaw (F–T) cycling and acid rain, affect the durability of carbonate rocks used in engineering and cultural heritage structures. This study investigates the mechanical degradation and strain evolution of Carrara marble subjected to 10 F–T cycles and immersion in a simulated sulfuric acid solution (pH 5) for 3, 7, and 28 days. The mechanical strength of the samples was tested under uniaxial compression using a displacement-controlled loading rate, while full-field deformation and fracture evolution were analyzed with Digital Image Correlation (DIC). Results show that F–T cycling led to a substantial reduction in uniaxial compressive strength (UCS) and a very large decrease in tangent Young’s modulus. Acid exposure also caused progressive degradation, with both UCS and stiffness continuing to decline as exposure time increased, reaching their greatest reduction at the longest treatment duration. Additionally, DIC strain maps revealed a change in deformation response as a function of the treatment. The findings provide the integrated assessment of Carrara marble mechanical response under both F–T and acid weathering, linking bulk strength loss with changes in strain localization behavior, highlighting the vulnerability of marble to environmental stressors, and providing mechanical insights relevant to infrastructure resilience and heritage conservation.
Full article

Figure 1
Open AccessArticle
Degradation and Decay of Rocks: Linking Wetting–Drying and Slake Durability Tests for Climate-Sensitive Maintenance
by
Markus Kaspar, Christine Latal, Gerhard Pittino and Volker Reinprecht
Geotechnics 2025, 5(4), 84; https://doi.org/10.3390/geotechnics5040084 - 10 Dec 2025
Abstract
►▼
Show Figures
Soft and weak rocks present challenges for construction activities in various environments. Their genetic origin, geological and tectonic evolution, and exposure to atmospheric conditions control their weathering and degradation over time. Therefore, a sound characterization of the associated rock parameters is essential. Numerous
[...] Read more.
Soft and weak rocks present challenges for construction activities in various environments. Their genetic origin, geological and tectonic evolution, and exposure to atmospheric conditions control their weathering and degradation over time. Therefore, a sound characterization of the associated rock parameters is essential. Numerous tests have been developed and standardized or defined in recommendations to assess various geomechanical, petrological, and mineralogical parameters. However, these tests are still subject to modification or extension to address project-specific issues. Additionally, standardized tests do not consider regional climatic conditions that may affect weathering, meaning they do not reflect the degradation behavior that is observed in the field. The present study investigates the slaking resistance and degradability of a range of soft rocks. The workflow of widely used tests is employed to evaluate their representativeness for different rock types in practical applications. Depending on their genetic origin and mineral composition, fabric alterations affect the rate and style of rock disintegration differently. Soft sedimentary rocks react already to static slaking, i.e., water immersion, whereas crystalline and grain-bound rocks slake under dynamic action while undergoing attrition in a rotating slake durability drum. Zones of structural weakness, such as foliation planes, are responsible for material removal in the latter; sedimentary rocks, on the other hand, are subject to surface particle separation (suspension) and suction due to the presence of clay minerals. This study presents an approach that combines the results of several routine tests to help identify and refine the slaking susceptibility of different rock types. A routine for inspecting and documenting the evaluated slaking characteristics for infrastructure maintenance is proposed, and the wider implications in light of climate change are discussed. Some limitations of the transferability of laboratory values to field sites still have to be evaluated and validated in the future.
Full article

Figure 1
Open AccessArticle
Construction Test and Numerical Analysis on Reinforcing Bar Insertion Method Prestressed Before Grout Hardening for Natural Slopes
by
Kakuta Fujiwara
Geotechnics 2025, 5(4), 83; https://doi.org/10.3390/geotechnics5040083 - 9 Dec 2025
Abstract
►▼
Show Figures
Slope failures frequently occur during rainfall, earthquakes, and long-term weathering, and reinforcing bar insertion is widely used worldwide to prevent such failures. In this method, steel bars are installed in pre-drilled holes and bonded to the ground with grout, with a pressure plate
[...] Read more.
Slope failures frequently occur during rainfall, earthquakes, and long-term weathering, and reinforcing bar insertion is widely used worldwide to prevent such failures. In this method, steel bars are installed in pre-drilled holes and bonded to the ground with grout, with a pressure plate resisting deformation; however, tensile forces generated during slope movement may crack the hardened grout and reduce performance. To address this issue, we propose an Early-stage Prestressed Reinforcing Bar Insertion Method, in which tensile load is applied to the bar before grout hardening. Grout is injected while maintaining tension, allowing the bar to remain prestressed after construction and inducing compressive stress in the grout, which is expected to improve resistance against tensile loading. A field construction test and numerical finite-element analysis were conducted to verify performance. The test confirmed constructability within half a day and retained tensile force of 42 kN after 30 days. The numerical model reproduced measured axial forces and indicated that the hardened grout remained in compression, with an average compressive stress of 3680 kN/m2. These results demonstrate that prestressing can enhance grout tensile resistance. The method shows promise for future application and potential extension to similar anchoring systems.
Full article

Figure 1
Open AccessArticle
The Influence of Strain Rate Variations on Bonded-Particle Models in PFC
by
Ömer Ündül and Enes Zengin
Geotechnics 2025, 5(4), 82; https://doi.org/10.3390/geotechnics5040082 - 6 Dec 2025
Abstract
►▼
Show Figures
Understanding the strain rate behavior of rock materials is key to geomechanical engineering. However, in numerical tools such as the Particle Flow Code (PFC), the chosen bonded-particle contact model also fundamentally dictates the mechanical response. A systematic comparison of how quasi-static strain rates
[...] Read more.
Understanding the strain rate behavior of rock materials is key to geomechanical engineering. However, in numerical tools such as the Particle Flow Code (PFC), the chosen bonded-particle contact model also fundamentally dictates the mechanical response. A systematic comparison of how quasi-static strain rates affect different contact models, Parallel-Bonded (PBM), Soft-Bonded (SBM), and Flat-Jointed (FJM), using a common calibration baseline, has been lacking. This study addresses that gap by first calibrating all three models against identical laboratory data from the siltstone of Paleozoic-aged Trakya formation in Cebeciköy-Istanbul, Türkiye. Subsequently, numerical uniaxial loading simulations were conducted on the calibrated models at three distinct quasi-static strain rates (0.01, 0.005, and 0.001 s−1) to compare their stress–strain response, crack evolution, and failure patterns. The results demonstrate that while the initial elastic stiffness was largely insensitive to the applied strain rates across all models, the post-peak behavior and failure mechanism remained fundamentally distinct and model dependent. PBM consistently produced an abrupt, localized brittle failure, SBM exhibited more gradual softening with distributed tensile damage, and FJM displayed the most widespread, mixed-mode failure pattern. It is concluded that within the quasi-static loading conditions, the intrinsic formulation of the chosen contact model is a more dominant factor in controlling the failure style, damage localization, and post-peak characteristics than the specific strain rate applied.
Full article

Figure 1
Open AccessArticle
Theoretical Solutions of Wave-Induced Seabed Response Under Fully Drained and Undrained Conditions for Verification of a Numerical Analysis Code
by
Takumi Iijima, Tomohiro Toyoda and Toshihiro Noda
Geotechnics 2025, 5(4), 81; https://doi.org/10.3390/geotechnics5040081 - 4 Dec 2025
Abstract
►▼
Show Figures
Yamamoto’s theoretical solution for a two-dimensional wave-induced response of an elastic seabed with finite permeability needs a simultaneous equation to be solved. Analysis of the dimensionless simultaneous equation demonstrated that it becomes unsolvable due to the singularity of its matrix when the permeability
[...] Read more.
Yamamoto’s theoretical solution for a two-dimensional wave-induced response of an elastic seabed with finite permeability needs a simultaneous equation to be solved. Analysis of the dimensionless simultaneous equation demonstrated that it becomes unsolvable due to the singularity of its matrix when the permeability coefficient of the seabed approaches infinity and zero, representing (elementwise) fully drained and undrained conditions, respectively. To address this limitation and thus expand the verifiable drainage condition for a finite element analysis code, theoretical solutions for seabed responses under the fully drained and undrained conditions were derived. The feasibility of these solutions was discussed through comparison of the forms of these solutions with the one of Yamamoto. Furthermore, characteristics of seabed behaviors explained by these solutions were obtained. Finally, these theoretical solutions and Yamamoto’s solution were utilized to verify a finite element analysis code by considering horizontally periodic seabed behavior in the numerical analysis. It turned out that the numerical code was capable of expressing seabed behavior in any drainage condition without any approximation to a governing equation as made in the derivation of the fully drained and undrained solutions. Therefore, the numerical analysis code is now reliably used for further studies on wave-induced seabed behaviors even out of the verifiable range of drainage conditions by Yamamoto’s solution.
Full article

Figure 1
Open AccessReview
Pore Ice Content and Unfrozen Water Content Coexistence in Partially Frozen Soils: A State-of-the-Art Review of Mechanisms, Measurement Technology and Modeling Methods
by
Mohammad Ossama Waseem, Dave Sego, Lijun Deng and Nicholas Beier
Geotechnics 2025, 5(4), 80; https://doi.org/10.3390/geotechnics5040080 - 30 Nov 2025
Abstract
►▼
Show Figures
Partially frozen soil (PFS) is comprises of coexisting unfrozen water and ice within its pores at subzero temperatures. The review paper examines how unfrozen water content (UWC) and pore ice content interact during phase changes under near-freezing conditions, governed by microscopic thermodynamic equilibrium.
[...] Read more.
Partially frozen soil (PFS) is comprises of coexisting unfrozen water and ice within its pores at subzero temperatures. The review paper examines how unfrozen water content (UWC) and pore ice content interact during phase changes under near-freezing conditions, governed by microscopic thermodynamic equilibrium. Key theories describing why UWC persists (premelting, disjoining pressure) and the soil freezing characteristic curve (SFCC), along with measurement techniques, including the gravimetric approach to advanced nuclear magnetic resonance for characterization of water content. The influence of the water–ice phase composition on mechanical behavior is discussed, signifying pore pressure and effective stress. Various modelling approaches categorized into empirical SFCC, physio-empirical estimations, and emerging machine learning and molecular simulations are evaluated for capturing predictions in PFS behavior. The relevance of PFS to infrastructure foundation, tailings dams, permafrost slope stability, and climate change impacts on cold regions’ environmental geotechnics is also highlighted as a challenges in practical application. Hence, understanding pore pressure dynamics and effective stress in PFS is critical when assessing frost heave, thaw weakening, and the overall performance of geotechnical structures in cold regions. By combining micro-scale phase interaction mechanisms and macro-scale engineering observations, this review paper provides a theoretical understanding of the underlying concepts vital for future research and practical engineering in cold regions.
Full article

Figure 1
Open AccessArticle
Geomechanical Substantiation of the Technology of Constructing Modular Pile Foundations of Technological Platforms in Permafrost Rocks
by
Vladimir Leonidovich Trushko, Vladimir Yakovlevich Klimov, Elena Konstantinovna Baeva and Anatoly Yurievich Ozhigin
Geotechnics 2025, 5(4), 79; https://doi.org/10.3390/geotechnics5040079 - 27 Nov 2025
Abstract
Existing pile foundations in the Arctic face significant limitations regarding bearing capacity, environmental impact, and dismantling capabilities. This study proposes and geomechanically justifies a novel technology for constructing dismantlable modular pile foundations in permafrost using a pile with a dome-plug (PDP). Comparative numerical
[...] Read more.
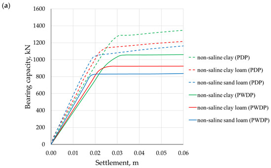
Existing pile foundations in the Arctic face significant limitations regarding bearing capacity, environmental impact, and dismantling capabilities. This study proposes and geomechanically justifies a novel technology for constructing dismantlable modular pile foundations in permafrost using a pile with a dome-plug (PDP). Comparative numerical modeling was conducted to analyze the bearing capacity of the proposed PDP versus a conventional pile without a dome-plug (PWDP) across six types of frozen rocks (clays, loams, sandy loams), specifically accounting for salinity. The results indicate that the dome-plug effectively transforms the shell pile into a combined pile-column, providing a bearing capacity increase ranging from 35% to 63%. Notably, the highest relative improvement was observed in the weakest saline rocks. The proposed technology serves as a superior alternative to traditional piling methods, enabling the deployment of modular foundations as a cost-effective and eco-friendly substitute for artificial soil islands.
Full article
(This article belongs to the Special Issue Recent Advances in Geotechnical Engineering (3rd Edition))
►▼
Show Figures

Figure 1
Open AccessArticle
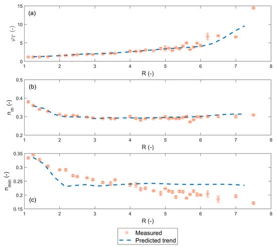
Stratification-Induced Porosity Variations in Granular Packings—Part II: A Step Closer to Natural Sediments via DEM
by
Wenjia Xu and Catrina Brüll
Geotechnics 2025, 5(4), 78; https://doi.org/10.3390/geotechnics5040078 - 19 Nov 2025
Abstract
►▼
Show Figures
This study investigates the influence of stratification—the vertical layering of particles with different sizes—on porosity in granular sediment packings. Conventional porosity models are typically formulated for homogeneous, well-mixed grain assemblies; however, natural riverbed sediments often exhibit stratification, leading to deviations from these idealized
[...] Read more.
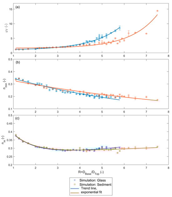
This study investigates the influence of stratification—the vertical layering of particles with different sizes—on porosity in granular sediment packings. Conventional porosity models are typically formulated for homogeneous, well-mixed grain assemblies; however, natural riverbed sediments often exhibit stratification, leading to deviations from these idealized conditions. Part I established empirical relationships describing transition layer geometry and porosity in systems composed of low-friction glass beads. Building on this foundation, Part II extends the analysis by incorporating the higher inter-particle friction characteristic of natural sediments, using discrete element method (DEM) simulations to quantify its effect on packing structure and porosity. A refined method is used to extract porosity and density distributions from simulated packings, enabling accurate identification of transition layers. Empirical formulas are developed to predict key transition-layer parameters (thickness, average porosity, and minimum porosity) as functions of the grain-size ratio. A density-based porosity prediction model is introduced and coupled with an existing model for well-mixed sediments, allowing for a quantitative comparison between stratified and homogeneous packing scenarios. Results show that stratification can increase porosity by 44–57% relative to well-mixed samples of an identical grain-size composition. These findings highlight the importance of considering sediment stratification when modeling riverbed porosity and pave the way for improved sediment transport and hydraulic predictions.
Full article

Figure 1
Open AccessArticle
Stratification-Induced Porosity Variations in Granular Packings–Part I: From Laboratory Measurement to Numerical Modelling
by
Wenjia Xu and Catrina Brüll
Geotechnics 2025, 5(4), 77; https://doi.org/10.3390/geotechnics5040077 - 18 Nov 2025
Abstract
►▼
Show Figures
This study investigates how stratification—layering of particles of different sizes—affects porosity in granular sediment packings. While most existing porosity models are developed for well-mixed, homogeneous grain structures, natural riverbed sediments can be stratified, which may lead to significant deviations in porosity. To address
[...] Read more.
This study investigates how stratification—layering of particles of different sizes—affects porosity in granular sediment packings. While most existing porosity models are developed for well-mixed, homogeneous grain structures, natural riverbed sediments can be stratified, which may lead to significant deviations in porosity. To address this, a novel, cost-effective, and non-destructive laboratory method was developed to measure the vertical porosity distribution in stratified samples using glass beads. Results confirmed the presence of transition layers at the interface between coarse and fine sediments, where porosity follows a distinct trend of decrease and recovery. A Discrete Element Method (DEM)–based simulation model (Particula 1.3) was calibrated and validated against laboratory results, enabling broader parameter studies beyond the physical experiments. An improved algorithm based on a density threshold was also introduced to efficiently and objectively determine the transition layer extent in simulations. Empirical formulas linking transition layer thickness and porosity metrics to the grain-size ratio were derived, enabling the calculation of the average porosity of a stratified sample. Part I focuses on the experimental setup, model validation, and foundational insights into transition zone formation. A companion paper (Part II) will build on these results to develop predictive models for porosity in stratified sediment.
Full article

Figure 1
Open AccessArticle
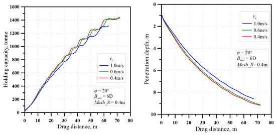
Numerical Investigation of the Installation Process of Drag Anchors in Sand
by
Chuheng Wu, Youhu Zhang, Peng Guo and Di Lei
Geotechnics 2025, 5(4), 76; https://doi.org/10.3390/geotechnics5040076 - 3 Nov 2025
Cited by 1
Abstract
The offshore wind industry is expanding from shallow water to deep water. As a cost-effective and efficient anchoring solution, drag embedment anchors have been widely used for mooring floating offshore structures. However, there is currently no well-established method for predicting the installation trajectory
[...] Read more.
The offshore wind industry is expanding from shallow water to deep water. As a cost-effective and efficient anchoring solution, drag embedment anchors have been widely used for mooring floating offshore structures. However, there is currently no well-established method for predicting the installation trajectory and holding capacity of drag anchors in sand. This paper reports an integrated anchor–chain–soil large-deformation finite-element model for simulating the complete installation of drag anchors in sand. The proposed approach restores the effects of anchor chains and detailed structures of the anchor, which is essential for detailed anchor design. Sensitivity analysis is conducted to investigate the convergence of model parameters. The performance of the numerical model is benchmarked against a centrifuge test conducted at the University of Western Australia (UWA), which demonstrates satisfactory accuracy and reliability. Installation simulations are then performed using a popular commercial anchor design in sands of different friction angles. Three characteristic stages during the drag embedment process are identified. The results highlight the significant influence of the soil resistance to the shank on the anchor penetration performance. The large-deformation analysis approach proposed provides a powerful tool for further investigation on drag anchor installation behavior in sand.
Full article
(This article belongs to the Special Issue Recent Advances in Soil–Structure Interaction)
►▼
Show Figures

Figure 1
Open AccessArticle
Response of Well-Graded Gravel–Rubber Mixtures in Triaxial Compression: Application of a Critical State-Based Generalized Plasticity Model
by
Angela Fiamingo and Gabriele Chiaro
Geotechnics 2025, 5(4), 75; https://doi.org/10.3390/geotechnics5040075 - 3 Nov 2025
Cited by 1
Abstract
►▼
Show Figures
The reuse of rubber inclusions obtained from End-of-Life Tires (ELTs) offers both environmental and technical benefits in civil engineering applications, reducing landfill disposal and enhancing the dynamic properties of geomaterials. The use of well-graded Gravel–Rubber Mixtures (wgGRMs), produced by blending well-graded
[...] Read more.
The reuse of rubber inclusions obtained from End-of-Life Tires (ELTs) offers both environmental and technical benefits in civil engineering applications, reducing landfill disposal and enhancing the dynamic properties of geomaterials. The use of well-graded Gravel–Rubber Mixtures (wgGRMs), produced by blending well-graded gravel with granulated rubber, has been investigated for use in different geotechnical applications. The percentage of rubber inclusions included in wgGRMs significantly modifies the mechanical response of these mixtures, influencing stiffness, strength, dilatancy and dynamic properties. Due to the material heterogeneity (i.e., stiff gravel and soft rubber), the effective implementation of wgGRMs requires the development of constitutive models that can capture the non-linear stress–strain response of wgGRMs subjected to representative in situ loading conditions. In this study, a critical state-based generalized plasticity model is presented and tailored for wgGRMs. Calibration is performed using experimental data from isotropically consolidated drained triaxial tests on wgGRMs with different rubber contents. It is shown that the model accurately reproduces key features observed experimentally, including post-peak strain softening, peak strength variation, and volumetric changes across different confining pressure levels and rubber content fractions. This model represents a useful tool for predicting the behavior of wgGRMs in engineering practice, supporting the reuse of ELT-derived rubber.
Full article

Figure 1
Open AccessArticle
Geological and Geotechnical Studies Aimed at the Project and Construction of Rockfill Recharge Dams: The Case Study of the Wadi Sulayf Dam, Wilayat Ibri Region, Oman
by
Vincenzo Canzoneri, Alessandro Bonfardeci, Simona Bongiovanni, Lavinia Coletta, Enrico Paolo Curcuruto, Maurizio Gasparo Morticelli, Attilio Sulli and Alessandro Canzoneri
Geotechnics 2025, 5(4), 74; https://doi.org/10.3390/geotechnics5040074 - 22 Oct 2025
Cited by 1
Abstract
►▼
Show Figures
In recent years the Government of the Sultanate of Oman has planned the construction of recharge dams in the semi-desert region of Wilayat Ibri, according to the growing domestic water demand for drinking and agricultural use. For this reason, the Engineering Company SERING
[...] Read more.
In recent years the Government of the Sultanate of Oman has planned the construction of recharge dams in the semi-desert region of Wilayat Ibri, according to the growing domestic water demand for drinking and agricultural use. For this reason, the Engineering Company SERING International planned the construction of rockfill dams, well positioned according to the local morphological and geological context. Using temporary floodwaters and releasing them slowly downstream, these dams increase the water flow of the Aflaj. The latter is the existing traditional irrigation system devised to manage the scarce water resources of the Sultanate. In this paper, we describe the IBRI 14 Dam, namely Wadi Sulayf Dam, with a total length of about 3200 m and lying close to the settlements of Ibri Town, the largest one among those projected. This paper shows the criteria that guided the design studies of the dam linked to the geological and geotechnical features of the area, the main dam characteristic and the activities developed until the work was completed in 2020. This work represents an interesting and useful case study about the complete cycle of realization of a dam, in particular considering that it had been affected by huge flooding during the construction but reporting no significant damage.
Full article

Figure 1
Open AccessArticle
Revisiting Yttrup and Abramsson’s Limit Analysis Model for Steel Screw Piles in Sand
by
Carlo Vidotto, Claudio Cappellaro and Eric Puntel
Geotechnics 2025, 5(4), 73; https://doi.org/10.3390/geotechnics5040073 - 21 Oct 2025
Abstract
►▼
Show Figures
This work stems from the curiosity stimulated by a paper by Yttrup and Abramsson, which appeared in the journal Australian Geomechanics in 2003. Their work proposes a kinematic limit analysis method to compute the ultimate strength of steel screw piles in sand when
[...] Read more.
This work stems from the curiosity stimulated by a paper by Yttrup and Abramsson, which appeared in the journal Australian Geomechanics in 2003. Their work proposes a kinematic limit analysis method to compute the ultimate strength of steel screw piles in sand when first the bending and then the plastic collapse of the pile helix occurs. It is accompanied by insightful comments drawn from geotechnical design experience. The paper has both academic and professional impact as it is cited in scientific journals and used in engineering practice in Australia and New Zealand. However, the original paper is quite brief in its exposition. Here, Yttrup and Abramsson’s model is critically reconstructed, providing guidance that can help avoid potential pitfalls in its application. A variation of the model is proposed. Then, the calculated results are discussed and compared with experimental results, starting with those of the original paper. This work hopes to contribute to enhancing the appraisal, adoption, and utility of Yttrup and Abramsson’s model in design practice and in subsequent studies.
Full article

Figure 1
Open AccessReview
Review of the Seismic Response of Immersed Tunnels
by
Luís Miranda, Laura Caldeira, João Bilé Serra and Rui Carrilho Gomes
Geotechnics 2025, 5(4), 72; https://doi.org/10.3390/geotechnics5040072 - 17 Oct 2025
Abstract
Many immersed tunnels are constructed in alluvial formations within earthquake-prone regions, making seismic resistance a critical aspect of their safety design. During an earthquake, tunnel displacements can lead to slippage between the tunnel and surrounding soil and may be further amplified by liquefaction.
[...] Read more.
Many immersed tunnels are constructed in alluvial formations within earthquake-prone regions, making seismic resistance a critical aspect of their safety design. During an earthquake, tunnel displacements can lead to slippage between the tunnel and surrounding soil and may be further amplified by liquefaction. This phenomenon can cause severe structural damage, including tunnel flotation. This paper examines the seismic performance of immersed tunnels, starting with an overview of the deformation mechanisms affecting tunnels, including those induced by ground shaking and failure. Given its significance in large foundation deformations and its impact on tunnel integrity, liquefaction is analyzed alongside potential mitigation strategies. The seismic design process for immersed tunnels is discussed in detail, covering analytical approaches, numerical modeling techniques (such as finite element and finite difference methods), and physical modeling. Real-world examples are provided to illustrate key concepts. Finally, this paper summarizes the core factors influencing the seismic response of immersed tunnels and highlights future research directions to enhance their resilience in seismic environments.
Full article
(This article belongs to the Special Issue Recent Advances in Geotechnical Engineering (3rd Edition))
►▼
Show Figures

Figure 1
Open AccessReview
Turning Waste into Resources: Bibliometric Study on Sand–Rubber Tire Mixtures in Geotechnical Engineering
by
Madhusudhan Bangalore Ramu, Abdullah O. Baarimah, Aiman A. Bin Mokaizh, Ahmed Wajeh Mushtaha, Al-Baraa Abdulrahman Al-Mekhlafi, Aawag Mohsen Alawag and Khalid Mhmoud Alzubi
Geotechnics 2025, 5(4), 71; https://doi.org/10.3390/geotechnics5040071 - 17 Oct 2025
Abstract
Improper disposal of waste tires has led to significant environmental and economic challenges, including pollution and inefficient resource utilization. The growing focus on sustainable solutions in geotechnical engineering highlights the potential of sand–rubber tire shred mixtures for applications such as soil stabilization, embankment
[...] Read more.
Improper disposal of waste tires has led to significant environmental and economic challenges, including pollution and inefficient resource utilization. The growing focus on sustainable solutions in geotechnical engineering highlights the potential of sand–rubber tire shred mixtures for applications such as soil stabilization, embankment reinforcement, seismic isolation, and drainage. This paper presents a bibliometric study analyzing research trends, methodologies, and applications of these mixtures from 2000 to 2025, based on 366 relevant publications. The findings indicate a substantial increase in publications after 2015, reflecting heightened academic and industrial interest in sustainable construction materials. Keyword co-occurrence analysis reveals key research themes, including optimization of shear strength, enhancement of compressibility, and mitigation of seismic impacts. Citation network maps illustrate influential studies and collaborative research networks that are propelling advancements in this field. Despite the advantages of sand–rubber mixtures, challenges such as compaction difficulties, variability in rubber particle size, and long-term durability remain to be addressed. Future research should focus on large-scale field applications, standardization of design methodologies, and the integration of advanced computational modeling for performance optimization. This study contributes to the development of sand–rubber mixtures, positioning them as viable and ecological solutions within the framework of circular economy principles and sustainable construction practices.
Full article
(This article belongs to the Special Issue Recent Advances in Geotechnical Engineering (3rd Edition))
►▼
Show Figures

Figure 1
Highly Accessed Articles
Latest Books
E-Mail Alert
News
Topics
Topic in
GeoHazards, Geosciences, Geotechnics, Remote Sensing, Sensors, Standards
Advanced Risk Assessment in Geotechnical Engineering
Topic Editors: Meho-Saša Kovačević, Vassilis MarinosDeadline: 25 July 2026
Topic in
Applied Sciences, Energies, Geosciences, Geotechnics, Minerals, Eng
Support Theory and Technology of Geotechnical Engineering, 2nd Edition
Topic Editors: Qi Wang, Bei Jiang, Xuezhen Wu, Hongke GaoDeadline: 30 September 2026
Topic in
C, Environments, Geotechnics, Resources, Sustainability
Deep Carbon Storage Space Utilization Potential and Suitability Assessment
Topic Editors: Qiqing Wang, Jishi GengDeadline: 30 November 2026
Conferences
Special Issues
Special Issue in
Geotechnics
Recent Advances in Geotechnical Engineering (3rd Edition)
Guest Editors: Md Rajibul Karim, Md. Mizanur Rahman, Khoi NguyenDeadline: 30 April 2026
Special Issue in
Geotechnics
New Trends in Ground Response Analysis and Liquefaction Assessment
Guest Editor: Anna ChiaradonnaDeadline: 30 April 2026
Special Issue in
Geotechnics
Recent Developments in the Machine Learning Modeling of Geotechnical Data
Guest Editor: Yunfeng ZhangDeadline: 30 May 2026
Special Issue in
Geotechnics
Recent Advances in Soil–Structure Interaction
Guest Editors: Grigorios Tsinidis, Anna KaratzetzouDeadline: 30 June 2026



