An Improved Thermodynamic Energy Equation for Stress–Dilatancy Behavior in Granular Soils
Abstract
1. Introduction
2. Energy Equation and First Law of Thermodynamics
3. Energy Equation and Stress–Dilatancy Relationship
3.1. Consider Only Friction Dissipation in Energy Equation
3.2. Consider Plastic Free Energy in Energy Equation
3.3. Consider Crushing in Energy Equation
4. Proposed Energy Equation


5. Discussion
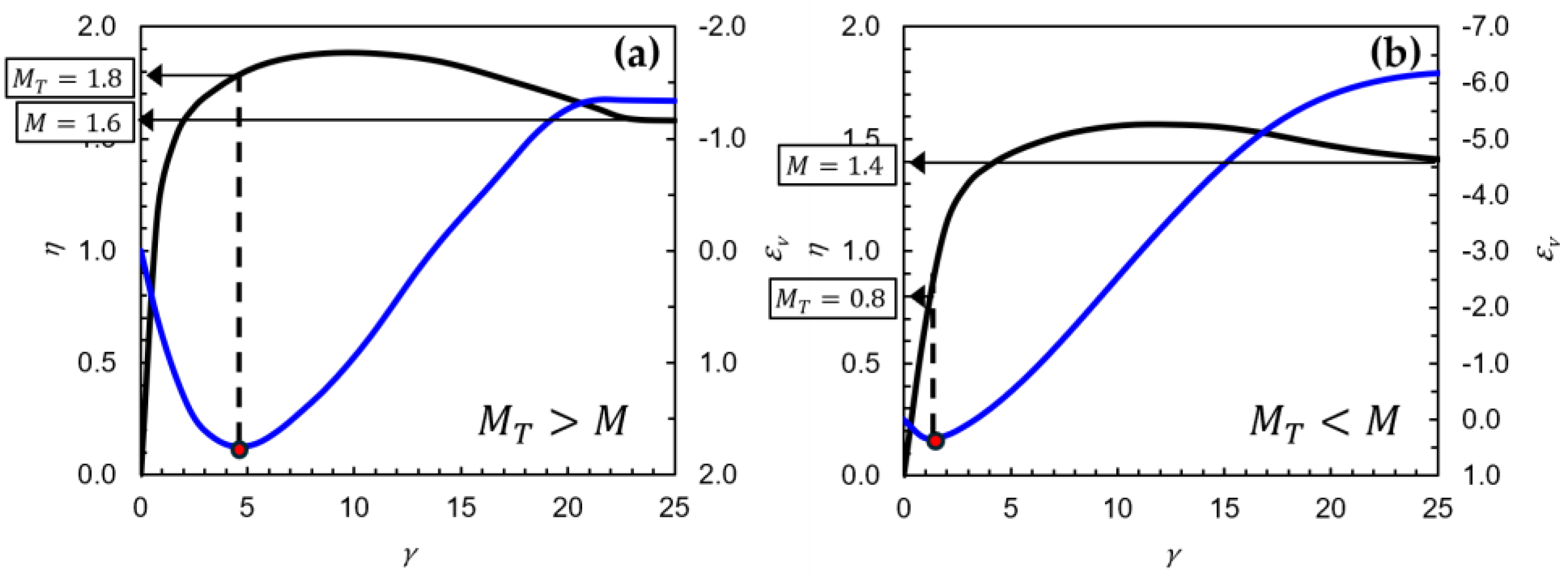
5.1. Up-Hook and Down-Hook
5.2. Model Parameters
- (1)
- Frictional parameter (Figure 10a): Crushable sands (e.g., calcareous or coral) exhibit higher values of the frictional parameter compared to uncrushed sands (e.g., quartz or silica). This increase is primarily attributed to the angular particle shapes generated during crushing, which significantly enhance interparticle friction and resistance to sharing.
- (2)
- Dilation parameter (Figure 10b): The dilation parameter does not appear to be significantly influenced by particle crushing. Instead, its value is primarily governed by the initial density state of the soil. For dense sands, typically ranges from 0 to 0.6, reflecting a greater potential for dilation during shearing due to a tightly packed structure and stronger force chains. In contrast, for loose sands, generally ranges from 0 to 0.3, as the loosely arranged particles limit dilative behavior.
- (3)
- Decay of functions of and (Figure 10c): At , the magnitude of and =. The magnitude of is large than , and it also decays fast at . In Figure 10c, the red curve (marked 1) represents , which reflects energy release due to the loss of interlocking. Since interlocking deteriorates quickly during shearing, starts large and decays sharply.The blue curve (marked 2) corresponds to energy release from force-chain buckling and particle rearrangement (negative); this process decays much more gradually than . The blue curve (marked 3) represents energy from particle crushing. Because the rate of particle crushing is most significant at the early stage of shearing, the rate decays sooner compared to the blue curve (marked 2) and becomes negligible after the peak of stress.
- (4)
- Parameter (Figure 10d): The value of is typically positive for crushed sands and negative for uncrushed sands. Crushed sands tend to exhibit larger absolute values, indicating a more substantial deviation between the phase transition state and the critical state. This reflects the increased resistance mobilized in crushable soils due to particle fragmentation and angularity effects.
- (5)
- Decay rate ratio ( (Figure 10e): The ratio ( quantifies how much faster the interlocking degradation term decays compared to the rate of decay of the force chain or crushing . While the ratio can reach up to 20, it is generally higher for crushed sands, indicating a sharper and more immediate decay of in crushable soils. This suggests that the interlocking in crushable sands is less stable and more sensitive to shear-induced degradation.
- (6)
- Initial dilation parameter (Figure 10f): The parameter , which represents the initial rate of dilation at zero shear strain, appears to be not significantly affected by particle crushing. Instead, it is more strongly influenced by the confining stress and the initial relative density of the sand. As shown in Figure 10f, generally increases with increasing confining stress, regardless of whether the sand is crushed or uncrushed. This trend suggests that under higher confinement, the soil structure develops greater resistance to volumetric contraction, leading to more pronounced dilation upon shearing.

5.3. Stress–Strain Curves Signatures
6. Summary and Conclusions
Author Contributions
Funding
Data Availability Statement
Conflicts of Interest
Appendix A. Elastic Component of the Strain
References
- Reynolds, O. LVII. On the Dilatancy of Media Composed of Rigid Particles in Contact. With Experimental Illustrations. Lond. Edinb. Dublin Philos. Mag. J. Sci. 1885, 20, 469–481. [Google Scholar] [CrossRef]
- Taylor, D.W. Fundamentals of Soil Mechanics; John Wiley & Sons Inc.: New York, NY, USA, 1948. [Google Scholar]
- Newland, P.L.; Allely, B.H. Volume Changes in Drained Taixial Tests on Granular Materials. Géotechnique 1957, 7, 17–34. [Google Scholar] [CrossRef]
- Roscoe, K.H.; Schofield, A.N.; Thurairajah, A. Yielding of Clays in States Wetter than Critical. Géotechnique 1963, 13, 211–240. [Google Scholar] [CrossRef]
- Dafalias, Y.F.; Manzari, M.T. Simple Plasticity Sand Model Accounting for Fabric Change Effects. J. Eng. Mech. 2004, 130, 622–634. [Google Scholar] [CrossRef]
- Rowe, P.W. The Stress-Dilatancy Relation for Static Equilibrium of an Assembly of Particles in Contact. Proc. R. Soc. Lond. Ser. A Math. Phys. Sci. 1962, 269, 500–527. [Google Scholar]
- De Josselin De Jong, G. Rowe’s Stress—Dilatancy Relation Based on Friction. Géotechnique 1976, 26, 527–534. [Google Scholar] [CrossRef]
- Schanz, T.; Vermeer, P.A. Angles of Friction and Dilatancy of Sand. Géotechnique 1996, 46, 145–151. [Google Scholar] [CrossRef]
- Wan, R.G.; Guo, P.J. A Simple Constitutive Model for Granular Soils: Modified Stress-Dilatancy Approach. Comput. Geotech. 1998, 22, 109–133. [Google Scholar] [CrossRef]
- Guo, P. Energy Approach Towards Stress-Dilatancy Formulation Based on Double Slip-Rotation Rate Concept. Soils Found. 2009, 49, 443–457. [Google Scholar] [CrossRef]
- Vardoulakis, I.; Georgopoulos, I.-O. The “Stress-Dilatancy” Hypothesis Revisited: Shear-Banding Related Instabilities. Soils Found. 2005, 45, 61–76. [Google Scholar] [CrossRef]
- Been, K.; Jefferies, M. Stress-Dilatancy in Very Loose Sand. Can. Geotech. J. 2004, 41, 972–989. [Google Scholar] [CrossRef]
- Li, X.S.; Dafalias, Y.F. Dilatancy for Cohesionless Soils. Géotechnique 2000, 50, 449–460. [Google Scholar] [CrossRef]
- Szypcio, Z. Stress-Dilatancy for Soils. Part I: The Frictional State Theory. Stud. Geotech. Mech. 2016, 38, 51–57. [Google Scholar] [CrossRef]
- Alonso-Marroquín, F.; Vardoulakis, I. Micromechanics of Shear Bands in Granular Media. In Powders and Grains; Balkema: Rotterdam, The Netherlands, 2005; pp. 701–704. [Google Scholar]
- Kruyt, N.P.; Rothenburg, L. Shear Strength, Dilatancy, Energy and Dissipation in Quasi-Static Deformation of Granular Materials. J. Stat. Mech. Theory Exp. 2006, 2006, P07021. [Google Scholar] [CrossRef]
- Powrie, W.; Ni, Q.; Harkness, R.M.; Zhang, X. Numerical Modelling of Plane Strain Tests on Sands Using a Particulate Approach. Géotechnique 2005, 55, 297–306. [Google Scholar] [CrossRef]
- Collins, I.F.; Muhunthan, B. On the Relationship between Stress–Dilatancy, Anisotropy, and Plastic Dissipation for Granular Materials. Géotechnique 2003, 53, 611–618. [Google Scholar] [CrossRef]
- Collins, I.F. The Concept of Stored Plastic Work or Frozen Elastic Energy in Soil Mechanics. Géotechnique 2005, 55, 373–382. [Google Scholar] [CrossRef]
- Collins, I.F.; Muhunthan, B.; Tai, A.T.T.; Pender, M.J. The Concept of a ‘Reynolds–Taylor State’ and the Mechanics of Sands. Géotechnique 2007, 57, 437–447. [Google Scholar] [CrossRef]
- Einav, I. Breakage Mechanics—Part I: Theory. J. Mech. Phys. Solids 2007, 55, 1274–1297. [Google Scholar] [CrossRef]
- Ueng, T.-S.; Chen, T.-J. Energy Aspects of Particle Breakage in Drained Shear of Sands. Géotechnique 2000, 50, 65–72. [Google Scholar] [CrossRef]
- Sun, Y.; Xiao, Y.; Ji, H. Dilation and Breakage Dissipation of Granular Soils Subjected to Monotonic Loading. Acta Mech. Sin. 2016, 32, 1065–1074. [Google Scholar] [CrossRef]
- Jefferies, M. Plastic Work and Isotropic Softening in Unloading. Géotechnique 1997, 47, 1037–1042. [Google Scholar] [CrossRef]
- Chang, C.S.; Deng, Y. Energy Equation and Stress–Dilatancy Relationship for Sand. Acta Geotech. 2022, 17, 2675–2696. [Google Scholar] [CrossRef]
- Collins, I.F.; Kelly, P.A. A Thermomechanical Analysis of a Family of Soil Models. Géotechnique 2002, 52, 507–518. [Google Scholar] [CrossRef]
- Wan, R.; Nicot, F.; Darve, F. Micromechanical Formulation of Stress Dilatancy as a Flow Rule in Plasticity of Granular Materials. J. Eng. Mech. 2010, 136, 589–598. [Google Scholar] [CrossRef]
- Hanley, K.J.; Huang, X.; O’Sullivan, C. Energy Dissipation in Soil Samples during Drained Triaxial Shearing. Géotechnique 2018, 68, 421–433. [Google Scholar] [CrossRef]
- Liu, Y.; Liu, X.; Ren, J. Effect of Particle Shape on Contact Network and Shear-Induced Anisotropy of Granular Assemblies: A DEM Perspective. J. Geotech. Geoenviron. Eng. 2024, 150, 04023142. [Google Scholar] [CrossRef]
- Lemaitre, J.; Chaboche, J.L. Mechanics of Solid Materials; Cambridge University Press: Cambridge, UK, 1990; ISBN 9780521328535. [Google Scholar]
- Houlsby, G.T.; Puzrin, A.M. A Thermomechanical Framework for Constitutive Models for Rate-Independent Dissipative Materials. Int. J. Plast. 2000, 16, 1017–1047. [Google Scholar] [CrossRef]
- Jefferies, M.G. Nor-Sand: A Simle Critical State Model for Sand. Géotechnique 1993, 43, 91–103. [Google Scholar] [CrossRef]
- Yang, H.; Sinha, S.K.; Feng, Y.; McCallen, D.B.; Jeremić, B. Energy Dissipation Analysis of Elastic–Plastic Materials. Comput. Methods Appl. Mech. Eng. 2018, 331, 309–326. [Google Scholar] [CrossRef]
- Schofield, A.N.; Wroth, C.P. Critical State Soil Mechanics; McGraw-Hill: Maidenhead, UK, 1968. [Google Scholar]
- Burland, J.B.; Roscoe, K.H. Local Strains and Pore Pressures in a Normally Consolidated Clay Layer During One-Dimensional Consolidation. Géotechnique 1969, 19, 335–356. [Google Scholar] [CrossRef]
- Gutierrez, M.; Wang, J. Non-Coaxial Version of Rowe’s Stress-Dilatancy Relation. Granul. Matter 2009, 11, 129–137. [Google Scholar] [CrossRef]
- Goddard, J.D.; Bashir, Y.M. On Reynolds Dilatancy. In Recent Developments in Structured Continua; Longman: New York, NY, USA, 1990; Volume 2, pp. 25–35. [Google Scholar]
- Vermeer, P.A.; de Borst, R. Non-Associated Plasticity for Soils, Concrete and Rock. HERON 1984, 29, 3. [Google Scholar]
- Norris, G.; Siddharthan, R.; Zafir, Z.; Madhu, R. Liquefaction and Residual Strength of Sands from Drained Triaxial Tests. J. Geotech. Geoenviron. Eng. 1997, 123, 220–228. [Google Scholar] [CrossRef]
- Yilmaz, Y.; Deng, Y.; Chang, C.S.; Gokce, A. Strength–Dilatancy and Critical State Behaviours of Binary Mixtures of Graded Sands Influenced by Particle Size Ratio and Fines Content. Géotechnique 2023, 73, 202–217. [Google Scholar] [CrossRef]
- Tordesillas, A.; Walsh, S.D.C. Analysis of Deformation and Localization in Thermomicromechanical Cosserat Models of Granular Media. In Powders and Grains 2005, Two Volume Set; CRC Press: Boca Raton, FL, USA, 2005; ISBN 978-0-429-10773-3. [Google Scholar]
- Chang, C.S.; Hicher, P.-Y. An Elasto-Plastic Model for Granular Materials with Microstructural Consideration. Int. J. Solids Struct. 2005, 42, 4258–4277. [Google Scholar] [CrossRef]
- Misra, A.; Chang, C.S. Effective Elastic Moduli of Heterogeneous Granular Solids. Int. J. Solids Struct. 1993, 30, 2547–2566. [Google Scholar] [CrossRef]
- Agnolin, I.; Jenkins, J.T.; Ragione, L.L. A Continuum Theory for a Random Array of Identical, Elastic, Frictional Disks. Mech. Mater. 2006, 38, 687–701. [Google Scholar] [CrossRef]
- Nova, R. A Constitutive Model under Monotonic and Cyclic Loading. In Soil Mechanics—Transient and Cyclic Loads; John Wiley & Sons Ltd.: New York, NY, USA, 1982; pp. 343–373. [Google Scholar]
- Wan, R.G.; Guo, P.J. A Pressure and Density Dependent Dilatancy Model for Granular Materials. Soils Found. 1999, 39, 1–11. [Google Scholar] [CrossRef]
- Sun, Y.; Sumelka, W.; Gao, Y.; Nimbalkar, S. Phenomenological Fractional Stress–Dilatancy Model for Granular Soil and Soil-Structure Interface under Monotonic and Cyclic Loads. Acta Geotech. 2021, 16, 3115–3132. [Google Scholar] [CrossRef]
- Wu, E.; Guo, W.; Li, N.; Jiang, P.; Wang, W.; Sun, Y. Stress-Fractional Modelling of Dilatancy Behavior under Monotonic Loading Based on a New Yield Surface of Coarse-Grained Soil. Int. J. Plast. 2025, 185, 104236. [Google Scholar] [CrossRef]
- Lin, W.; Liu, A.; Mao, W.; Koseki, J. Acoustic Emission Characteristics of a Dry Sandy Soil Subjected to Drained Triaxial Compression. Acta Geotech. 2020, 15, 2493–2506. [Google Scholar] [CrossRef]
- Smith, A.; Dixon, N. Acoustic Emission Behaviour of Dense Sands. Géotechnique 2019, 69, 1107–1122. [Google Scholar] [CrossRef]
- Roux, J.-N. Geometric Origin of Mechanical Properties of Granular Materials. Phys. Rev. E 2000, 61, 6802–6836. [Google Scholar] [CrossRef]
- Xiao, Y.; Liang, F.; Zhang, Z.; Wu, H.; Liu, H. Thermodynamic Constitutive Model for Granular Soils Considering Particle Shape Distribution. Comput. Geotech. 2023, 162, 105700. [Google Scholar] [CrossRef]
- Collins, I.F.; Hilder, T. A Theoretical Framework for Constructing Elastic/Plastic Constitutive Models of Triaxial Tests. Int. J. Numer. Anal. Methods Geomech. 2002, 26, 1313–1347. [Google Scholar] [CrossRef]
- Bai, B.; Zhang, B.; Chen, H.; Chen, P. A Novel Thermodynamic Constitutive Model of Coarse-Grained Soils Considering the Particle Breakage. Transp. Geotech. 2025, 50, 101462. [Google Scholar] [CrossRef]
- Yu, F. Particle Breakage and the Drained Shear Behavior of Sands. Int. J. Geomech. 2017, 17, 04017041. [Google Scholar] [CrossRef]
- Yao, T.; Cao, Z.; Li, W. On the Mechanical Behaviour of a Coral Silt from the South China Sea. Géotechnique 2024, 75, 698–711. [Google Scholar] [CrossRef]
- Hassanlourad, M.; Salehzadeh, H.; Shahnazari, H. Dilation and Particle Breakage Effects on the Shear Strength of Calcareous Sands Based on Energy Aspects. Int. J. Civ. Eng. 2008, 6, 108–119. [Google Scholar]
- Qi, Y.; Huang, J.J.; Chen, M.X. Energy Dissipation Characteristics of Crushable Granules under Dynamic Excitations. Chin. J. Theor. Appl. Mech. 2014, 47, 252–259. [Google Scholar]
- Hardin, B.O.; Drnevich, V.P. Shear Modulus and Damping in Soils: Design Equations and Curves. J. Soil Mech. Found. Div. 1972, 98, 667–692. [Google Scholar] [CrossRef]
- Collins, I.F.; Houlsby, G.T. Application of Thermomechanical Principles to the Modelling of Geotechnical Materials. Proc. Math. Phys. Eng. Sci. 1997, 453, 1975–2001. [Google Scholar] [CrossRef]
- Dewers, T.A.; Issen, K.A.; Holcomb, D.J.; Olsson, W.A.; Ingraham, M.D. Strain Localization and Elastic-Plastic Coupling during Deformation of Porous Sandstone. Int. J. Rock Mech. Min. Sci. 2017, 98, 167–180. [Google Scholar] [CrossRef]








| Author | Soil Type | σ3 | Test Conditions | Dr (%) | Size Range |
|---|---|---|---|---|---|
| Yu (2017) [55] | Silica sand and coral sand | 0.2–0.5 (MPa) | Dense state, precrushed samples | - | 0.1 to 2 mm |
| Yao et al. (2024) [56] | Coral sand | 0.5–0.8 (MPa) | Dense state | 80 | 0.707 mm |
| Norris et al. (1997) [39] | Nevada sand | 0.01–0.25 (MPa) | Loose and very loose state (e > emax) | ≈15/(e > emax) | 0.14 mm |
| Hassanlourad et al. (2008) [57] | Calcareous sand | 0.05–1.2 (MPa) | Loose and dense state | 20/80 | - |
| Yilmaz et al. (2023) [40] | Binary quartz sand with fines | 0.2 (MPa) | Dense state and different fines content | 97 | 0.096 to 1.086 mm |
| a | 1.3 | 1.15 | 0.35 | 0.9 | 0.75 | −0.108 |
| b | 1.32 | 1.21 | 0.25 | 0.2 | 3 | −0.213 |
| c | 1.49 | 1.76 | 0.25 | 0.1 | 1.1 | −0.457 |
| d | 1.54 | 1.86 | 0.45 | 0.05 | 2.5 | −0.783 |
Disclaimer/Publisher’s Note: The statements, opinions and data contained in all publications are solely those of the individual author(s) and contributor(s) and not of MDPI and/or the editor(s). MDPI and/or the editor(s) disclaim responsibility for any injury to people or property resulting from any ideas, methods, instructions or products referred to in the content. |
© 2025 by the authors. Licensee MDPI, Basel, Switzerland. This article is an open access article distributed under the terms and conditions of the Creative Commons Attribution (CC BY) license (https://creativecommons.org/licenses/by/4.0/).
Share and Cite
Chang, C.S.; Chao, J. An Improved Thermodynamic Energy Equation for Stress–Dilatancy Behavior in Granular Soils. Geotechnics 2025, 5, 43. https://doi.org/10.3390/geotechnics5030043
Chang CS, Chao J. An Improved Thermodynamic Energy Equation for Stress–Dilatancy Behavior in Granular Soils. Geotechnics. 2025; 5(3):43. https://doi.org/10.3390/geotechnics5030043
Chicago/Turabian StyleChang, Ching S., and Jason Chao. 2025. "An Improved Thermodynamic Energy Equation for Stress–Dilatancy Behavior in Granular Soils" Geotechnics 5, no. 3: 43. https://doi.org/10.3390/geotechnics5030043
APA StyleChang, C. S., & Chao, J. (2025). An Improved Thermodynamic Energy Equation for Stress–Dilatancy Behavior in Granular Soils. Geotechnics, 5(3), 43. https://doi.org/10.3390/geotechnics5030043

