Soil Strength Improvement Ability of Spartina alterniflora Established on Dredged Soils in Louisiana Coastal Area
Abstract
1. Introduction
2. A Brief Description of the Shear Strength Models for Rooted Soils
3. Materials and Methodology
3.1. Subsurface Soils and Site Classification
3.2. The Direct Shear Tests
3.3. The Tensile Strength Tests of the Roots
3.4. The Vane Shear Tests in the Field
4. Results and Discussion
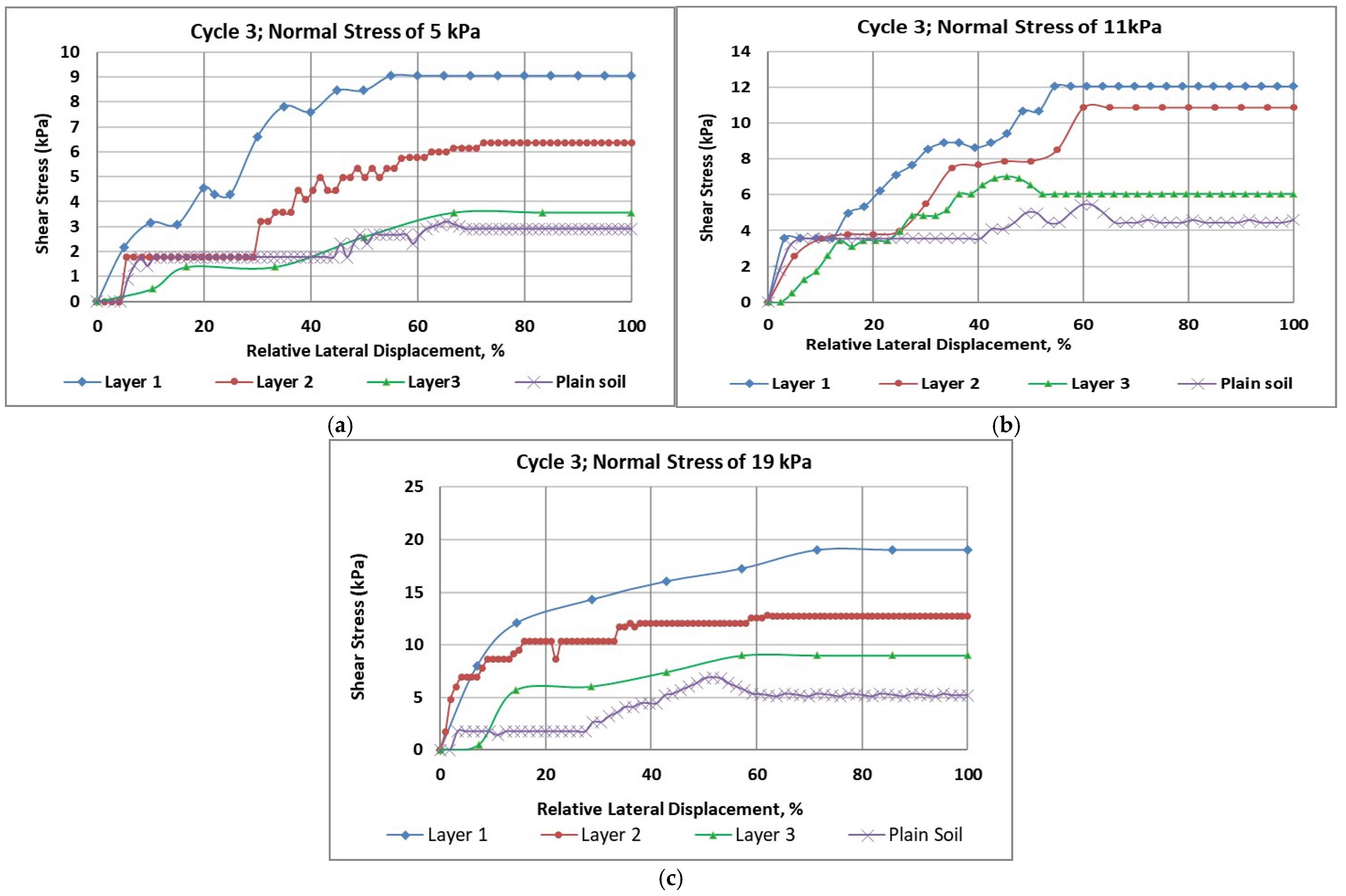
4.1. The Direct Shear Test Results
4.2. The Vane Shear Test Results
4.3. The Tensile Test Results
4.4. Calculations of the Root Area Ratio (RAR)
4.5. The W&W Model and FBM
5. Conclusions
Author Contributions
Funding
Data Availability Statement
Acknowledgments
Conflicts of Interest
References
- Abbott, K.M.; Quirk, T.; Fultz, L.M. Soil microbial community development across a 32-year coastal wetland restoration time series and the relative importance of environmental factors. Sci. Total. Environ. 2022, 821, 153359. [Google Scholar] [CrossRef] [PubMed]
- Costanza, R.; William, M.; Day, J.W. A new vision for New Orleans and the Mississippi delta: Applying ecological economics and ecological engineering. Front. Ecol. Environ. 2006, 4, 465–472. [Google Scholar] [CrossRef]
- Day, J.W., Jr.; Ko, J.-Y.; Rybczyk, J.; Sabins, D.; Bean, R.; Berthelot, G.; Brantley, C.; Cardoch, L.; Conner, W.; Day, J.N.; et al. The use of wetlands in the Mississippi Delta for wastewater assimilation: A review. Ocean Coast. Manag. 2004, 47, 671–691. [Google Scholar] [CrossRef]
- Moeller, I.; Spencer, T.E.; French, J.R. Wind wave attenuation over saltmarsh surfaces: Preliminary results from Norfolk, England. J. Coast. Res. 1996, 12, 1009–1016. [Google Scholar]
- Wayne, J.C. The effects of sea and marsh grass on wave energy. Coast. Res. Notes 1976, 4, 6–8. [Google Scholar]
- Costanza, R.; Pérez-Maqueo, O.; Martinez, M.L.; Sutton, P.; Anderson, S.J.; Mulder, K. The value of coastal wetlands for hurricane protection. AMBIO A J. Hum. Environ. 2008, 37, 241–248. [Google Scholar] [CrossRef]
- Costanza, R.; Kubiszewski, I.; Ervin, D.; Bluffstone, R.; Boyd, J.; Brown, D.; Chang, H.; Dujon, V.; Granek, E.; Polasky, S.; et al. Valuing ecological systems and services. F1000 Biol. Rep. 2011, 3, 14. [Google Scholar] [CrossRef] [PubMed]
- Barras, J.A. Land Area Change, and Overview of Major Hurricane Impacts in Coastal Louisiana, 2004–2008; U.S. Geological Survey: Reston, VA, USA, 2009.
- Couvillion, B.; Beck, H.J.; Schoolmaster, D.R.J.; Fischer, M. Land Area Change in Coastal LOUISIANA (1932 to 2016); Scientific Investigations Map; U.S. Geological Survey: Reston, VA, USA, 2017.
- Mulhern, O. NASA Imagery: Louisiana Is Losing Its Coastline, 21 January 2021. Available online: https://earth.org/data_visualization/louisiana-shrinking-coastline/ (accessed on 24 June 2025).
- Brasuell, J. $50 Billion Coastal Master Plan Updated in Louisiana, 20 January 2023. Available online: https://www.planetizen.com/news/2023/01/121104-50-billion-coastal-master-plan-updated-louisiana (accessed on 24 June 2025).
- Barry, J.M. Rising Tide: The Great Mississippi Flood of 1927 and How It Changed America; Simon and Schuster: New York, NY, USA, 1997. [Google Scholar]
- Boesch, D.F.; Josselyn, M.N.; Mehta, A.J.; Morris, J.T.; Nuttle, W.K.; Simenstad, C.A.; Swift, D.J.P. Scientific Assessment of Coastal Wetland Loss, Restoration and Management in Louisiana. J. Coast. Res. 1994, 1–103. Available online: https://www.jstor.org/stable/25735693 (accessed on 24 June 2025).
- Day, J.W.; Britsch, L.D.; Hawes, S.R.; Shaffer, G.P.; Reed, D.J.; Cahoon, D. Pattern and Process of Land Loss in the Mississippi Delta: A Spatial and Temporal Analysis of Wetland Habitat Change. Estuaries 2000, 23, 425–438. [Google Scholar] [CrossRef]
- Crone, T.J.; Tolstoy, M. Magnitude of the 2010 Gulf of Mexico Oil Leak. Science 2010, 330, 634. [Google Scholar] [CrossRef]
- McNutt, M.K.; Camilli, R.; Crone, T.J.; Guthrie, G.D.; Hsieh, P.A.; Ryerson, T.B.; Savas, O.; Shaffer, F. Review of flow rate estimates of the Deepwater Horizon oil spill. Proc. Natl. Acad. Sci. USA 2011, 109, 20260–20267. [Google Scholar] [CrossRef] [PubMed]
- Owens, E.H.; Santner, R.; Cocklan-Vendl, M.; Michel, J.; Reimer, P.D.; Stong, B. Shoreline Treatment during the Deepwater Horizon-Macondo Response. Int. Oil Spill Conf. Proc. 2011, 2011, abs271. [Google Scholar] [CrossRef][Green Version]
- Dixon, T.H.; Amelung, F.; Ferretti, A.; Novali, F.; Rocca, F.; Dokka, R.; Sella, G.; Kim, S.-W.; Wdowinski, S.; Whitman, D. Space geodesy: Subsidence and flooding in New Orleans. Nature 2006, 441, 587–588. [Google Scholar] [CrossRef]
- Shinkle, K.D.; Dokka, R.K. Rates of Vertical Displacement at Benchmarks in the Lower Mississippi Valley and the Northern Gulf Coast; National Geodetic Survey; US Department of Commerce, National Oceanic and Atmospheric Administration, National Ocean Service: Washington, DC, USA, 2004.
- Kemp, A.C.; Horton, B.P.; Donnelly, J.P.; Mann, M.E.; Vermeer, M.; Rahmstorf, S. Climate related sea-level variations over the past two millennia. Proc. Natl. Acad. Sci. USA 2011, 108, 11017–11022. [Google Scholar] [CrossRef] [PubMed]
- Day, J.W., Jr.; Boesch, D.F.; Clairain, E.J.; Kemp, G.P.; Laska, S.B.; Mitsch, W.J.; Orth, K.; Mashriqui, H.; Reed, D.J.; Shabman, L.; et al. Restoration of the Mississippi Delta: Lessons from Hurricanes Katrina and Rita. Science 2007, 315, 1679–1684. [Google Scholar] [CrossRef] [PubMed]
- Coastal Protection and Restoration Authority. Louisiana’s Comprehensive Master Plan for a Sustainable Coast; Coastal Protection and Restoration Authority: Baton Rouge, LA, USA, 2017.
- Coppin, N.J.; Richards, I.G. Use of Vegetation in Civil Engineering; Construction Industry Research and Information Association: London, UK, 1990. [Google Scholar]
- Gray, D.H.; Sotir, R.B. Biotechnical and Soil Bioengineering Slope Stabilization: A Practical Guide for Erosion Control; John Wiley & Sons: Chichester, UK, 1996; 400p. [Google Scholar]
- Greenway, D.R. Vegetation and slope stability. In Slope Stability; John Wiley & Sons: Chichester, UK, 1987; pp. 187–230. [Google Scholar]
- Pollen, N.; Simon, A. Estimating the mechanical effects of riparian vegetation on stream bank stability using a fiber bundle model. Water Resour. Res. 2005, 41, W07025. [Google Scholar] [CrossRef]
- Schmidt, K.; Roering, J.J.; Stock, J.D.; Dietrich, W.E.; Montgomery, D.R.; Schaub, T. The variability of root cohesion as an influence on shallow landslide susceptibility in the Oregon Coast Range. Can. Geotech. J. 2001, 38, 995–1024. [Google Scholar] [CrossRef]
- Wu, H.T.; McKinnell, W.P.; Swanston, D.N. Strength of tree roots and landslides on Prince of Wales Island, Alaska. Can. Geotech. J. 1979, 16, 19–33. [Google Scholar] [CrossRef]
- Martinez, A.; Frost, J.D. How nature inspires development and field development of novel geotechnical solutions. Geostrata 2023, 27, 30–38. [Google Scholar] [CrossRef]
- Waldron, L.J. The Shear Resistance of Root-Permeated Homogeneous and Stratified Soil. Soil Sci. Soc. Am. J. 1977, 41, 843–849. [Google Scholar] [CrossRef]
- Mazda, Y.; Wolanski, E.; Ridd, P. The Role of Physical Processes in Mangrove Environments: Manual for the Preservation and Utilization of Mangrove Ecosystems; Terrapub: Tokyo, Japan, 2007; p. 598. [Google Scholar]
- Cahoon, D.R.; Reed, D.J.; Day, J.W., Jr. Estimating shallow subsidence in microtidal salt marshes of the southeastern United States: Kaye and Barghoorn revisited. Mar. Geol. 1995, 128, 1–9. [Google Scholar] [CrossRef]
- Christiansen, T.; Wiberg, P.; Milligan, T. Flow and Sediment Transport on a Tidal Salt Marsh Surface. Estuar. Coast. Shelf Sci. 2000, 50, 315–331. [Google Scholar] [CrossRef]
- Le Hir, P.; Roberts, W.; Cazaillet, O.; Christie, M.; Bassoullet, P.; Bacher, C. Characterization of intertidal flat hydrodynamics. Cont. Shelf Res. 2000, 20, 1433–1459. [Google Scholar] [CrossRef]
- Shahriar, M.M.; Wang, J.X.; Patterson, W.B. Contribution of Shrub Roots on Enhancement of Slope and Embankment Stability in the Coastal Area of Louisiana. In Proceedings of the Geo-Congress 2013: Stability and Performance of Slopes and Embankments III, San Diego, CA, USA, 3–7 March 2013; American Society of Civil Engineers: Reston, VA, USA, 2013. [Google Scholar]
- Shahriar, M.M.; Wang, J.X.; Alam, S.; Patterson, W.B. Soil-binding ability of vegetation roots in enhancing erosion resistance of a shallow slope. Int. J. Geotech. Eng. 2016, 10, 409–417. [Google Scholar] [CrossRef]
- Comino, E.; Marengo, P.; Rolli, V. Root reinforcement effect of different grass species: A comparison between experimental and models results. Soil Tillage Res. 2010, 110, 60–68. [Google Scholar] [CrossRef]
- Cohen, D.; Schwarz, M.; Or, D. An analytical fiber bundle model for pullout mechanics of root bundles. J. Geophys. Res. 2011, 116, F03010. [Google Scholar] [CrossRef]
- Karimi, Z.; Abdi, E.; Deljouei, A.; Cislaghi, A.; Shirvany, A.; Schwarz, M.; Hales, T.C. Vegetation-induced soil stabilization in coastal area: An example from a natural mangrove forest. CATENA 2022, 216, 106410. [Google Scholar] [CrossRef]
- Borga, M. Hazard assessment and forecasting of landslides and debris flows: A case study in Northern Italy. In Extreme Hydroclimatic Events and Multivariate Hazards in a Changing Environment; Maggioni, V.M., Ed.; Elsevier: Chennai, India, 2019; pp. 343–367. [Google Scholar]
- Chakrabarti, B.K.; Biswas, S.; Pradhan, S. Cooperative Dynamics in the Fiber Bundle Model. Front. Phys. 2021, 8, 613392. [Google Scholar] [CrossRef]
- Cronkite-Ratcliff, C.; Schmidt, K.M.; Wirion, C. Comparing Root Cohesion Estimates from Three Models at a Shallow Landslide in the Oregon Coast Range. Geohazards 2022, 3, 428–451. [Google Scholar] [CrossRef]
- Hales, T.C. Modelling biome-scale root reinforcement and slope stability. Earth Surf. Process. Landf. 2018, 43, 2157–2166. [Google Scholar] [CrossRef]
- Mao, Z. Root reinforcement models: Classification, criticism and perspectives. Plant Soil 2022, 472, 17–28. [Google Scholar] [CrossRef]
- Meijer, G.J. A generic form of fibre bundle models for root reinforcement of soil. Plant Soil 2021, 468, 45–65. [Google Scholar] [CrossRef]
- Phan, T.N.; Likitlersuang, S.; Kamchoom, V.; Leung, A.K. Root biomechanical properties of Chrysopogon zizanioides and Chrysopogon nemoralis for soil reinforcement and slope stabilisation. Land Degrad. Dev. 2021, 32, 4624–4636. [Google Scholar] [CrossRef]
- Ruiz, S.; Fletcher, D.M.; Williams, K.; Roose, T. Review of plant-soil modelling: Root growth, nutrient and water transport/uptake, and mechanics. Plant Soil Model. 2021, 4, 1. [Google Scholar] [CrossRef]
- Spiekermann, R.I. Quantifying the Performance of Silvopastoralism for Landslide Erosion and Sediment Control in New Zealand’s Hill Country. Ph.D. Thesis, Massey University, Palmerston North, New Zealand, 2022. [Google Scholar]
- Anderson, C.E. Review of structure in several North Carolina salt marsh plants. In Ecology of Halophytes; Academic Press: Cambridge, MA, USA, 1974; pp. 307–344. [Google Scholar]
- Broome, S.W.; Seneca, E.D.; Woodhouse, W.W. Tidal salt marsh restoration. Aquat. Bot. 1988, 32, 1–22. [Google Scholar] [CrossRef]
- Craft, C.; Reader, J.; Sacco, J.N.; Broome, S.W. Twenty-five years of ecosystem development of constructed Spartina alterniflora (Loisel) marshes. Ecol. Appl. 1999, 9, 1405–1419. [Google Scholar] [CrossRef]
- Zedler, J.B. Progress in wetland restoration ecology. Trends Ecol. Evol. 2000, 15, 402–407. [Google Scholar] [CrossRef]
- Miller, M. Operations, Maintenance and Monitoring Report for Sabine Refuge Marsh Creation Project (CS-28), Coastal Protection and Restoration Authority of Louisiana; Coastal Protection and Restoration: Lafayette, LA, USA, 2014.
- Quilichini, G.F.S.; Woodward, M.L. Draft Geotechnical Data Report Field and Laboratory Services—Borrow Area Investigation No Name Bayou Marsh Creation & Nourishment (CS-0078), Cameron Parish, Louisiana; Coastal Protection and Restoration Authority: Baton Rouge, LA, USA, 2004.
- Apu, O.S.; Wang, J.X.; Sarker, D. Evolution of large-strain one-dimensional consolidation test for Louisiana marsh soil. In Proceedings of the International Foundation Congress and Equipment Expo, Dallas, TX, USA, 10–14 May 2021. [Google Scholar]
- ASTM D3080; Standard Test Method for Direct Shear Test of Soils Under Consolidated Drained Conditions, vol. 04.08. American Society for Testing and Materials: West Conshohocken, PA, USA, 2012.
- Baral, S. Experimental and Computational Studies on the Reinforcement Effect of Smooth Cord Grass (Spartina Alterniflora) on Erosion in Louisiana Coastal Marsh Creation Project. Master’s Thesis, Louisiana Tech University, Ruston, LA, USA, 2018. [Google Scholar]
- Baral, S.; Wang, J.X.; Alam, S.; Patterson, W.B. Experimental and Analytical Studies on the Root Reinforcement Effect of a Grass Species. In Proceedings of the Geo-Congress 2019: Soil Erosion, Underground Engineering, and Risk Assessment (GSP 313), Pennsylvania, PA, USA, 24–27 March 2019. [Google Scholar]
- ASTM D2573; Standard Test Method for Field Vane Shear Test in Saturated Fine-Grained Soils, vol. 04.08. American Society for Testing and Materials: West Conshohocken, PA, USA, 2018.
- Bjerrum, L. Embankments on soft ground. In Proceedings of the ASCE Conference on Performance of Earth-Supported Structures, West Lafayette, IN, USA, 11–14 June 1972. [Google Scholar]
- Mao, Z.; Yang, M.; Bourrier, F.; Fourcaud, T. Evaluation of root reinforcement models using numerical modelling approaches. Plant Soil 2014, 381, 249–270. [Google Scholar] [CrossRef]










| Soil Properties | (%) | (Pcf) | (%) | PI (%) | |||
|---|---|---|---|---|---|---|---|
| Range | 24.4–418 | 18.5–100 | 37–394 | 17–268 | 2.35–2.72 | 0.16–2.86 | 0.669–12.74 |
| Average | 110.52 | 55.08 | 116.93 | 79.52 | 2.60 | 0.96 | 2.96 |
| SD | 83.86 | 23.18 | 105.37 | 73.98 | 0.11 | 0.73 | 2.48 |
| Normal Stress (kPa) | Peak Shear Strength (kPa) | |||||||
|---|---|---|---|---|---|---|---|---|
| Layer 1 (0–8 cm) | Layer 2 (8–16 cm) | Layer 3 (16–24 cm) | Plain Soil Layer | |||||
| Cycle 1 | Cycle 3 | Cycle 1 | Cycle 3 | Cycle 1 | Cycle 3 | Cycle 1 | Cycle 3 | |
| 5 | 9.00 | 9.04 | 7.24 | 6.35 | 5.43 | 3.55 | 3.62 | 3.20 |
| 11 | 14.54 | 12.00 | 9.04 | 10.85 | 6.03 | 7.01 | 5.43 | 5.43 |
| 19 | 19.80 | 19.00 | 14.54 | 12.70 | 10.90 | 9.00 | 7.15 | 6.90 |
| Cohesion c (kPa) | 5.51 | 4.94 | 4.08 | 4.81 | 2.75 | 2.07 | 2.48 | 2.14 |
| Friction Angle (ϕ) | 37.40 | 35.76 | 27.80 | 23.83 | 21.93 | 20.89 | 14.04 | 14.56 |
| Root Type | Root Samples | Peak Load (N) | Diameter (mm) | Tensile Strength (kPa) | Average Tensile Strength (kPa) |
|---|---|---|---|---|---|
| R1 | R11 | 42.66 | 4.32 | 2913.062 | 2198.05 |
| R12 | 39.74 | 4.57 | 2420.523 | ||
| R13 | 28.17 | 5.33 | 1260.572 | ||
| R2 | R21 | 16.59 | 3.30 | 1937.54 | 2652.37 |
| R22 | 9.52 | 2.03 | 2935.37 | ||
| R23 | 8.50 | 1.78 | 3421.89 | ||
| R24 | 15.75 | 3.05 | 2158.09 | ||
| R25 | 14.68 | 2.79 | 2394.18 | ||
| R26 | 12.59 | 2.29 | 3067.12 | ||
| R3 | R31 | 8.18 | 0.86 | 13,972.98 | 15,617.63 |
| R32 | 7.92 | 0.76 | 17,362.27 | ||
| R33 | 7.07 | 0.74 | 16,597.02 | ||
| R34 | 5.65 | 0.69 | 15,293.44 | ||
| R35 | 5.43 | 0.64 | 17,135.97 | ||
| R36 | 8.76 | 0.91 | 13,344.13 |
| Layer | Soil Shear Plane Area (mm2) | Root Type | Root Dia. (mm) | No. of Roots | Root Area (mm2) | RAR for Each Root Type | Tensile Strength (kPa) | Root Cohesion Cr (kPa) (Wu et al. Perpendicular Model) [37] | Root Cohesion Cr (kPa) (FBM) [26] | Cr from Direct Shear Test (kPa) | Cr from Tensile Test (Excluding 1.2 of Wu et al. Model) [37] | Correlation Coefficient | Average of Correlation Coefficient |
|---|---|---|---|---|---|---|---|---|---|---|---|---|---|
| CYCLE 1 | 0.058 | ||||||||||||
| 0–8 cm | 3166.92 | R1 | 5.33 | 1 | 22.346 | 0.0071 | 1260.57 | 54.97 | 49.65 | 3.10 | 45.81 | 0.07 | |
| R1 | 4.32 | 1 | 14.644 | 0.0046 | 2913.06 | ||||||||
| R2 | 3.30 | 1 | 8.5530 | 0.0027 | 1937.54 | ||||||||
| R2 | 2.79 | 1 | 6.1136 | 0.0019 | 2394.18 | ||||||||
| R3 | 0.86 | 1 | 0.5809 | 0.0002 | 13,972.98 | ||||||||
| R3 | 0.76 | 1 | 0.4536 | 0.0001 | 17,362.27 | ||||||||
| R3 | 0.74 | 1 | 0.4301 | 0.0001 | 16,597.02 | ||||||||
| R3 | 0.69 | 1 | 0.3739 | 0.0001 | 15,293.44 | ||||||||
| R3 | 0.64 | 1 | 0.3217 | 0.0001 | 17,135.97 | ||||||||
| R3 | 0.91 | 1 | 0.6504 | 0.0002 | 13,344.13 | ||||||||
| 8–16 cm | 3166.92 | R1 | 4.57 | 1 | 16.417 | 0.0052 | 2420.52 | 36.32 | 19.02 | 1.70 | 30.27 | 0.06 | |
| R2 | 2.79 | 1 | 6.1136 | 0.0019 | 2394.18 | ||||||||
| R2 | 2.29 | 1 | 4.1187 | 0.0013 | 3067.12 | ||||||||
| R3 | 0.86 | 1 | 0.5809 | 0.0002 | 13,972.98 | ||||||||
| R3 | 0.76 | 1 | 0.4536 | 0.0001 | 17,362.27 | ||||||||
| R3 | 0.74 | 1 | 0.4301 | 0.0001 | 16,597.02 | ||||||||
| R3 | 0.69 | 1 | 0.3739 | 0.0001 | 15,293.44 | ||||||||
| 16–24 cm | 3166.92 | R1 | 4.57 | No roots found in category R1 | 13.79 | 13.58 | 0.30 | 11.49 | 0.03 | ||||
| R2 | 1.78 | 1 | 2.4885 | 0.0008 | 3421.89 | ||||||||
| R2 | 2.03 | 1 | 3.2365 | 0.001 | 2935.37 | ||||||||
| R3 | 0.74 | 1 | 0.4301 | 0.0001 | 16,597.02 | ||||||||
| R3 | 0.69 | 1 | 0.3739 | 0.0001 | 15,293.44 | ||||||||
| R3 | 0.64 | 1 | 0.3217 | 0.0001 | 17,135.97 | ||||||||
| CYCLE 3 | |||||||||||||
| 0–8 cm | 3166.92 | R1 | 4.57 | 1 | 16.417 | 0.0052 | 2244.34 | 48.07 | 27.16 | 2.76 | 40.06 | 0.07 | |
| R2 | 3.30 | 1 | 8.553 | 0.0027 | 1937.54 | ||||||||
| R2 | 3.05 | 1 | 7.3062 | 0.0023 | 2158.09 | ||||||||
| R2 | 2.79 | 1 | 6.1136 | 0.0019 | 2394.18 | ||||||||
| R3 | 0.86 | 1 | 0.5809 | 0.0002 | 13,972.98 | ||||||||
| R3 | 0.76 | 1 | 0.4536 | 0.0001 | 17,362.27 | ||||||||
| R3 | 0.74 | 1 | 0.4301 | 0.0001 | 16,597.02 | ||||||||
| R3 | 0.69 | 1 | 0.3739 | 0.0001 | 15,293.44 | ||||||||
| R3 | 0.64 | 1 | 0.3217 | 0.0001 | 17,135.97 | ||||||||
| R3 | 0.91 | 1 | 0.6504 | 0.0002 | 13,344.13 | ||||||||
| 8–16 cm | 3166.92 | R1 | 4.57 | No roots found in category R1 | 24.70 | 24.45 | 2.66 | 20.58 | 0.13 | ||||
| R2 | 2.79 | 1 | 6.1136 | 0.0019 | 2394.18 | ||||||||
| R2 | 2.29 | 1 | 4.1187 | 0.0013 | 3067.12 | ||||||||
| R2 | 2.03 | 1 | 3.2365 | 0.001 | 2935.37 | ||||||||
| R3 | 0.86 | 1 | 0.5809 | 0.0002 | 13,972.98 | ||||||||
| R3 | 0.76 | 1 | 0.4536 | 0.0001 | 17,362.27 | ||||||||
| R3 | 0.74 | 1 | 0.4301 | 0.0001 | 16,597.02 | ||||||||
| R3 | 0.69 | 1 | 0.3739 | 0.0001 | 15,293.44 | ||||||||
| R3 | 0.64 | 1 | 0.3217 | 0.0001 | 17,135.97 | ||||||||
| R3 | 0.91 | 1 | 0.6504 | 0.0002 | 13,344.13 | ||||||||
| 16–24 cm | 3166.92 | R1 | 4.57 | No roots found in category R1 | 10.19 | 10.87 | 0.00 | 8.49 | 0.00 | ||||
| R2 | 1.78 | 1 | 2.4885 | 0.0008 | 3421.89 | ||||||||
| R3 | 0.74 | 1 | 0.4301 | 0.0001 | 16,597.02 | ||||||||
| R3 | 0.69 | 1 | 0.3739 | 0.0001 | 15,293.44 | ||||||||
| R3 | 0.64 | 1 | 0.3217 | 0.0001 | 17,135.97 | ||||||||
Disclaimer/Publisher’s Note: The statements, opinions and data contained in all publications are solely those of the individual author(s) and contributor(s) and not of MDPI and/or the editor(s). MDPI and/or the editor(s) disclaim responsibility for any injury to people or property resulting from any ideas, methods, instructions or products referred to in the content. |
© 2025 by the authors. Licensee MDPI, Basel, Switzerland. This article is an open access article distributed under the terms and conditions of the Creative Commons Attribution (CC BY) license (https://creativecommons.org/licenses/by/4.0/).
Share and Cite
Baral, S.; Wang, J.X.; Alam, S.; Patterson, W.B. Soil Strength Improvement Ability of Spartina alterniflora Established on Dredged Soils in Louisiana Coastal Area. Geotechnics 2025, 5, 45. https://doi.org/10.3390/geotechnics5030045
Baral S, Wang JX, Alam S, Patterson WB. Soil Strength Improvement Ability of Spartina alterniflora Established on Dredged Soils in Louisiana Coastal Area. Geotechnics. 2025; 5(3):45. https://doi.org/10.3390/geotechnics5030045
Chicago/Turabian StyleBaral, Sujan, Jay X. Wang, Shaurav Alam, and William B. Patterson. 2025. "Soil Strength Improvement Ability of Spartina alterniflora Established on Dredged Soils in Louisiana Coastal Area" Geotechnics 5, no. 3: 45. https://doi.org/10.3390/geotechnics5030045
APA StyleBaral, S., Wang, J. X., Alam, S., & Patterson, W. B. (2025). Soil Strength Improvement Ability of Spartina alterniflora Established on Dredged Soils in Louisiana Coastal Area. Geotechnics, 5(3), 45. https://doi.org/10.3390/geotechnics5030045

