Advances in the Diagnosis of Nervous System Diseases—3rd Edition

A special issue of Diagnostics (ISSN 2075-4418). This special issue belongs to the section "Clinical Diagnosis and Prognosis".

Deadline for manuscript submissions: 31 December 2025 | Viewed by 2204

Special Issue Editor


E-Mail Website
Guest Editor
Department of Biomedical Sciences, School of Health Sciences, International Hellenic University, Thessaloniki, Greece
Interests: Alzheimer’s disease; neurodegenerative diseases; clinical neurophysiology; event-related potentials
Special Issues, Collections and Topics in MDPI journals

Special Issue Information

Dear Colleagues,

The diagnosis of neurological diseases is one of the most difficult challenges for medical professionals, due to the complexity of the nervous system. Currently, more than 600 diseases have been identified, including neurodegenerative diseases such as Alzheimer’s disease and Parkinson’s disease, cerebrovascular diseases, and others, such as multiple sclerosis, migraines, neuroinfections, and neuromuscular diseases [1]. According to a report from the World Health Organization, nervous system diseases affect up to one billion people worldwide [2]. Several methods, such as magnetic resonance imaging, CSF biomarkers, and genetic and neurophysiological tests, provide useful information for the diagnosis of neurological diseases.

In this Special Issue, entitled “Advances in the Diagnosis of Nervous System Diseases—3rd Edition”, we invite investigators to contribute original research or review articles that focus on the role of tests or biomarkers (molecular, neuroimaging, genetic, and neurophysiological) in the diagnosis of nervous system diseases.

References

  1. Mott, M.; Koroshetz, W. Bridging the Gap in Neurotherapeutic Discovery and Development: The Role of the National Institute of Neurological Disorders and Stroke in Translational Neuroscience. Neurotherapeutics 201512, 651–654. https://doi.org/10.1007/s13311-015-0366-6.
  2. World Health Organisation. Neurological Disorders: Public Health Challenges; World Health Organization: Geneva, Switzerland, 2007.

Dr. Vasileios T. Papaliagkas
Guest Editor

Manuscript Submission Information

Manuscripts should be submitted online at www.mdpi.com by registering and logging in to this website. Once you are registered, click here to go to the submission form. Manuscripts can be submitted until the deadline. All submissions that pass pre-check are peer-reviewed. Accepted papers will be published continuously in the journal (as soon as accepted) and will be listed together on the special issue website. Research articles, review articles as well as short communications are invited. For planned papers, a title and short abstract (about 250 words) can be sent to the Editorial Office for assessment.

Submitted manuscripts should not have been published previously, nor be under consideration for publication elsewhere (except conference proceedings papers). All manuscripts are thoroughly refereed through a single-blind peer-review process. A guide for authors and other relevant information for submission of manuscripts is available on the Instructions for Authors page. Diagnostics is an international peer-reviewed open access semimonthly journal published by MDPI.

Please visit the Instructions for Authors page before submitting a manuscript. The Article Processing Charge (APC) for publication in this open access journal is 2600 CHF (Swiss Francs). Submitted papers should be well formatted and use good English. Authors may use MDPI's English editing service prior to publication or during author revisions.

Keywords

  • neuroimaging
  • neurodegenerative diseases
  • Alzheimer's disease
  • cognitive impairment
  • brain tumors

Benefits of Publishing in a Special Issue

  • Ease of navigation: Grouping papers by topic helps scholars navigate broad scope journals more efficiently.
  • Greater discoverability: Special Issues support the reach and impact of scientific research. Articles in Special Issues are more discoverable and cited more frequently.
  • Expansion of research network: Special Issues facilitate connections among authors, fostering scientific collaborations.
  • External promotion: Articles in Special Issues are often promoted through the journal's social media, increasing their visibility.
  • Reprint: MDPI Books provides the opportunity to republish successful Special Issues in book format, both online and in print.

Further information on MDPI's Special Issue policies can be found here.

Published Papers (3 papers)

Order results
Result details
Select all
Export citation of selected articles as:

Research

21 pages, 2034 KB  
Article
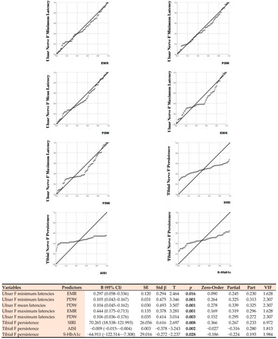
Multidimensional Characterization of Parkinson’s Disease Subtypes Through Motor Neuron Excitability and Peripheral Immune Dynamics: Insights from F-Wave Modulation Metrics
by Esra Demir Unal and Yiğit Emre Dagdelen
Diagnostics 2026, 16(1), 27; https://doi.org/10.3390/diagnostics16010027 - 22 Dec 2025
Abstract
Background/Objective: Central pathophysiological heterogeneity among Parkinson’s disease (PD) motor subtypes has been increasingly recognized, yet subtype-specific peripheral disturbances are limited. We aimed to characterize demographic, biochemical, and neurophysiological differences among PD motor subtypes, evaluate hematoinflammatory effects on peripheral and proximal motor conduction, and [...] Read more.
Background/Objective: Central pathophysiological heterogeneity among Parkinson’s disease (PD) motor subtypes has been increasingly recognized, yet subtype-specific peripheral disturbances are limited. We aimed to characterize demographic, biochemical, and neurophysiological differences among PD motor subtypes, evaluate hematoinflammatory effects on peripheral and proximal motor conduction, and identify prognostic phenotypic biomarkers. Methods: A total of 110 participants (60 idiopathic PD patients (30 akinetic-rigid (AR), 30 tremor-predominant (TD), and 50 age- and sex-matched healthy controls (HCs)) were enrolled. Demographic data, nerve conduction studies (NCS) including detailed F-wave analysis, and hematoinflammatory markers were collected. Kruskal–Wallis, linear mixed models, multivariable regression, and ROC analyses were applied. Results: Hematoinflammatory indices were elevated in both subtypes compared with HCs, with more pronounced changes in AR (mean platelet volume (MPV) H = 4.367, p = 0.003; systemic inflammatory response index (SIRI) H = 3.929, p = 0.004). AR showed severe upper-limb–predominant motor involvement (median motor onset latency H = 55.30, p < 0.001; amplitude H = 50.52, p = 0.04; conduction velocity H = 49.15, p < 0.001), whereas TD showed milder, lower-limb–predominant changes (tibial motor onset latency H = 19.89, p < 0.001; amplitude H = 51.50, p = 0.02; velocity H = 15.39, p < 0.001). AR also demonstrated prolonged minimal (Fmin)/mean (Fmean) ulnar F-wave latencies versus TD (respectively, H = 10.51, p = 0.001; H = 8.79, p = 0.003), with both showing increased tibial Fmean/Fmax latencies. Platelet–eosinophil indices independently predicted ulnar F-latencies (B = 0.104–0.105; p = 0.001; model R2 = 0.21–0.39). Select F-wave metrics yielded ROC AUCs ≈ 0.65–0.92 (ulnar Fmin AUC ≈ 0.92 vs. HCs); AR achieved sensitivity/specificity ≈ 70–74%. Conclusions: The AR subtype showed increased hematoinflammatory changes, specifically in MPV and SIRI, as well as a tendency toward more pronounced proximal motor and peripheral nerve conduction impairment compared with TD. Platelet–eosinophil indices and F-wave metrics may represent potential candidate markers for diagnostic or stratification purposes in PD subtyping and could possibly aid in prognostic estimation. Full article
(This article belongs to the Special Issue Advances in the Diagnosis of Nervous System Diseases—3rd Edition)
Show Figures

Figure 1

16 pages, 1094 KB  
Article
Recognition of EEG Features in Autism Disorder Using SWT and Fisher Linear Discriminant Analysis
by Fahmi Fahmi, Melinda Melinda, Prima Dewi Purnamasari, Elizar Elizar and Aufa Rafiki
Diagnostics 2025, 15(18), 2291; https://doi.org/10.3390/diagnostics15182291 - 10 Sep 2025
Cited by 1 | Viewed by 1185
Abstract
Background/Objectives: An ASD diagnosis from EEG is challenging due to non-stationary, low-SNR signals and small cohorts. We propose a compact, interpretable pipeline that pairs a shift-invariant Stationary Wavelet Transform (SWT) with Fisher’s Linear Discriminant (FLDA) as a supervised projection method, delivering band-level [...] Read more.
Background/Objectives: An ASD diagnosis from EEG is challenging due to non-stationary, low-SNR signals and small cohorts. We propose a compact, interpretable pipeline that pairs a shift-invariant Stationary Wavelet Transform (SWT) with Fisher’s Linear Discriminant (FLDA) as a supervised projection method, delivering band-level insight and subject-wise evaluation suitable for resource-constrained clinics. Methods: EEG from the KAU dataset (eight ASD, eight controls; 256 Hz) was decomposed with SWT (db4). We retained levels 3, 4, and 6 (γ/β/θ) as features. FLDA learned a low-dimensional discriminant subspace, followed by a linear decision rule. Evaluation was conducted using a subject-wise 70/30 split (no subject overlap) with accuracy, precision, recall, F1, and confusion matrices. Results: The β band (Level 4) achieved the best performance (accuracy/precision/recall/F1 = 0.95), followed by γ (0.92) and θ (0.85). Despite partial overlap in FLDA scores, the projection maximized between-class separation relative to within-class variance, yielding robust linear decisions. Conclusions: Unlike earlier FLDA-only pipelines and wavelet–entropy–ANN approaches, our study (1) employs SWT (undecimated, shift-invariant) rather than DWT to stabilize sub-band features on short resting segments, (2) uses FLDA as a supervised projection to mitigate small-sample covariance pathologies before classification, (3) provides band-specific discriminative insight (β > γ/θ) under a subject-wise protocol, and (4) targets low-compute deployment. These choices yield a reproducible baseline with competitive accuracy and clear clinical interpretability. Future work will benchmark kernel/regularized discriminants and lightweight deep models as cohort size and compute permit. Full article
(This article belongs to the Special Issue Advances in the Diagnosis of Nervous System Diseases—3rd Edition)
Show Figures

Figure 1

12 pages, 900 KB  
Article
Quantitative DSA Analysis of MCA Aneurysms Using SymDIRECT Pixel Clustering: A Novel Framework for Objective Post-Treatment Evaluation
by Ante Rotim, Marina Raguž, Nikica Fulir, Darko Orešković, Vladimir Kalousek, Petar Marčinković, Krešimir Rotim, Bruno Splavski, Silva Butković Soldo and Tomislav Sajko
Diagnostics 2025, 15(16), 2036; https://doi.org/10.3390/diagnostics15162036 - 14 Aug 2025
Viewed by 769
Abstract
Background: Digital subtraction angiography (DSA) remains the gold standard for assessing aneurysm morphology before and after treatment. While visual interpretation is common, quantitative image analysis remains underutilized in clinical practice. This study aimed to evaluate postoperative vascular changes in patients with middle cerebral [...] Read more.
Background: Digital subtraction angiography (DSA) remains the gold standard for assessing aneurysm morphology before and after treatment. While visual interpretation is common, quantitative image analysis remains underutilized in clinical practice. This study aimed to evaluate postoperative vascular changes in patients with middle cerebral artery (MCA) aneurysms using SymDIRECT-based pixel clustering on preoperative and postoperative DSA images. Methods: A total of 59 patients with unruptured MCA aneurysms were analyzed retrospectively. SymDIRECT clustering segmented angiographic images into four intensity clusters. Quantitative comparison of cluster pixel counts between pre- and postoperative images was performed. Results: Both neurosurgical clipping and endovascular treatment groups demonstrated significant reductions in medium- and high-intensity pixel clusters postoperatively, reflecting successful aneurysm occlusion. The background cluster increased post-treatment in most cases, with an average rise of over 14%, indicating effective anatomical exclusion of the aneurysm. Conclusions: SymDIRECT-based pixel clustering enables objective, pixel-level quantification of treatment response in DSA images. This approach may support standardized imaging follow-up protocols and improve reproducibility in neurovascular outcome assessment. Future integration with AI-based segmentation could facilitate real-time image interpretation. Full article
(This article belongs to the Special Issue Advances in the Diagnosis of Nervous System Diseases—3rd Edition)
Show Figures

Figure 1

Back to TopTop