Multidimensional Characterization of Parkinson’s Disease Subtypes Through Motor Neuron Excitability and Peripheral Immune Dynamics: Insights from F-Wave Modulation Metrics
Abstract
1. Introduction
2. Materials and Methods
Statistical Methods
3. Results
3.1. Demographic and Clinical Parameters
3.2. Peripheral Immune and Hematologic Dynamics Across Groups
3.2.1. AR Phenotype Assessment
3.2.2. TD Phenotype Assessment
3.3. Quantitative Electrophysiological Characteristics of Groups
3.3.1. Electrophysiological Characteristics of the AR Phenotype
3.3.2. Electrophysiological Characteristics of TD Phenotype
3.4. Quantitative Analysis of F-Wave Parameters
3.4.1. Modeling of F-Wave Parameters in AR Phenotype
3.4.2. Modeling of F-Wave Parameters in the TD Phenotype
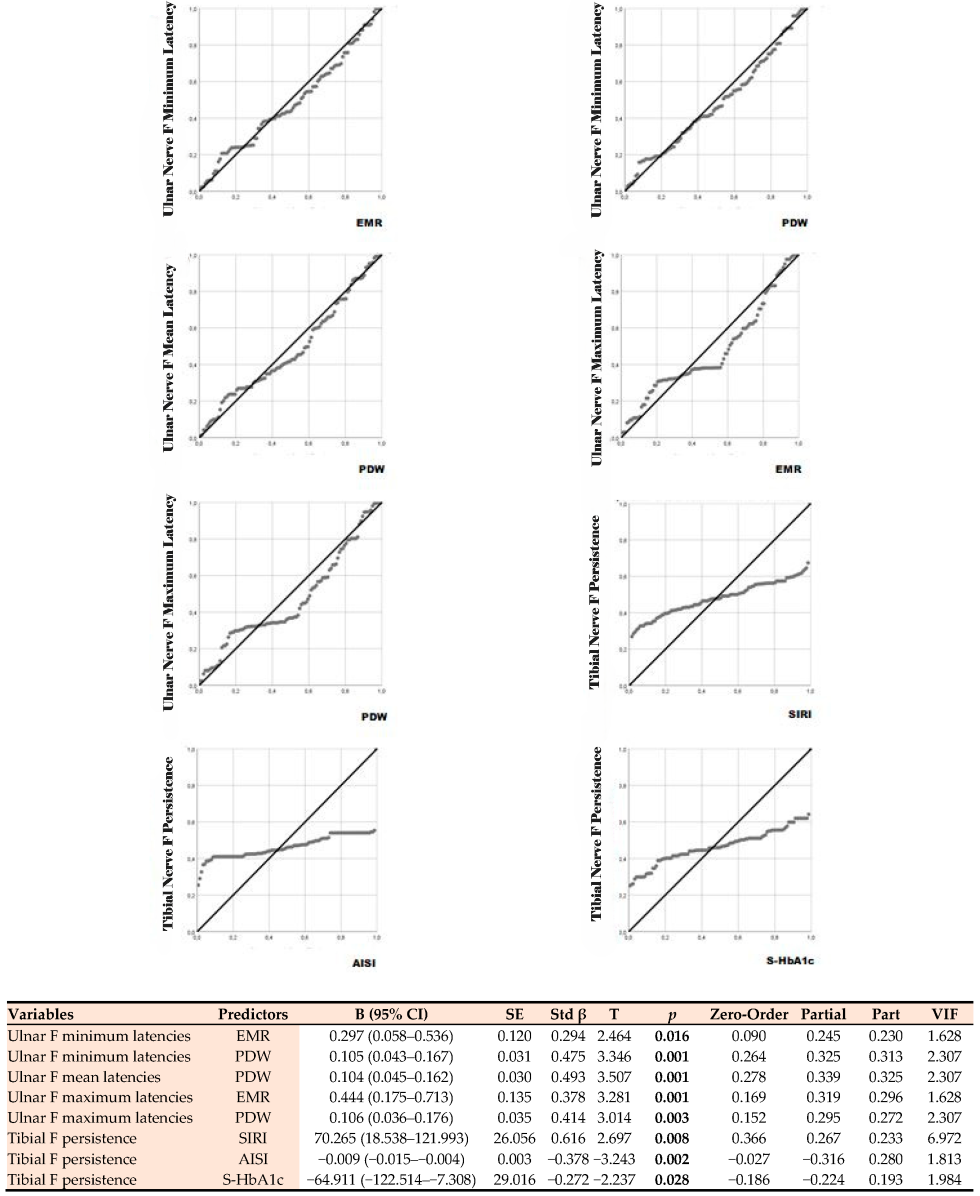
3.5. Multiple Linear Regression Analysis of F-Wave Parameters for Clinical and Biochemical Predictors
3.5.1. Relationship with Clinical Disability Scores
3.5.2. Relationship with Biochemical Predictors
3.6. Statistical Assessment of ROC and Heatmap Findings in F-Wave–Biomarker Associations
4. Discussion
Limitations
5. Conclusions
Author Contributions
Funding
Institutional Review Board Statement
Informed Consent Statement
Data Availability Statement
Conflicts of Interest
Abbreviations
| PD | Parkinson’s disease |
| AR | Akinetic-Rigid |
| TD | Tremor-Dominant |
| HCs | Healthy Controls |
| NCS | Nerve Conduction Studies |
| CBC | Complete Blood Count |
| HbA1c | Glycated Hemoglobin A1c |
| MDS-UPDRS III | Movement Disorder Society–Unified Parkinson’s Disease Rating Scale Part III |
| mH&Y | Modified Hoehn and Yahr scale |
| EMG | Electromyography |
| NMR | Neutrophil/Monocyte Ratio |
| EMR | Eosinophil/Monocyte Ratio |
| BMR | Basophil/Monocyte Ratio |
| NLR | Neutrophil/Lymphocyte Ratio |
| ERR | Eosinophil/RBC Ratio |
| RBC | Red Blood Cell |
| MPV | Mean Platelet Volume |
| PDW | Platelet Distribution Width |
| SII | Systemic Immune-Inflammation Index |
| SIRI | Systemic Inflammation Response Index |
| AISI | Aggregate Index of Systemic Inflammation |
| WBC | White Blood Cell Count |
| S-Glucose | Serum Glucose |
| Fmin | F-wave minimum latency |
| Fmean | F-wave mean latency |
| Fmax | F-wave maximum latency |
| IQR | Interquartile Range |
| SD | Standard Deviation |
| VIF | Variance Inflation Factor |
| ROC | Receiver Operating Characteristic |
| AUC | Area Under the ROC Curve |
| PPV | Positive Predictive Value |
| NPV | Negative Predictive Value |
| TP | True Positive |
| FN | False Negative |
| TN | True Negative |
| FP | False Positive |
| FDR | False Discovery Rate |
Appendix A
Appendix A.1
| Variable | AR | TD | HC | Test Statistics | p-Value |
|---|---|---|---|---|---|
| Age, years (mean ± SD) | 66.7 ± 1.37 | 66.9 ± 1.7 | 66.1 ± 0.9 | H = 0.394 | 0.530 |
| Female, n (%) | 10 (33.3%) | 12 (40.0%) | 16 (32.0%) | 0.558 | 0.757 |
| Smoking history, n (%) | 7 (23.3%) | 10 (33.3%) | 20 (40.0%) | 2.34 | 0.311 |
| Drinking history, n (%) | 1 (3.3%) | 0 (0.0%) | 4 (8.0%) | 2.90 | 0.234 |
| Congestive heart failure, n (%) | 3 (10.0%) | 6 (20.0%) | 8 (16.0%) | 1.16 | 0.557 |
| Cardiac arrhythmias, n (%) | 4 (13.3%) | 8 (26.7%) | 2 (4.0%) | 8.63 | 0.013 |
| Valvular disease, n (%) | 8 (26.7%) | 6 (20.0%) | 0 (0.0%) | 13.96 | 0.001 * |
| Pulmonary circulation disorders, n (%) | 2 (6.7%) | 2 (6.7%) | 7 (14.0%) | 1.63 | 0.443 |
| Peripheral vascular disorders, n (%) | 9 (30.0%) | 8 (26.7%) | 9 (18.0%) | 1.70 | 0.426 |
| Hypertension, n (%) | 21 (70.0%) | 19 (63.3%) | 16 (32.0%) | 13.38 | 0.001 * |
| Chronic pulmonary disease, n (%) | 1 (3.3%) | 5 (16.7%) | 1 (2.0%) | 7.40 | 0.025 |
| Liver disease, n (%) | 1 (3.3%) | 0 (0.0%) | 6 (12.0%) | 5.16 | 0.076 |
| Thyroid dysfunction, n (%) | 5 (16.7%) | 7 (23.3%) | 0 (0.0%) | 11.91 | 0.003 * |
| Psychosis, n (%) | 13 (43.3%) | 3 (10.0%) | 9 (18.0%) | 10.65 | 0.005 * |
| Depression, n (%) | 14 (46.7%) | 4 (13.3%) | 0 (0.0%) | 30.11 | <0.001 ** |
| Use of lipid-lowering drugs, n (%) | 3 (10.0%) | 9 (30.0%) | 0 (0.0%) | 17.39 | <0.001 ** |
Appendix A.2
| Variable | AR | TD | Test Statistics | p-Value |
|---|---|---|---|---|
| Disease duration, years | 4.50 (2–8) | 5.0 (2–10) | U = 440 | 0.888 |
| Family history, n (%) | 1 (3.3%) | 3 (10%) | χ2 = 1.07 | 0.301 |
| Dopamine dysregulation syndrome, n (%) | 3 (10%) | 3 (10%) | χ2 = 3.906 | 0.142 |
| Levodopa-containing drug, score | 2.30 (1–2.30) | 1.20 (0.75–2.30) | U = 315 | 0.40 |
| Dopamine agonist, score | 1.0 (0–1) | 1.0 (0–1) | U = 381 | 0.231 |
| MAO-B inhibitor, n (%) | 24 (80%) | 25 (83%) | χ2 = 0.11 | 0.739 |
| Amantadine, n (%) | 10 (33%) | 4 (13%) | χ2 = 3.35 | 0.067 |
| Daily levodopa dose (mg) | 544.5 (357.7–684) | 519 (281.2–688.7) | U = 405 | 0.509 |
| Daily levodopa-equivalent dose (mg) | 300.00 (100–450) | 300.00 (175–400) | U = 428 | 0.749 |
| Off-time (h/day) | 2.00 (0–6) | 2.00 (0–2) | U = 217 | < 0.01 ** |
| Off-state dystonia (h/day) | 0.00 (0–1) | 0.00 (0–0) | U = 373 | 0.091 |
| Time with dyskinesias (h/day) | 0.00 (0–0) | 0.00 (0–0) | U = 390 | 0.133 |
| Functional impact of dyskinesias | 0.00 (0–0) | 0.00 (0–0) | U = 384 | 0.098 |
| Functional impact of fluctuations | 2.00 (0–3) | 2.00 (0–1) | U = 216 | < 0.01 ** |
| Complexity of motor fluctuations | 2.00 (0–2) | 0.00 (0–1) | U = 232 | < 0.01 * |
| Hoehn and Yahr stage | 3.00 (2–3) | 3.00 (1–2) | U = 242 | < 0.01 * |
| UPDRS-III (motor score) | 30.00 (8.7–44.2) | 10.50 (8–23) | U = 267 | < 0.01 ** |
References
- Bloem, B.R.; Okun, M.S.; Klein, C. Parkinson’s disease. Lancet 2021, 397, 2284–2303. [Google Scholar] [CrossRef]
- Fereshtehnejad, S.M.; Zeighami, Y.; Dagher, A.; Postuma, R.B. Clinical criteria for subtyping Parkinson’s disease: Biomarkers and longitudinal progression. Brain 2017, 140, 1959–1976. [Google Scholar] [CrossRef] [PubMed]
- Petrijan, T.; Menih, M. Demographic and Clinical Characteristics in Different Motor Subtypes of Parkinson’s Disease: How Well Do the Findings Fit Within the Framework of Existing Hypotheses? Neurol. Int. 2025, 17, 51. [Google Scholar] [CrossRef] [PubMed]
- Zis, P.; Grünewald, R.A.; Chaudhuri, R.K.; Hadjivassiliou, M. Peripheral neuropathy in idiopathic Parkinson’s disease: A systematic review. J. Neurol. Sci. 2017, 378, 204–209. [Google Scholar] [CrossRef] [PubMed]
- Corrà, M.F.; Vila-Chã, N.; Sardoeira, A.; Hansen, C.; Sousa, A.P.; Reis, I.; Sambayeta, F.; Damásio, J.; Calejo, M.; Schicketmueller, A.; et al. Peripheral neuropathy in Parkinson’s disease: Prevalence and functional impact on gait and balance. Brain 2023, 146, 225–236. [Google Scholar] [CrossRef]
- Demir Ünal, E. The Role of Metabo-Inflammatory Syndrome and Ferropathological Processes in Atherosclerotic Plaque Formation in Parkinson’s Disease: Insights from High-Resolution Carotid Duplex Analysis. Turk. Kardiyol. Dern. Ars. 2025, 53, 228–237. (In English) [Google Scholar] [CrossRef]
- Yi, H.; Liang, X.; Xu, F.; Li, T.; Yang, X.; Wei, M.; Ou, Z.; Wang, L.; Tong, Q. Association between neutrophil-to-lymphocyte ratio and motor subtypes in idiopathic Parkinson’s disease: A prospective observational study. BMC Neurol. 2024, 24, 379. [Google Scholar] [CrossRef] [PubMed]
- Awan, R.; Tahir, O.; Noor Ul Hadi, S.; Ur Rehman, W.; Asim, F. Neutrophil-to-Lymphocyte Ratio as a Biomarker for Motor Subtypes in Idiopathic Parkinson’s Disease. Cureus 2025, 17, e77440. [Google Scholar] [CrossRef]
- Yu, H.; Sun, T.; He, X.; Wang, Z.; Zhao, K.; An, J.; Wen, L.; Li, J.Y.; Li, W.; Feng, J. Association between Parkinson’s Disease and Diabetes Mellitus: From Epidemiology, Pathophysiology and Prevention to Treatment. Aging Dis. 2022, 13, 1591–1605. [Google Scholar] [CrossRef]
- Stebbins, G.T.; Goetz, C.G.; Burn, D.J.; Jankovic, J.; Khoo, T.K.; Tilley, B.C. How to identify tremor dominant and postural instability/gait difficulty groups with the MDS-UPDRS: Comparison with the original method. Mov. Disord. 2013, 28, 668–670. [Google Scholar] [CrossRef]
- Henderson, M.X.; Trojanowski, J.Q.; Lee, V.M. α-Synuclein pathology in Parkinson’s disease and related α-synucleinopathies. Neurosci. Lett. 2019, 709, 134316. [Google Scholar] [CrossRef]
- Huang, X.; Ng, S.Y.; Chia, N.S.; Setiawan, F.; Tay, K.Y.; Au, W.L.; Tan, E.K.; Tan, L.C. Non-motor symptoms in early Parkinson’s disease with different motor subtypes and their associations with quality of life. Eur. J. Neurol. 2019, 26, 400–406. [Google Scholar] [CrossRef]
- Acharya, S.; Lumley, A.I.; Devaux, Y.; NCER-PD Consortium. Cardiovascular history and risk of idiopathic Parkinson’s disease: A cross-sectional observational study. BMC Neurosci. 2024, 25, 33. [Google Scholar] [CrossRef]
- Takatsu, H.; Nishida, H.; Matsuo, H.; Watanabe, S.; Nagashima, K.; Wada, H.; Noda, T.; Nishigaki, K.; Fujiwara, H. Cardiac sympathetic denervation from the early stage of Parkinson’s disease: Clinical and experimental studies with radiolabeled MIBG. J. Nucl. Med. 2000, 41, 71–77. [Google Scholar] [PubMed]
- Kann, S.J.; Chang, C.; Manza, P.; Leung, H.-C. Akinetic rigid symptoms are associated with decline in a cortical motor network in Parkinson’s disease. npj Park. Dis. 2020, 6, 19. [Google Scholar] [CrossRef] [PubMed]
- Marras, C.; Chaudhuri, K.R.; Titova, N.; Mestre, T.A. Therapy of Parkinson’s Disease Subtypes. Neurotherapeutics 2020, 17, 1366–1377. [Google Scholar] [CrossRef]
- Kadastik-Eerme, L.; Taba, N.; Asser, T.; Taba, P. Factors associated with motor complications in Parkinson’s disease. Brain Behav. 2017, 7, e00837. [Google Scholar] [CrossRef]
- Novellino, F.; Donato, A.; Malara, N.; Madrigal, J.L.; Donato, G. Complete blood cell count-derived ratios can be useful biomarkers for neurological diseases. Int. J. Immunopathol. Pharmacol. 2021, 35, 20587384211048264. [Google Scholar] [CrossRef]
- Alagoz, A.N.; Dagdas, A.; Bunul, S.D.; Erci, G.C. The Relationship Between Systemic Inflammatory Index and Other Inflammatory Markers with Clinical Severity of the Disease in Patients with Parkinson’s Disease. Biomedicines 2025, 13, 2029. [Google Scholar] [CrossRef] [PubMed]
- Zhang, Z.L.; Ye, P.H.; Kong, W.X.; Li, J.; Zhu, S.; Lin, Y.W.; Xu, P.Y.; Guo, W.Y. Upregulation of PD-1 on Peripheral T cells Subsets is Associated with Parkinson’s Disease. Mol. Neurobiol. 2025, 62, 13500–13512. [Google Scholar] [CrossRef]
- Jing, X.Z.; Yang, H.J.; Taximaimaiti, R.; Wang, X.P. Advances in the Therapeutic Use of Non-Ergot Dopamine Agonists in the Treatment of Motor and Non-Motor Symptoms of Parkinson’s Disease. Curr. Neuropharmacol. 2023, 21, 1224–1240. [Google Scholar] [CrossRef]
- Kwon, E.H.; Bieber, A.; Schülken, P.; Müller, K.; Kühn, E.; Averdunk, P.; Kools, S.; Hilker, L.; Kirchgässler, A.; Ebner, L.; et al. Longitudinal evaluation of polyneuropathy in Parkinson’s disease. J. Neurol. 2024, 271, 6136–6146. [Google Scholar] [CrossRef]
- Kwon, E.H.; Steininger, J.; Scherbaum, R.; Gold, R.; Pitarokoili, K.; Tönges, L. Large-fiber neuropathy in Parkinson’s disease: A narrative review. Neurol Res Pract. 2024, 6, 51. [Google Scholar] [CrossRef]
- Ramachandran, A.; Jose, J.; Gafoor, A.V.; Das, S.; Balaram, N. Prevalence and Risk Factors of Peripheral Neuropathy in Parkinson’s Disease. Ann. Indian. Acad. Neurol. 2022, 25, 1109–1115. [Google Scholar] [CrossRef]
- Romagnolo, A.; Merola, A.; Artusi, C.A.; Rizzone, M.G.; Zibetti, M.; Lopiano, L. Levodopa-Induced Neuropathy: A Systematic Review. Mov. Disord. Clin. Pract. 2018, 6, 96–103. [Google Scholar] [CrossRef]
- Ragab, O.A.; Mohamed, E.S.; Nassar, M.H. Evaluation of peripheral and autonomic nervous systems dysfunctions in patients with Parkinson’s disease. Egypt. J. Neurol. Psychiatry Neurosurg 2024, 60, 52. [Google Scholar] [CrossRef]
- Paul, D.A.; Qureshi, A.R.M.; Rana, A.Q. Peripheral neuropathy in Parkinson’s disease. Neurol. Sci. 2020, 41, 2691–2701. [Google Scholar] [CrossRef] [PubMed]
- Fisher, M.A. H reflexes and F waves. Fundamentals, normal and abnormal patterns. Neurol. Clin. 2002, 20, 339–360. [Google Scholar] [CrossRef]
- Abbruzzese, G.; Vische, M.; Ratto, S.; Abbruzzese, M.; Favale, E. Assessment of motor neuron excitability in parkinsonian rigidity by the F wave. J. Neurol. 1985, 232, 246–249. [Google Scholar] [CrossRef]
- Beaulieu, M.L.; Müller, M.L.T.M.; Bohnen, N.I. Peripheral neuropathy is associated with more frequent falls in Parkinson’s disease. Park. Relat. Disord. 2018, 54, 46–50. [Google Scholar] [CrossRef] [PubMed]
- Chen, R.; Berardelli, A.; Bhattacharya, A.; Bologna, M.; Chen, K.S.; Fasano, A.; Helmich, R.C.; Hutchison, W.D.; Kamble, N.; Kühn, A.A.; et al. Clinical neurophysiology of Parkinson’s disease and parkinsonism. Clin. Neurophysiol. Pract. 2022, 7, 201–227. [Google Scholar] [CrossRef] [PubMed]
- Gallo, A.; Lipari, A.; Di Francesco, S.; Ianuà, E.; Liperoti, R.; Cipriani, M.C.; Martone, A.M.; De Candia, E.; Landi, F.; Montalto, M. Platelets and Neurodegenerative Diseases: Current Knowledge and Future Perspectives. Int. J. Mol. Sci. 2024, 25, 6292. [Google Scholar] [CrossRef] [PubMed]
- Raguž, M.; Tarle, M.; Marčinković, P.; Chudy, H.; Orešković, D.; Vuletić, V.; Marinović, T.; Chudy, D. The Role of Preoperative Immunonutritional Scores in Predicting Complications After Subthalamic Nucleus Deep Brain Stimulation in Parkinson’s Disease. J. Clin. Med. 2025, 14, 3811. [Google Scholar] [CrossRef]
- Yang, Y.; Zhao, B.; Wang, Y.; Lan, H.; Liu, X.; Hu, Y.; Cao, P. Diabetic neuropathy: Cutting-edge research and future directions. Signal Transduct. Target. Ther. 2025, 10, 132. [Google Scholar] [CrossRef]
- Cadoni, M.P.L.; Coradduzza, D.; Congiargiu, A.; Sedda, S.; Zinellu, A.; Medici, S.; Nivoli, A.M.; Carru, C. Platelet Dynamics in Neurodegenerative Disorders: Investigating the Role of Platelets in Neurological Pathology. J. Clin. Med. 2024, 13, 2102. [Google Scholar] [CrossRef]
- Zhao, J.; Wu, Z.; Cai, F.; Yu, X.; Song, Z. Higher systemic immune-inflammation index is associated with increased risk of Parkinson’s disease in adults: A nationwide population-based study. Front. Aging Neurosci. 2025, 17, 1529197. [Google Scholar] [CrossRef] [PubMed]
- Fu, J.; Lai, X.; Zhang, C.; Wei, Q.; Chen, X.; Shang, H. Correlation analysis of peripheral platelet markers and disease phenotypes in Alzheimer’s disease. Alzheimers Dement. 2024, 20, 4366–4372. [Google Scholar] [CrossRef]
- Pepe, M.S. The Statistical Evaluation of Medical Tests for Classification and Prediction; Oxford University Press: New York, NY, USA, 2003. [Google Scholar] [CrossRef]




| Variable | AR | TD | HC | Test Statistics (H) | p |
|---|---|---|---|---|---|
| NMR | 12.6 (4.9–25.2) | 12.1 (6.4–21.4) | 10.7 (6.5–16.6) | 0.004 | 0.94 |
| EMR | 0.4 (0–16.5) | 0.3 (0–1) | 0.2 (0.1–0.7) | 0.953 | 0.32 |
| BMR | 0.1 (0–0.3) | 0.1 (0–0.2) | 0 (0–0.2) | 3.038 | 0.08 |
| ERR | 0 (0–0.1) | 0 (0–0.1) | 0 (0–0.1) | 0 | 1.00 |
| NLR | 2.5 (1.1–6.1) | 2.2 (1.2–8.0) | 1.8 (1.5–3.9) | 0.802 | 0.37 |
| PDW | 50.4 (15.9–68.3) | 45.7 (33–62.7) | 50.4 (16.5–55.9) | 1.985 | 0.15 |
| MPV | 8.3 (7.1–11.1) | 8.2 (7.5–9.1) | 7.9 (6.8–10.2) | 4.367 | 0.03 * |
| SII | 530 (184.9–1615) | 459.7 (86.5–2810.7) | 378.3 (295.8–2487.2) | 0.715 | 0.39 |
| SIRI | 1.0 (0.2–1.6) | 1.0 (0.4–6.3) | 0.7 (0.3–1.9) | 3.929 | 0.04 * |
| WBC | 6.9 (3.6–10.2) | 6.3 (3.9–12.8) | 6.5 (6.0–7.5) | 0.976 | 0.32 |
| AISI | 233 (8.2–870.7) | 213.4 (71–23,302) | 136 (92.3–1716.2) | 0.634 | 0.42 |
| S-Glucose | 102.5 (75–115) | 98.0 (80–108) | 98.0 (85–107) | 0.229 | 0.63 |
| S-HbA1c | 5.4 (4.46–6.50) | 5.3 (4.40–5.80) | 5.4 (4.8–5.7) | 0.436 | 0.50 |
| Variables | AR | TD | HC | Test Statistics | p |
|---|---|---|---|---|---|
| Median motor nerve onset latency (ms) | 11.1 (3.2–15.9) | 10.2 (4.5–18.3) | 3.3 (2.3–4.6) | 55.30 | <0.001 ** |
| Median motor nerve amplitude (mV) | 9.8 (7.8–11.8) | 10.6 (8.6–12.6) | 11.3 (4.1–18.8) | 50.52 | <0.04 * |
| Median Motor Nerve NCV (m/s) | 28.4 (22.4–57.7) | 27.6 (18.5–54.1) | 57.5 (40.7–69.1) | 49.15 | <0.001 ** |
| Ulnar motor nerve onset latency (ms) | 2.5 (1.7–3.2) | 2.3 (2.0–3.2) | 2.4 (1.6–3.1) | 0.03 | 0.846 |
| Ulnar motor nerve amplitude (mV) | 11.9 (6.3–16.7) | 11.9 (7.6–19.3) | 12.1 (3.6–19.2) | 0.02 | 0.870 |
| Ulnar motor nerve NCV (m/s) | 54 (50.9–72.3) | 56.8 (43.9–74.6) | 59.0 (50.2–69.8) | 2.28 | 0.131 |
| Tibial motor nerve onset latency (ms) | 5.7 (2.1–26.9) | 6.2 (0.9–14.9) | 4.1 (2.5–5.9) | 19.89 | <0.001 ** |
| Tibial motor nerve amplitude (mV) | 8.3 (3.7–12.9) | 9.8 (4.8–14.8) | 10.2 (5–8.1) | 51.50 | 0.02 * |
| Tibial motor nerve NCV (m/s) | 50.3 (37.3–60.9) | 49.4 (32.3–61.7) | 44.1 (34.8–57.4) | 15.39 | <0.001 ** |
| Peroneal motor nerve onset latency (ms) | 3.9 (0.4–9.4) | 4.3 (1.93–8.8) | 4.1 (2.6–5.6) | 0.004 | 0.948 |
| Peroneal motor nerve amplitude (mV) | 4.4 (1.7–7.2) | 5.5 (2.3–8.8) | 6.15 (2.7–9.6) | 54.21 | 0.44 |
| Peroneal motor nerve NCV (m/s) | 38.5 (20.0–57.1) | 40.2 (25.2–55.5) | 44.5 (38.8–57.1) | 51.96 | 0.03 * |
| Median sensory nerve onset latency (ms) | 9.6 (2.1–17.3) | 13.3 (2.1–29.7) | 2.4 (1.7–3.1) | 51.18 | 0.127 |
| Median sensory nerve amplitude (mV) | 9.6 (5.5–13.8) | 13.3 (8.5–18.1) | 11.6 (10.5–12.8) | 49.77 | 1.72 |
| Median sensory nerve NCV (m/s) | 31.9 (10.5–53.4) | 32.9 (10.5–55.3) | 49.3 (46.6–52.1) | 51.08 | 0.178 |
| Ulnar sensory nerve onset latency (ms) | 2 (1.5–3.5) | 1.9 (1.5–3.2) | 1.7 (1.3–2.9) | 1.04 | 0.30 |
| Ulnar sensory nerve amplitude (mV) | 9 (2.2–15.8) | 10.5 (3.4–23.9) | 12.2 (3.9–41.3) | 1.05 | 0.30 |
| Ulnar sensory nerve NCV (m/s) | 53.6 (34.1–68.5) | 50.6 (37.0–65.8) | 53.7 (46.6–72.5) | 3.68 | 0.05 * |
| Sural nerve onset latency (ms) | 2.5 (1.6–3.3) | 2.2 (1.8–6.6) | 2.4 (1.6–3.3) | 3.45 | 0.06 |
| Sural nerve amplitude (mV) | 11.6 (3.9–26.7) | 14.6 (6.3–31.6) | 11.5 (7.8–30.7) | 1.19 | 0.27 |
| Sural nerve NCV (m/s) | 44.2 (35–57) | 41.8 (15.0–54.1) | 45.5 (15.0–60.6) | 9.92 | 0.001 * |
| Variables | AR | TD | HC | Test Statistics | p |
|---|---|---|---|---|---|
| Ulnar Motor Nerve F Minimum Latencies (ms) | 28 (22.9–34.9) | 27.1 (22.8–35.1) | 25.2 (21.3–30.7) | 10.51 | 0.001 ** |
| Ulnar Motor Nerve F Mean Latencies (ms) | 29.2 (23.6–35.3) | 27.6 (24.1–36.4) | 26.9 (22.6–32.3) | 8.79 | 0.003 * |
| Ulnar Motor Nerve F Maximum Latencies (ms) | 30.5 (25.3–38.7) | 28.4 (25.5–39.7) | 28.6 (23.7–34.6) | 0.05 | 0.814 |
| Ulnar Motor Nerve F Chronodispersion | 2 (0.6–10.8) | 1.95 (−3.11–1.0) | 2.4 (0.4–7.8) | 3.24 | 0.071 |
| Ulnar Motor Nerve F Persistence | 0.8 (0.1–1) | 0.8 (0.6–1) | 0.7 (0.5–1) | 0.02 | 0.883 |
| Tibial Motor Nerve F Minimum Latencies (ms) | 51.8 (37.3–60.9) | 49.4 (32.3–61.7) | 47.2 (39.3–60.9) | 2.97 | 0.084 |
| Tibial Motor Nerve F Mean Latencies (ms) | 53.3 (38.6–62.2) | 52.9 (33.2–65.6) | 49.4 (40.0–63.3) | 6.84 | 0.008 * |
| Tibial Motor Nerve F Maximum Latencies (ms) | 55.9 (39.9–68.3) | 56.9 (35.4–77.0) | 52.4 (40.6–66.0) | 6.53 | 0.010 * |
| Tibial Motor Nerve F Chronodispersion | 3.8 (1.1–24.7) | 4.0 (0.5–16.9) | 2.3 (0.8–13.6) | 3.10 | 0.077 |
| Tibial Motor Nerve F Persistence | 0.9 (0.4–1) | 0.8 (0.7–0.9) | 0.8 (0.5–1) | 0.14 | 0.703 |
Disclaimer/Publisher’s Note: The statements, opinions and data contained in all publications are solely those of the individual author(s) and contributor(s) and not of MDPI and/or the editor(s). MDPI and/or the editor(s) disclaim responsibility for any injury to people or property resulting from any ideas, methods, instructions or products referred to in the content. |
© 2025 by the authors. Licensee MDPI, Basel, Switzerland. This article is an open access article distributed under the terms and conditions of the Creative Commons Attribution (CC BY) license.
Share and Cite
Demir Unal, E.; Dagdelen, Y.E. Multidimensional Characterization of Parkinson’s Disease Subtypes Through Motor Neuron Excitability and Peripheral Immune Dynamics: Insights from F-Wave Modulation Metrics. Diagnostics 2026, 16, 27. https://doi.org/10.3390/diagnostics16010027
Demir Unal E, Dagdelen YE. Multidimensional Characterization of Parkinson’s Disease Subtypes Through Motor Neuron Excitability and Peripheral Immune Dynamics: Insights from F-Wave Modulation Metrics. Diagnostics. 2026; 16(1):27. https://doi.org/10.3390/diagnostics16010027
Chicago/Turabian StyleDemir Unal, Esra, and Yiğit Emre Dagdelen. 2026. "Multidimensional Characterization of Parkinson’s Disease Subtypes Through Motor Neuron Excitability and Peripheral Immune Dynamics: Insights from F-Wave Modulation Metrics" Diagnostics 16, no. 1: 27. https://doi.org/10.3390/diagnostics16010027
APA StyleDemir Unal, E., & Dagdelen, Y. E. (2026). Multidimensional Characterization of Parkinson’s Disease Subtypes Through Motor Neuron Excitability and Peripheral Immune Dynamics: Insights from F-Wave Modulation Metrics. Diagnostics, 16(1), 27. https://doi.org/10.3390/diagnostics16010027

