Journal Description
Corrosion and Materials Degradation
Corrosion and Materials Degradation
is an international, peer-reviewed, open access journal on corrosion, environment-assisted degradation, corrosion mitigation, corrosion mechanism and corrosion monitoring, published quarterly online by MDPI.
- Open Access— free for readers, with article processing charges (APC) paid by authors or their institutions.
- High Visibility: indexed within ESCI (Web of Science), Scopus, EBSCO, and other databases.
- Rapid Publication: manuscripts are peer-reviewed and a first decision is provided to authors approximately 21.7 days after submission; acceptance to publication is undertaken in 4.6 days (median values for papers published in this journal in the first half of 2025).
- Journal Rank: CiteScore - Q2 (Materials Science (miscellaneous))
- Recognition of Reviewers: APC discount vouchers, optional signed peer review, and reviewer names published annually in the journal.
Impact Factor:
2.4 (2024);
5-Year Impact Factor:
3.4 (2024)
Latest Articles
Corrosion and Soiling in the 21st Century: Insights from ICP Materials and Impact on Cultural Heritage
Corros. Mater. Degrad. 2025, 6(4), 54; https://doi.org/10.3390/cmd6040054 - 22 Oct 2025
Abstract
This paper reviews results published by the International Co-operative Programme on Effects on Materials including Historic and Cultural Monuments (ICP Materials) with emphasis on those obtained after the turn of the century. Data from ICP Materials come from two main sources. The first
[...] Read more.
This paper reviews results published by the International Co-operative Programme on Effects on Materials including Historic and Cultural Monuments (ICP Materials) with emphasis on those obtained after the turn of the century. Data from ICP Materials come from two main sources. The first is through exposures of materials and collection of environmental data in a network of atmospheric exposure test sites mainly distributed across Europe. Corrosion of carbon steel has continued to decrease during the period 2000–2020 but corrosion of zinc only up until 2014, and the trend in zinc corrosion is only visible when examining four-year data. Surface recession of limestone as well as soiling of modern glass show no decreasing trend during 2000–2020. The second is through case studies performed at heritage sites across Europe. Risk analysis of corrosion and soiling for twenty-six sites indicate that currently soiling is a more significant maintenance trigger than corrosion. Costs for maintaining heritage sites are substantial and costs attributable to air pollution is estimated from 40% to as much as 80% of the total cost. Future directions of the program are work on effects of particulate matter, improving the scientific basis for the work, and making the monitoring data publicly available.
Full article
(This article belongs to the Special Issue Atmospheric Corrosion, Surface Electrochemistry and Environmental Degradation of Materials: In Honor of Prof. Christofer Leygraf)
►
Show Figures
Open AccessArticle
Atmospheric Corrosion Kinetics and QPQ Coating Failure of 30CrMnSiA Steel Under a Deposited Salt Film
by
Wenchao Li, Shilong Chen, Hui Xiao, Xiaofei Jiao, Yurong Wang, Shuwei Song, Songtao Yan and Ying Jin
Corros. Mater. Degrad. 2025, 6(4), 53; https://doi.org/10.3390/cmd6040053 - 16 Oct 2025
Abstract
Atmospheric corrosion in sand dust environments is driven by deposits that bear chloride, which sustain thin electrolyte layers on metal surfaces. We established a laboratory protocol to replicate this by extracting, formulating, and depositing a preliminary layer of mixed salts from natural dust
[...] Read more.
Atmospheric corrosion in sand dust environments is driven by deposits that bear chloride, which sustain thin electrolyte layers on metal surfaces. We established a laboratory protocol to replicate this by extracting, formulating, and depositing a preliminary layer of mixed salts from natural dust onto samples, with humidity precisely set using the salt’s deliquescence behavior. Degradation was tracked with SEM/EDS, 3D profilometry, XRD, and electrochemical analysis. Bare steel showed progressive yet decelerating attack as rust evolved from discrete islands to a lamellar network; while this densification limited transport, its internal cracks and interfacial gaps trapped chlorides, sustaining activity beneath the rust. In contrast, QPQ-treated steel remained largely protected, with damage localized at coating defects as raised rust nodules, while intact regions maintained low electrochemical activity. By coupling salt chemistries derived from the field with humidity control guided by deliquescence and diagnostics across multiple scales, this study provides a reproducible laboratory pathway to predict atmospheric corrosion.
Full article
(This article belongs to the Special Issue Atmospheric Corrosion, Surface Electrochemistry and Environmental Degradation of Materials: In Honor of Prof. Christofer Leygraf)
►▼
Show Figures

Figure 1
Open AccessArticle
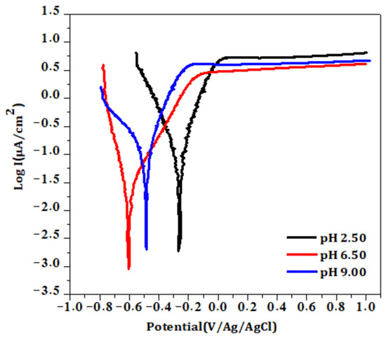
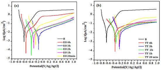
Corrosion Behavior of Electrochemical and Thermal Treated Titanium into Artificial Saliva: Effect of pH and Fluoride Concentration
by
Faiza Kakaa, Mosbah Ferkhi, Ammar Khaled, Sabah Amira and Marielle Eyraud
Corros. Mater. Degrad. 2025, 6(4), 52; https://doi.org/10.3390/cmd6040052 (registering DOI) - 15 Oct 2025
Abstract
►▼
Show Figures
This work investigates and compare the corrosion behavior in artificial saliva of oxide thin films grown on commercially pure titanium (cp-Ti), via electrochemical oxidation (EO) in sulphate bath at 1 V and thermal treatment (TT) at 450 °C, for durations between 20 min
[...] Read more.
This work investigates and compare the corrosion behavior in artificial saliva of oxide thin films grown on commercially pure titanium (cp-Ti), via electrochemical oxidation (EO) in sulphate bath at 1 V and thermal treatment (TT) at 450 °C, for durations between 20 min and 4 h. The goal is to determine which method and duration provide the optimal protection for titanium against degradation in dental environment particularly in varying fluoride concentration and acidity. Surface characterizations were performed through morphological and microstructural analysis using scanning electron microscopy (SEM), energy-dispersive X-ray spectroscopy (EDS) and X-ray diffraction (XRD). Electrochemical behavior was conducted in Fusayama-Meyer solution (pH = 6.50 and T = 37 °C) using potentiodynamic polarization curve (PPC) and electrochemical impedance spectroscopy (EIS), under varying pH and fluoride ion concentrations. The results demonstrated that a 3-h duration treatment provided the optimal corrosion resistance for both EO and TT processes. The pH of the environment influenced corrosion performance markedly: both acidic (pH 2.5) and basic (pH 9.0) conditions increased Icorr and decreased Rp, indicating degradation of the passive oxide layer outside neutral conditions. Similarly, increasing fluoride concentrations (1000; 5000; and 12,300 ppm) significantly impaired corrosion resistance. At 12,300 ppm F−, untreated Ti showed severe degradation, with EIS revealing the formation of a porous outer layer and a weakened inner barrier layer (Rf = 33 W·cm2 for the outer layer and Rct = 21 kW·cm2 for the barrier layer). In contrast, the TT-treated surface remained highly protective even under these aggressive conditions, with minimal surface damage and the highest resistances for both the outer and the inner layers (Rf = 1610 kW·cm2; Rct = 1583 kW·cm2), significantly outperforming the EO film. These findings highlight the superior performance of thermal oxidation at 450 °C for 3 h as a promising surface treatment for enhancing the corrosion resistance of titanium in fluoride-rich oral environments. Understanding these strategies helps improve the longevity and security of titanium dental implants.
Full article

Figure 1
Open AccessArticle
Patina Formation and Aesthetic Durability of Architectural Copper and Copper Alloys in the Marine–Desert Environment of Dubai
by
Inger Odnevall and Gunilla Herting
Corros. Mater. Degrad. 2025, 6(4), 51; https://doi.org/10.3390/cmd6040051 - 14 Oct 2025
Abstract
The use of copper and its alloys in architecture, especially in arid regions, is growing, driven by visual appeal, functional advantages, and sustainability. Changes in visual and colorimetric appearances and patina formation were evaluated for architectural Cu metal, brass (CuZn15), bronze (CuSn4), and
[...] Read more.
The use of copper and its alloys in architecture, especially in arid regions, is growing, driven by visual appeal, functional advantages, and sustainability. Changes in visual and colorimetric appearances and patina formation were evaluated for architectural Cu metal, brass (CuZn15), bronze (CuSn4), and a golden alloy (CuZn5Al5). Coupons were exposed over 4 years in Dubai, United Arab Emirates, at a test site located 2 km from the seashore under unsheltered conditions, and at various surface inclinations. Comparative exposures were conducted in Brest, France, at sites of increasing distance from the seashore. Visual appearance was assessed by colorimetry and optical imaging; patina cross-sections were characterized by means of scanning electron microscopy and elemental analysis (SEM/EDS), and crystalline phase identification was conducted by means of x-ray diffraction (XRD). All Dubai surfaces developed red-yellowish, heterogeneous patinas with embedded sand and dust, reducing lightness and visual appeal. Inclination had minor effect, although some extent of spallation occurred on downward-facing CuSn4. Even the corrosion-resistant CuZn5Al5 alloy lost its golden hue due to the incorporation of sand and dust into the patina. In Brest, appearance depended on the distance from the seashore, with green-blue patinas near the sea and red-yellowish farther inland, similar to Dubai. Cleaning may restore some luster, but the desert exposure generally reduced the long-term aesthetic performance of all materials.
Full article
(This article belongs to the Special Issue Atmospheric Corrosion, Surface Electrochemistry and Environmental Degradation of Materials: In Honor of Prof. Christofer Leygraf)
►▼
Show Figures

Figure 1
Open AccessArticle
Influence of Temperature on the Galvanic Corrosion Behavior Between Titanium Alloy and 304 Stainless Steel in a Simulated Marine Environment
by
Jiao Meng, Xingyu Li, Feng Guo, Wenhua Cheng and Ruiling Jia
Corros. Mater. Degrad. 2025, 6(4), 50; https://doi.org/10.3390/cmd6040050 - 13 Oct 2025
Abstract
►▼
Show Figures
In 3.5 wt% NaCl solution used to simulate seawater, the individual (self-corrosion) and coupled (galvanic) corrosion behaviors of TA22 titanium alloy and 304 stainless steel were systematically investigated at 25 °C, 35 °C, 45 °C and 55 °C. Post-corrosion surfaces were characterized by
[...] Read more.
In 3.5 wt% NaCl solution used to simulate seawater, the individual (self-corrosion) and coupled (galvanic) corrosion behaviors of TA22 titanium alloy and 304 stainless steel were systematically investigated at 25 °C, 35 °C, 45 °C and 55 °C. Post-corrosion surfaces were characterized by scanning electron microscopy (SEM), three-dimensional profilometry and X-ray photoelectron spectroscopy (XPS). The results demonstrated that elevating temperature decreased the compactness and protective quality of the passive film on both alloys, as indicated by increasing donor densities and positive shifts in flat-band potentials. Distinct pitting corrosion occurred on 304 SS above 45 °C. Upon galvanic coupling, the passive film on TA22 was modified in both structure and composition, exhibiting a decreased TiO2 content and increased lower valence oxides (Ti2O3, TiO). The galvanic effect intensified with temperature, leading to progressively aggravated corrosion of 304 SS, characterized by increased pit density, diameter, and depth compared to its self-corrosion state.
Full article

Figure 1
Open AccessArticle
Corrosion Mechanisms of Commercial Superalloys in Binary and Ternary Chloride Molten Salts
by
Hongyi Hu, Xian Zhang, Tianyou Huang, Rui Yu and Kaiming Wu
Corros. Mater. Degrad. 2025, 6(4), 49; https://doi.org/10.3390/cmd6040049 - 10 Oct 2025
Abstract
In concentrated solar power (CSP) systems, structural materials face severe corrosion challenges induced by molten chlorides, with the corrosion severity being highly dependent on the salt composition. This study systematically compares the corrosion behavior of two representative superalloys, Inconel 625 and SS321, in
[...] Read more.
In concentrated solar power (CSP) systems, structural materials face severe corrosion challenges induced by molten chlorides, with the corrosion severity being highly dependent on the salt composition. This study systematically compares the corrosion behavior of two representative superalloys, Inconel 625 and SS321, in binary NaCl–KCl and ternary MgCl2–NaCl–KCl molten salts at 700 °C. The corrosion products and microstructural features were characterized using X-ray diffraction (XRD), scanning electron microscopy (SEM) equipped with energy-dispersive spectroscopy (EDS), and electron backscatter diffraction (EBSD), in combination with static exposure tests to elucidate the underlying mechanisms. The results show that in NaCl–KCl molten salts, both alloys primarily form Cr2O3 as the protective product. However, the corrosion scale of SS321 is porous, whereas Inconel 625 develops a dense NiCr2O4 inner layer, exhibiting superior corrosion resistance. In the MgCl2–NaCl–KCl molten salt system, Cr2O3 is replaced by a dense MgO layer forms on Inconel 625, coupled with Mo surface enrichment, which significantly inhibits Cr depletion and leads to a notably reduced corrosion rate relative to the binary salt. In contrast, the transformation of Cr2O3 on SS321 into porous MgCr2O4 exacerbates intergranular corrosion, resulting in a substantial degradation of corrosion resistance. This study elucidates the distinct corrosion pathways and mechanisms of different alloys in binary and ternary chloride salts, providing important guidance for the selection of molten salt compositions and corrosion-resistant structural materials in CSP applications.
Full article
(This article belongs to the Special Issue Atmospheric Corrosion, Surface Electrochemistry and Environmental Degradation of Materials: In Honor of Prof. Christofer Leygraf)
►▼
Show Figures

Figure 1
Open AccessArticle
Co-Adsorption of Formic Acid and Hexane Selenol on Cu
by
Mats Ahmadi Götelid, Sareh Ahmadi Götelid, Saman Hosseinpour, Christofer Leygraf and C. Magnus Johnson
Corros. Mater. Degrad. 2025, 6(4), 48; https://doi.org/10.3390/cmd6040048 - 26 Sep 2025
Abstract
Self-assembled monolayers of alkane thiolate and alkane selenolate have been proven to inhibit atmospheric corrosion, but upon prolonged exposure to the important constituents of indoor atmosphere, namely humidified air with formic acid, the protective layer eventually breaks, but the exact reason is not
[...] Read more.
Self-assembled monolayers of alkane thiolate and alkane selenolate have been proven to inhibit atmospheric corrosion, but upon prolonged exposure to the important constituents of indoor atmosphere, namely humidified air with formic acid, the protective layer eventually breaks, but the exact reason is not yet clear. In this paper, we report on an XPS study of co-adsorbed formic acid and hexane selenol on a Cu surface. Adsorption of hexane selenol at room temperature breaks the Se-C bond, leaving a monolayer of Se on the surface, whereas adsorption at 140 K leaves a layer of selenolate. Formic acid exposure to the selenolate-Cu surface leads to adsorbed formate on unprotected areas and absorption of formic acid within the alkane chain network. During heating, the formic acid desorbs and the Se-C bond breaks, but formic acid does not accelerate the Se-C scission, which occurs just below room temperature both with and without formic acid. Thus, formic acid alone does not affect the Se-C bond, but its presence may create disorder and open up the alkane carpet for other species. Selenol removes formate and oxide from the surface at room temperature. The Se-C bond breaks and the alkane chain reacts with surface oxygen to form carbon oxides and volatile hydrocarbons.
Full article
(This article belongs to the Special Issue Atmospheric Corrosion, Surface Electrochemistry and Environmental Degradation of Materials: In Honor of Prof. Christofer Leygraf)
►▼
Show Figures

Figure 1
Open AccessArticle
High-Temperature Oxidation Behavior of an Additively Manufactured Alumina-Forming Austenitic Stainless Steel
by
Sedigheh Rashidi, Arnab Chatterjee, Amit Pandey and Rajeev K. Gupta
Corros. Mater. Degrad. 2025, 6(4), 47; https://doi.org/10.3390/cmd6040047 - 26 Sep 2025
Abstract
►▼
Show Figures
High-temperature oxidation behavior of an alumina-forming austenitic stainless steel (AFA25) produced by additive manufacturing (AM) has been studied at 850 °C in air and compared to the conventional wrought alloy. The mass gain measurements during high-temperature oxidation tests were performed to understand the
[...] Read more.
High-temperature oxidation behavior of an alumina-forming austenitic stainless steel (AFA25) produced by additive manufacturing (AM) has been studied at 850 °C in air and compared to the conventional wrought alloy. The mass gain measurements during high-temperature oxidation tests were performed to understand the rate of oxidation, oxidation characteristics, and morphology of oxides that form in these alloys. X-ray diffraction, scanning electron microscopy, and energy-dispersive X-ray spectroscopy were used to characterize the microstructure and oxide scale formation during high-temperature exposure. A similar alumina scale was observed on both wrought and AM alloys. The continuous alumina layer that forms in these alloys provides superior oxidation resistance. This paper shows that a variation in AM build parameters influences the oxidation properties, where one AM alloy with a lower laser power to hatch ratio depicts much better oxidation properties compared to conventional wrought AFA alloys.
Full article

Graphical abstract
Open AccessReview
Long-Term Marine Corrosion Under the Influence of Microbiologically Influenced Corrosion and Calcareous Conditions
by
Robert E. Melchers
Corros. Mater. Degrad. 2025, 6(4), 46; https://doi.org/10.3390/cmd6040046 - 25 Sep 2025
Abstract
Calcareous deposits on and within corrosion products tend to inhibit the (abiotic) corrosion of steels in seawater. Herein, it was considered whether this inhibition effect extends to microbiologically influenced corrosion (MIC) for extended (long-term) exposure periods. Quantitative estimates of corrosion rates were made
[...] Read more.
Calcareous deposits on and within corrosion products tend to inhibit the (abiotic) corrosion of steels in seawater. Herein, it was considered whether this inhibition effect extends to microbiologically influenced corrosion (MIC) for extended (long-term) exposure periods. Quantitative estimates of corrosion rates were made from reported observations for 46 iron and steel shipwrecks, and other iron and steel objects immersed in seawater at various depths and for extended periods (many around 60 years and some up to 160 years). The observations are correlated with observations of the occurrence of calcareous deposits and information about dissolved inorganic nitrogen (DIN), a critical micronutrient for MIC. The results show that calcareous deposits can inhibit both long-term abiotic corrosion and long-term corrosion influenced by conditions suitable for MIC. The practical implications are briefly reviewed.
Full article
(This article belongs to the Special Issue Corrosion and Corrosion Protection Strategies in the Marine Environment)
►▼
Show Figures

Figure 1
Open AccessArticle
Long Term Measurements of High Temperature Corrosion in a Waste Incineration Plant Using an Online Monitoring System
by
Adrian Marx, Dennis Hülsbruch, Jochen Ströhle and Bernd Epple
Corros. Mater. Degrad. 2025, 6(3), 45; https://doi.org/10.3390/cmd6030045 - 18 Sep 2025
Abstract
►▼
Show Figures
High-temperature corrosion is a frequently observed phenomenon in waste incineration facilities. Municipal solid waste presents substantial corrosion potential attributed to elevated chlorine content and significant inhomogeneity in calorific value and chemical composition, rendering stable plant operation and corrosion control challenging. Conventional countermeasures, such
[...] Read more.
High-temperature corrosion is a frequently observed phenomenon in waste incineration facilities. Municipal solid waste presents substantial corrosion potential attributed to elevated chlorine content and significant inhomogeneity in calorific value and chemical composition, rendering stable plant operation and corrosion control challenging. Conventional countermeasures, such as cladding or reduced steam parameters, lack temporal resolution and incur substantial costs or reduced efficiency. For this study, a waste incineration plant was equipped with an online corrosion monitoring system featuring ten sensors distributed across three vertical boiler passes. The system employs an electrochemical measurement principle to enable the detection of corrosion with temporal resolution. The recorded data reveals decreasing corrosion attack and increasingly stable deposits along the flue gas path. Combined with the temperature measurements, the sensor data proves the effectiveness of the shower cleaning in the third pass and confirms successful removal of the deposits. Statistical analysis shows a correlation between CO content and sensor data, while other parameters (e.g., steam flow, flue gas temperatures) exhibit no conclusive correlations, emphasizing the system’s added value. Chemical analysis of the electrodes and deposits reveal significant indications of chlorine and sulfur, suggesting chlorine-catalyzed active oxidation as the predominant corrosion mechanism.
Full article

Figure 1
Open AccessArticle
Atmospheric Corrosion of Steel on the Australian Pacific Central Coast
by
Robert Jeffrey and Robert E. Melchers
Corros. Mater. Degrad. 2025, 6(3), 44; https://doi.org/10.3390/cmd6030044 - 16 Sep 2025
Abstract
Comprehensive data are presented for corrosion losses of mild steel exposed for up to 5 years, all obtained from exposing steel coupons at one specific severe marine exposure site on the Pacific Ocean coast. The test programme considered the effects of duration of
[...] Read more.
Comprehensive data are presented for corrosion losses of mild steel exposed for up to 5 years, all obtained from exposing steel coupons at one specific severe marine exposure site on the Pacific Ocean coast. The test programme considered the effects of duration of exposure, inclination, orientation, height, shielding, and coupon variability, using multiple, nominally identical mild steel coupons, all under a single local climatic regime. Such a controlled, consistent, natural environment permits unique, valid comparison of the various influences, both for short-term and longer-term exposures, unlike previous tests of some parameters conducted in the short term at disparate sites. In contrast to coupons exposed only on one side, boldly exposed double-sided coupons corroded severely within 3 years. The effects on corrosion behaviour between individual coupons exposed at different heights and vertical continuous single strips of steel are described. Also reported are corrosion losses for continuous strips and for a series of coupons oriented in different directions. Observations of variability in corrosion losses for nominally identically exposed steel coupons are reported. The effect on corrosion losses with continued exposure to 5 years is reported and compared with information available in the literature.
Full article
(This article belongs to the Special Issue Atmospheric Corrosion, Surface Electrochemistry and Environmental Degradation of Materials: In Honor of Prof. Christofer Leygraf)
►▼
Show Figures

Figure 1
Open AccessArticle
Quantitative Analysis of the Alkali Transport During Chemical Re-Alkalization Using Laser-Induced-Breakdown Spectroscopy
by
Clarissa Glawe and Michael Raupach
Corros. Mater. Degrad. 2025, 6(3), 43; https://doi.org/10.3390/cmd6030043 - 12 Sep 2025
Abstract
With the increasing number of existing buildings, the implementation of durability-preserving repair procedures is becoming increasingly important. The chemical re-alkalization (CRA) enables the protection of reinforced concrete structures exposed to carbonation by maintaining or restoring the alkalinity in the concrete through the application
[...] Read more.
With the increasing number of existing buildings, the implementation of durability-preserving repair procedures is becoming increasingly important. The chemical re-alkalization (CRA) enables the protection of reinforced concrete structures exposed to carbonation by maintaining or restoring the alkalinity in the concrete through the application of an alkaline mortar, such as hybrid alkali-activated binders (HAABs). However, the process of CRA is still insufficiently understood, which means that the requirements for the repair mortars can only be roughly formulated. This paper therefore investigates the process of CRA using laser-induced breakdown spectroscopy (LIBS). Based on the quantitative results of potassium transport in the composite system, a time-dependent attenuation factor can be determined that allows for the adaptation of Fick’s second law of diffusion previously used to predict CRA. The attenuation factor provides further insight into the course of potassium transport, which, based on the results, never follows an ideal diffusion process. Adjusting the diffusion law allows for an improved prediction of the maximum achievable re-alkalization depth depending on the repair mortar, where a potassium content of, e.g., 2.3 wt% leads to a complete re-alkalization of 16 mm. The present study demonstrates the potential of LIBS to quantitatively represent CRA for the first time thus providing new insights into potassium transport and the dynamics of the process.
Full article
(This article belongs to the Special Issue Enhancing the Resilience of Reinforced Concrete Structures: Innovations in Monitoring, Assessment, and Retrofitting)
►▼
Show Figures

Figure 1
Open AccessArticle
Electrochemical Behaviour of Nd–Fe–B and Sm–Fe–N Polymer-Bonded Magnets and Their Metal Components in Various Electrolytes
by
Nikolina Lešić, Janez Kovač and Ingrid Milošev
Corros. Mater. Degrad. 2025, 6(3), 42; https://doi.org/10.3390/cmd6030042 - 4 Sep 2025
Abstract
►▼
Show Figures
Polymer-bonded Nd–Fe–B and Sm–Fe–N magnets have excellent magnetic properties, but their corrosion resistance is inferior. Polymer-bonded magnets, the binary alloys Nd–Fe and Sm–Fe, and the metals Fe, Nd, and Sm were investigated in electrolytes with a pH range of 1.8 to 12.8. Potentiodynamic
[...] Read more.
Polymer-bonded Nd–Fe–B and Sm–Fe–N magnets have excellent magnetic properties, but their corrosion resistance is inferior. Polymer-bonded magnets, the binary alloys Nd–Fe and Sm–Fe, and the metals Fe, Nd, and Sm were investigated in electrolytes with a pH range of 1.8 to 12.8. Potentiodynamic polarisation measurements showed that these materials corrode in acidic (H2SO4) and near-neutral (Na2SO4 and NaCl) electrolytes. Iron passivates at pH > 9, but Nd and Sm passivate only in strongly alkaline electrolytes (pH > 12). The alloys and magnets combine the characteristics of the individual metals. Scanning electron microscopy with energy-dispersive X-ray spectroscopy characterised the surface layers before and after electrochemical measurements. The speciation and the depth distribution of elements in the surface layers were analysed using X-ray photoelectron spectroscopy. In the H2SO4, a non-protective layer was formed. In NaCl, the corrosion products were more abundant, consisting of a mixture of oxides, hydroxides, and chlorides, while in NaOH, an oxide/hydroxide layer was formed. The corrosion product layers formed in the H2SO4 and NaCl electrolytes were significantly thicker for the Sm–Fe–N magnet than for the Nd–Fe–B magnet. Understanding the differences and similarities in the electrochemical behaviour of magnets in various electrolytes is essential to overcoming corrosion-related problems.
Full article

Figure 1
Open AccessArticle
Role of Chlorides in Corrosion of Reinforcing Steel in Concrete
by
Robert E. Melchers and Igor A. Chaves
Corros. Mater. Degrad. 2025, 6(3), 41; https://doi.org/10.3390/cmd6030041 - 2 Sep 2025
Cited by 1
Abstract
Chlorides have long been held responsible for the initiation and progression of the corrosion of reinforcing steels in concrete structures, with higher concentrations assumed to cause earlier and more severe subsequent reinforcement corrosion. However, extensive field observations and detailed experimental results show that,
[...] Read more.
Chlorides have long been held responsible for the initiation and progression of the corrosion of reinforcing steels in concrete structures, with higher concentrations assumed to cause earlier and more severe subsequent reinforcement corrosion. However, extensive field observations and detailed experimental results show that, in well-compacted, low-permeability concretes, reinforcement corrosion often does not occur even in the presence of high concentrations of chlorides. If corrosion does occur, it has been observed as pitting (and crevice) corrosion primarily at air voids in the concrete at the steel–concrete interface. Herein, it is shown that this is consistent with thermodynamic principles (Pourbaix) for the pitting of steel in practical concretes with high pH and air voids, irrespective of chloride concentration. Any subsequent corrosion becomes inhibited, in part through the formation of corrosion products. The experimental observations also show that there is a separate, concurrent process of the dissolution of calcium hydroxide and its leaching from the concrete. The rate of dissolution is accelerated proportionally to the concentration of chlorides. This is the primary mechanism for longer-term reinforcement corrosion, eventually producing circum-neutral pH at the steel and thereby setting up the thermodynamics permitting general corrosion. The findings question the relevance of a critical chloride concentration as an indicator of the commencement of reinforcement corrosion. Concrete permeability, remaining alkali reserves (or pH), and physical observation of evidence of rust damage are better indicators.
Full article
(This article belongs to the Special Issue Applied Infrastructure Corrosion Science for Construction Practice Advancement)
►▼
Show Figures

Figure 1
Open AccessArticle
Mitigation of Carbonation-Induced Corrosion in Alkali-Activated Slag Concrete Using Calcined Mg–Al Hydrotalcite: Electrochemical and Microstructural Evaluations
by
Willian Aperador, Jonnathan Aperador and J. C. Caicedo
Corros. Mater. Degrad. 2025, 6(3), 40; https://doi.org/10.3390/cmd6030040 - 27 Aug 2025
Abstract
►▼
Show Figures
This study investigates the effectiveness of calcined magnesium–aluminium layered double hydroxide (CLDH) as a functional additive for mitigating carbonation-induced corrosion in alkali-activated slag concrete (AASC). Mixtures incorporating different CLDH contents (0%, 2%, 4%, 6%, and 8%) were evaluated under accelerated CO2 exposure
[...] Read more.
This study investigates the effectiveness of calcined magnesium–aluminium layered double hydroxide (CLDH) as a functional additive for mitigating carbonation-induced corrosion in alkali-activated slag concrete (AASC). Mixtures incorporating different CLDH contents (0%, 2%, 4%, 6%, and 8%) were evaluated under accelerated CO2 exposure (3%, 65% RH, 25 °C) for 90 days. Mechanical characterisation was carried out through 28-day compressive strength tests to assess the potential impact of CLDH on the structural performance of the material. Performance characterisation included electrochemical impedance spectroscopy (EIS) to assess the corrosion of embedded steel, phenolphthalein spraying to determine the carbonation depth, and complementary techniques such as X-ray diffraction (XRD), nuclear magnetic resonance (NMR), and scanning electron microscopy (SEM/EDX) for assessments of the microstructural evolution. The results demonstrate that CLDH significantly enhances resistance to CO2 ingress, increasing the polarisation resistance (Rp) to over 55 kΩ·cm2 (at 6% CLDH) and reducing the carbonation depth by more than 50% compared to the reference mix. These improvements are attributed to the memory effect-induced regeneration of LDH-type lamellar phases, controlled release of OH− and CO32− anions, and progressive densification of the microstructure, thereby limiting the ingress of aggressive agents. The optimal dosage was identified as 6%, as higher contents offered no further improvement and evidenced the formation of residual phases such as MgO. This work highlights the potential of CLDH as an effective and sustainable strategy to enhance the durability of alkali-activated cementitious materials against degradation processes driven by carbonation and corrosion.
Full article

Figure 1
Open AccessArticle
Optimizing Anti-Corrosive Properties of Polyester Powder Coatings Through Montmorillonite-Based Nanoclay Additive and Film Thickness
by
Marshall Shuai Yang, Chengqian Xian, Jian Chen, Yolanda Susanne Hedberg and James Joseph Noël
Corros. Mater. Degrad. 2025, 6(3), 39; https://doi.org/10.3390/cmd6030039 - 25 Aug 2025
Abstract
This research investigates the impact of incorporating montmorillonite-based nanoclay additives on the anti-corrosive properties of a polyester/triglycidyl isocyanurate (polyester/TGIC) powder coating on phosphated steel. The self-repairing capability facilitated by the swelling and expansion of nanoclay was demonstrated to enhance the corrosion resistance of
[...] Read more.
This research investigates the impact of incorporating montmorillonite-based nanoclay additives on the anti-corrosive properties of a polyester/triglycidyl isocyanurate (polyester/TGIC) powder coating on phosphated steel. The self-repairing capability facilitated by the swelling and expansion of nanoclay was demonstrated to enhance the corrosion resistance of the coatings significantly. A statistical Mixture Design methodology was employed to establish the optimal combination of nanoclay dosage and coating film thickness. Nineteen experiments were conducted using Design of Experiments, and two regression models were developed using the measured polarization resistance (Rp) and specular gloss values as responses. The mathematical maximization of the Rp value predicted an optimal nanoclay dosage of 4.1% with a corresponding film thickness of 80 µm. Statistical and experimental verification validated the results obtained from the regression models. Notably, the optimized coating demonstrated an Rp value one order of magnitude higher than the coating with 4% nanoclay and a standard film thickness of 60 µm. The behavior of the newly developed coatings was analyzed and compared through measurements of open circuit potential, polarization resistance, and electrochemical impedance spectroscopy. The findings confirm the substantial improvement in the anti-corrosive and self-repairing properties of the polyester/TGIC powder coating with the incorporation of montmorillonite-based nanoclay additives.
Full article
(This article belongs to the Special Issue Atmospheric Corrosion, Surface Electrochemistry and Environmental Degradation of Materials: In Honor of Prof. Christofer Leygraf)
►▼
Show Figures

Graphical abstract
Open AccessViewpoint
Corrosion Protection and Sustainability: Why Are the Two Concepts Inherently Intertwined
by
Tomáš Prošek, Patrick Keil and Kateryna Popova
Corros. Mater. Degrad. 2025, 6(3), 38; https://doi.org/10.3390/cmd6030038 - 12 Aug 2025
Abstract
Corrosion has a significant impact on the economic and environmental sustainability of metal-based infrastructure and products. This position paper explores the intrinsic relationship between corrosion protection and sustainability, examining the economic costs, environmental impacts and technological strategies involved. While corrosion results in resource
[...] Read more.
Corrosion has a significant impact on the economic and environmental sustainability of metal-based infrastructure and products. This position paper explores the intrinsic relationship between corrosion protection and sustainability, examining the economic costs, environmental impacts and technological strategies involved. While corrosion results in resource waste, energy loss, and increased CO2 emissions, effective corrosion management can extend the service life of metallic components, thus preserving resources and minimizing environmental burden. The approaches such as Total Cost of Ownership (TCO) and Life Cycle Analysis (LCA) can provide a framework for selecting the most cost-efficient and environmentally friendly corrosion protection method in view of the required lifetime. The paper emphasises the crucial role of material selection, design optimization, recyclability and environmentally friendly coatings. Regulatory pressures and new trends such as machine learning are also discussed. Achieving sustainability goals requires greater awareness, education, interdisciplinary collaboration, and continued innovation in corrosion protection strategies.
Full article
(This article belongs to the Special Issue Applied Infrastructure Corrosion Science for Construction Practice Advancement)
►▼
Show Figures

Figure 1
Open AccessReview
Review of Corrosion Evaluation Methods for Steel Reinforcement in Concrete
by
Dongfeng He
Corros. Mater. Degrad. 2025, 6(3), 37; https://doi.org/10.3390/cmd6030037 - 7 Aug 2025
Abstract
►▼
Show Figures
Corrosion of steel reinforcement is one of the primary causes of deterioration in reinforced concrete structures, significantly impacting their durability and structural performance. This review comprehensively examines various techniques used to evaluate rebar corrosion, categorizing them into electrochemical, physical, and advanced non-destructive methods.
[...] Read more.
Corrosion of steel reinforcement is one of the primary causes of deterioration in reinforced concrete structures, significantly impacting their durability and structural performance. This review comprehensively examines various techniques used to evaluate rebar corrosion, categorizing them into electrochemical, physical, and advanced non-destructive methods. Each method is discussed with respect to its operational principles, advantages, limitations, and field applicability. This comparative overview aims to support the selection of suitable evaluation strategies tailored to diverse structural conditions.
Full article

Figure 1
Open AccessArticle
Studies on the Chemical Etching and Corrosion Resistance of Ultrathin Laminated Alumina/Titania Coatings
by
Ivan Netšipailo, Lauri Aarik, Jekaterina Kozlova, Aivar Tarre, Maido Merisalu, Kaisa Aab, Hugo Mändar, Peeter Ritslaid and Väino Sammelselg
Corros. Mater. Degrad. 2025, 6(3), 36; https://doi.org/10.3390/cmd6030036 - 2 Aug 2025
Abstract
►▼
Show Figures
We investigated the protective properties of ultrathin laminated coatings, comprising three pairs of Al2O3 and TiO2 sublayers with coating thicknesses < 150 nm, deposited on AISI 310 stainless steel (SS) and Si (100) substrates at 80–500 °C by atomic
[...] Read more.
We investigated the protective properties of ultrathin laminated coatings, comprising three pairs of Al2O3 and TiO2 sublayers with coating thicknesses < 150 nm, deposited on AISI 310 stainless steel (SS) and Si (100) substrates at 80–500 °C by atomic layer deposition. The coatings were chemically etched and subjected to corrosion, ultrasound, and thermal shock tests. The coating etching resistance efficiency (Re) was determined by measuring via XRF the change in the coating sublayer mass thickness after etching in hot 80% H2SO4. The maximum Re values of ≥98% for both alumina and titania sublayers were obtained for the laminates deposited at 250–400 °C on both substrates. In these coatings, the titania sublayers were crystalline. The lowest Re values of 15% and 50% for the alumina and titania sublayers, respectively, were measured for laminate grown at 80 °C on silicon. The coatings deposited at 160–200 °C demonstrated a delay in the increase of Re values, attributed to the changes in the titania sublayers before full crystallization. Coatings grown at higher temperatures were also more resistant to ultrasound and liquid nitrogen treatments. In contrast, coatings deposited at 125 °C on SS had better corrosion protection, as demonstrated via electrochemical impedance spectroscopy and a standard immersion test in FeCl3 solution.
Full article

Graphical abstract
Open AccessArticle
Oxidation of HfB2-HfO2-SiC Ceramics Modified with Ti2AlC Under Subsonic Dissociated Airflow
by
Elizaveta P. Simonenko, Aleksey V. Chaplygin, Nikolay P. Simonenko, Ilya V. Lukomskii, Semen S. Galkin, Anton S. Lysenkov, Ilya A. Nagornov, Artem S. Mokrushin, Tatiana L. Simonenko, Anatoly F. Kolesnikov and Nikolay T. Kuznetsov
Corros. Mater. Degrad. 2025, 6(3), 35; https://doi.org/10.3390/cmd6030035 - 1 Aug 2025
Abstract
►▼
Show Figures
Ultrahigh-temperature ceramic composites based on hafnium diboride have a wide range of applications, including as components for high-speed aircraft and energy generation and storage devices. Consequently, developing methodologies for their fabrication and studying their properties are of paramount importance, in particular in using
[...] Read more.
Ultrahigh-temperature ceramic composites based on hafnium diboride have a wide range of applications, including as components for high-speed aircraft and energy generation and storage devices. Consequently, developing methodologies for their fabrication and studying their properties are of paramount importance, in particular in using them as an electrode material for energy storage devices with increased oxidation resistance. This study investigates the behavior of ceramic composites based on the HfB2-HfO2-SiC system, obtained using 15 vol% Ti2AlC MAX-phase as a sintering component, under the influence of subsonic flow of dissociated air. It was determined that incorporating the modifying component (Ti2AlC) altered the composition of the silicate melt formed on the surface during ceramic oxidation. This modification led to the observation of a protective antioxidant function. Consequently, liquation was observed in the silicate melt layer, resulting in the formation of spherical phase inhomogeneities in its volume with increased content of titanium, aluminum, and hafnium. It is hypothesized that the increase in the high-temperature viscosity of this melt prevents it from being carried away in the form of drops, even at a surface temperature of ~1900–2000 °C. Despite the established temperature, there is no sharp increase in its values above 2400–2500 °C. This is due to the evaporation of silicate melt from the surface. In addition, the electrochemical behavior of the obtained material in a liquid electrolyte medium (KOH, 3 mol/L) was examined, and it was shown that according to the value of electrical conductivity and specific capacitance, it is a promising electrode material for supercapacitors.
Full article

Figure 1
Highly Accessed Articles
Latest Books
E-Mail Alert
News
Topics
Topic in
Applied Sciences, Buildings, Construction Materials, CMD, Materials, Metals
Construction Materials: Corrosion, Prevention and Protection
Topic Editors: Sergio Lorenzi, Marco OrmelleseDeadline: 1 May 2026
Topic in
Coatings, Lubricants, Metals, Applied Sciences, CMD, JMMP
Surface Modification and Durability Enhancement of Advanced Alloys
Topic Editors: Ping Zhang, Chuang He, Damian Przestacki, Yu-Cun GuDeadline: 5 October 2026
Conferences
Special Issues
Special Issue in
CMD
Atmospheric Corrosion of Materials, 2nd Edition
Guest Editor: Dominique ThierryDeadline: 31 October 2025
Special Issue in
CMD
Special Issue in Honor of Professor Graham Wright's Achievement in Electrochemical Sciences
Guest Editor: Digby MacdonaldDeadline: 20 November 2025
Special Issue in
CMD
Applied Infrastructure Corrosion Science for Construction Practice Advancement
Guest Editors: Igor Chaves, Robert B. Petersen, Robert MelchersDeadline: 31 December 2025
Special Issue in
CMD
Advances in Material Surface Corrosion and Protection
Guest Editor: Wei JiangDeadline: 31 December 2025






