Atmospheric Corrosion Kinetics and QPQ Coating Failure of 30CrMnSiA Steel Under a Deposited Salt Film
Abstract
1. Introduction
2. Materials and Methods
3. Results
3.1. Mass Change and Kinetic Trend
3.2. Macro-Scale Appearance Evolution
3.3. Micro-Morphology (SEM/EDS) and 3D Profilometry
3.4. Phase Composition
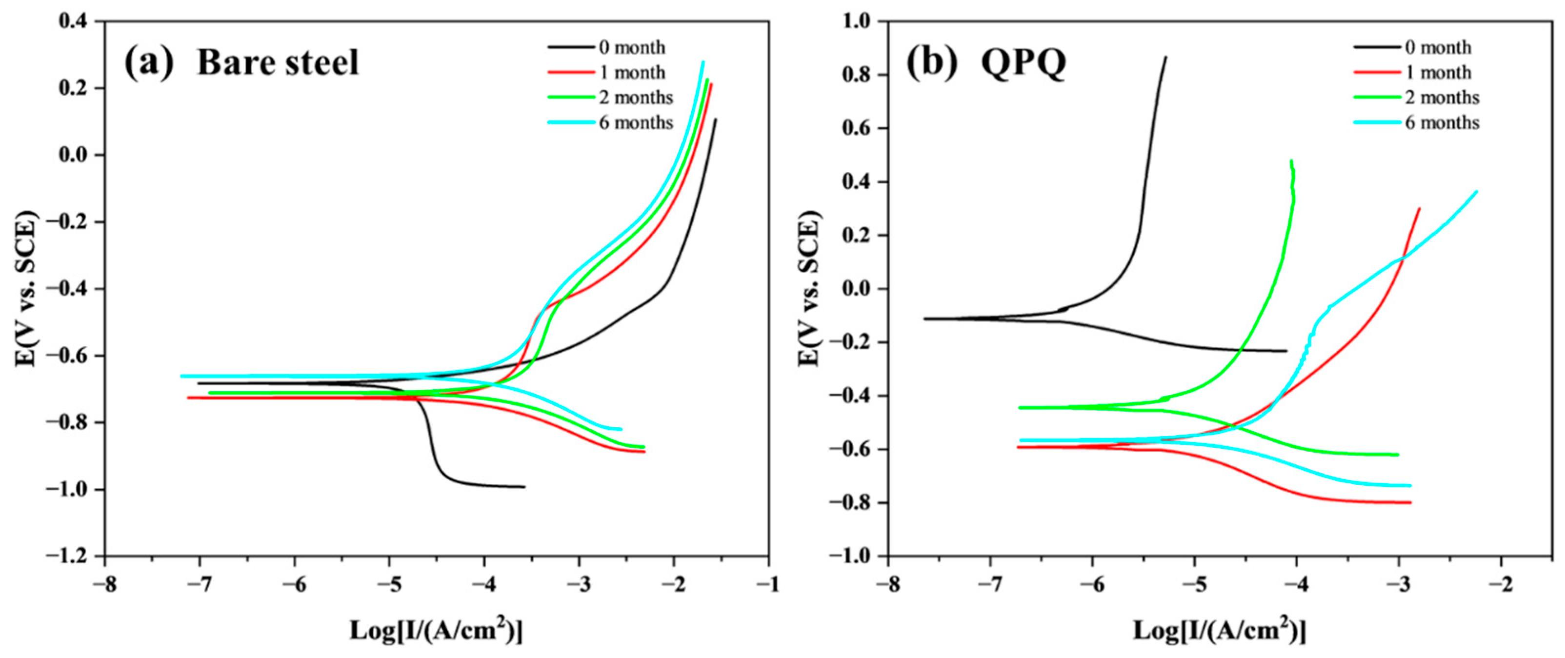
3.5. Electrochemical Behavior (Polarization and EIS)
3.6. Cross-Section Microstructure and EDS Mapping
4. Discussion
5. Conclusions
Author Contributions
Funding
Data Availability Statement
Conflicts of Interest
References
- Li, N.; Zhang, W.; Xu, H.; Cai, Y.; Yan, X. Corrosion Behavior and Mechanical Properties of 30CrMnSiA High-Strength Steel under an Indoor Accelerated Harsh Marine Atmospheric Environment. Materials 2022, 15, 629. [Google Scholar] [CrossRef]
- Zhang, B.; Wang, Y.; Wan, H.; Deng, J.; Li, W.; Liu, F. Actual Xisha Marine Atmospheric Corrosion Behavior of 30CrMnSiA Steel in Different Parts of the Aircraft. Eng. Fail. Anal. 2023, 154, 107684. [Google Scholar] [CrossRef]
- Yang, X.; Zhang, L.; Liu, M.; Zhang, S.; Zhou, K.; She, Z.; Mu, X.; Li, D. Atmospheric Corrosion Behaviour of 30CrMnSiA High-Strength Steel in Rural, Industrial and Marine Atmosphere Environments. Corros. Eng. Sci. Technol. 2017, 52, 226–235. [Google Scholar] [CrossRef]
- Morcillo, M.; Chico, B.; Díaz, I.; Cano, H.; de la Fuente, D. Atmospheric Corrosion Data of Weathering Steels: A Review. Corros. Sci. 2013, 77, 6–24. [Google Scholar] [CrossRef]
- Ma, Y.; Li, Y.; Wang, F. Corrosion of Low Carbon Steel in Atmospheric Environments of Different Chloride Content. Corros. Sci. 2009, 51, 997–1006. [Google Scholar] [CrossRef]
- Ma, Y.; Li, Y.; Wang, F. The Atmospheric Corrosion Kinetics of Low Carbon Steel in a Tropical Marine Environment. Corros. Sci. 2010, 52, 1796–1800. [Google Scholar] [CrossRef]
- Mendoza, A.R.; Corvo, F. Outdoor and Indoor Atmospheric Corrosion of Carbon Steel. Corros. Sci. 1999, 41, 75–86. [Google Scholar] [CrossRef]
- Nishimura, T.; Katayama, H.; Noda, K.; Kodama, T. Electrochemical Behavior of Rust Formed on Carbon Steel in a Wet/Dry Environment Containing Chloride Ions. Corrosion 2000, 56, 935–941. [Google Scholar] [CrossRef]
- Refait, P.; Génin, J.-M. The Mechanisms of Formation of the Fe(III) Oxyhydroxides and Their Chloride-Containing Precursors. Corros. Sci. 1997, 39, 539–552. [Google Scholar] [CrossRef]
- Ishikawa, T.; Kondo, Y.; Yasukawa, A.; Kandori, K. Formation of Magnetite in the Presence of Ferric Oxyhydroxides. Corros. Sci. 1998, 40, 1239–1251. [Google Scholar] [CrossRef]
- Cai, Y.; Zhao, Y.; Ma, X.; Zhou, K.; Chen, Y. Influence of Environmental Factors on Atmospheric Corrosion in Dynamic Environment. Corros. Sci. 2018, 137, 163–175. [Google Scholar] [CrossRef]
- de la Presilla, R.; Wandel, S.; Stammler, M.; Grebe, M.; Poll, G.; Glavatskih, S. Oscillating Rolling Element Bearings: Classification of Movements and Responsible Degradation Processes. Tribol. Int. 2023, 188, 108855. [Google Scholar]
- Cen, H.; Lugt, P.M. Effect of Start–Stop Motion on Contact Replenishment in a Grease-Lubricated Deep Groove Ball Bearing. Tribol. Int. 2021, 157, 106882. [Google Scholar] [CrossRef]
- Wandel, S.; Bartschat, A.; Glodowski, J.; Bader, N.; Poll, G. Wear Development in Oscillating Rolling Element Bearings. Lubricants 2023, 11, 117. [Google Scholar] [CrossRef]
- Maruyama, T.; Nakano, K. In-Situ Quantification of Oil-Film Formation and Breakdown in EHD Contacts. Tribol. Trans. 2018, 61, 1057–1066. [Google Scholar] [CrossRef]
- Tang, L.N.; Yan, M.F. Effects of Rare Earths Addition on the Microstructure, Wear and Corrosion Resistances of Plasma Nitrided 30CrMnSiA steel. Surf. Coat. Technol. 2012, 206, 2363–2370. [Google Scholar] [CrossRef]
- Zhao, C.; Ying, L.; Nie, C.; Zhu, T.; Tang, R.; Liu, R. Investigation of the Corrosion–Wear Interaction Behavior of 8Cr4Mo4V Bearing Steel at Various Corrosion Intervals. Coatings 2024, 14, 1245. [Google Scholar] [CrossRef]
- Feng, C.; Huang, Y.; Shen, Y.; Xiao, K.; Meng, F.; Li, X. Galvanic Corrosion and Protection of 6061 Aluminum Alloy Coupled with 30CrMnSiA Steel in Simulative Industry–Marine Atmospheric Environment. Chin. J. Nonferr. Met. 2015, 25, 1417–1427. [Google Scholar]
- Liu, J.H.; Hao, X.L.; Li, S.M.; Yu, M. Effect of Pre-Corrosion on Fatigue Life of High-Strength Steel 38CrMoAl. J. Wuhan Univ. Technol. Mater. Sci. Ed. 2011, 26, 648–653. [Google Scholar] [CrossRef]
- Chen, J.; Diao, B.; He, J.J.; Pang, S.; Guan, X.F. Equivalent Surface Defect Model for Fatigue Life Prediction of Steel Reinforcing Bars with Pitting Corrosion. Int. J. Fatigue 2018, 110, 153–161. [Google Scholar] [CrossRef]
- Balbín, J.A.; Chaves, V.; Larrosa, N.O. Pit-to-Crack Transition and Corrosion-Fatigue Lifetime Reduction Estimations by means of a Short-Crack Microstructural Model. Corros. Sci. 2021, 180, 109171. [Google Scholar] [CrossRef]
- Cai, Y.; Xu, Y.; Zhao, Y.; Ma, X.B. Extrapolating Short-Term Corrosion Test Results to Field Exposures in Different Environments. Corros. Sci. 2021, 186, 109455. [Google Scholar] [CrossRef]
- Cai, Y.; Xu, Y.; Zhao, Y.; Zhou, K.; Ma, X.B. A Spatial–Temporal Approach for Corrosion Prediction in Time-Varying Marine Environment. J. Loss Prev. Process Ind. 2020, 66, 104161. [Google Scholar] [CrossRef]
- Cai, Y.; Xu, Y.; Zhao, Y.; Ma, X.B. Atmospheric Corrosion Prediction: A Review. Corros. Rev. 2020, 38, 299–321. [Google Scholar] [CrossRef]
- Thierry, D.; Persson, D.; Luckeneder, G.; Stellnberger, K.H. Atmospheric Corrosion of ZnAlMg-Coated Steel during Long-Term Weathering at Worldwide Sites. Corros. Sci. 2019, 148, 338–354. [Google Scholar] [CrossRef]
- de la Fuente, D.; Díaz, I.; Simancas, J.; Chico, B.; Morcillo, M. Long-Term Atmospheric Corrosion of Mild Steel. Corros. Sci. 2011, 53, 604–617. [Google Scholar] [CrossRef]
- Palraj, S.; Selvaraj, M.; Maruthan, K.; Natesan, M. Kinetics of Atmospheric Corrosion of Mild Steel in Marine and Rural Environments. J. Mar. Sci. Appl. 2015, 14, 105–112. [Google Scholar] [CrossRef]
- Alcántara, J.; de la Fuente, D.; Chico, B.; Simancas, J.; Díaz, I.; Morcillo, M. Marine Atmospheric Corrosion of Carbon Steel: A Review. Materials 2017, 10, 406. [Google Scholar] [CrossRef]
- Dong, B.; Liu, W.; Zhang, T.; Chen, L.; Fan, Y.; Zhao, Y.; Yang, W.; Banthukul, W. Corrosion Failure Analysis of Low Alloy Steel and Carbon Steel Rebar in Tropical Marine Atmospheric Environment: Outdoor Exposure and Indoor Test. Eng. Fail. Anal. 2021, 129, 105720. [Google Scholar] [CrossRef]
- GB/T 11354-2005; Determination of Nitrided Case Depth and Metallographic Microstructure Examination for Steel and Iron Parts. China Standards Press: Beijing, China, 2005.
- ISO 18203:2016; Steel—Determination of the Thickness of Surface-Hardened Layers. International Organization for Standardization: Geneva, Switzerland, 2016.
- GB/T 16545-2015; Corrosion of Metals and Alloys—Removal of Corrosion Products from Corrosion Test Specimens. China Standards Press: Beijing, China, 2015.
- ISO 8407:2009; Corrosion of Metals and Alloys—Removal of Corrosion Products from Corrosion Test Specimens. International Organization for Standardization: Geneva, Switzerland, 2009.
- Chen, W.; Pan, G.; Liu, Z.; Huang, A.; Wang, S. Research on corrosion performance of Q235B steel in industrial coastal atmospheric environment. Heliyon 2024, 10, e39054. [Google Scholar] [CrossRef] [PubMed]
- Heredia, A.A.; Arias, H.D.A.; Mena, M.F.; Copete, E.S.; Vásquez, F.A.; Mosquera, N.L.; Palacios, E.B.; Lemus, R.P.; Calderón, J.; Machado, S. Atmospheric corrosion of carbon and galvanized steel under high rainfall conditions. Heliyon 2025, 11, e41281. [Google Scholar] [CrossRef]
- Zhang, J.; He, J.; Peng, B.; Li, H.; Li, B.; Ya, B.; Zhang, J.H. An experimental investigation for corrosion resistance of stainless clad steel plate. J. Constr. Steel Res. 2024, 217, 108655. [Google Scholar] [CrossRef]
- Wang, B.; Zhao, Y.; Cheng, X.; Zhang, X.; Wang, L.; Li, Z.; Liu, C.; Zhang, D.; Li, X. Corrosion Big-Data driven continuous observation of low alloy steel rust layer evolution and mining of influence rules of atmospheric environment interaction. Corros. Sci. 2025, 255, 113117. [Google Scholar] [CrossRef]
- Wang, Y.; Mu, X.; Chen, Z.; Lin, Z.; Dong, J.; Daniel, E.F.; Qi, J.; Ke, W. Understanding the role of alloyed Cu and P in the initial rust composition of weathering steel formed in a simulated coastal-industrial atmosphere. Corros. Sci. 2021, 193, 109912. [Google Scholar] [CrossRef]
- Orazem, M.E.; Tribollet, B. Electrochemical Impedance Spectroscopy, 2nd ed.; Wiley: Hoboken, NJ, USA, 2017; pp. 395–419. ISBN 978-1-118-52739-9. [Google Scholar]
- Lasia, A. Electrochemical Impedance Spectroscopy and Its Applications; Springer: New York, NY, USA, 2014; pp. 7–66. ISBN 978-1-4614-8932-0. [Google Scholar]
- Fan, Y.; Liu, W.; Li, S.; Chowwanonthapunya, T.; Wongpat, B.; Zhao, Y.; Dong, B.; Zhang, T.; Li, X. Evolution of rust layers on carbon steel and weathering steel in high humidity and heat marine atmospheric corrosion. J. Mater. Sci. Technol. 2020, 39, 190–199. [Google Scholar] [CrossRef]
- Brug, G.J.; van den Eeden, A.L.G.; Sluyters-Rehbach, M.; Sluyters, J.H. The Analysis of Electrode Impedances Complicated by the Presence of a Constant Phase Element. J. Electroanal. Chem. 1984, 176, 275–295. [Google Scholar] [CrossRef]
- Hsu, C.-H.; Mansfeld, F. Concerning the Conversion of the Constant Phase Element Parameter Y into a Capacitance. Corrosion 2001, 57, 747–748. [Google Scholar] [CrossRef]
- Jorcin, J.-B.; Orazem, M.E.; Pébère, N.; Tribollet, B. CPE analysis by local electrochemical impedance spectroscopy. Electrochim. Acta 2006, 51, 1473–1479. [Google Scholar] [CrossRef]
- Stratmann, M.; Streckel, H. On the Atmospheric Corrosion of Metals Which Are Covered with Thin Electrolyte Layers—II. Experimental Results. Corros. Sci. 1990, 30, 697–714. [Google Scholar] [CrossRef]
- Rémazeilles, C.; Refait, P. On the Formation of β-FeOOH (Akaganeite) in Chloride-Containing Environments. Corros. Sci. 2007, 49, 844–857. [Google Scholar] [CrossRef]
- Kamimura, T.; Hara, S.; Miyuki, H.; Yamashita, M.; Uchida, H. Composition and Protective Ability of Rust Layer Formed on Weathering Steel Exposed to Various Environments. Corros. Sci. 2006, 48, 2799–2812. [Google Scholar] [CrossRef]
- Dong, B.; Liu, W.; Chen, L.; Zhang, T.; Fan, Y.; Zhao, Y.; Li, H.; Yang, W.; Sun, Y. Unraveling the effect of chloride ion on the corrosion product film of Cr-Ni-containing steel in tropical marine atmospheric environment. Corros. Sci. 2022, 209, 110741. [Google Scholar] [CrossRef]
- Liu, S.; Wen, X.; Hu, J.; Zhu, L.; Li, Y. Study on the influence law and mechanism of industrial atmospheric environment on the corrosion behavior of Q235 carbon steel. J. Phys. Conf. Ser. 2023, 2539, 012071. [Google Scholar] [CrossRef]
- Han, C.; Li, Z.; Yang, X.; Wang, J. Corrosion behavior and mechanical performance of weathering steel in industrial and rural atmospheric environments. Constr. Build. Mater. 2024, 411, 134284. [Google Scholar] [CrossRef]
- Wang, Z.; Xu, W.; Zhang, B.; Gao, J.; Li, C.; Li, G.; Zhang, R.; Hou, B. The effect of rust layer damage on the corrosion resistance of Q420 bridge steels. J. Mater. Res. Technol. 2025, 34, 1894–1907. [Google Scholar] [CrossRef]
- Christiansen, T.; Somers, M.A.J. Low Temperature Gaseous Nitriding and Carburising of Stainless Steel. Surf. Eng. 2005, 21, 445–455. [Google Scholar] [CrossRef]















| Element | C | Si | Mn | Cr | Ni | P | S | Fe |
|---|---|---|---|---|---|---|---|---|
| Composition(wt.%) | 0.32 | 0.95 | 0.98 | 1.00 | 0.20 | ≤0.04 | ≤0.04 | Bal. |
| ion | Ca2+ | Mg2+ | Na+ | K+ |
| Concentration (mg·L−1) | 406.0 | 21.8 | 303.0 | 51.4 |
| ion | Cl− | SO42− | SO32− | HCO3− |
| Concentration (mg·L−1) | 386.5 | 518.5 | 195.0 | 295.7 |
| Sample | Time | Ecorr (V) | Icorr (A·cm−2) |
|---|---|---|---|
| Bare steel | 0 month | −0.698 | 1.57 × 10−5 |
| 1 month | −0.726 | 8.98 × 10−5 | |
| 2 months | −0.717 | 1.15 × 10−4 | |
| 6 months | −0.657 | 9.81 × 10−5 | |
| QPQ-treated | 0 month | −0.099 | 4.35 × 10−7 |
| 1 month | −0.591 | 4.77 × 10−6 | |
| 2 months | −0.435 | 3.76 × 10−6 | |
| 6 months | −0.563 | 1.44 × 10−5 |
| Sample | Rs/(Ω·cm2) | Rt/(Ω·cm2) | Qdl | RL/(Ω·cm2) | L/(H·cm2) | |
|---|---|---|---|---|---|---|
| Y0/(Ω−1·sn·cm−2) | nf | |||||
| Before corrosion | 21.48 | 501.1 | 6.81 × 10−4 | 0.80 | 330.9 | 1381 |
| Sample | Rs/(Ω·cm2) | Rf/(Ω·cm2) | Qf | Rt/(Ω·cm2) | Qdl | W0 | ||
|---|---|---|---|---|---|---|---|---|
| Y0,f/(Ω−1·sn·cm−2) | nf | Y0,dl/(Ω−1·sn·cm−2) | ndl | |||||
| 1 month | 24.13 | 8.92 | 1.13 × 10−2 | 0.34 | 7.78 | 7.17 × 10−3 | 0.66 | 2.24 × 10−2 |
| 2 months | 21.59 | 6.89 | 1.88 × 10−5 | 0.55 | 32.97 | 2.14 × 10−2 | 0.32 | 2.28 × 10−2 |
| 6 months | 29.6 | 41.11 | 5.08 × 10−3 | 0.32 | 120.7 | 9.47 × 10−3 | 0.49 | 2.84 × 10−2 |
| Sample | Rs/(Ω·cm2) | Rf/(Ω·cm2) | Qf | Rt/(Ω·cm2) | Qdl | ||
|---|---|---|---|---|---|---|---|
| Y0,f/(Ω−1·sn·cm−2) | nf | Y0,dl/(Ω−1·sn·cm−2) | ndl | ||||
| 0 month | 23.5 | 8735 | 3.91 × 10−4 | 0.64 | 2.59 × 1012 | 2.32 × 10−4 | 0.71 |
| 1 month | 24.79 | 1664 | 6.03 × 10−3 | 0.75 | 856.7 | 3.23 × 10−2 | 1 |
| 2 months | 21.97 | 1220 | 8.43 × 10−3 | 0.79 | 3439 | 6.86 × 10−3 | 0.69 |
| 6 months | 22.95 | 765.4 | 4.42 × 10−3 | 0.66 | 1229 | 1.25 × 10−2 | 0.75 |
Disclaimer/Publisher’s Note: The statements, opinions and data contained in all publications are solely those of the individual author(s) and contributor(s) and not of MDPI and/or the editor(s). MDPI and/or the editor(s) disclaim responsibility for any injury to people or property resulting from any ideas, methods, instructions or products referred to in the content. |
© 2025 by the authors. Licensee MDPI, Basel, Switzerland. This article is an open access article distributed under the terms and conditions of the Creative Commons Attribution (CC BY) license (https://creativecommons.org/licenses/by/4.0/).
Share and Cite
Li, W.; Chen, S.; Xiao, H.; Jiao, X.; Wang, Y.; Song, S.; Yan, S.; Jin, Y. Atmospheric Corrosion Kinetics and QPQ Coating Failure of 30CrMnSiA Steel Under a Deposited Salt Film. Corros. Mater. Degrad. 2025, 6, 53. https://doi.org/10.3390/cmd6040053
Li W, Chen S, Xiao H, Jiao X, Wang Y, Song S, Yan S, Jin Y. Atmospheric Corrosion Kinetics and QPQ Coating Failure of 30CrMnSiA Steel Under a Deposited Salt Film. Corrosion and Materials Degradation. 2025; 6(4):53. https://doi.org/10.3390/cmd6040053
Chicago/Turabian StyleLi, Wenchao, Shilong Chen, Hui Xiao, Xiaofei Jiao, Yurong Wang, Shuwei Song, Songtao Yan, and Ying Jin. 2025. "Atmospheric Corrosion Kinetics and QPQ Coating Failure of 30CrMnSiA Steel Under a Deposited Salt Film" Corrosion and Materials Degradation 6, no. 4: 53. https://doi.org/10.3390/cmd6040053
APA StyleLi, W., Chen, S., Xiao, H., Jiao, X., Wang, Y., Song, S., Yan, S., & Jin, Y. (2025). Atmospheric Corrosion Kinetics and QPQ Coating Failure of 30CrMnSiA Steel Under a Deposited Salt Film. Corrosion and Materials Degradation, 6(4), 53. https://doi.org/10.3390/cmd6040053

