Influence of Temperature on the Galvanic Corrosion Behavior Between Titanium Alloy and 304 Stainless Steel in a Simulated Marine Environment
Abstract
1. Introduction
2. Experimental
3. Results and Discussion
3.1. Potential and Corrosion Current Measurements
3.2. Electrochemical Impedance Spectroscopy (EIS)
3.3. Corrosion Morphology Observation
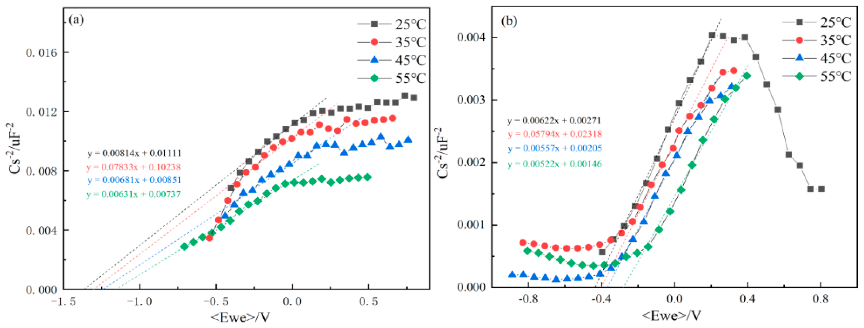
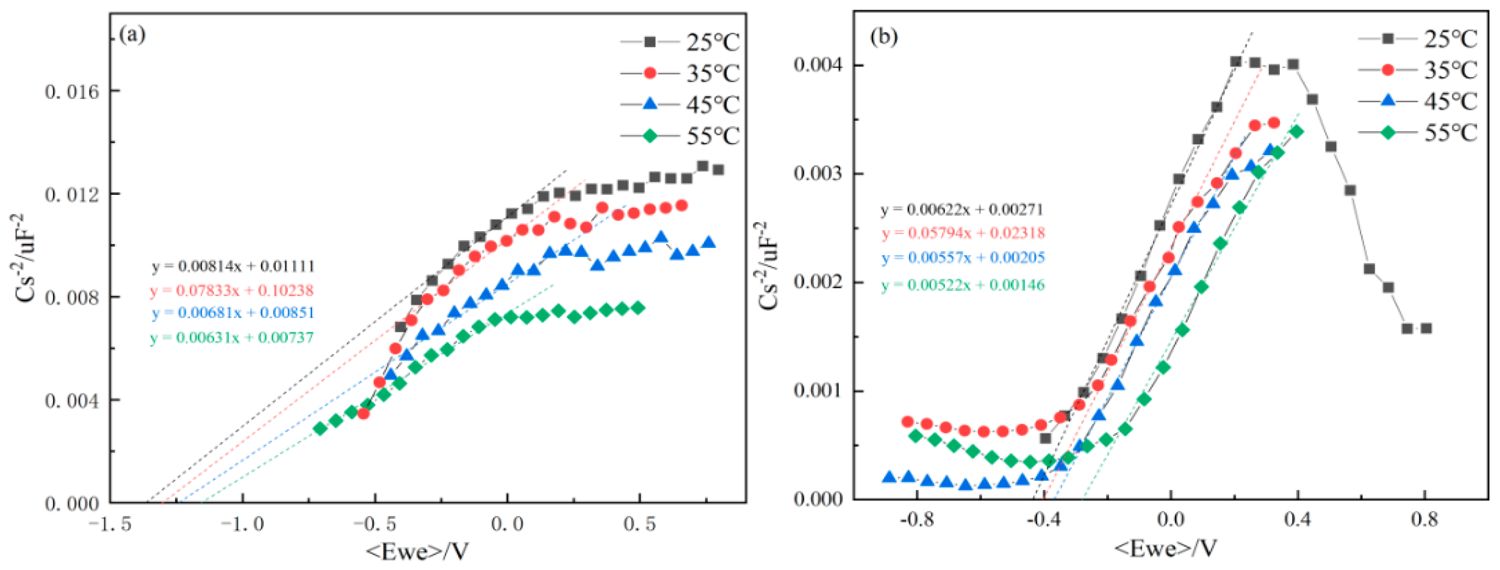
3.4. Analysis of the Surface Film on TA22
4. Conclusions
Author Contributions
Funding
Data Availability Statement
Acknowledgments
Conflicts of Interest
References
- He, C.Y.; Zhang, L.J. Development and Application of High-Temperature Titanium Alloys at Home and Abroad. World Nonferr. Met. 2016, 1, 21–25. [Google Scholar]
- Fan, X.H.; Yu, Y.; Zhang, Z.R.; Feng, Z.; Chen, L.J.; Dong, L.; Zhang, L. Study on Pitting and Repassivation Behavior of 316L Austenitic Stainless Steel Under Different Potentials. Surf. Technol. 2020, 49, 287–293, 318. [Google Scholar]
- Marcus, P. (Ed.) Corrosion Mechanisms in Theory and Practice, 2nd ed.; CRC Press: New York, NY, USA, 2002. [Google Scholar]
- Li, S.Y.; Chen, W. Galvanic Behavior of Carbon Steel/Copper in NaCl Medium. Corros. Sci. Prot. Technol. 2000, 5, 300–302. [Google Scholar]
- Xing, Q.; Guo, W.M.; Chen, X.X.; Fan, L.; Gong, L.H.; Yang, C. Galvanic Corrosion Behavior of Copper Alloys under Simulated Deep-Sea Low-Temperature Conditions. Equip. Environ. Eng. 2015, 12, 1–5+24. [Google Scholar]
- Wang, C.L. Study on Corrosion Behavior of Complex Coupled Systems in Marine Environment. PhD. Thesis, Harbin Engineering University, Harbin, China, 2013. [Google Scholar]
- Blasco-Tamarit, E.; Igual-Munoz, A.; Anton, J.G.; García-García, D. Galvanic corrosion of titanium coupled to welded titanium in LiBr solutions at different temperatures. Corros. Sci. 2009, 51, 1095–1102. [Google Scholar] [CrossRef]
- Yang, J.; Song, Y.; Dong, K.; Han, E.-H. Research progress on the corrosion behavior of titanium alloys. Corros. Rev. 2023, 41, 5. [Google Scholar] [CrossRef]
- Tal-Gutelmacher, E.; Dan, E. The hydrogen embrittlement of titanium-based alloys. JOM 2005, 57, 46–49. [Google Scholar] [CrossRef]
- Xiao, Y. Study on Galvanic Corrosion Behavior and Protection Technology of Dissimilar Metals. Ph.D. Thesis, North China Electric Power University, Beijing, China, 2021. [Google Scholar]
- ASTM G150-18; Standard Test Method for Electrochemical Critical Pitting Temperature Testing of Stainless Steels. ASTM International: West Conshohocken, PA, USA, 2018.
- Yu, B.; Zhou, P.; Fang, H.J.; Wang, Y.; Pu, J. Effects of the TiO2 content on the mechanical properties and galvanic corrosion resistance of Al2O3 coatings. Ceram. Int. 2023, 49, 38593–38601. [Google Scholar] [CrossRef]
- GB/T 15748-2013; Method of Galvanic Corrosion Test for Metallic Ship Materials. Standards Press of China: Beijing, China, 2014.
- Cui, B.Y.; Zhang, Z.B. Dispersion Effect of AC Impedance Spectrum on Titanium Electrode. Corros. Sci. Prot. Technol. 1994, 6, 123–130. [Google Scholar]
- Dong, K.H.; Song, Y.W.; Chang, F.C.; Han, E.H. Galvanic corrosion mechanism of Ti-Al coupling: The impact of passive films on the coupling effect. Electrochim. Acta 2023, 462, 142662. [Google Scholar] [CrossRef]
- Yuan, S.; Liang, B.; Zhao, Y.; Pehkonen, S.O. Surface chemistry and corrosion behaviour of 304 stainless steel in simulated seawater containing inorganic sulphide and sulfate-reducing bacteria. Corros. Sci. 2013, 74, 353–366. [Google Scholar] [CrossRef]
- Wang, S.L.; Long, F.Y.; Yang, Y. Application and Progress of Electrochemical Measurement Techniques in Pitting Corrosion Research of Stainless Steel. Corros. Prot. 2016, 37, 586–591. [Google Scholar]
- Li, J.; Xie, F.; Wang, D.; Ma, C.; Wu, M.; Gong, K. Effect of magnetic field on stress corrosion cracking induced by Sulfate-reducing bacteria. Constr. Build. Mater. 2021, 303, 124521. [Google Scholar] [CrossRef]
- Burstein, G.T. Revealing corrosion pits. Nature 1991, 350, 188–189. [Google Scholar] [CrossRef]
- Chojnacka, A.; Kawalko, J.; Koscielny, H.; Guspiel, J.; Drewienkiewicz, A.; Bieda, M.; Pachla, W.; Kulczyk, M.; Sztwiertnia, K.; Beltowska-Lehman, E. Corrosion anisotropy of titanium deformed by the hydrostatic extrusion. Appl. Surf. Sci. 2017, 426, 987–994. [Google Scholar] [CrossRef]
- Huang, V.M.; Wu, S.L.; Orazem, M.E.; Pébère, N.; Tribollet, B.; Vivier, V. Local electrochemical impedance spectroscopy: A review and some recent developments. Electrochim. Acta 2011, 56, 8048–8057. [Google Scholar] [CrossRef]
- Fattah-Alhosseini, A.; Soltani, F.; Shirsalimi, F.; Ezadi, B.; Attarzadeh, N. The semiconducting properties of passive films formed on AISI 316 L and AISI 321 stainless steels: A test of the point defect model (PDM). Corros. Sci. 2011, 53, 3186–3192. [Google Scholar] [CrossRef]
- Wang, L.; Yu, H.; Wang, S.; Chen, B.; Wang, Y.; Fan, W.; Sun, D. Quantitative analysis of local fine structure on diffusion of point defects in passive film on Ti. Electrochim. Acta 2019, 314, 161–172. [Google Scholar] [CrossRef]
- Lin, Y.H.; Du, R.G.; Hu, R.G.; Lin, J.C. A Correlation Study of Corrosion Resistance and Semiconductor Properties for the Electrochemically Modified Passive Film of Stainless Steel. Acta Phys. Chim. Sin. 2005, 21, 740–745. [Google Scholar]
- Zhao, P.; Song, Y.; Dong, K.; Shan, D.; Han, E. Effect of passive film on the galvanic corrosion of titanium alloy Ti60 coupled to copper alloy H62. Mater. Corros. 2019, 70, 1745–1754. [Google Scholar] [CrossRef]
- Han, Y.F.; Qiao, H.B.; Sun, H.Z. Galvanic Corrosion Behavior of ZTC4 Titanium Alloy Castings in Artificial Seawater. Hot Work. Technol. 2024, 14, 142–146. [Google Scholar]
- Hai, T.Z.; Lacefield, W.R. XPS EDX and FTIR analysis of pulsed laser deposited calcium phosphate bioceram iccoatings: The effects of various process parameters. Biomaterials 2000, 21, 23–30. [Google Scholar]
- Polzonetti, G.; Iucci, G.; Frontini, A.; Infante, G.; Furlani, C.; Avigliano, L.; Del Principe, D.; Palumbo, G.; Rosato, N. Surface reactions of a plasma-sprayed CaO-P2O5-SiO2 based glass with album in fibroblasts and granulocytes studied by XPS fluorescence and chem ilum inescence. Biomaterials 2000, 21, 1531–15394. [Google Scholar] [CrossRef] [PubMed]
- Milosev, I.; Metikos, H.M.; Strehblow, H.H. Passive film on orthopaedic TiAIV alloy fomed in physiological solution investigated by X-ray photoelectron spectmscopy. Biomaterials 2000, 21, 2103–2113. [Google Scholar] [CrossRef]
- Du, Z.H.; Cui, Z.D.; Zhu, S.L. XPS Study of Anodic Oxide Films on Titanium Alloy. Aerosp. Mater. Technol. 2009, 39, 67–70. [Google Scholar]


















| Element | Al | Mo | Ni | Zr | Fe | Si | C | Ti |
|---|---|---|---|---|---|---|---|---|
| content | 3.50 | 1.50 | 1.00 | 0.80 | 0.20 | 0.12 | 0.10 | balance |
| Element | Cr | Ni | Mn | Si | C | P | S | Fe |
|---|---|---|---|---|---|---|---|---|
| content | 18.00 | 8.00 | 2.00 | 0.75 | 0.08 | 0.045 | 0.03 | balance |
| (a) | T(°C) | Icorr (μA·cm−2) | Ecorr (mV) | (b) | T(°C) | Icorr (μA·cm−2) | Ecorr (mV) |
|---|---|---|---|---|---|---|---|
| 25 | 0.08 | −53 | 25 | 0.58 | −127 | ||
| 35 | 0.20 | −104 | 35 | 0.94 | −160 | ||
| 45 | 0.35 | −137 | 45 | 1.61 | −224 | ||
| 55 | 0.52 | −160 | 55 | 2.46 | −315 |
| T/°C | Rs/Ω·cm2 | Qdl/F·cm−2 | nct | Rct/Ω·cm2 | Qf/F·cm−2 | nf | Rf/Ω·cm2 |
|---|---|---|---|---|---|---|---|
| 25 °C | 1.036 | 8.347 × 10−6 | 0.994 | 583.4 | 1.916 × 10−5 | 0.843 | 8.621 × 106 |
| 35 °C | 1.899 | 2.489 × 10−6 | 0.988 | 692.3 | 3.372 × 10−5 | 0.909 | 5.286 × 106 |
| 45 °C | 3.564 | 2.054 × 10−6 | 0.951 | 760 | 5.462 × 10−5 | 0.945 | 2.853 × 106 |
| 55 °C | 1.937 | 1.355 × 10−6 | 0.905 | 713.7 | 4.471 × 10−5 | 0.892 | 1.65 × 106 |
| T/°C | Rs/Ω·cm2 | Qdl/F·cm−2 | nct | Rct/Ω·cm2 | Qf/F·cm−2 | nf | Rf/Ω·cm2 |
|---|---|---|---|---|---|---|---|
| 25 °C | 1.658 | 8.683 × 10−6 | 0.811 | 491.3 | 4.572 × 10−5 | 0.734 | 1.508 × 105 |
| 35 °C | 1.794 | 6.933 × 10−6 | 0.796 | 668.2 | 6.285 × 10−5 | 0.625 | 6.545 × 104 |
| 45 °C | 2.343 | 5.138 × 10−6 | 0.851 | 375.8 | 5.462 × 10−5 | 0.497 | 2.108 × 104 |
| 55 °C | 0.482 | 1.355 × 10−5 | 0.827 | 345.4 | 1.471 × 10−5 | 0.433 | 1.013 × 104 |
| (a) | Temperature (°C) | Slope | ND (cm−3) | EFB (V) | (b) | Temperature (°C) | Slope | ND (cm−3) | EFB (V) |
|---|---|---|---|---|---|---|---|---|---|
| 25 | 8.14 × 10−3 | 2.82 × 1032 | −1.36 | 25 | 6.22 × 10−3 | 1.45 × 1033 | −0.435 | ||
| 35 | 7.94 × 10−3 | 2.89 × 1032 | −1.28 | 35 | 5.79 × 10−3 | 1.56 × 1033 | −0.399 | ||
| 45 | 6.81 × 10−3 | 3.37 × 1032 | −1.25 | 45 | 5.57 × 10−3 | 1.62 × 1033 | −0.368 | ||
| 55 | 6.31 × 10−3 | 3.64 × 1032 | −1.16 | 55 | 5.21 × 10−3 | 1.81 × 1033 | −0.279 |
Disclaimer/Publisher’s Note: The statements, opinions and data contained in all publications are solely those of the individual author(s) and contributor(s) and not of MDPI and/or the editor(s). MDPI and/or the editor(s) disclaim responsibility for any injury to people or property resulting from any ideas, methods, instructions or products referred to in the content. |
© 2025 by the authors. Licensee MDPI, Basel, Switzerland. This article is an open access article distributed under the terms and conditions of the Creative Commons Attribution (CC BY) license (https://creativecommons.org/licenses/by/4.0/).
Share and Cite
Meng, J.; Li, X.; Guo, F.; Cheng, W.; Jia, R. Influence of Temperature on the Galvanic Corrosion Behavior Between Titanium Alloy and 304 Stainless Steel in a Simulated Marine Environment. Corros. Mater. Degrad. 2025, 6, 50. https://doi.org/10.3390/cmd6040050
Meng J, Li X, Guo F, Cheng W, Jia R. Influence of Temperature on the Galvanic Corrosion Behavior Between Titanium Alloy and 304 Stainless Steel in a Simulated Marine Environment. Corrosion and Materials Degradation. 2025; 6(4):50. https://doi.org/10.3390/cmd6040050
Chicago/Turabian StyleMeng, Jiao, Xingyu Li, Feng Guo, Wenhua Cheng, and Ruiling Jia. 2025. "Influence of Temperature on the Galvanic Corrosion Behavior Between Titanium Alloy and 304 Stainless Steel in a Simulated Marine Environment" Corrosion and Materials Degradation 6, no. 4: 50. https://doi.org/10.3390/cmd6040050
APA StyleMeng, J., Li, X., Guo, F., Cheng, W., & Jia, R. (2025). Influence of Temperature on the Galvanic Corrosion Behavior Between Titanium Alloy and 304 Stainless Steel in a Simulated Marine Environment. Corrosion and Materials Degradation, 6(4), 50. https://doi.org/10.3390/cmd6040050
