Next Article in Journal
Theoretical Aspects of Topology and Successful Applications to Glasses and Proteins
Previous Article in Journal
Bornological Approach Nearness
 
 
Font Type:
Arial Georgia Verdana
Font Size:
Aa Aa Aa
Line Spacing:
Column Width:
Background:
Article

On Connected Subsets of a Convergence Space

by
Bryan Gerardo Castro Herrejón
1 and
Frédéric Mynard
2,*
1
Facultad de Ciencias, Universidad Nacional Autónoma de México, Mexico City 04510, Mexico
2
Department of Mathematics, New Jersey City University, 2039 Kennedy Blvd., Jersey City, NJ 07305, USA
*
Author to whom correspondence should be addressed.
Int. J. Topol. 2025, 2(3), 13; https://doi.org/10.3390/ijt2030013
Submission received: 12 June 2025 / Revised: 18 August 2025 / Accepted: 18 August 2025 / Published: 27 August 2025

Abstract

Though a convergence space is connected if and only if its topological modification is connected, connected subsets of a convergence space differ from those of its topological modification. We explore which subsets exhibit connectedness for the convergence or for the topological modification. In particular, we show that connectedness of a subset is equivalent for a convergence or for its reciprocal modification and that the largest set enclosing a given connected subset of a convergence space is the adherence of the connected set for the reciprocal modification of the convergence.

1. Preliminaries on Convergence Spaces

Let X be a set. Then, P X denotes its powerset, F X denotes the set of (set-theoretic) filters on X, U X denotes the set of ultrafilters on X, and F 0 X denotes the set of principal filters on X. Given A P X , let A = { B X : A A ,   A B } and A # = { H X : A A ,   A H } . For a filter F on X, β F = { U U X : F U } denotes the set of finer ultrafilters; we also write β A for β { A } .
Convergence spaces form a useful generalization of topological spaces. Namely, a convergence  ξ on a set X is a relation between points of X and (set-theoretic) filters on X, denoted by x lim ξ F if ( x , F ) ξ (and x is interpreted as a limit point for F in ξ ), satisfying
x lim ξ { x }
for every x X and
F G lim ξ F lim ξ G ,
for all pairs of filters F and G on X. The pair ( X , ξ ) is then called a convergence space.
A map f : X Y between two convergence spaces ( X , ξ ) and ( Y , τ ) is continuous (in symbols f C ( ξ , τ ) ) if f ( x ) lim τ f [ F ] whenever x lim ξ F , where f [ F ] = { f ( F ) : F F } is the image filter. Let Conv denote the category of convergence spaces and continuous maps. If ξ , σ are two convergences on X, we say that ξ is finer than  σ or that σ is coarser than  ξ (in symbols ξ σ ) if the identity map id X C ( ξ , σ ) , that is, if lim ξ F lim σ F for every filter F on X. The set of convergences on a given set is a complete lattice for this order. Moreover, Conv is a topological category (see [1] for details), that is, it has all initial (and final) structures. Indeed, if f : X ( Y , τ ) , there is the coarsest convergence f τ on X making f continuous (to ( Y , τ ) ), namely x lim f τ F if f ( x ) lim τ f [ F ] , and it is initial. If f i : X ( Y i , τ i ) for i I , the supremum i I f i τ i provides an initial lift for the source. As a result, Conv has products and subspaces. In particular, if ( X , ξ ) is a convergence space and A X , the induced convergence or subspace convergence  ξ | A on A is the initial convergence i ξ for the inclusion map i : A X , that is, a lim ξ | A F if a lim ξ F X .
If a convergence additionally satisfies
lim ξ ( F G ) = lim ξ F lim ξ G
for every F , G F X , we say that ξ  has finite depth (many authors include the condition (3) in the axioms of a convergence space; here, we follow [2]).
A convergence satisfying the stronger condition that
lim ξ ( D D D ) = D D lim ξ D
for every D F X is called a pretopology, and ( X , ξ ) is a pretopological space.
A subset A of a convergence space ( X , ξ ) is ξ-open if
lim ξ F A A F ,
and ξ -closed if it is closed for limits, that is,
A F lim ξ F A .
Let O ξ denote the set of open subsets of ( X , ξ ) and let O ξ ( x ) = { U O ξ : x U } . Similarly, let C ξ denote the set of closed subsets of ( X , ξ ) . It turns out that O ξ is a topology on X. Moreover, a topology τ on a set X determines a convergence ξ τ on X by
x lim ξ τ F F N τ ( x ) ,
where N τ ( x ) denotes the neighborhood filter of x for τ . In turn, ξ τ completely determines τ because τ = O ξ τ , so that we do not distinguish between τ and ξ τ and identify topologies with special convergences. Moreover, a convergence ξ on X determines the topology O ξ on X, which turns out to be the finest among the topologies on X that are coarser than ξ . We call it the topological modification of  ξ and denote it as T ξ . The map T turns out to be a concrete reflector. Hence, the category Top of topological spaces and continuous maps is a concretely reflective subcategory of Conv . Let cl ξ denote the closure operator in T ξ .
Just like in the topological case, we will say that a convergence space is T 1 if every singleton is closed, and Hausdorff if the limit sets have at most one element.
Consider the principal adherence operator  adh ξ : P X P X given by
adh ξ A = A G # lim ξ G = A G lim ξ G = U β A lim ξ U .
In general,
adh ξ A cl ξ A
but not conversely. In contrast to cl ξ , the principal adherence is in general non-idempotent because adh ξ A need not be closed.
In view of (4), a convergence ξ is a pretopology if and only if the vicinity filter  V ξ ( x ) = x lim ξ F F converges to x for every x X , equivalently, if it is determined by its principal adherence via lim ξ F = A F # adh ξ A . The full subcategory PrTop of Conv formed by pretopological spaces and continuous maps is concretely reflective, with the reflector S 0 given on objects by
lim S 0 ξ F = A F # adh ξ A .
On the other hand, the reflector T is given by
lim T ξ F = A F # cl ξ A ,
so that T S 0 ; that is, every topology is a pretopology. In fact, a pretopology is a topology if and only if the principal adherence operator is idempotent, in which case adh ξ = cl ξ .
We refer the reader to [2,3] for a systematic study of convergence spaces and their applications to topological problems. Convergence spaces turn out to form a very convenient setting not only to study purely topological problems but also for Functional Analysis, as shown convincingly in [4,5,6]. The variant category of uniform convergence spaces has its own advantages in this context, as argued in [7]. An initial promising exploration of the potential of convergence space theory in algebraic topology [8] and complex geometry [9] was proposed by Armando Machado in the late 1960s and 1970s, but this has not been explored much further until recently, e.g., [10,11,12]. Despite this extensive body of work developing the theory of convergence spaces as an extension of classical topology, the central topological concept of connectedness has received very limited attention in the context of convergences spaces, in part because it appears at first glance to be completely reduced to the topological notion, as we shall now see.

2. Connectedness

By definition, a convergence space ( X , ξ ) is connected if its only subsets that are both closed and open (clopen) are ∅ and X, equivalently if every continuous map f : X { 0 , 1 } (where { 0 , 1 } carries the discrete topology) is constant.
As a result, it is plain that ξ is connected if and only if its topological modification T ξ is connected so that the theory of connectedness for convergence spaces is mostly equivalent to the classical one for topological spaces. However, some care is needed for subspaces, as well as for products. We say that a subset A of a convergence space ( X , ξ ) is connected if it is as a subspace, that is, if ( A , ξ | A ) is connected. For the reason already outlined, this is equivalent to ( A , T ( ξ | A ) ) being connected, but the subtlety lies in the fact that while
T ( ξ | A ) ( T ξ ) | A ,
the reverse inequality does not need to hold, e.g., Example V.4.35 in [2].
Note also that if ξ and τ are convergences on X with ξ τ , then every ξ -connected subset of X is also τ -connected. In particular, every ξ -connected subset is also T ξ -connected, but the converse is not true, e.g., Example XII.1.30 in [2].
Remark 1. 
Similarly, T does not commute with products, so some care is needed in extending results on the connectedness of products from topological to convergence spaces, but the fact that a product space is connected if and only if each factor is connected remains valid for convergence spaces. Indeed, though Theorem XII.1.31 in [2] is formulated for topological spaces, its proof can easily be adapted to extend the result to arbitrary convergence spaces. See, e.g., Theorem 6.2.3 in [13] for a complete proof.
Proposition 1. 
A subset A of a convergence space ( X , ξ ) is ξ-connected if and only if it is S 0 ξ -connected.
Proof. 
Since ξ S 0 ξ , every ξ -connected subset is also S 0 ξ -connected. Conversely, if A is S 0 ξ -connected, that is, ( S 0 ξ ) | A is connected, then so is S 0 ( ξ | A ) because S 0 ( ξ | A ) = ( S 0 ξ ) | A by Corollary XIV.3.9 in [2]. If A is connected for S 0 ( ξ | A ) T ( ξ | A ) , it is T ( ξ | A ) -connected, equivalently, ξ | A -connected, that is, ξ -connected. □
In other words, in studying connected subsets of a convergence space, we can restrict ourselves to pretopologies.
The extension to convergence spaces of the topological fact that if A X is connected and A B cl A , then B is also connected is:
Proposition 2 
([2] Prop. XII.1.25). If A is a ξ-connected subset of a convergence space ( X , ξ ) and A B adh ξ A , then B is also ξ-connected.
The book [2] is, however, silent on whether this result would extend if adh ξ A is replaced by cl ξ A , even if ξ is not topological. The first observation is that
Proposition 3. 
If S is a ξ-connected subset of a convergence space ( X , ξ ) , then cl ξ S is connected.
Proof. 
If S is ξ -connected, it is also T ξ -connected, and thus, so is cl ξ S by the usual topological result. By Proposition V.4.36 in [2] or by Lemma 2 below, for A = cl ξ S , we have T ( ξ | cl S ) = ( T ξ ) | cl S . Hence, cl ξ S is T ( ξ | cl S ) -connected, equivalently, ξ -connected. □
Hence, if A is connected and
A B cl ξ A ,
we can conclude that B is connected when B is closed (because B = cl ξ A ) or when B adh ξ A , but is it always true? We show that the answer is “no” in the general case, and explore when it is “yes”.
We will use the fact that the classical result whereby the union of a family of connected subspaces with a non-empty intersection is again connected extends from topological to convergence spaces:
Proposition 4 
([2] Corollary XX.1.22). If { A t : t T } is a collection of connected subspaces of a convergence space ( X , ξ ) , and t T A t , then t T A t is also a connected subspace.
We can refine Proposition 3. To this end, recall that we can define iterations of the adherence of a set by transfinite induction by adh ξ 0 A = A and if adh ξ β A has been defined for all β < α , then
adh ξ α A = adh ξ ( β < α adh ξ β A ) .
Of course, adh ξ α A cl ξ A for every ordinal α , and there is equality for sufficiently large α . The smallest ordinal α such that adh ξ α A = cl ξ A for every subset A of ( X , ξ ) is called the topological defect of  ξ . Hence, pretopologies of topological defect 1 are topologies.
Proposition 5. 
If A is a connected subspace of a convergence space ( X , ξ ) , then adh ξ α A is connected for every ordinal α.
Proof. 
This is clear for A = , so assume that A . We proceed with transfinite induction. The case of α = 0 is clear because A is connected. Suppose that adh ξ β A is connected for all β < α . In view of Proposition 4, β < α adh ξ β A is connected, and thus, adh ξ α A = adh ξ ( β < α adh ξ β A ) is connected by Proposition 2. □
In view of Proposition 1, we have:
Proposition 6. 
If ( X , ξ ) is a convergence space with topological defect 1, equivalently, S 0 ξ = T ξ , then ξ-connected subsets and T ξ -connected subsets coincide.
To illustrate this proposition, recall from [14] that a topological space ( X , τ ) is of accessibility, or is an accessibility space if for each x 0 X and every H X with x 0 cl τ ( H { x 0 } ) , there is a closed subset F of X with x 0 cl ( F { x 0 } ) and x 0 cl τ ( F H { x 0 } ) .
Following [15], we say that a pretopology τ is topologically maximal within the class of pretopologies if
σ = S 0 σ τ and T σ = T τ σ = τ .
It is proved in [15,16] that a topology is of accessibility if and only if it is topologically maximal within the class of pretopologies. Hence, if ξ is a convergence for which T ξ is an accessibility space, then S 0 ξ = T ξ by maximality, so that Proposition 6 applies to the effect that ξ -connected and T ξ -connected subsets coincide.
To give examples of accessibility spaces, recall that a topological space X is Fréchet–Urysohn if whenever x cl   A for x X and A X , there is a sequence { x n } n = 1 on A converging to x. Fréchet–Urysohn spaces in which sequences have unique limits are of accessibility, e.g., [14]. Hence,
Corollary 1. 
If ( X , ξ ) is a convergence space for which T ξ is a Hausdorff Fréchet–Urysohn topology, then ξ-connected and T ξ -connected subsets coincide.
In this paper, we explore when ξ -connected and T ξ -connected subsets do or do not coincide.

3. Convergences on Finite Sets and Directed Graphs

Note that finitely deep convergences and pretopologies coincide on finite sets. Moreover, they are entirely determined by the convergence of principal ultrafilters. Denoting with an arrow x y if y lim { x } , a pretopology on a finite set induces a directed graph (digraph) on X, with a loop at each point, because of (1).
In this paper, we will use graphs to represent certain examples of convergences on finite sets. We will omit the loops at each point in order not to overburden pictures, because they are implicit. Thus, for example, the usual Sierpinski topological space would be denoted by
Ijt 02 00013 i001
and not
Ijt 02 00013 i002
Note also that the basic example
Ijt 02 00013 i003
corresponds to the pretopology ξ given by V ξ ( a ) = { a } , V ξ ( b ) = { a , b } and V ξ ( c ) = { b , c } and is not topological: an open set O around c must also contain b because lim { b } O ; hence, O { b } . By the same token, it must also contain a, so that O = { a , b , c } . In particular, c lim T ξ { a } but c lim ξ { a } . In fact, T ξ is given by the graph
Ijt 02 00013 i004
and more generally, if ξ is a pretopology on a finite set, the digraph for T ξ is the transitive closure of the digraph for ξ .
In a directed graph, we say a finite sequence { x n } n = 1 n = k of vertices is a path from a to b if x 1 = a , x k = b , and x n x n + 1 for every n { 1 , k 1 } , that is, in the convergence space interpretation, x n + 1 lim { x n } for every n { 1 , k 1 } . We say that a path from a to b is in A if x n A for all n { 1 , k } . In a (non-directed) graph, we may say “a path between a and b” instead. A graph is connected if there is a path between any two vertices. Recall that a directed graph is weakly connected if its underlying (non-directed) graph is connected, and connected if there is a directed path between every pair of vertices.
Proposition 7. 
A finite convergence space is connected if and only if its underlying digraph is weakly connected.
Proof. 
Suppose the underlying digraph is not weakly connected, that is, there are a and b with no path from a to b in the underlying (non-directed) graph. Then, the graph-connected component of a is closed and open in the convergence and does not contain b, so that the convergence is not connected. Suppose conversely that the convergence is not connected, so that there are two non-empty disjoint clopen subsets. Pick a and b in these two disjoint sets. There is no path between a and b in the underlying undirected graph, and thus, the underlying digraph is not weakly connected. □
Note that this means that connectedness only depends on the underlying non-directed graph. Hence, a finite convergence space ( X , ξ ) is connected if and only if its reciprocal modification  r ξ , given by
t lim r ξ { x } t lim ξ { x } or x lim ξ { t } ,
which has the same underlying (non-directed) graph, is connected.

4. Reciprocal Modification and Connectedness

The observation made on finite spaces that connectedness only depends on the reciprocal modification can be extended to general spaces. First, let us extend the definition of r, as a finite convergence of finite depth only needs to be defined on principal ultrafilters, but r ξ needs to be defined for general filters on an infinite X. Given a convergence ξ on X, its reciprocal modification  r ξ is defined by
t lim r ξ F t lim ξ F F F 0 X U X t lim ξ { x } or x lim ξ { t } F = { x } .
Proposition 8. 
The reciprocal modification r is a concrete reflector, which commutes with subspaces and for every convergence space ( X , ξ ) , ξ-clopen and r ξ -clopen subsets of X coincide.
Proof. 
The modification r is order-preserving ( ξ τ r ξ r τ ), contractive ( r ξ ξ ), and idempotent ( r ( r ξ ) = r ξ ); hence, it is a projector in the sense of [2]. Moreover, if f C ( ξ , τ ) and t lim r ξ F , then t lim τ F lim r τ F if F is not a principal ultrafilter. If it is, say F = { x } , then t lim ξ { x } or x lim ξ { t } . Hence, f ( t ) lim τ { f ( x ) } or f ( x ) lim τ { f ( t ) } , so that f ( t ) lim r τ { f ( x ) } . Hence, r is also a functor, and thus a reflector. In particular, if A X , then r ( ξ | A ) ( r ξ ) | A , and we only need to verify the reverse inequality. Suppose a lim r ξ F , where A F . If F is not principal, then a lim ξ | A F lim r ( ξ | A ) F . Otherwise, F = { b } , where b A and a lim ξ { b } or b lim ξ { a } , so that a lim r ( ξ | A ) F .
As ξ r ξ , T ξ T ( r ξ ) , so that every r ξ -clopen subset is also ξ -clopen. Let U be a non-empty ξ -clopen subset of X. To see that U is r ξ -open, let lim r ξ F U . If F F 0 X U X , lim ξ F U , and thus, U F because U is ξ -open. Otherwise, F = { x } and there is t U lim r ξ { x } , that is, either t lim ξ { x } and U { x } = F , or x lim ξ { t } and x adh ξ U U , that is, U { x } = F . Hence, U is r ξ -open. To see that U is r ξ -closed, let U F and t lim r ξ F . If F F 0 X U X , t lim ξ F cl ξ U = U . Otherwise, F = { x } for some x U and either t lim ξ { x } cl ξ U = U or x lim ξ { t } and U { t } because U is ξ -open, so that t U . Hence, U is r ξ -closed. □
Corollary 2. 
A subset A of a convergence space ( X , ξ ) is ξ-connected if and only if it is r ξ -connected.
Proof. 
As ξ r ξ , A is r ξ -connected whenever it is ξ -connected. Conversely, assume that A is not ξ -connected, that is, there is a non-empty proper ξ | A -clopen subset C of A. In view of Proposition 8, C is also r ( ξ | A ) -clopen and r ( ξ | A ) = ( r ξ ) | A ; hence, A is not r ξ -connected. □
Consider the dual Alexandroff pretopologies ξ and ξ associated with a convergence ξ on X and defined by
adh ξ A : = { t X : lim ξ { t } A } ,
and
adh ξ A : = a A lim ξ { a } ,
respectively. Note that B adh ξ A if and only if A adh ξ B , and thus, a subset of X is ξ -open if and only if it is ξ -closed. Of course, if ξ is T 1 , then both ξ and ξ are discrete.
Proposition 9. 
If ( X , ξ ) is a convergence space and A X , then
adh r ξ A = adh ξ A adh ξ A ,
and more generally,
adh r ξ α A = adh ξ α A adh ξ α A ,
for every ordinal α. In particular,
cl r ξ A = cl ξ A cl ξ A .
Proof. 
As ξ r ξ , adh ξ A adh r ξ A , and if x adh ξ A , then there is t lim ξ { x } A , so that x lim r ξ { t } adh r ξ A . Hence, adh ξ A adh r ξ A .
Conversely, if t lim r ξ A , there is a filter F with A F and t lim r ξ F . If F F 0 X U X , t lim ξ F adh ξ A . Otherwise, there is x A with F = { x } and t lim r ξ { x } , so that either t lim ξ { x } adh ξ A or x lim ξ { t } and t adh ξ A .
Assume that adh r ξ β A = adh ξ β A adh ξ β A for every β < α . Then,
adh r ξ α A = adh r ξ β < α adh r ξ β A = adh r ξ β < α adh ξ β A adh ξ β A = adh r ξ ( β < α adh ξ β A ) ( β < α adh ξ β A ) = adh r ξ ( β < α adh ξ β A ) adh r ξ ( β < α adh ξ β A ) = adh ξ α A adh ξ α A .

5. Enclosing Sets

Let us say that a subset S of a convergence space ( X , ξ )  encloses a connected subspace A if B is connected whenever A B S .
Proposition 2 states that the adherence of a connected set encloses that set. In view of Corollary 2 and Proposition 9, so does its r ξ -adherence, which is the union of its ξ -adherence and its ξ -adherence. It turns out to be the largest possible enclosing set.
Lemma 1. 
Let A be a non-empty connected subset of a convergence space ( X , ξ ) . Then, S X encloses A if and only if A { p } is connected whenever p S .
Proof. 
⟹ is obvious, using the enclosing property with A A { p } S .
⟸: Let A C S . Consider the family { A { c } : c C } of connected subsets of X. As ( A { c } ) A for every c C , we conclude from Proposition 4 that c C A { c } = C is also connected. □
As a result of Lemma 1, given a non-empty connected set A, the enclosure of A defined by
e ( A ) = { x X : A { x } is connected }
is the largest (for inclusion) subset of X that encloses A, so that
S encloses A S e ( A ) .
Theorem 1. 
If A is a non-empty connected subset of a convergence space ( X , ξ ) , then
e ( A ) = adh ξ A adh ξ A = adh r ξ A .
Proof. 
By Proposition 2 and Corollary 2, adh r ξ A e ( A ) .
Suppose t adh ξ A and t adh ξ A . Then A { t } is not connected. Indeed, A is closed in ξ | A { t } and is also open for lim ξ | A { t } { t } A = . Hence, t e ( A ) . □
Remark 2. 
As a principal adherence operator, adh r ξ is additive (commutes with finite unions), but it may fail to be idempotent. This is easily seen in the T 1 case, where adh r ξ = adh ξ . For instance, we can pick a standard non-topological Hausdorff pretopology like the Féron-cross pretopology of Example V.6.1 in [2]. This pretopology on R 2 is given by the vicinity filters V ( x , y ) = { B d ( ( x , y ) , r ) : r > 0 } , where B d ( ( x , y ) , r ) = { x } × ( y r , y + r ) ( x r , x + r ) × { y } .
In that example, the set B = { ( x , y ) R 2 : 0 < x < y < 1 } is connected; e ( B ) = adh B = { ( x , y ) R 2 : 0 x y 1 } { ( 0 , 0 ) , ( 0 , 1 ) , ( 1 , 1 ) } , and e ( e ( B ) ) = adh 2 B = { ( x , y ) R 2 : 0 x y 1 } is closed.
Corollary 3. 
If ( X , ξ ) is a T 1 convergence space and A is a non-empty connected subset, then e ( A ) = adh ξ A . In particular, cl ξ A encloses A if and only if adh ξ A = cl ξ A .
Let us say that a convergence space ( X , ξ )  has the sandwich property if cl ξ A encloses A for every connected subset A of X. Note that for a convergence space ( X , ξ ) , the functorial condition that S 0 ξ = T ξ is equivalent to the fact that adh ξ A = cl ξ A for all subsets A of X, so that, in view of Corollary 3, every convergence ξ satisfying this condition also has the sandwich property, but this condition is not necessary for the sandwich property.
Example 1 
(A T 1 convergence with the sandwich property for which S 0 ξ > T ξ ). The usual bisequence pretopology (see, e.g., Example V.4.6 in [2]) is non-topological, and hence satisfies ξ = S 0 ξ > T ξ , and it is T 1 (in fact, Hausdorff). Its only non-empty connected subsets are the singletons, which are closed, so that it has the sandwich property. Let us describe this example more explicitly for future use: on X = { x n , k : n , k ω } { x n : n ω } { x } , consider the pretopology ξ in which each x n , k is isolated, that is, V ( x n , k ) = { x n , k } , and V ( x n ) = { { x n , k : k p } { x n } : p ω } for every n ω , and V ( x ) = { { x n : n p } { x } : p ω } .
On the other hand, T 1 is necessary in Corollary 3:
Example 2 
(A convergence space with the sandwich property and a connected subset with non-closed adherence). Let us consider a triangular directed graph, interpreted as a pretopology. Namely, consider X = { a , b , c } with the pretopology determined by lim { a } = { a , b } , lim { b } = { b , c } and lim { c } = { c , a } .
Ijt 02 00013 i005
It can easily be seen that every subset is connected (observe that r ξ is the antidiscrete topology!); hence, this space has the sandwich property. However, adh { a } = { a , b } while cl { a } = { a , b , c } .

6. T-Subspaces

Let us call a subset A of a convergence space ( X , ξ ) a T-subspace if ( T ξ ) | A = T ( ξ | A ) . In view of (5), this is equivalent to
T ( ξ | A ) ( T ξ ) | A ,
that is, every ξ | A -closed set is ( T ξ ) | A -closed. In other words, A is a T-subspace if and only if
adh ξ B A = B cl ξ B A = B ,
for every subset B of A.
In view of the discussion following Proposition 6, the following is clear.
Proposition 10. 
If ( X , ξ ) is a convergence space and A X is a T-subspace, then A is ξ-connected if and only if it is T ξ -connected.
Here are two prototypic examples of a subset that fails to be a T-subspace:
Example 3 
(A non-T-subspace (finite example)). Let X = { a , b , c } with the "line" pretopology given by lim { a } = { a , b } , lim { b } = { b , c } and lim { c } = { c } , that is, V ( a ) = { a } , V ( b ) = { a , b } , and V ( c ) = { b , c } .
Ijt 02 00013 i006
Consider the subset A = { a , c } . Its subset { a } is ξ | A -closed but c cl ( T ξ ) | A { a } , as the only ξ-open set containing c is X, so that { a } is not ( T ξ ) | A -closed. Hence, A is not a T-subspace.
Example 4 
(a non-T-subspace (infinite Hausdorff example)). Consider the standard bisequence pretopology of Example 1 and its subset A = { x n , k : n , k ω } { x } . Note that its subset { x n , k : n , k ω } is ξ | A -closed but not ( T ξ ) | A -closed for x cl ( T ξ ) | A { x n , k : n , k ω } , so that A is not a T-subspace.
These two basic examples illustrate the following clear fact.
Proposition 11. 
If ( X , ξ ) is a convergence space, S X and x cl ξ S adh ξ S , then S { x } is not a T-subspace.
Proof. 
Indeed, if A = S { x } , then S is ξ | A -closed but not ( T ξ ) | A -closed as x cl ( T ξ ) | A S . □
Corollary 4. 
If ( X , ξ ) is a convergence space, the following are equivalent:
(1) 
S 0 ξ = T ξ ;
(2) 
ξ has topological defect 1;
(3) 
Every subset of X is a T-subspace.
Proof. 
By definition, ( 1 ) ( 2 ) , and we have seen that ( 1 ) implies ( 3 ) because S 0 ( ξ | A ) = ( S 0 ξ ) | A by Corollary XIV.3.9 in [2]. Finally, ( 3 ) ( 1 ) by Proposition 11 as cl ξ S = adh ξ S for every S X if all subsets are T-subspaces. □
Singletons are always T-subspaces because there is only one convergence on a singleton.
Remark 3. 
Note that a union of two T-subspaces may fail to be a T-subspace. For instance, the two singletons { a } and { c } in Example 3 are T-subspaces but { a } { c } is not. Similarly, the complement of a T-subspace may fail to be a T-subspace. For instance, The singleton { b } in Example 3 is a T-subspace, but its complement { a , c } is not. Moreover, the intersection of two T-subspaces may fail to be a T-subspace, as the example below illustrates.
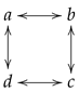
Example 5 
(The intersection of two T-subspaces may fail to be a T-subspace). Consider the pretopology on X = { a , b , c , d } given by lim { a } = { a , b , d } , lim { b } = { b , c } , lim { c } = { c } and lim { d } = { d , c } :
Ijt 02 00013 i007
The subsets A = { a , b , c } and B = { a , c , d } are T-subspaces as T ( ξ | A ) = ( T ξ | A ) is given by
Ijt 02 00013 i008
and similarly for B; however, A B = { a , c } is not a T-subspace as T ( ξ | A B ) = ξ | A B is the discrete topology, while ( T ξ ) | A B is an homeomorphic copy of the Sierpinski topology
Ijt 02 00013 i009
Lemma 2. 
A subset of a convergence space that is either closed or open is a T-subspace.
Proof. 
Let A X , where ( X , ξ ) is a convergence space. To show that A is a T-subspace, we show (9).
Suppose A is closed and C A is ξ | A -closed, and let F F X with C F and x lim ξ F . As A is closed, x A ; hence, x lim ξ | A F , and thus, x C . Therefore, C is a ξ -closed subset of A.
Suppose A is open and U A is ξ | A -open, that is, if F F A and lim ξ F U , then U F . Now, if G F X and lim ξ G U , then lim ξ G A and A G because A is open; hence, U G , and U is ξ -open. □
Remark 4. 
Note that we can modify the pretopology of Example 5 to ensure that the sets A and B are still T-subspaces with a non-T intersection, but that they are neither open nor closed (nor singletons), by taking the reciprocal modification:
Ijt 02 00013 i010
Hence, there are non-singleton T-subspaces that are neither closed nor open, even when S 0 ξ T ξ .
In the finite case, T-subspaces find a somewhat more concrete characterization than (10).
Proposition 12. 
Let ( X , ξ ) be a finite convergence space. Then A X is a T-subspace if and only if for every a , b A , if there is a path from a to b, there is also a path from a to b in A.
Proof. 
Suppose A is not a T-subspace, that is, T ( ξ | A ) ( T ξ ) | A . In other words, there is B A that is ξ | A -closed but not ( T ξ ) | A -closed, so that there is b B with a cl ξ { b } ( A B ) . In other words, there is a path from b to a. Because B is ξ | A -closed, there is no such path in A. Conversely, suppose that A is a T-subspace and that there is a path from a to b where a , b A . Hence, b cl ξ { a } and T ( ξ | A ) = ( T ξ ) | A , so that b cl ξ | A { a } . Therefore, there is a path from a to b in A. □

7. Sandwiched Sets

In a convergence space without the sandwich property, it makes sense to study the connectedness of sandwiched subsets, where B is referred to as sandwiched if there is a connected subspace A with A B cl ξ A . We may then say that B is sandwiched by A. Note that if B is sandwiched by A, then cl ξ B = cl ξ A is connected by Proposition 3. Moreover, since A is ξ -connected, it is also T ξ -connected; hence, every set between A and its closure, in particular B, is T ξ -connected by the standard topological result. In other words, every sandwiched set is T ξ -connected but may fail to be ξ -connected (as there are spaces without the sandwich property). Since a convergence space is connected if and only if its topological modification is connected, a T ξ -connected T-subspace of a convergence space ( X , ξ ) is also ξ -connected. In fact, we have
ξ - connected ξ - sandwiched T ξ - connected r ξ - connected r ξ - sandwiched T ( r ξ ) - connected
Though ξ -connected subsets and r ξ -connected subsets coincide, there are r ξ -sandwiched sets that are not ξ -sandwiched and T ( r ξ ) -connected sets that are not T ξ -connected, as we shall see in Example 6 below, so that the one-directional vertical arrows cannot be reversed.
On the other hand, all three notions in the first row coincide among T-subspaces (and in the second row for T-subspaces for r ξ ), but no horizontal arrow can be reversed in general. Indeed, we have seen that there are sandwiched sets that are not ξ -connected. Moreover, we may have a T ξ -connected set that is not sandwiched.
Example 6 
(A T ξ -connected set that is not sandwiched). Consider the pretopology on X = { a , b , c , d } given by lim { a } = { a , b } , lim { b } = { b } , lim { c } = { c , b } , and lim { d } = { c , d } :
Ijt 02 00013 i011
Then A = { a , b , d } is T ξ -connected, as T ξ is given by
Ijt 02 00013 i012
but it is not sandwiched, as the only ξ-connected subsets of A are { d } and { a , b } , which is ξ-closed.
Note also that T ( r ξ ) is the antidiscrete topology, so every subset is T ( r ξ ) -connected and every non-empty subset is r ξ -sandwiched because the r ξ -closure of a singleton is X. However, { a , c } is not T ξ -connected, and A is not ξ-sandwiched.
We can summarize by the following proposition.
Proposition 13. 
Let ( X , ξ ) be a convergence space.
(1) 
Every ξ-connected set is sandwiched.
(2) 
Every sandwiched set is T ξ -connected.
(3) 
A T ξ -connected (in particular, sandwiched) T-subspace is ξ-connected.
(4) 
There are sandwiched sets that are not ξ-connected and T ξ -connected subsets that are not sandwiched.
(5) 
If β < α adh r ξ β A B adh r ξ α A for some ordinal α and ξ-connected set A, then B is ξ-connected.
In particular, every iterated adherence of a connected set is a connected sandwiched set.

8. Conclusions

Though the concept of connectedness has been somewhat ignored in the context of convergence spaces because it appears at first glance to be equivalent to the classical topological notion, it turns out that new interesting phenomena appear when connectedness of subspaces is considered. Interestingly, they can be illustrated even with finite convergence spaces, that is, on graphs.
Key new results include
  • The fact that connectedness of a subset is equivalent for a convergence or for its reciprocal modification (Corollary 2), and the description of the adherence and closure in this modification (Proposition 9);
  • The fact that the adherence in the reciprocal modification is the largest enclosing set of a connected subset of a convergence space (Theorem 1);
  • The introduction of the notion of T-subspace (Section 6), useful in the context of connectedness but also more broadly, and that there are non-singleton T-subspaces that are neither closed nor open;
  • The illustration that ξ -connected, ξ -sandwiched, and T ξ -connected are truly different notions and how they relate (Proposition 13).

Author Contributions

Conceptualization, F.M. and B.G.C.H.; methodology, F.M. and B.G.C.H.; software, F.M.; validation, F.M. and B.G.C.H.; formal analysis, F.M. and B.G.C.H.; investigation, F.M. and B.G.C.H.; resources, F.M.; data curation, F.M. and B.G.C.H.; writing—original draft preparation, F.M.; writing—review and editing, F.M.; visualization, F.M. and B.G.C.H.; supervision, F.M.; project administration, F.M.; funding acquisition, F.M. All authors have read and agreed to the published version of the manuscript.

Funding

This research received no external funding.

Data Availability Statement

No new data were created or analyzed in this study. Data sharing is not applicable to this article.

Conflicts of Interest

The authors declare no conflicts of interest.

References

  1. Adámek, J.; Herrlich, H.; Strecker, G. Abstract and Concrete Categories; Wiley-Interscience: Hoboken, NJ, USA, 1990. [Google Scholar]
  2. Dolecki, S.; Mynard, F. Convergence Foundations of Topology; World Scientific: Singapore, 2016. [Google Scholar]
  3. Dolecki, S. A Royal Road to Topology: Convergence of Filters; World Scientific: Singapore, 2024. [Google Scholar]
  4. Beattie, R.; Butzmann, H.P. Convergence Structures and Applications to Functional Analysis; Kluwer Academic: Dordrecht, The Netherlands, 2002. [Google Scholar]
  5. Binz, E. Continuous Convergence in C(X); Volume Lecture Notes Math. 469; Springer: Berlin/Heidelberg, Germany, 1975. [Google Scholar]
  6. Nel, L. Continuity Theory; Springer: Berlin/Heidelberg, Germany, 2016. [Google Scholar]
  7. Preuss, G. Convenient Topology; Kluwer: Dordrecht, The Netherlands, 2002. [Google Scholar]
  8. Machado, A. Quasi-Topologie Algébrique. Ph.D. Thesis, Département de Mathématiques de la Faculté des Sciences, Université de Montpellier, Montpellier, France, 1970. [Google Scholar]
  9. Machado, A. Quasi-variétés complexes. Cah. Top. ET Géom Diff. 1969, 11, 229–279. [Google Scholar]
  10. Dossena, G. Epitopological and pseudotopological fundamental group functors. arXiv 2017, arXiv:1707.05601. [Google Scholar] [CrossRef]
  11. Rieser, A. Cofibration and model category structures for discrete and continuous homotopy. arXiv 2022, arXiv:2209.13510. [Google Scholar] [CrossRef]
  12. Treviño-Marroquín, J. Universal coverings for limit and pseudotopological spaces. arXiv 2024, arXiv:2403.18852. [Google Scholar] [CrossRef]
  13. Castro Herrejón, B.G. Topología Sin Topologías: Una Introducción al Estudio de la Convergencia; Tesis de Licenciatura; UNAM: Mexico City, Mexico, 2023. [Google Scholar]
  14. Whyburn, G.T. Accessibility spaces. Proc. Amer. Math. Soc. 1970, 24, 181–185. [Google Scholar] [CrossRef]
  15. Dolecki, S.; Greco, G.H. Topologically maximal pretopologies. Stud. Math. 1984, 77, 265–281. [Google Scholar] [CrossRef]
  16. Dolecki, S.; Pillot, M. Topologically maximal convergences, accessibility, and covering maps. Math. Bohem. 1998, 123, 371–384. [Google Scholar] [CrossRef]
Disclaimer/Publisher’s Note: The statements, opinions and data contained in all publications are solely those of the individual author(s) and contributor(s) and not of MDPI and/or the editor(s). MDPI and/or the editor(s) disclaim responsibility for any injury to people or property resulting from any ideas, methods, instructions or products referred to in the content.

Share and Cite

MDPI and ACS Style

Castro Herrejón, B.G.; Mynard, F. On Connected Subsets of a Convergence Space. Int. J. Topol. 2025, 2, 13. https://doi.org/10.3390/ijt2030013

AMA Style

Castro Herrejón BG, Mynard F. On Connected Subsets of a Convergence Space. International Journal of Topology. 2025; 2(3):13. https://doi.org/10.3390/ijt2030013

Chicago/Turabian Style

Castro Herrejón, Bryan Gerardo, and Frédéric Mynard. 2025. "On Connected Subsets of a Convergence Space" International Journal of Topology 2, no. 3: 13. https://doi.org/10.3390/ijt2030013

APA Style

Castro Herrejón, B. G., & Mynard, F. (2025). On Connected Subsets of a Convergence Space. International Journal of Topology, 2(3), 13. https://doi.org/10.3390/ijt2030013

Article Metrics

Back to TopTop