Abstract
Background: Abrupt dietary changes may disrupt gut microbiota populations and lead to gastrointestinal issues. This study aimed to determine the effects of live Bacillus pumilus SG154 or Lacticaseibacillus paracasei 327 postbiotic on fecal characteristics and microbiota populations of dogs following an abrupt diet change. Methods: Twelve healthy adult English pointer dogs (6.38 ± 2.75 yr) were used in a replicated 3 × 3 Latin square design to test the following treatments: (1) placebo (control; 250 mg maltodextrin/d); (2) live B. pumilus [5 × 109 colony-forming units (CFU)/d]; and (3) L. paracasei postbiotic (100 mg; derived from 2 × 109 CFU/d). Each period lasted 42 days, with the diet change occurring on day 28. Fecal samples were scored and analyzed for pH, dry matter content, and microbiota before and 2, 6, 10, and 14 days after the diet change. Results: The abrupt diet change increased (p < 0.01) fecal pH, increased (p < 0.01) the dysbiosis index, decreased (p < 0.0001) fecal dry matter, and led to a large shift in the fecal microbiota community. Fecal scores were lower (p < 0.05) in the B. pumilus group. B. pumilus reduced (p < 0.05) the relative abundance of fecal Prevotella and Muribaculaceae, while both treatments (B. pumilus; L. paracasei) increased (p < 0.05) the relative abundance of fecal Holdemanella. Conclusions: These results suggest that an abrupt diet change leads to large shifts in fecal microbiota and modified fecal characteristics. The supplementation with a B. pumilus probiotic and a L. paracasei postbiotic slightly altered the relative abundance of a few microbial taxa but was unable to attenuate most responses.
1. Introduction
Abrupt dietary changes are known to disrupt gastrointestinal (GI) function, often leading to symptoms such as diarrhea, vomiting, and dramatic shifts in the gut microbiota, commonly referred to as dysbiosis. These changes can negatively impact nutrient absorption and immune function and lead to additional health issues [1]. While gradual diet transitions are recommended by veterinarians, they are not always possible, such as in animal shelters, boarding facilities, or newly adoptive homes. For pet owners, GI upset can be challenging and costly, depending on the severity of symptoms and the necessary treatment. Therefore, research is needed to identify effective and practical treatments to support gut health during periods of dietary stress.
Possible treatments for symptoms of an abrupt diet change include probiotics and postbiotics. Bacillus pumilus SG154 is a spore-forming bacterium that has shown potential in promoting digestive health by stimulating the growth of beneficial bacteria while suppressing pathogenic ones. In studies involving farm animals and in vitro models, B. pumilus has demonstrated antimicrobial activity, competitive exclusion of potentially harmful bacteria, and potential immunomodulatory effects [2,3]. More specifically, in a study conducted on black goats, those fed B. pumilus fszn-09 had higher relative abundances of Lactobacillus, Bacillus, and Succiniclasticum and lower relative abundances of Pseudomonas, Enterobacteriaceae, and Klebsiella than the control group [2]. Additionally, when plated in vitro, B. pumilus showed antagonistic activity towards 50% of the tested foodborne pathogenic bacteria [3]. Unlike non-spore-forming probiotics, which may lose viability during manufacturing and storage, B. pumilus forms endospores that make it resistant to heat, pressure, and changes in pH [4]. This lengthens the shelf life and allows cells to stay dormant until they reach the intestines, where they germinate to exert their beneficial effects. Although studies are lacking in companion animals, the stability and possible functions of B. pumilus suggest that it may be a valuable probiotic in dogs, especially during a diet change due to its ability to modulate microbiota.
Although postbiotics are not living microorganisms, they represent another therapeutic option for supporting gut health through an abrupt diet change. Postbiotics are defined as a “preparation of inanimate microorganisms and/or their components that confers a health benefit on the host” [5]. While they are not able to proliferate in the gut like probiotics, postbiotics may influence microbiota populations through their bioactive components. Postbiotics also have an advantage compared to probiotics, as they are not viable; so, they have longer shelf lives and may be considered safer. Lacticaseibacillus paracasei is an example of a bacterium whose inactivated form may function as a postbiotic. Studies have demonstrated that sterilized L. paracasei 327 can alter certain gut microbiota and increase defecation frequency in humans [6]. Despite the results derived from human research, information on the effects of L. paracasei in pets, particularly dogs, is unknown. Abrupt diet changes are known to cause GI disturbances in dogs, including increased fecal scores and shifts in the gut microbiota [7]. Based on results from the human study, L. paracasei 327 may positively influence microbial communities and digestive health in dogs subjected to a diet change.
Overall, more research is needed to understand the effects of B. pumilus and L. paracasei in dog populations. The objectives of the current study were to evaluate the effects of B. pumilus SG154 or L. paracasei 327 on fecal scores, pH, dry matter (DM) percentage, and microbiota populations of healthy adult dogs following an abrupt diet change. We hypothesized that the abrupt diet change would negatively impact fecal characteristics and shift the fecal microbiota community. We also hypothesized that B. pumilus SG154 or L. paracasei 327 consumption would attenuate the changes in the fecal characteristics and shifts in the fecal microbiota.
2. Materials and Methods
All animal care procedures were approved by the Kennelwood, Inc. (Champaign, IL, USA) Institutional Animal Care and Use Committee before initiation of the experiment (protocol #UI2405D, approved on 21 October 2023).
2.1. Animals, Diets, and Experimental Timeline
Twelve healthy adult English pointer dogs (6 intact males and 6 intact females; mean age: 6.38 ± 2.75 yr old; mean body weight: 23.98 ± 4.61 kg) were used. All dogs were housed individually in runs (inside: 1.17 m × 1.42 m; outside: 1.08 m × 3.05 m) at Kennelwood, Inc. Fresh water was available ad libitum. An amount of food to maintain body weight was offered once daily, with intake recorded. Body weight and body condition scores (9-point scale) [8] were assessed weekly before feeding.
A replicated 3 × 3 Latin square design was used to test the following treatments: (1) placebo (control; 250 mg maltodextrin/day); (2) live B. pumilus SG154 [5 × 109 colony-forming units (CFU)/day]; and (3) L. paracasei 327 postbiotic (100 mg of powder/2 capsules/day; derived from 2 × 109 CFU). Treatments were provided by Kerry USA (Beloit, WI, USA). They were administered orally in gelatin capsules before each feeding.
Each experimental period lasted 42 days, with dogs being allotted to one of three treatment groups and fed a commercial diet containing no probiotics and little fermentable fiber (ShowTime 21/12; Mid-South Feeds Inc., Alma, GA, USA) for the first 28 days of each period. On day 28, all dogs were abruptly changed to a wet canned diet (Pedigree Chopped Ground Dinner with Chicken Adult Canned Wet Dog Food; Mars Petcare US, Franklin, TN, USA). Both diets were formulated to meet all Association of American Feed Control Officials [9] nutrient recommendations for adult dogs at maintenance. Dietary nutrients and energy concentrations are presented in Table 1. Fecal samples were scored and analyzed for pH, DM content, and microbiota before (D0) and 2, 6, 10, and 14 days after the diet change.
Table 1.
Analyzed chemical and energy composition of the commercial diets fed to dogs supplemented with live B. pumilus SG154 or L. paracasei 327 postbiotic.
2.2. Fecal Collection, Scoring, and Handling
During the fecal collection phase, a fresh fecal sample (within 15 min of defecation) was collected. Fecal scores were determined by one of four trained evaluators, with each fecal sample scored by a single individual according to the Waltham feces scoring system [10] using the following scale: 1 = hard, dry, and crumbly; 1.5 = hard and dry; 2 = well-formed, does not leave a mark when picked up, and “kickable”; 2.5 = well-formed, with a slightly moist surface, which leaves a mark when picked up; 3 = moist, beginning to lose form, and leaves a definite mark when picked up; 3.5 = very moist but still has some definite form; 4 = the majority, if not all, of the form, is lost, poor consistency, and viscous; 4.5 = diarrhea, with some areas of consistency; and 5 = watery diarrhea. Three of the four evaluators were blinded to the treatment. Fecal pH was measured using an AP10 pH meter (Denver Instrument, Bohemia, NY, USA) equipped with a Beckman Electrode (Beckman Instruments Inc., Fullerton, CA, USA). An aliquot was collected for DM content using a 105 °C oven in accordance with the Association of Official Analytical Chemists (AOAC) [11]. Another aliquot of fresh feces was immediately transferred to sterile cryogenic vials (Nalgene, Rochester, NY, USA), snap-frozen on dry ice, and stored at −80 °C for microbiota analysis.
2.3. Dietary Chemical Analyses
Diet subsamples were collected from each open bag of dry food and stored at −20 °C. One sealed can of wet food was set aside each day during the diet transition phase and pooled together at the end of this study. Samples were ground using a Wiley mill (model 4, Thomas Scientific, Swedesboro, NJ, USA) through a 2 mm screen and analyzed for DM and ash according to AOAC (2006; methods 934.01 and 942.05), with organic matter calculated. Crude protein was calculated from total nitrogen values obtained using a Leco analyzer (TruMac N, Leco Corporation, St. Joseph, MI, USA), according to AOAC [11]. Total lipid content (acid-hydrolyzed fat) was determined according to the methods of the American Association of Cereal Chemists [12] and Budde [13]. Total dietary fiber content was determined according to Prosky et al. [14]. Gross energy was measured using an oxygen bomb calorimeter (model 6200, Parr Instruments, Moline, IL, USA).
2.4. DNA Extraction and PacBio Sequencing of 16S rRNA Gene Amplicons
Bacterial DNA was extracted from fresh fecal samples using the DNeasy PowerLyzer PowerSoil Kit (MoBio Laboratories, Carlsbad, CA, USA). Concentrations of extracted DNA were quantified using a Qubit 3.0 Fluorometer (Life Technologies, Grand Island, NY, USA). Extracted DNA quality was assessed by electrophoresis using agarose gels (E-Gel EX Gel 1%; Invitrogen, Carlsbad, CA, USA). The Roy J. Carver Biotechnology Center at the University of Illinois performed PacBio sequencing. The 16S rRNA gene amplicons were generated with the barcoded full-length 16S rRNA gene primers from PacBio and the 2× Roche KAPA HiFi Hot Start Ready Mix (Roche, Wilmington, MA, USA). Full-length 16S rRNA gene PacBio (Pacific Biology, Menlo Park, CA, USA) primers (forward: AGRGTTYGATYMTGGCTCAG; reverse: RGYTACCTTGTTACGACTT) were added according to the PacBio protocol. The amplicons were pooled and converted to a library with the SMRT Bell Express Template Prep kit 3.0. (Pacific Biology, Menlo Park, CA, USA). The library was sequenced on a SMRT cell 8M in the PacBio Sequel IIe using the CCS sequencing mode and a 15 h movie time. Analysis of CCS was conducted using SMRT Link V11.1.0 using the following parameters: minimum passes: 3, and minimum rq: 0.999; HiFi presets (minimum score of 80; minimum end score of 50, minimum reference (read) span of 0.75); and asymmetric (different, minimum number of scoring barcode regions: 2).
Sequence Data Processing
PacBio-based FASTQ reads were processed using a Nextflow-based workflow; targeted amplicon diversity analysis used DADA2 v1.22 [15] for trimming and denoising reads based on PacBio data protocols to generate amplicon sequence variants. Fecal samples were rarefied to 10,688 reads. The DADA2 implementation of the Ribosomal Database Project classifier [16] was used to classify reads using the SILVA 138.1 release, with a database formatted for PacBio HiFi read data (https://zenodo.org/record/4587955, accessed on 13 September 2024). Multiple sequence alignment and maximum likelihood phylogenetic analysis were performed using DECIPHER v2.22 [17] and FastTree v2.1.10 [18]. QIIME 2 [19] was used to process the resulting sequence data, using only raw sequence amplicons with quality control values ≥ 20 according to the DADA2 pipeline [15]. An analysis of compositions of microbiomes with bias correction (ANCOMBC) was performed using the ANCOMBC package (version 2.6.0) to determine specific taxa that were statistically responsible for the observed discrimination between treatment and period, with Benjamini–Hochberg adjusted p-values and q < 0.05 accepted as statistically significant.
2.5. Quantitative Polymerase Chain Reaction (PCR) and Dysbiosis Index
DNA of fecal samples was extracted from an aliquot of 100–120 mg using a bead-beating method with a MO BIO Power soil DNA isolation kit. The qPCR assays were applied to quantify total bacteria, Blautia spp., Clostridium (Peptacetobacter) hiranonis, Escherichia coli, Faecalibacterium spp., Fusobacterium spp., Streptococcus spp., and Turicibacter spp., as described in [20]. In addition to the bacterial groups included in the dysbiosis index calculation, Bacteroides, Bifidobacterium, Collinsella, Prevotella copri, and Ruminococcus gnavus were also quantified by qPCR as described before [21]. Both positive and negative controls were included for all qPCR assays to ensure the accuracy and reliability of the results. The dysbiosis index was calculated based on the results of the qPCR assays using a previously described algorithm [20]. A dysbiosis index < 0, with all targeted taxa within the reference interval, was considered normal. A dysbiosis index < 0 but with any of the targeted taxa outside the reference interval was defined as a minor shift in the microbiome. A dysbiosis index between zero and two was defined as a mild-to-moderate microbiome shift. A dysbiosis index > 2 was classified as significant dysbiosis.
2.6. Statistical Analysis
Data were analyzed using the Mixed Models procedure of SAS Version 9.4 (SAS Institute, Inc., Cary, NC, USA). Treatment and day were considered fixed effects, while dog was considered a random effect. Data were tested for normality using the UNIVARIATE procedure of SAS. Differences between treatment, day, and treatment*day interactions were determined using repeated measures and a Fisher-protected Least Significant Difference test with a Tukey adjustment to control for experiment-wise error. If the data did not meet normality, a logarithmic transformation was applied. If the transformation failed, the data were analyzed using Kruskal–Wallis tests to determine significance. A probability of p < 0.05 was accepted as being statistically significant, and p < 0.10 was considered a trend. Reported pooled standard errors of the means were determined according to the Mixed Models procedure of SAS.
3. Results
3.1. Fecal Characteristics
Fecal scores were not impacted by the abrupt diet change but were lower (p < 0.05; Figure 1A) in dogs supplemented with live B. pumilus SG154 than in controls or those supplemented with the L. paracasei 327 postbiotic. Following the diet change, fecal pH increased (p < 0.0001; Figure 1B) and fecal DM % decreased (p < 0.0001; Figure 1C). Neither fecal pH nor DM % was affected by treatment. Fecal score, pH, and DM% data are presented in Supplementary Table S1.
Figure 1.
Fresh fecal characteristics, including fecal scores (A), fecal pH (B), and fecal dry matter percentage (C) of live B. pumilus SG154 or L. paracasei 327 postbiotic-supplemented dogs before and after an abrupt diet change. Samples were collected before and 2, 6, 10, and 14 days after the diet change.
3.2. Bacterial Alpha and Beta Diversity
Most bacterial alpha diversity measures (i.e., Shannon Index, Faith’s PD, or evenness) were unchanged after the diet transition (Figure 2A–C). One measure of alpha diversity, observed features, was higher (p < 0.05; Figure 2D) 2 days after the diet change than the baseline. However, bacterial alpha diversity was not different due to treatment following the diet change (Figure 3). Despite the small change to alpha diversity measures, beta diversity was dramatically altered by diet change (Figure 4 and Figure 5). Unweighted and weighted PCoA plots demonstrate that day 0 differed from all other time points (2, 6, 10, and 14 days after change). Based on the unweighted PCoA plot, the 2nd day after diet change also differed (p < 0.05) from the 6th, 10th, and 14th day after diet change. Beta diversity was not affected by B. pumilus or L. paracasei treatment.
Figure 2.
Bacterial alpha diversity indices (by time) [Shannon Index (A), Faith’s PD (B), evenness (C), and observed features (Observed) (D)] of fecal samples from dogs supplemented with live B. pumilus SG154 or L. paracasei 327 postbiotic before and after an abrupt diet change.
Figure 3.
Bacterial alpha diversity indices (by treatment) [Shannon Index (A), Faith’s PD (B), evenness (C), and observed features (Observed) (D)] of fecal samples from dogs supplemented with live B. pumilus SG154 or L. paracasei 327 postbiotic before and after an abrupt diet change (average of all time points).
Figure 4.
Bacterial beta diversity indices (by treatment*time) of fecal samples from dogs supplemented with B. pumilus SG154 or L. paracasei 327 postbiotic before and after an abrupt dietary change, as assessed by unweighted and weighted unique fraction metric distances.
Figure 5.
Bacterial beta diversity indices (by time) of fecal samples from dogs supplemented with live B. pumilus SG154 or L. paracasei 327 postbiotic before and after an abrupt dietary change, as assessed by unweighted and weighted unique fraction metric distances.
3.3. Dysbiosis Index and qPCR
The dysbiosis index increased (p < 0.01) following the abrupt diet change (Figure 6A). Abundances of fecal Bifidobacterium decreased (p < 0.01) (Figure 6B), while abundances of fecal Bacteroides, Clostridium hiranonis, Collinsella (Figure 6C), Escherichia coli (Figure 6D), Fusobacterium (Figure 6E), and Streptococcus increased (p < 0.001) after the diet change. Abundances of fecal Blautia, Ruminococcus gnavus, and Turicibacter also decreased (p < 0.01) after the diet change. Treatment had no effect on the dysbiosis index following diet change; however, control dogs had higher (p < 0.01) fecal Bifidobacterium (Figure 6B) abundance than those supplemented with the live B. pumilus SG154 or the L. paracasei 327 postbiotic. Additionally, dogs supplemented with live B. pumilus SG154 had lower (p < 0.01) fecal Prevotella copri (Figure 6F) abundance than controls and dogs supplemented with the L. paracasei 327 postbiotic. The dysbiosis index and all bacterial abundance data are presented in Supplementary Table S1.
Figure 6.
Dysbiosis index (A) and selected fecal bacterial abundance (log DNA/gram feces) [Bifidobacterium (B), Collinsella (C), E. coli (D), Fusobacterium (E), and P. copri (F)] of live B. pumilus SG154 or L. paracasei 327 postbiotic-supplemented dogs before and after an abrupt diet change. Samples were collected before and 2, 6, 10, and 14 days after the diet change.
3.4. 16S rRNA Gene Sequencing
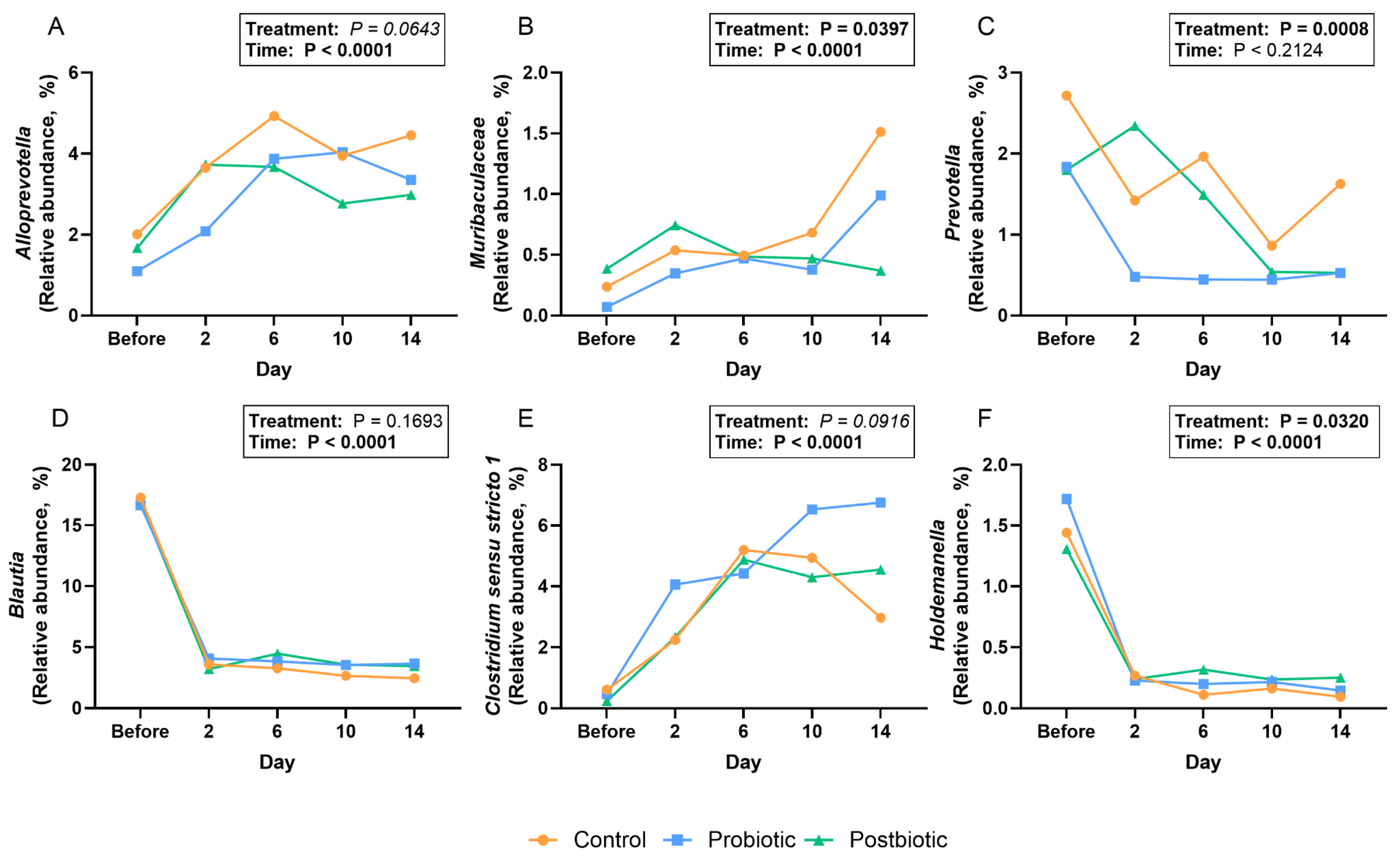
Following diet change, the relative abundances of four bacterial phyla and ~40 bacterial genera were altered (Figure 7 and Figure 8; Supplementary Table S2). Three bacterial genera were affected by treatments following a diet change. Dogs supplemented with live B. pumilus SG154 had a lower (p < 0.05) fecal Muribaculaceae relative abundance than control dogs (Figure 8B). Similarly, dogs supplemented with live B. pumilus SG154 had a lower (p < 0.001) fecal Prevotella relative abundance than controls or dogs supplemented with the L. paracasei 327 postbiotic (Figure 8C). Dogs supplemented with live B. pumilus SG154 or L. paracasei 327 postbiotic had a higher (p < 0.05) fecal Holdemanella relative abundance than controls (Figure 8F). Finally, fecal Alloprevotella (Figure 8A), Clostridium_sensu_stricto_1 (Figure 8E), Oribacterium, Tyzzerella, and UCG-005 tended (p < 0.10) to be affected by treatment. The ANCOMBC analysis revealed that the abrupt diet change led to an increase in Prevotellacaeae Ga6A1, Phascolarctobacterium, Parabacteroides, the Rikenellaceae RC9 gut group, Oribacterium, Alloprevotella, Fusobacterium, Negativibacillus, the Eubacterium brachy group, Muribaculaceae, Candidatus Stoquefichus, Bacteroides, Clostridium sensu stricto 1, Sutterella, and Parasutterella at all time points and a decrease in Lactobacillus, Turicibacter, Catenibacterium, the Ruminococcus gauvreauii group, Romboutsia, Megamonas, Holdemanella, Blautia at all time points (Figure 9). The abrupt diet change also led to a decrease in the Lachnospiraceae NK4A136 group, Faecalibacterium, Erysipelotrichaceae UCG-003, Erysipeloclostridium, and Enterococcus on D6, D10, and D14. Treatment affected only two genera. Dogs fed B. pumilus SG154 had a lower relative abundance of Prevotella, while dogs fed the L. paracasei 327 postbiotic had a lower relative abundance of Oscillospira.
Figure 7.
Relative abundances (% of sequences) of the main bacterial phyla [Bacteroidota (A), Bacillota (B), Fusobacteriota (C), and Pseudomonadota (D)] in feces of live B. pumilus SG154 or L. paracasei 327 postbiotic-supplemented dogs before and after an abrupt diet change. Samples were collected before and 2, 6, 10, and 14 days after the diet change.
Figure 8.
Relative abundances (% of sequences) of selected bacterial taxa [Alloprevotella (A), Muribaculaceae (B), Prevotella (C), Blautia (D), Clostridium_sensu_stricto_1 (E), and Holdemanella (F)] in feces of live B. pumilus SG154 or L. paracasei 327 postbiotic-supplemented dogs before and after an abrupt diet change. Samples were collected before and 2, 6, 10, and 14 days after the diet change.
Figure 9.
Analysis of the composition of microbiomes with bias correction (ANCOMBC), illustrating which bacterial genera were differentially abundant between fecal samples of dogs before and after a dietary change (difference greater than 1 and q < 0.05).
4. Discussion
The objective of this study was to determine the effects of live B. pumilus SG154 or L. paracasei 327 postbiotic on the fecal scores, pH, DM content, and microbiota populations of dogs following an abrupt diet change. Sudden alterations in diet are known to disrupt normal GI function, often leading to changes in nutrient digestibility, microbial composition, and fecal quality. Common clinical signs include loose stools or diarrhea, a challenge for both the pet and the owner [1,22]. Probiotics are recognized as potential treatments for alleviating loose stools and diarrhea and may confer health benefits by supporting intestinal microbial balance, inhibiting the colonization of pathogenic bacteria, and modulating the immune system [23,24]. Postbiotics are also gaining recognition for their potential; however, their exact mechanisms of action are less well-known in treating GI disturbances [23].
After 28 days of being fed the dry food diet, dogs in the current study were abruptly changed to a wet food diet with substantial differences in ingredients and nutrients. On a DM basis, the wet diet was higher in fat content, offered more protein, and contained less total and insoluble fiber compared to the dry diet. Contrary to what was expected, this abrupt dietary change did not result in higher fecal scores or diarrhea. However, it was associated with a decrease in fecal DM content and an increase in the dysbiosis index, suggesting that despite the lack of visible clinical signs, the gut and microbiota were still negatively affected by the diet change. Fecal pH was also affected by diet, with an increase by day 2 that continued throughout this study. This effect is likely due to the nutritional differences between dry and wet diets. The wet diet contained more protein, which likely supported the growth of proteolytic bacteria, leading to a rise in gut pH. These findings are consistent with a previous study that examined the effects of transitioning dogs from a low to high protein diet [7].
Although the diet change itself did not result in differences in fecal scores, dogs supplemented with B. pumilus SG154 had lower (firmer) fecal scores compared to those in the control group and those receiving the L. paracasei 327 postbiotic. Despite this, no effects due to treatment were observed in fecal DM content or the dysbiosis index. It is possible that the relatively mild impact of the diet change limited the opportunity for the probiotic or postbiotic to show a stronger effect. In cases of more severe GI disruption, such as higher fecal scores or diarrhea, the treatment benefits may have been more pronounced. Previous studies have shown that heat-killed L. paracasei may help reduce acute gastroenteritis and diarrhea [23,25], but similar outcomes were not observed in this study.
With an increase in the dysbiosis index, a pronounced shift was observed in bacterial beta diversity in response to diet change. In contrast, alpha diversity remained unchanged, which suggests that, while the overall richness and evenness of taxa were preserved within samples, the specific microbial composition between each sample shifted substantially. The diet change led to an increased abundance of potentially pathogenic strains, including E. coli and Streptococcus [26,27]. Neither treatment significantly affected the dysbiosis index; however, dogs supplemented with B. pumilus exhibited a reduction in P. copri. This bacterium has been linked to both beneficial and harmful outcomes. In some studies, a decrease in P. copri abundance was associated with inflammatory diseases, possibly due to its capacity to produce short-chain fatty acids [28,29]. On the contrary, other research has reported associations between elevated P. copri levels and conditions such as gastric cancer and chronic liver disease [29,30,31]. Because of this contradiction, the implications of reduced P. copri abundance in the current study remain unclear. Continuing with the qPCR results, both the B. pumilus and L. paracasei treatment groups exhibited a lower abundance of Bifidobacterium compared to controls. This finding was unexpected, as Bifidobacterium is an established commensal commonly associated with gut health [32,33].
The diet change altered four bacterial phyla and ~40 bacterial genera in this study, again demonstrating the large shift in beta diversity. Consistent with the qPCR results, B. pumilus was associated with a significant reduction in Prevotella. Similarly, a genus within the Muribaculaceae family was lower in the B. pumilus treatment group compared to controls. This family has been linked to benefits such as short-chain fatty acid production and regulation of intestinal barrier function [34,35]. However, the dogs in the current study showed no negative effects from this decrease. On the other hand, the abundance of Holdemanella was higher in both treatment groups relative to controls. This genus has been positively associated with enhanced GLP-1 signaling in mice, leading to reduced inflammation and improved glucose tolerance [36].
One limitation of this study is that gastrointestinal transit time was not measured before and after the diet change. This can influence nutrient absorption, microbial composition, and potentially interact with the efficacy of the probiotic and postbiotic [37]. Additionally, all dogs in this study were considered healthy, which may have limited the extent of observable changes seen in the microbiome composition and dysbiosis index. Healthy dogs tend to have more stable and resilient communities [38]. A statistical limitation is that microbial analyses were not adjusted for a false discovery rate, possibly increasing the chance of type 1 errors. Future research may benefit from incorporating transit time measurements, utilizing dogs in dysbiosis-related conditions, such as inflammatory bowel disease, and applying additional statistical corrections.
5. Conclusions
The abrupt transition from a dry to wet diet led to significant shifts in fecal pH, DM content, dysbiosis index, and microbial abundances. Supplementation with B. pumilus improved fecal scores and altered the abundance of a few microbial taxa. The L. paracasei postbiotic also influenced a few microbial taxa, although its effects were less prominent. These findings support the existing research showing complex interactions between diet composition and the gut microbiome. Further research is needed to clarify the mechanisms behind these results and to explore the potential benefits of B. pumilus and heat-killed L. paracasei in addressing GI challenges.
Supplementary Materials
The following supporting information can be downloaded at: https://www.mdpi.com/article/10.3390/pets2030030/s1, Table S1: Fresh fecal characteristics, bacterial abundance (log DNA/gram feces), and dysbiosis index of dogs supplemented with live Bacillus pumilus SG154 or a Lacticaseibacillus paracasei 327 postbiotic before and after an abrupt diet change; Table S2: Predominant fecal bacterial phyla and genera (relative abundance, %) of dogs supplemented with live Bacillus pumilus SG154 or a Lacticaseibacillus paracasei 327 postbiotic before and after an abrupt diet change.
Author Contributions
Conceptualization, M.M. and K.S.S.; methodology, K.S.S.; formal analysis, J.F.W., S.M.W., Y.K., and P.M.O.; investigation, J.F.W. and S.M.W.; resources, J.F.M., E.V., and M.M.; data curation, J.F.W., S.M.W., and P.M.O.; writing—original draft preparation, J.F.W.; writing—review and editing, J.F.W., Y.K., J.F.M., E.V., M.M., M.R.K., and K.S.S.; visualization, J.F.W., Y.K., and P.M.O.; supervision, K.S.S.; project administration, K.S.S.; funding acquisition, K.S.S. All authors have read and agreed to the published version of the manuscript.
Funding
This research was funded by Kerry Group (Beloit, WI, USA).
Institutional Review Board Statement
This animal study protocol was approved by the Kennelwood, Inc. (Champaign, IL, USA) Institutional Animal Care and Use Committee (protocol #UI2405D, approved on 21 October 2023).
Informed Consent Statement
The dogs used in this study were part of a commercial kennel rather than being owned by individual clients; therefore, the owner consent form is not applicable.
Data Availability Statement
The sequence data generated from this study are available at the NCBI Sequence Read Archive (SRA; http://www.ncbi.nlm.nih.gov/sra) under BioProject PRJNA1261429.
Conflicts of Interest
J.F.M., E.V., and M.M. are employees of Kerry Group, and M.R.K. is a private consultant for Kerry Group. All the other authors have no conflicts of interest. The authors declare that this study received funding from Kerry Group. The funder was not involved in the study design, collection, analysis, interpretation of data, the writing of this article or the decision to submit it for publication.
Abbreviations
The following abbreviations are used in this manuscript:
| ANCOMBC | Analysis of compositions of microbiomes with bias correction |
| AOAC | Association of Official Analytical Chemists |
| CFU | Colony-forming units |
| DM | Dry matter |
| GI | Gastrointestinal |
References
- Liao, P.; Yang, K.; Huang, H.; Xin, Z.; Jian, S.; Wen, C.; He, S.; Zhang, L.; Deng, B. Abrupt Dietary Change and Gradual Dietary Transition Impact Diarrheal Symptoms, Fecal Fermentation Characteristics, Microbiota, and Metabolic Profile in Healthy Puppies. Animals 2023, 13, 1300. [Google Scholar] [CrossRef]
- Zhang, N.; Wang, L.; Wei, Y. Effects of Bacillus amyloliquefaciens and Bacillus pumilus on Rumen and Intestine Morphology and Microbiota in Weanling Jintang Black Goat. Animals 2020, 10, 1604. [Google Scholar] [CrossRef]
- Łubkowska, B.; Jeżewska-Frąckowiak, J.; Sroczyński, M.; Dzitkowska-Zabielska, M.; Bojarczuk, A.; Skowron, P.M.; Cięszczyk, P. Analysis of Industrial Bacillus Species as Potential Probiotics for Dietary Supplements. Microorganisms 2023, 11, 488. [Google Scholar] [CrossRef]
- Cho, W.-I.; Chung, M.-S. Bacillus spores: A review of their properties and inactivation processing technologies. Food Sci. Biotchnol. 2020, 29, 1447–1461. [Google Scholar] [CrossRef]
- Salminen, S.; Collado, M.C.; Endo, A.; Hill, C.; Lebeer, S.; Quigley, E.M.M.; Sanders, M.E.; Shamir, R.; Swann, J.R.; Szajewska, H.; et al. The International Scientific Association of Probiotics and Prebiotics (ISAPP) consensus statement on the definition and scope of postbiotics. Nat. Rev. Gastroenterol. Hepatol. 2021, 18, 649–667. [Google Scholar] [CrossRef]
- Senda-Sugimoto, Y.; Mihara, T.; Higuchi, Y.; Uchiyama, K.; Takara, T.; Takahashi, H. Effects of Lacticaseibacillus paracasei 327 intake on the intestinal environment in healthy adult Japanese: A randomized, double-blind, placebo-controlled, parallel-group trial. FFHD 2024, 14, 184–206. [Google Scholar] [CrossRef]
- Lin, C.-Y.; Jha, A.R.; Oba, P.M.; Yotis, S.M.; Shmalberg, J.; Honaker, R.W.; Swanson, K.S. Longitudinal fecal microbiome and metabolite data demonstrate rapid shifts and subsequent stabilization after an abrupt dietary change in healthy adult dogs. Anim. Microb. 2022, 4, 46. [Google Scholar] [CrossRef]
- Laflamme, D.P. Development and validation of a body condition score system for dogs: A clinical tool. Canine Pract. 1997, 25, 10–15. [Google Scholar]
- AAFCO. Official Publication 2023; Association of American Feed Control Officials: Oxford, IN, USA, 2023. [Google Scholar]
- Moxham, G. The WALTHAM faeces scoring system—A tool for veterinarians and pet owners: How does your pet rate? Walth. Focus 2001, 11, 24–25. [Google Scholar]
- AOAC. Official Methods of Analysis of AOAC International, 17th ed.; Association of Official Analysis Chemists International: Arlington, VA, USA, 2006. [Google Scholar]
- AACC. Approved Methods, 8th ed.; American Association of Cereal Chemists: St Paul, MN, USA, 1983. [Google Scholar]
- Budde, E.F. The determination of fat in baked biscuit type of dog foods. J. AOAC Int. 1952, 35, 799–805. [Google Scholar] [CrossRef]
- Prosky, L.; Asp, N.-G.; Schweizer, T.F.; Devries, J.W.; Furda, I. Determination of insoluble and soluble dietary fiber in foods and food products: Collaborative study. J. AOAC Int. 1992, 75, 360–367. [Google Scholar] [CrossRef]
- Callahan, B.J.; McMurdie, P.J.; Rosen, M.J.; Han, A.W.; Johnson, A.J.A.; Holmes, S.P. DADA2: High-resolution sample inference from Illumina amplicon data. Nat. Methods 2016, 13, 581–583. [Google Scholar] [CrossRef]
- Lan, Y.; Wang, Q.; Cole, J.R.; Rosen, G.L. Using the RDP Classifier to predict taxonomic novelty and reduce the search space for finding novel organisms. PLoS ONE 2012, 7, e32491. [Google Scholar] [CrossRef]
- Wright, E.S. DECIPHER: Harnessing local sequence context to improve protein multiple sequence alignment. BMC Bioinform. 2015, 16, 322. [Google Scholar] [CrossRef]
- Price, M.N.; Dehal, P.S.; Arkin, A.P. FastTree 2–Approximately maximum-likelihood trees for large alignments. PLoS ONE 2010, 5, e9490. [Google Scholar] [CrossRef]
- Caporaso, J.G.; Lauber, C.L.; Costello, E.K.; Berg-Lyons, D.; Gonzalez, A.; Stombaugh, J.; Knights, D.; Gajer, P.; Ravel, J.; Fierer, N.; et al. Moving pictures of the human microbiome. Genome Biol. 2011, 12, R50. [Google Scholar] [CrossRef]
- AlShawaqfeh, M.K.; Wajid, B.; Minamoto, Y.; Markel, M.; Lidbury, J.A.; Steiner, J.M.; Serpedin, E.; Suchodolski, J.S. A dysbiosis index to assess microbial changes in fecal samples of dogs with chronic inflammatory enteropathy. FEMS Microbiol. Ecol. 2017, 93, fix136. [Google Scholar] [CrossRef]
- Sung, C.-H.; Pilla, R.; Chen, C.-C.; Ishii, P.E.; Toresson, L.; Allenspach-Jorn, K.; Jergens, A.E.; Summers, S.; Swanson, K.S.; Volk, H.; et al. Correlation between Targeted qPCR Assays and Untargeted DNA Shotgun Metagenomic Sequencing for Assessing the Fecal Microbiota in Dogs. Animals 2023, 13, 2597. [Google Scholar] [CrossRef]
- Lin, C.Y.; Carroll, M.Q.; Miller, M.; Rabot, R.; Swanson, K.S. Supplementation of Yeast Cell Wall Fraction Tends to Improve Intestinal Health in Adult Dogs Undergoing an Abrupt Diet Transition. Front. Vet. Sci. 2020, 7, 597939. [Google Scholar] [CrossRef]
- Guo, S.; Ma, T.; Kwok, L.Y.; Quan, K.; Li, B.; Wang, H.; Zhang, H.; Menghe, B.; Chen, Y. Effects of postbiotics on chronic diarrhea in young adults: A randomized, double-blind, placebo-controlled crossover trial assessing clinical symptoms, gut microbiota, and metabolite profiles. Gut Microbes 2024, 16, 2395092. [Google Scholar] [CrossRef]
- Hill, C.; Guarner, F.; Reid, G.; Gibson, G.R.; Merenstein, D.J.; Pot, B.; Morelli, L.; Canani, R.B.; Flint, H.J.; Salminen, S.; et al. The International Scientific Association for Probiotics and Prebiotics consensus statement on the scope and appropriate use of the term probiotic. Nat. Rev. Gastroenterol. Hepatol. 2014, 11, 506–514. [Google Scholar] [CrossRef]
- Nocerino, R.; Paparo, L.; Terrin, G.; Pezzella, V.; Amoroso, A.; Consenza, L.; Cecere, G.; De Marco, G.; Micillo, M.; Albano, F.; et al. Cow’s milk and rice fermented with Lactobacillus paracasei CBA L74 prevent infectious diseases in children: A randomized controlled trial. Clin. Nutr. 2017, 36, 118–125. [Google Scholar] [CrossRef]
- Pakbin, B.; Brück, W.M.; Rossen, J.W.A. Virulence Factors of Enteric Pathogenic Escherichia coli: A Review. Int. J. Mol. Sci. 2021, 22, 9922. [Google Scholar] [CrossRef]
- Krzyściak, W.; Pluskwa, K.K.; Jurczak, A.; Kościelniak, D. The pathogenicity of the Streptococcus genus. Eur. J. Clin. Microbiol. Infect. Dis. 2013, 32, 1361–1376. [Google Scholar] [CrossRef]
- Bedarf, J.R.; Hildebrand, F.; Coelho, L.P.; Sunagawa, S.; Bahram, M.; Goeser, F.; Bork, P.; Wüllner, U. Functional implications of microbial and viral gut metagenome changes in early stage L-DOPA-naïve Parkinson’s disease patients. Genome Med. 2017, 9, 39. [Google Scholar] [CrossRef]
- Abdelsalam, N.A.; Hegazy, S.M.; Aziz, R.K. The curious case of Prevotella copri. Gut Microbes 2023, 15, 2249152. [Google Scholar] [CrossRef]
- Gunathilake, M.N.; Lee, J.; Choi, I.J.; Kim, Y.-I.; Ahn, Y.; Park, C.; Kim, J. Association between the relative abundance of gastric microbiota and the risk of gastric cancer: A case-control study. Sci. Rep. 2019, 9, 13589. [Google Scholar] [CrossRef]
- Dong, T.S.; Katzka, W.; Lagishetty, V.; Luu, K.; Hauer, M.; Pisegna, J.; Jacobs, J.P. A Microbial Signature Identifies Advanced Fibrosis in Patients with Chronic Liver Disease Mainly Due to NAFLD. Sci. Rep. 2020, 10, 2771. [Google Scholar] [CrossRef]
- O’Callaghan, A.; van Sinderen, D. Bifidobacteria and Their Role as Members of the Human Gut Microbiota. Front. Microbiol. 2016, 7, 925. [Google Scholar] [CrossRef] [PubMed]
- Hidalgo-Cantabrana, C.; Delgado, S.; Ruiz, L.; Ruas-Madiedo, P.; Sánchez, B.; Margolles, A. Bifidobacteria and Their Health-Promoting Effects. Microbiol. Spectr. 2017, 5, 3. [Google Scholar] [CrossRef] [PubMed]
- Zhu, Y.; Chen, B.; Zhang, X.; Akbar, M.T.; Wu, T.; Zhang, Y.; Zhi, L.; Shen, Q. Exploration of the Muribaculaceae Family in the Gut Microbiota: Diversity, Metabolism, and Function. Nutrients 2024, 16, 2660. [Google Scholar] [CrossRef] [PubMed]
- You, H.; Tan, Y.; Yu, D.; Qiu, S.; Bai, Y.; He, J.; Cao, H.; Che, Q.; Guo, J.; Su, Z. The Therapeutic Effect of SCFA-Mediated Regulation of the Intestinal Environment on Obesity. Front. Nutr. 2022, 9, 886902. [Google Scholar] [CrossRef] [PubMed]
- Romaní-Pérez, M.; López-Almela, I.; Bullich-Vilarrubias, C.; Rueda-Ruzafa, L.; Del Pulgar, E.M.G.; Benítez-Páez, A.; Liebisch, G.; Antonio Lamas, J.; Sanz, Y. Holdemanella biformis improves glucose tolerance and regulates GLP-1 signaling in obese mice. FASEB J. 2021, 35, e21734. [Google Scholar] [CrossRef]
- Tremblay, A.; Auger, J.; Alyousif, Z.; Calero, S.E.C.; Mathieu, O.; Rivero-Mendoza, D.; Elmaoui, A.; Dahl, W.J.; Tompkins, T.A. Total Transit Time and Probiotic Persistence in Healthy Adults: A Pilot Study. J. Neurogastroenterol. Motil. 2023, 29, 218–228. [Google Scholar] [CrossRef] [PubMed]
- Pilla, R.; Suchodolski, J.S. The Role of the Canine Gut Microbiome and Metabolome in Health and Gastrointestinal Disease. Front. Vet. Sci. 2020, 6, 498. [Google Scholar] [CrossRef] [PubMed]
Disclaimer/Publisher’s Note: The statements, opinions and data contained in all publications are solely those of the individual author(s) and contributor(s) and not of MDPI and/or the editor(s). MDPI and/or the editor(s) disclaim responsibility for any injury to people or property resulting from any ideas, methods, instructions or products referred to in the content. |
© 2025 by the authors. Licensee MDPI, Basel, Switzerland. This article is an open access article distributed under the terms and conditions of the Creative Commons Attribution (CC BY) license (https://creativecommons.org/licenses/by/4.0/).








