Abstract
To optimally preserve and manage our civil structures, we need to have accurate information about their (1) geometry and dimensions, (2) boundary conditions, (3) material properties, and (4) structural conditions. The objective of this article is to show how imaging and image fusion using non-destructive testing (NDT) measurements can support structural engineers in performing accurate structural evaluations. The proposed methodology involves imaging using synthetic aperture focusing technique (SAFT)-based image reconstruction from ground penetrating radar (GPR) as well as ultrasonic echo array (UEA) measurements taken on multiple surfaces of a structural member. The created images can be combined using image fusion to produce a digital cross-section of the member. The feasibility of this approach is demonstrated using a case study of a prestressed concrete bridge that required a bridge load rating (BLR) but where no as-built plans were available. Imaging and image fusion enabled the creation of a detailed cross-section, allowing for confirmation of the number and location of prestressing strands and the location and size of internal voids. This information allowed the structural engineer of record (SER) to perform a traditional bridge load rating (BLR), ultimately avoiding load restrictions being imposed on the bridge. The proposed methodology not only provides useful information for structural evaluations, but also represents a basis upon which the digitalization of our infrastructure can be achieved.
1. Introduction
Accurate information about the geometry, condition, and reinforcement layout of a civil structure such as a concrete bridge is critical for performing reliable structural evaluations. Sometimes, as-built plans are not available, and even if they are, their accuracy might be questionable, and they might only be available in the form of handwritten notes rather than digital drawings [1]. Non-destructive testing (NDT) methods can provide critical missing information for structural evaluations [2] and moreover, support the digitalization of structures [3].
This article focuses on a particular application of NDT, namely synthetic aperture focusing technique (SAFT)-based imaging and image fusion, by using measurements from two NDT methods: ground penetrating radar (GPR) and ultrasonic testing (UST). The latter is performed by using an ultrasonic echo array (UEA). Images are intuitive to interpret as they provide a visual representation of the interior of a structural member in the form of a cross-sectional view. While imaging and image fusion have found extensive use in the medical field (see, e.g., [4]) and remote sensing (see, e.g., [5]), they are still not widely utilized in civil engineering. Some examples of SAFT-based imaging and image fusion applied to NDT measurements from concrete structures can be found in [6,7,8,9,10,11,12,13] and [14,15,16,17], respectively. Image fusion, in particular, has not been employed to its full potential in the area of structural engineering.
Building on the work developed in [17], this article discusses imaging and image fusion using a case study of a prestressed concrete bridge that required a structural evaluation in the form of a bridge load rating (BLR) [18] but where no as-built plans were available. While a simplified BLR procedure could have been used as per the State Department of Transportation (DOT) [19], using it would have led to rating factors of less than 1 for certain emergency and other heavy vehicles, preventing the passage of critical services. The structural engineer of record (SER) thus decided to pursue a traditional BLR, which requires accurate as-built information. Imaging and image fusion based on GPR and UEA measurements were selected for this purpose.
The bridge, displayed in Figure 1, is privately owned, and its name and location shall be kept confidential. The NDT measurements discussed in this article were taken on 8 February 2023. A second site visit took place on 15 July 2024 to perform additional measures for confirmation purposes. After an initial site visit, the SER had determined that the superstructure most likely consists of three adjacent prestressed concrete voided slabs that are post-tensioned transversely in four locations. The dimensions of one slab were determined to be b × h × l = 1.22 m × 0.533 m × 15.2 m (48 in × 21 in × 50 ft). The span length is approximately 14.6 m (48 ft). It was further assumed that the slabs contain some number of voids that are presumably air-filled. Left in question were the number and location of prestressing strands as well as the location and spacing of the shear reinforcement, the location and dimensions of the voids as well as their content. Visual inspection suggested the bridge superstructure to be in good structural condition. Figure A1 in the Appendix A provides typical cross-sections of a 1960s prestressed concrete voided slab.
Figure 1.
Photo of the prestressed concrete bridge studied herein.
This article demonstrates the usefulness of imaging and image fusion for examining concrete structures where no as-built plans are available or when available information needs to be verified. Additionally, by combining the images created from the GPR and UEA measurements, one can take advantage of the detection strengths of the two methods. Furthermore, merging the images allowed for confirmation of the variables necessary to perform image reconstruction such as wave velocity and time off-set. Note that the focus of this article is on imaging and image fusion to create a cross-sectional image of one slab at the mid-span location that shows the steel reinforcement and voids. Using information extracted from this digital cross-section, the SER was able to calculate the flexural strength of the bridge as part of a traditional BLR of the bridge. Additional measurements employed to determine the location and diameter of the shear reinforcement, estimate the concrete strength, and experimental vibration testing as well as the integration of the results from these measurements into a traditional BLR will be discussed in a separate article.
2. Measurements and Methodology
2.1. Physical Basis of Methods
Two NDT methods were employed and combined by means of imaging and image fusion: GPR and UST. For both methods, energy is imparted into the material from a surface, and reflections are recorded on the same surface. This is referred to as a pitch–catch setup. For GPR, the reflections from the electromagnetic waves occur at boundaries between materials with dissimilar dielectric constants. The elastic waves used in UST reflect at boundaries with different acoustic impedances. The higher the contrast between these parameters, the stronger the reflected wave. As a result, GPR and UST are particularly well-suited to detect internal steel reinforcing and air boundaries, respectively. The polarity of the recorded reflected pulse may reveal the material of the reflector [12,17,20,21,22]. Additional details on these methods (i.e., their physical basis, instrumentation and setups, how the data is analyzed, and results interpreted can be found in, e.g., [22,23]).
2.2. Instruments
2.2.1. GPR Instrument
A StructureScan Mini XT from Geophysical Survey Systems, Inc., Nashua, NH, USA, was used to collect GPR data and is shown in Figure 2a. The direct ray wave path assuming a reflector in the form of a backwall for one measurement position is illustrated in Figure 2c. This instrument has one transmitting (T) and one receiving (R) transducer (or antenna) spaced at s = 60 mm (2.36 in), resulting in one waveform per measurement position. Hence, the number of channels, n = 2. The instrument is rolled along a profile and measurements are performed automatically every 2.5 mm (0.1 in) of travel distance. An encoder in one of the wheels tracks the distance and initiates the measurements. A sample waveform is provided in Figure 2e. Note the direct wave at approximately 1 ns and the reflected pulse from the backwall at approximately 5.5 ns. Additional technical details of this instrument are provided in Table A1 in the Appendix A.
Figure 2.
NDT instruments used in this study: (a,b) photo of the GPR and UEA instruments, respectively; (c,d) illustrations of measurement setups with direct ray wave paths for one measurement position for GPR and UEA, respectively; (e,f) sample recorded GPR and UEA waveforms (or A-scans), respectively. T and R denote the transmitting and receiving GPR transducers, respectively; UEA channels are numbered 1 through 8. s signifies transducer spacings.
2.2.2. UEA Instrument
A Pundit 250 from Screening Eagle Technologies AG, Schwerzenbach—Zurich, Switzerland was used to collect the UEA data and is shown in Figure 2b. This instrument has 24 spring-loaded dry point-contact (DPC) transducers (three transducers in a row form one channel) that act as both transmitters and receivers. The transducers of one channel act in unison and generate shear horizontal (SH) waves. Effectively, this instrument thus has eight channels, (i.e., n = 8). One-by-one and left-to-right, each channel transmits an ultrasonic pulse into the material, while all subsequent channels record the response. Only the channels ahead of the transmitting channel record data, resulting in 7 + 6 + 5 + 4 + 3 + 2 + 1 = 28 waveforms (or A-scans). The channels are spaced at s = 30 mm (1.18 in). The direct ray wave paths assuming a reflector in the form of a backwall for one measurement position are illustrated in Figure 2d. Note that this process is different from US arrays used for metals where all channels record, producing a dataset consisting of 64 waveforms. For the UEA scanning, a measurement step of 50 mm (1.97 in) was used, which can be decreased if a higher spatial resolution is desired. During the measurement process, the instrument must be pushed against the surface and held steadily. A sample waveform is shown in Figure 2f. Additional technical details of this instrument are provided in Table A1 in the Appendix A.
2.2.3. Data Format
In this work, the recorded data were stored in an nm × ns × n × n array, with the diagonals consisting of zeros and the matrix being symmetric. nm and ns are the number measurement positions and number of waveform samples, respectively. The diagonals are zeros because a transmitting channel does simultaneously record data. Furthermore, because only channels ahead of the transmitting channel record data, only the upper right portion of the n × n sub-array contains data originally; the lower left portion consists of zeros. Assuming symmetry, data from the upper right portion are copied into the lower left portion. This format is consistent with the so-called full matrix capture (FMC) format, and allows for flexible and efficient image reconstruction computations [17].
2.3. Calibration and Confirmation
To perform image reconstruction, two variables that are initially unknown must be determined via calibration: wave velocity, v, and time off-set, ∆t. The former depends on the electromagnetic (i.e., moisture content) and mechanical properties of the material for the GPR and UEA measurements, respectively, and an initial value can be selected from the literature (see, e.g., [23]). The latter depends on the instrument used and its settings (i.e., pulse type and delay). The image reconstruction process, which translates the individual measurements (or A-scans) into a 2D cross-sectional view along the measurement profile, is described in Section 2.4.1. The wave velocity of the electromagnetic wave, c is calculated based on the expected dielectric constant of the material [23]. The UEA instrument used in this study has a so-called calibration function, which automatically calculates the shear wave velocity using the measurement process described in Section 2.2.2. This value can be used as the initial value for shear wave velocity, Cs. The time off-set, ∆t was determined using laboratory specimens, which are shown in Figure A2 in the Appendix A (for details see [17]). Both variables are adjusted iteratively until known reflectors appear in their correct position in the reconstructed image. The objective in this study was that the first lobe of the reflected pulse is located on the reflector (see highlighted areas in the waveforms shown on the right in Figure A3 in the Appendix A). Specimen 1 (Figure A2 in the Appendix A, left) is thereby ideal since it has multiple reflectors at different depths, which helps determine the optimal values for the two variables. Ideally, the member thickness can be confirmed directly using, for example, a tape measure. Figure A3 in the Appendix A shows the reconstructed GPR and UEA images of Specimen 1, respectively, after calibration was completed. The optimal values for the two variables were found as follows:
- GPR: Velocity of the electromagnetic wave, v = c = 114 m/μs (4.49 in/ns) and time off-set, ∆t = 1.11 ns. The former corresponds to a dielectric constant of 6.9, which indicates a relatively low moisture content.
- UEA: Shear wave velocity, v = Cs = 2.12 m/ms (83.5 in/ms) and time off-set, ∆t = 36 μs. The former is a typical value for medium-strength concrete.
To confirm the variables on the bridge slab, which were determined following the calibration process described in the previous paragraph, the following two measures were taken. (1) A rebar detector (Proceq Profoscope from Screening Eagle Technologies AG, Schwerzenbach—Zurich, Switzerland) was employed to estimate the cover of the prestressing strands and compare it with the location in the final fused image, and (2) a 10 mm (3/8 in) diameter hole was drilled from the soffit of the slab vertically into the middle void and the distance measured and compared with the location in the final fused image (see Figure 8c). A discussion is presented at the end of Section 3 (see Figure 9a).
2.4. Imaging and Image Fusion
Figure 3a,b illustrate the SAFT-based imaging and image fusion processes, respectively. Through the SAFT process, reflected pulses are focused on the position of the reflectors, suppressing the hyperbolae present in a traditional B-scan (or line scan).
Figure 3.
Illustrations of the two main processes: (a) SAFT-based imaging; (b) image fusion.
The resulting image offers an improved representation, which is easier to interpret than a traditional B-scan, which is simply a collection of A-scans (or individual waveforms) placed next to each other (see, e.g., Figure 3.8.4b in [23]). The fusion of images from two opposite sides further improves the information available in an image, offering close to what would be considered a cross-sectional view of a member. One important point to keep in mind is that SAFT shows the reflections of feature boundaries, and not the features themselves. The latter could be achieved by performing tomography, which shall not be further discussed herein [8]. Data processing was performed in MATLAB [24]. Some image processing, namely resampling and contrast adjustment, was performed in paint.net [25].
2.4.1. Image Reconstruction
To perform SAFT-based imaging as illustrated in Figure 3a, the input waveforms (or A-scans) are first pre-processed (e.g., detrending, filtering to remove noise, removal of direct wave, time gain compensation (TGC) to compensate for signal attenuation, etc.) and organized (i.e., put in the FMC format as per Section 2.2.3). Note that none of the pre-processing options except for detrending in the form of shifting the waveforms to start with no amplitude off-set were employed herein; these were simply deemed not necessary. Signal enveloping, a common processing technique used in commercial imaging applications, was also not applied because (1) it suppresses the polarity of the reflector in the image, and (2), it distorts the reflector and translates its location, which would have to be compensated. An alternative way to study the polarity of a reflector is by extracting its phase [12,21], which was not pursued herein. In this study, the location and polarity of the first lobe of the reflected pulse was used to determine the position and type of reflector. See Figure A3 in the Appendix A for illustrative examples.
After preprocessing and data organization, image reconstruction was performed using a SAFT-based algorithm [26] (see Figure 4), and some intensity tuning and smoothing was applied to the image to enhance image contrast (post-processing). Two processes were applied as part of this step: (1) the direct wave as well as near-surface artifacts were suppressed by sweeping a window containing the sigmoid function across the x-direction of the final image (see Figure A4, Appendix A) and (2) 2D smoothing was applied to the image to reduce sharp lines caused by the reconstruction boundaries. The transition length (see Figure A4, Appendix A) for the sigmoid function was set to 64 mm and 200 mm for the GPR and UEA images, respectively.
Note that images, while kept in grayscale in this work, can also be defined in pseudo-colormaps. This is often employed in the medical field to combine PET and MRI images [27] and was recently used to combine GPR and UEA images created from measurements at the Great Pyramid of Giza [28]. In the current study, all images were defined in grayscale.
The 2D image reconstruction algorithm utilized herein is described in detail in [17]. Using the calibration process described in Section 2.3, the two variables, namely wave velocity, v, and time off-set, ∆t, for the slab were found as follows:
- GPR: Velocity of the electromagnetic wave, v = c = 88.5 m/μs (3.48 in/ns) and time off-set, ∆t = 1.11 ns. The former corresponds to a dielectric constant of 11.5, which indicates a relatively high moisture content.
- UEA: Shear wave velocity, v = Cs = 2.62 m/ms (103 in/ms) and time off-set, ∆t = 36 μs. The former indicates a relatively high stiffness, which in turn can be associated with a relatively high compression strength. This was in line with the rebound hammer measurements, which will be discussed in a forthcoming article.
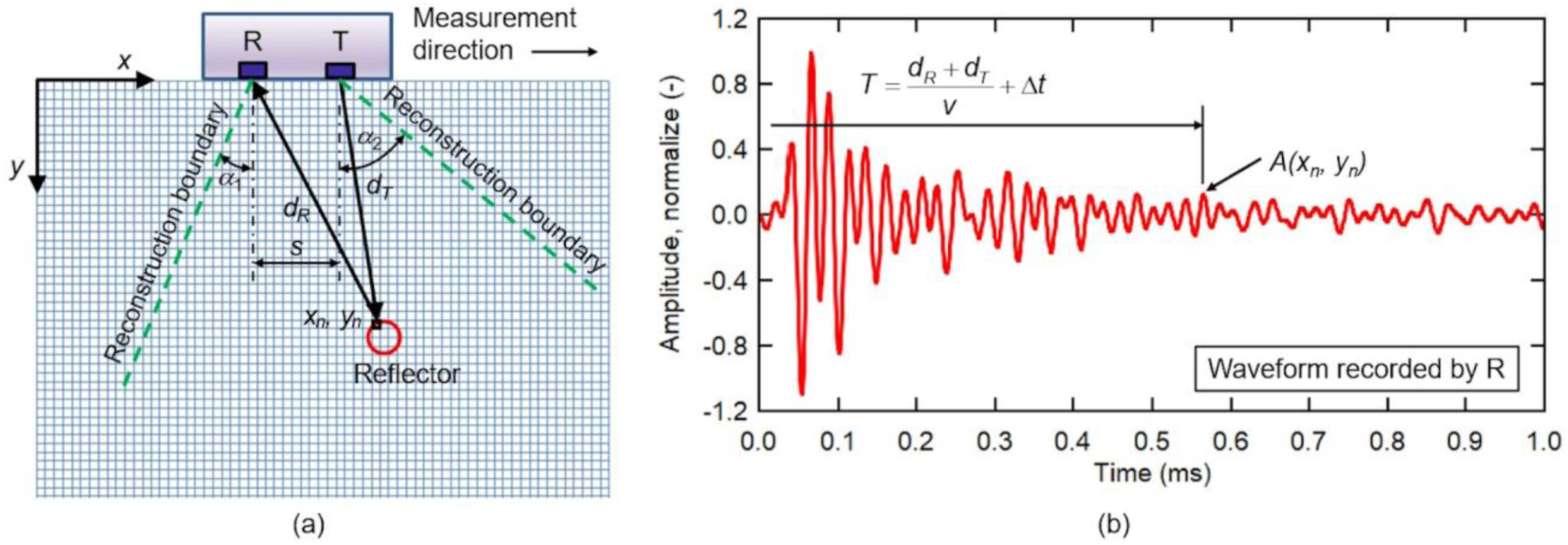
Figure 4 illustrates the SAFT-based image reconstruction process shown in Figure 3a, blue box. Figure 4a shows a discretized domain of pixels, each of which are assumed to be potential reflectors. Using a total wave travel time, T, which is calculated using a total wave travel distance, dR + dT, a wave velocity, v, and a time off-set, ε, waveform amplitudes, A, are extracted from the corresponding recorded waveform (Figure 4b) and associated with the pixel under consideration. This computation is repeated for all pixels within the specified reconstruction area bounded by the domain boundaries, which are defined by the angles α1 and α2 as well as all measurement positions. Herein, the angles were set to α1 = α2 = 30° for both the GPR and UEA image reconstructions. This selection was found to offer the highest level of detail as well as the lowest noise by visual inspection. Note that this might be different for other applications. All resulting matrices are then superimposed to create the reconstructed image. The resolution of an image is determined by the pixel size, which was set to 1 mm (0.04 in) for both methods.
Figure 4.
Illustration of a reconstruction step used in the imaging process shown in Figure 3a, blue box: (a) discretized 2D reconstruction domain; (b) sample waveform with time-of-flight, T, and corresponding waveform amplitude, A, labeled. Only one transmitter-receiver (T-R) couple is shown for simplicity. Figure 4a was adapted from [29] with permission from the author.
Figure 4.
Illustration of a reconstruction step used in the imaging process shown in Figure 3a, blue box: (a) discretized 2D reconstruction domain; (b) sample waveform with time-of-flight, T, and corresponding waveform amplitude, A, labeled. Only one transmitter-receiver (T-R) couple is shown for simplicity. Figure 4a was adapted from [29] with permission from the author.

Image resolution should be selected to have sufficient spatial sampling (i.e., the pixel size should be notably smaller than the peak wavelengths used by the two measurement techniques). This is referred to as oversampling, and ensures a smooth image. Assuming central pulse frequencies for GPR and UEA measurements of 2.7 GHz and 40 kHz (see Table A1, Appendix A), respectively, and corresponding wave velocities of c = 88.5 m/μs (3.48 in/ns) and Cs = 2.62 m/ms (103 in/ms), respectively, the peak wavelengths can be calculated as λGPR = 88.5 m/μs/2.7 GHz = 33 mm (λGPR = 3.48 in/ns/2.7 GHz = 1.3 in) and λUST = 2.62 m/ms/40 kHz = 66 mm (λUST = 103 in/ms/40 kHz = 2.6 in), respectively. In our case, the selected pixel size (or image resolution) is sufficiently small. Note that the largest theoretically permissible pixel size in this case would be λshortest/2 = λGPR/2 = 33 mm/2 = 17 mm (λshortest/2 = λGPR/2 = 1.3 in/2 = 0.67 in), as per the Nyquist criterion.
2.4.2. Image Fusion
After the reconstructed GPR and UEA images are finalized, the image fusion process illustrated in Figure 3b can be performed. Note that fusing images requires that the input images are compatible. Herein, both images are SAFT-based and based on measurements from NDT techniques that rely on reflection measurements. Additionally, the wavelengths of the two techniques are deemed reasonably close to justify that fusion is legitimate. Once imported into the programming environment, the input images must be registered, which involves scaling, translation, and rotation until all salient features such as the member surfaces and reflectors like steel rebars are aligned. In this work, registration was performed manually by selecting the outline of the slab as the image boundaries. Resampling might be necessary to ensure that both images have the same dimensions (i.e., same number of pixels). Bicubic sampling was used to create images with the dimensions 1440 pixels × 630 pixels, corresponding to dimensions of b × h = 0.533 m × 1.22 m (48 in × 21 in). Intensity scaling can then be applied to weigh the pixel intensities. Herein, the intensity values of both images were normalized (i.e., they were assigned the same weight). The final step is the fusion process, which may involve some iteration of fusion type and rule until satisfactory results are obtained. An overview of different fusion rules for pixel-based imaging of NDT images can be found in [17,22,30]. The image fusion step used in this work was performed using the MATLAB function wfusimg() [31] and is illustrated in Figure 5. This function performs pixel-based image fusion in the frequency domain using the discrete wavelet transform (DWT) [32].
Figure 5.
Illustration of the image fusion step shown in Figure 3b, green box using a decomposition level of one (for simplicity). DWT = discrete wavelet transform; IDWT = inverse DWT.
Using a specified wavelet, the DWT decomposition produces so-called approximations coefficients (cA) and detail coefficients of an image. The latter are presented separately as horizontal (cH), vertical (cV), and diagonal (cD) coefficients. Based on separate rules for each, the approximations and detail coefficients of the two images are then combined to form a new fused image. Rules may be as simple as pixel-by-pixel means or the maximum values of the images. Herein, a rule specially developed for structural concrete [17] and the max were used for combining the approximations and detail coefficients, respectively. The level of decomposition introduces additional lower-frequency representations of an image to be decomposed, which can improve the final fused image. For this work, the “sym5” wavelet and a decomposition level of eight was used, based on the author’s judgement and following the recommendations documented in [17], which introduced quantitative image quality metrics. Note that Figure 5 shows the DWT images with a decomposition level of one for simplicity.
3. Results
This section presents the reconstructed images and fused images of the slab following the methodology outlined in Section 2.4. Note that the polarity of the first lobe of a reflected pulse was associated with the reflector’s material. For example, a bright (or high intensity; maximum normalized pixel intensity value = 0.5) reflector is the result of a wave reflecting from metal or water. A dark (or low intensity; minimum normalized pixel intensity value = −0.5) reflector is most likely caused by an air interface such as an air void or the backwall [17]. See Appendix A, Figure A3 for illustrative examples.
Figure 6a,b shows the reconstructed GPR and UEA images, respectively, and Figure 6c shows the fused image for the measurements taken across the bottom of the selected slab. The bright reflections of a total of 2 × 9 = 18 prestressing strands are clearly visible in the GPR image (Figure 6a, highlighted by blue boxes). Note the strong re-reflections (or multiples), of which the first multiple is highlighted by the two purple boxes. The reason that no voids appear in this image is due to the close spacing of 25 mm (1 in) of the strands, which effectively reflect all the energy, also causing the multiples. On the other hand, the UEA image (Figure 6b) clearly shows the expected voids. The bottom points of the voids are highlighted with green boxes and the reflector is dark, indicating a reflection from an air boundary. Additionally, while the backwall (corresponding to the top of the slab, highlighted by orange boxes) is not visible in the GPR image, it can be observed partially as dark reflectors in the UEA image, which confirms the correctly calibrated shear wave velocity, Cs. The fused image shown in Figure 6c combines the useful information of both input images in a meaningful way. Note that the first multiple of the prestressing strands is still present.
Figure 6.
Reconstructed images from measurements taken across the bottom of the selected slab: (a) GPR image; (b) UEA image; (c) fused image.
Figure 7a,b shows the reconstructed GPR and UEA images, respectively, and Figure 7c shows the fused image for the measurements taken across the top of the selected slab. Several reinforcing bars (bright reflectors, highlighted by blue boxes) as well as the voids (dark reflectors, top points highlighted by green boxes) can be observed both in the GPR image (Figure 7a) as well as the UEA image (Figure 7b). The polarities of the reflections coming from the voids indicate again that they are air-backed. Here as well, the UEA image shows some dark reflectors that appear to come from the backwall (highlighted by orange boxes), in this case the bottom of the slab. Figure 7c shows the fused image, in which the important reflectors all appear in the same location, producing a focused image.
Figure 7.
Reconstructed images from measurements taken across the top of the selected slab: (a) GPR image; (b) UEA image; (c) fused image.
The fused images from Figure 6c and Figure 7c as well as the final fused image are presented in Figure 8a–c, respectively. Note that the final fused image has all the important information contained in a single composite image, which can be interpreted as a cross-section of the slab. From this cross-section, geometric information as well as information pertaining to the material of the reflectors can be made.
Figure 9a shows the final fused image introduced in Figure 8c with the outline of the voids marked by red dotted circles. The diameters of the two outer voids and the inner void were approximately d1 = 0.31 m (12.4 in) and d2 = 0.26 m (10.4 in), respectively. The distance y1 was determined to be approximately 0.155 m (6.1 in) and was confirmed by drilling a hole into the void from the slab soffit and measuring the distance, which was 0.157 m (6.2 in). An endoscope was used to confirm that the voids are (1) air-filled (i.e., contain no water), and (2) were created using a tube made of a fibrous material. The average concrete cover of the prestressing strands is marked with a horizontal red dotted line and was approximately y2 = 38 mm (1.48 in). This could be confirmed by the rebar detector measurements, which produced average cover values, y2 = 36 mm (1.42 in). Figure 9b shows the cross-section of a typical 1960s prestressed concrete voided slab for comparison.
Figure 9.
Final interpretation: (a) final fused image of the selected slab with features of interest marked by red dotted lines; (b) cross-section of a typical 1960s prestressed concrete voided slab (from Figure A1, Appendix A).
Using this digital cross-section allowed the SER to compute the self-weight of the slab and calculate the approximate distance from the top of the slab to the centroid of the prestressing strands, the latter of which is used to compute the flexural strength.
4. Discussion and Conclusions
This article demonstrates the application and limitations of imaging and image fusion to support structural evaluations such as a bridge load rating (BLR). The non-destructive testing (NDT) methods utilized include ground penetrating radar (GPR) and ultrasonic testing (UST) using an ultrasonic echo array (UEA). The created images could reveal the interior of a structural concrete member, providing useful information regarding its geometry including interior voids and the location of steel reinforcement.
A case study of a prestressed concrete bridge consisting of three adjacent voided slabs shows how imaging and image fusion can be used to support a traditional BLR. Using a synthetic aperture focusing technique (SAFT)-based image reconstruction algorithm, combined with discrete wavelet transform (DWT)-based image fusion, the measurements from the two NDT techniques were processed to produce a final fused image in the form of a cross-sectional view of one selected slab. Prestressing strands as well as voids are visible in the images and could be sized. It should be stressed that only the combination of the two NDT techniques allowed for a final fused image containing all the features of interest. GPR could detect the dense layer of prestressing strands close to the surface but was unable to locate anything past it. UEA, on the other hand, was able to detect the air voids through the steel reinforcement but did not provide useful information in the near-surface region. Image fusion was the ideal means to combine all information in a single composite image.
Additional measures in the form of rebar detector measurements and drilling a hole into the middle void from the slab soffit were used to provide confirmation of the selected features in the final fused image. From the dielectric constant and the shear wave velocity, which were determined through a calibration process, it was possible to deduce that the concrete has a relatively high moisture content and a high stiffness. The latter was found to be in line with the results from the rebound hammer testing.
It is important to note that inferences about the condition of the steel reinforcement cannot be made using the images presented including the type and diameter of the bars, level of prestressing of the strands, presence and/or rate of corrosion, and status and condition of bonding. Other NDT or destructive methods would have to be performed to garner that kind of information. A separate article will document the use of the final fused images in combination with other NDT methods as well as their integration into a traditional BLR of the bridge.
Finally, it should be stressed that there is, in general, no one way to perform imaging and image fusion. The many available pre- and post-processing steps depend on the member examined, instruments (and their settings) used, data quality achieved, and questions to be answered. Even with the availability of image quality metrics, in the end, it is up to the user to decide when an image “looks good” and provides the answers sought. As such, the author hopes to have struck a balance between presenting general information regarding imaging and image fusion and, at the same time, provide a real-world case study with detailed step-by-step guidance.
Funding
The work presented in this article resulted from a small consulting project.
Institutional Review Board Statement
Not applicable.
Informed Consent Statement
Not applicable.
Data Availability Statement
To foster exchange and with the objective that the presented methodology will be improved by and then shared again with the community, all data and MATLAB-based imaging and image fusion algorithms discussed in this study are available from the author upon reasonable request via email.
Acknowledgments
The author thanks Bruce Johnson from Otak Inc. for providing access and information on the bridge used for the case study presented in this article. The original imaging and image fusion algorithms were developed by Sina Mehdinia as part of his PhD studies (see [17]), and his timely responses to the author’s questions are greatly appreciated. Narges Pahnabi, PhD Student at Portland State University, aided in data collection and note taking, and her assistance is greatly appreciated.
Conflicts of Interest
The author declares no conflicts of interest.
Appendix A
Figure A1 shows two cross-sections of a typical 1960s prestressed concrete voided slab. These drawings were made available by Otak, Inc., Vancouver, WA, USA.
Figure A1.
Cross-sections of a typical 1960s prestressed concrete voided slab. The drawings were made available by Otak, Inc., Vancouver, WA, USA.
Figure A1.
Cross-sections of a typical 1960s prestressed concrete voided slab. The drawings were made available by Otak, Inc., Vancouver, WA, USA.

Figure A2.
Laboratory specimens used for calibration purposes. For details see [17].
Figure A2.
Laboratory specimens used for calibration purposes. For details see [17].

Figure A2 shows the three laboratory specimens used for calibration purposes. Figure A3 shows the sample calibration results for Specimen 1, which is the specimen shown on the left in Figure A2. While the other specimens were also used for calibration, here, only the results for Specimen 1 are shown for brevity. The waveforms shown on the right in Figure A3 illustrate the relationship between the reflector material and polarity of the reflected pulse. As an example, the GPR waveforms (1) and (2) shown in Figure A3a represent the reflections from steel and air, respectively, having opposite polarities. The UEA waveform shown in Figure A3b is consistent with GPR waveform (2) (i.e., they have the same polarity).
Figure A3.
Sample calibration results for Specimen 1: (a) GPR image; (b) UEA image. Waveforms on the right illustrate the polarity of the reflected pulse as a function of the reflector. Note that for the measurements using GPR (shown in a), a steel section was placed on part of the fourth step, which allows for a side-by-side comparison of the reflected pulses shown on the right of a.
Figure A3.
Sample calibration results for Specimen 1: (a) GPR image; (b) UEA image. Waveforms on the right illustrate the polarity of the reflected pulse as a function of the reflector. Note that for the measurements using GPR (shown in a), a steel section was placed on part of the fourth step, which allows for a side-by-side comparison of the reflected pulses shown on the right of a.

Figure A4 shows an example of the windowing function that was used to suppress the direct wave as well as near-surface artifacts. The user specifies the length of the sigmoid function, which is denoted by the vertical dashed line. Application of this function needs to be determined by trial and error.
Figure A4.
Example of a sigmoid window used to suppress the direct wave as well as near-surface artifacts in a reconstructed image. The vertical dashed line denotes the transition length specified by the user.
Figure A4.
Example of a sigmoid window used to suppress the direct wave as well as near-surface artifacts in a reconstructed image. The vertical dashed line denotes the transition length specified by the user.

Table A1 shows the technical details of the two instruments used in this study.
Table A1.
Technical details and settings of the two NDT instruments used in this study.
Table A1.
Technical details and settings of the two NDT instruments used in this study.
| Instrument | GPR | UEA |
|---|---|---|
| Wave type | Electromagnetic | Elastic stress |
| Peak frequency of transmitted pulse | 2.7 GHz | 40 kHz |
| Sampling frequency (temporal) | 44.5 GHz 1 | 1 MHz |
| Sampling frequency (spatial) | 2.5 mm | 10 mm 2 |
| Number of channels, n; transducers per channel | 2; 1 | 8; 3 3 |
| Transducer/channel spacing, s | 60 mm | 30 mm |
| Number of waveform samples, ns | 511 | 1000 |
1 This value varies between approximately 32 and 270 GHz and is determined by the instrument based on the measurement depth and dielectric constant set by the user; 2 Based on the selected 50 mm measurement step; 3 The instrument transmits and records across all three transducers in one row and then computes and saves only the average recorded waveforms. Consequently, this instrument has eight channels.
References
- Taylor, T.; Lasley, V.; Waddle, S.; Li, Y.; Sturgill, R. NCHRP Synthesis 548: Development and Use of As-Built Plans by State Departments of Transportation; The National Academy Press: Washington, DC, USA, 2020. [Google Scholar]
- Kuettenbaum, S.; Braml, T.; Taffe, A.; Kessler, S.; Maack, S. Reliability Assessment of Existing Structures Using Results of Nondestructive Testing. Struct. Concr. 2021, 22, 2895–2915. [Google Scholar] [CrossRef]
- Niederleithinger, E. NDE 4.0 in Civil Engineering. In Handbook of Nondestructive Evaluation 4.0; Meyendorf, N., Ida, N., Singh, R., Vrana, J., Eds.; Springer Nature Switzerland AG: Cham, Switzerland, 2022. [Google Scholar]
- Hermessi, H.; Mourali, O.; Zagrouba, E. Multimodal medical image fusion review: Theoretical background and recent advances. Signal Process. 2021, 183, 108036. [Google Scholar] [CrossRef]
- Ghassemian, H. A review of remote sensing image fusion methods. Inf. Fusion 2016, 32 Pt A, 75–89. [Google Scholar] [CrossRef]
- Krause, M.; Mielentz, F.; Milmann, B.; Mueller, W.; Schmitz, V.; Wiggenhauser, H. Ultrasonic imaging of concrete members using an array system. NDT E Int. 2001, 34, 403–408. [Google Scholar] [CrossRef]
- Schickert, M.; Krause, M.; Mueller, W. Ultrasonic imaging of concrete elements using reconstruction by synthetic aperture focusing technique. ASCE J. Mater. Civ. Eng. 2003, 15, 235–246. [Google Scholar] [CrossRef]
- Choi, H.; Popovics, J. NDE Application of Ultrasonic Tomography to a Full-Scale Concrete Structure. IEEE Trans. Ultrason. Ferroelectr. Freq. Control 2015, 62, 1076–1085. [Google Scholar] [CrossRef] [PubMed]
- Bittner, J.A.; Spalvier, A.; Popovics, J.S. Internal Imaging of Concrete Elements. Concr. Int. 2018, 40, 57–63. [Google Scholar]
- Kuchipudi, S.T.; Pudovikov, S.; Wiggenhauser, H.; Ghosh, D.; Rabe, U. Imaging of Vertical Surface-breaking Cracks in Concrete Members Using Ultrasonic Shear Wave Tomography. Sci. Rep. 2023, 13, 21744. [Google Scholar] [CrossRef] [PubMed]
- Chen, R.; Tran, K.T.; Manh La, H.; Rawlinson, T.; Dinh, K. Detection of Delamination and Rebar Debonding in Concrete Structures with Ultrasonic SH-waveform Tomography. Constr. Build. Mater. 2022, 133, 104004. [Google Scholar] [CrossRef]
- Shokouhi, P.; Wolf, J.; Wiggenhauser, H. Detection of Delamination in Concrete Bridge Decks by Joint Amplitude and Phase Analysis of Ultrasonic Array Measurements. ASCE J. Bridge Eng. 2014, 19, 04013005. [Google Scholar] [CrossRef]
- Ghosh, D.; Kumar, R.; Ganguli, A.; Mukherjee, A. Nondestructive Evaluation of Rebar Corrosion–Induced Damage in Concrete through Ultrasonic Imaging. ASCE J. Mater. Civ. Eng. 2020, 32, 04020294. [Google Scholar] [CrossRef]
- Kohl, C.; Krause, M.; Maierhofer, C.; Woestmann, J. 2D- and 3D-visualization of NDT-data using data fusion technique. Mater. Struct. 2005, 38, 817–826. [Google Scholar] [CrossRef]
- Mehdinia, S.; Murtuz, A.K.M.G.; Schumacher, T.; Dusicka, P. Damage tracking in laboratory reinforced concrete bridge columns under reverse-cyclic loading using fusion-based imaging. Nondestruct. Test. Eval. 2024, 39, 536–556. [Google Scholar] [CrossRef]
- Cotic, P.; Jaglicic, Z.; Niederleithinger, E.; Stoppel, M.; Bsilijkov, V. Image Fusion for Improved Detection of Near-Surface Defects in NDT-CE Using Unsupervised Clustering Methods. J. Nondestruct. Eval. 2014, 33, 384–397. [Google Scholar] [CrossRef]
- Mehdinia, S.; Schumacher, T.; Song, X.; Wan, E. A Pipeline for Enhanced Multimodal 2D Imaging of Concrete Structures. Mater. Struct. 2021, 54, 228. [Google Scholar] [CrossRef]
- AASHTO. Manual for Bridge Evaluation; American Association of State Highway and Transportation Officials: Washington, DC, USA, 2018. [Google Scholar]
- ODOT. ODOT LRFR Manual; Oregon Department of Transportation: Salem, OR, USA, 2018.
- Clem, D.J.; Schumacher, T.; Deshon, J.P. A Consistent Approach for Processing and Interpretation of Data from Concrete Bridge Members Collected with a Hand-held GPR Device. Constr. Build. Mater. 2015, 86, 140–148. [Google Scholar] [CrossRef]
- Mayer, K.; Langenberg, K.J.; Krause, M.; Milmann, B.; Mielentz, F. Characterization of Reflector Types by Phase-Sensitive Ultrasonic Data Processing and Imaging. J. Nondestruct. Eval. 2008, 27, 35–45. [Google Scholar] [CrossRef]
- Kohl, C.; Krause, M.; Maierhofer, C.; Woestmann, J.; Wiggenhauser, H. 3D-Visualisation of NDT-Data using Data Fusion Technique. In Non-Destructive Testing in Civil Engineering (NDT-CE); NDT.net: Berlin, Germany, 2003. [Google Scholar]
- ACI. ACI 228.2R-13: Nondestructive Test Methods for Evaluation of Concrete in Structures; American Concrete Institute: Farmington Hills, MI, USA, 2013. [Google Scholar]
- Mathworks. MATLAB; Mathworks: Natick, MA, USA, 2022. [Google Scholar]
- Brewster, R. paint.net. 2024. Available online: https://www.getpaint.net/ (accessed on 4 June 2024).
- Langenberg, K.J.; Berger, M.; Kreutter, T.; Mayer, K.; Schmitz, V. Synthetic Aperture Focusing Technique Signal Processing. NDT Int. 1986, 19, 177–189. [Google Scholar] [CrossRef]
- James, P.A.; Dasarathy, B.V. Medical Image Fusion: A Survey of the State of the Art. Inf. Fusion 2014, 19, 4–19. [Google Scholar] [CrossRef]
- Elkarmoty, M.; Rupfle, J.; Helal, K.; Sholqamy, M.; Fath-Elbab, M.; Kollofrath, J.; Maier, B.; Hamza, A.G.; Ramirez-Pinero, A.; Schumacher, T.; et al. Localization and Shape Determination of a Hidden Corridor in the Great Pyramid of Giza Using Non-destructive Testing. NDT E Int. 2023, 139, 102809. [Google Scholar] [CrossRef]
- Mehdinia, S. Multimodal Imaging of Structural Concrete Using Image Fusion and Deep Learning. Ph.D. Dissertation, Portland State University, Portland, OR, USA, 2022. [Google Scholar]
- Gros, X.E. Applications of NDT Data Fusion; Springer Science + Business Media, LLC.: New York, NY, USA, 2001. [Google Scholar]
- Zeeuw, P.M. Wavelet and Image Fusion; CWI: Amsterdam, The Netherlands, 1998. [Google Scholar]
- Mitchell, H.B. Image Fusion—Theories, Techniques and Applications; Springer: Berlin/Heidelberg, Germany, 2010. [Google Scholar]
Disclaimer/Publisher’s Note: The statements, opinions and data contained in all publications are solely those of the individual author(s) and contributor(s) and not of MDPI and/or the editor(s). MDPI and/or the editor(s) disclaim responsibility for any injury to people or property resulting from any ideas, methods, instructions or products referred to in the content. |
© 2024 by the author. Licensee MDPI, Basel, Switzerland. This article is an open access article distributed under the terms and conditions of the Creative Commons Attribution (CC BY) license (https://creativecommons.org/licenses/by/4.0/).







