Abstract
In this paper, we present three log-linear models for comparing spectral density functions (SDFs) of neural spike sequences (NSSs). The logarithmic (ln) ratios of the estimated SDFs are modeled as polynomial expressions with respect to angular frequencies plus residual series with autocorrelated errors. The advantage of the proposed models is that they can be applied within certain frequency ranges. Analysis of point processes in the frequency domain can be performed to obtain estimates of the SDFs of NSSs by smoothing the mean-corrected periodograms using moving average weighting schemes. The weighting schemes may differ in the estimated SDFs. To decorrelate the error terms in the log models, we apply a two-stage method: in the first stage, the error terms are identified by choosing a suitable model, while in the second stage, the reliable estimates of the unknown parameters involved in the polynomial expressions are derived by decorrelating the data. An illustrative example from the field of neurophysiology is described, in which the neuromuscular system of the muscle spindle is affected by three different stimuli: (a) a gamma motoneuron, (b) an alpha motoneuron, and (c) a combination of gamma and alpha motoneurons. It is shown that the effect of the gamma motoneuron on the muscle spindle is shifted by the presence of the alpha motoneuron to lower frequencies in the range of [1.03, 7.6] Hz, whereas the presence of the gamma motoneuron shifts the effect of the alpha motoneuron in two bands of frequencies: one in the range of [13.5, 19.9) Hz and the other in the range of [19.9, 30.8] Hz.
1. Introduction
In practice, neural spike sequences (NSSs) are often considered as realizations of point processes (see [1,2,3,4,5,6,7,8,9,10] for relevant studies that apply such a consideration). Therefore, methods for analyzing point processes can be used to study the information contained in NSSs. Such methods in the frequency domain involve the estimation of the SDF (see [1,11,12,13,14] for relevant applications). In this context, recent studies have proposed a broad range of relevant methods. Regularization techniques for the estimation of the spectral density matrix in high-dimensional multivariate point processes have been developed [12]. Center-outward ranks and the Isometric Log-Ratio (ILR) transformation have been utilized to define a rank-based likelihood for spike trains, resulting in an efficient method for the identification of typical patterns and outliers in spike train data, thus enhancing classification and ranking tasks [13]. A multivariate generalization of the Skellam process with resetting (MSPR) has been introduced to model simultaneously recorded neural spike trains [14]. However, the aforementioned methods are oriented to multivariate point processes. Furthermore, relevant studies have focused either on estimating neuronal connectivity [12,14] or classification and ranking [13]. Methods for SDF estimation have been proposed based on the smoothing of the mean-corrected periodogram [11,15].
In this paper, we discuss log-linear models that enable the comparison of SDFs in NSSs. These models consist of polynomial expressions plus residual series with autocorrelated errors. While direct applications of log-linear models for comparing SDFs in NSSs are limited, relevant methodologies have been studied. Generalized Linear Models (GLMs) have been used to characterize the coding properties of neural populations [16,17]. A simulation-based study proposed a method for augmentation of the log-likelihood using terms measuring the dissimilarity between simulated and recorded activity, with the aim of improving the realism of simulated neural activity [18]. Two recent studies [13,19] have proposed filtered point process models that are capable of capturing both rhythmic and broadband components of neural activity. The aforementioned studies represent an ongoing effort to enhance the analysis of NSSs through spectral density estimation and statistical modeling. However, the direct application of log-linear models for comparison of spectral densities in spike sequences remains an under-explored area. In addition, the issue of autocorrelated errors (a case that can occur in recorded datasets, causing significant issues) has not been addressed. The presence of autocorrelated errors can lead to unreliable estimates for the unknown parameters of the log-linear models. An important point of this study is recognizing the information carried by the sensory axon of the muscle spindle to the spinal cord when it is affected simultaneously by gamma and alpha motoneurons and how this is related to the effect of a gamma motoneuron alone, as well as the effect of an alpha motoneuron alone in certain frequency bands. This can be achieved by comparing the logarithms of the ratios of the estimated SDFs using the appropriate log-linear model. By subtracting the correlated part from the data, we can derive reliable estimates of the unknown parameters involved in the log-linear models. In this study, such decorrelation is achieved using a two-stage method. In the first stage, the error terms are identified with a suitable model. In the second stage, we obtain reliable estimates for the parameters of the polynomial expressions by decorrelating the data.
An illustrative example from the field of neurophysiology is used to demonstrate the application of log-linear models. The data sets are sequences of NSSs obtained from the complex system of the muscle spindle when it is affected by (a) a gamma motoneuron, (b) an alpha motoneuron, and (c) a combination of gamma and alpha motoneurons, considered as three different experimental cases. The data and source code files are publicly available at Github repository (https://github.com/bvasil/muscle-spindle/tree/main/data/response (accessed on 20 February 2025) (datasets), https://github.com/ymichai/mspindle/tree/main (accessed on 5 May 2025) (source code files)). MATLAB R2016a and R 4.4.3 were used. The only information that we need is the response of the muscle spindle, and through comparison of the estimated SDFs of the responses in certain frequency bands, we reach useful conclusions with respect to the information that is transferred to the spinal cord through the sensory axon. In particular, the effect of the gamma motoneuron is shifted by the presence of the alpha motoneuron to lower frequencies in the range of , whereas the presence of the gamma motoneuron shifts the effect of the alpha motoneuron to two ranges of higher frequencies: one in the range of and the other in the range of .
In the Section 2, we present the notation, definitions, and SDF estimation method, which involves smoothing the mean-corrected periodogram with the help of a moving average weighting scheme. A description of the general problem is also provided. The log-linear models that involve the ratios of the estimated SDFs are discussed in the Section 3, together with the process of decorrelating the data. In the Section 4, an example from the field of neurophysiology is described along with the derived results, while in the Section 5 of this paper, the conclusions are summarized.
2. Materials and Methods
2.1. Notation, Definitions, and the Estimation of SDF
Consider the realizations and of two stationary point processes (SPPs). The point processes are assumed to be orderly, obey a (strong) mixing condition, and their increments are and , respectively. These assumptions have been described in [20,21,22] and are approximately valid in practice. Let and denote the mean intensity and the second-order cumulant density of , respectively [20,23]. Then, the second-order SDF is defined by
For large tends to a constant value; that is
This constant value corresponds to the SDF of a Poisson point process with mean intensity The SDF exists when .
The second-order SDF of is similarly defined in terms of and .
2.2. A Way of Estimating the Mean-Corrected Periodogram
Let be a stationary point process, which is observed over a finite interval of length . The second-order mean-corrected periodogram of is defined by
where is the finite mean-corrected Fourier–Stieltjes transform of the increments of the point process, given by
The quantity is defined by
where is a data window or a taper. More details about the mean-corrected periodogram and data windows are given in [15,24]. In practice, (4) can be approximated by the following expression:
where is an estimate of the mean intensity. By we denote the number of events of in the interval . For more details regarding this approach, we refer the reader to [11]. The discretization approach is helpful in using the FFT algorithm for the computation of the mean-corrected periodogram.
As the mean-corrected periodogram is not a good estimate of the SDF (see [15]), we use a moving average weighting scheme over frequencies to improve its properties, as follows:
It can be proven, from (6), that the distribution of is asymptotically of the following form ([11]):
where denotes a chi-square distribution with degrees of freedom. Moreover, from (7), for large , the estimate asymptotically follows a normal distribution, with mean and variance given by
where and S is the extended sample interval obtained by adding zeroes to the end of the observed interval until a power of 2 is obtained, enabling the use of the FFT algorithm [15,25]. As , it is obvious from (8) that there is a small increase in the value of the variance. This, however, significantly reduces the phenomenon of leakage by using a data window in (5) [24]. Through choosing a suitable value of in (6), we can reduce the variance of and obtain a good estimate of . In addition, an approximate 95% confidence interval of can be found, as follows:
An approximate 95% confidence interval for a Poisson point process can be constructed by setting in (9).
Figure 1 represents the base 10 logarithms of the estimated SDFs for the response of the sensory axon of the muscle spindle when it is affected by (a) a gamma motoneuron, (b) an alpha motoneuron, and (c) a combination of gamma and alpha motoneurons. In case (a), the number of neural spikes in the interval of length is . Notably, 10% of the data at the beginning and 10% at the end are multiplied by a split bell cosine data window [25]. Thus, the value of is equal to 1.116 for [25]. Then, the sample is extended to by adding 514 zeroes in the end. This permits the use of the Sande–Tukey Radix 2 form of the FFT for the computation of in (5) [26]. The estimate of the SDF is then obtained from (6) by choosing . The black dotted line in the middle of Figure 1a corresponds to , while the red solid lines above and below this value correspond to the approximate confidence limits calculated using (9). As corresponds to of the estimate of the SDF of a Poisson point process, it is clear that differs from in the frequency range of . As the angular frequency becomes larger, the value tends to

Figure 1.
Base 10 logarithms of the estimated SDFs for the responses of a muscle spindle affected by (a) a gamma motoneuron, (b) an alpha motoneuron, (c) gamma and alpha motoneurons simultaneously. The dotted line in the middle corresponds to a Poisson point process with the same mean intensity, and the solid red lines indicate 95% confidence intervals.
In case (b), similar results hold as in case (a), except that . Figure 1b is interpreted the same as Figure 1a, except that the estimate of the mean intensity is different. The estimate is quite different than in the frequency range of and, as becomes larger, the former tends to .
In case (c), the number of neural spikes in the interval of length is . The interval is extended to by adding 5024 zeroes at the end of the initial data. The estimate of the SDF is obtained from (6) by choosing . Figure 1c is interpreted similarly to Figure 1b, except that the estimate of is different in this case. The estimate is quite different from those in the previous two cases, and tends to as becomes larger.
The SDF estimates presented in Figure 1 were obtained using the MATLAB R2016a software [27].
2.3. A Description of the General Problem
In this subsection, we discuss the general problem of comparing two SDFs using log-linear models, in which the residual series has autocorrelated errors. The presence of autocorrelation in the residual series leads to the production of unreliable estimates of the parameters. By decorrelating the initial data, we can obtain reliable estimates of the unknown parameters involved in the log-linear model. The whole procedure is performed using a two-stage method [28,29].
In the first stage, the natural logarithm (ln) of the ratio of the estimates of the SDFs can be described by an order log-linear model of the form:
where . By we denote the estimates of the SDFs and, by , we denote a residual series with autocorrelated errors. The mean value of is zero, and its variance is .
Through the identification of a suitable model for the residual series , we can estimate its unknown parameters with the help of a valid regression model. Then, we can derive the estimated residual series, and, thus, an estimate of the uncorrelated residual series can be obtained, where .
In the second stage, we subtract the from both sides of (10) to obtain
Hence, the expression (11) is a valid regression model with respect to , , as represents a sequence of uncorrelated errors [30]. The quantity represents the decorrelated data.
More details of this general problem are given in the following sections, where special cases of (10) are discussed when analyzing the three experimental neurophysiological situations.
The proposed methodology is carried out in five steps for the general case and six steps for the changepoint case (see Section 4.2.2). The aforementioned steps are summarized in the flow charts presented in Figure 2 and Figure 3, respectively.
Figure 2.
Flow chart of the proposed methodology (general case).
Figure 3.
Flow chart of the proposed methodology (changepoint case).
- Step 1—Estimation of SDF: The estimate of the SDF for each signal is obtained through the mean corrected periodogram (Equation (6));
- Step 2—Model fitting to the ratio of the spectra: The ratio of the estimated SDFs of the two examined signals is calculated, and a log-linear model is fitted to the real data. Fitted values are subtracted from the real values to obtain the residual series . Estimates of the autocorrelation function (ACF) and the partial autocorrelation function (PACF), with their 95% confidence intervals, are also obtained. The ACF indicates whether the residual series are autocorrelated or not, while the PACF is used to determine a suitable model to describe the autocorrelation structure of the residual series . The number of residuals that fall outside the confidence limits of the PACF indicates the order of the model that is required for the description of the residual structure;
- Step 3—Estimation of the unknown parameters of the AR model: Calculations based on the residual values are performed. Estimates of the unknown parameters of the AR model are obtained, which will be used for decorrelation of the initial correlated data;
- Step 4—Reliable estimates for the unknown parameters of the log-linear model: Reliable estimates for the unknown parameters of the log-linear model of the decorrelated data are obtained. The ACF, PACF, and Q–Q plots are also calculated, and a normality test is performed in the case of uncorrelated residual series ;
- Step 5—Estimation of the 95% prediction intervals: Estimates of the 95% prediction intervals for the log-linear model of the decorrelated data are obtained.
3. The Proposed Log-Linear Models
As mentioned above, the comparisons between the muscle spindle responses are carried out based on the estimated SDFs. Three log-linear models are presented for comparison of the estimated SDFs using the natural logarithm of their ratio in the three experimental cases. The models were selected in accordance with [31,32,33]. The correlation coefficients, partial autocorrelation coefficients, and corresponding – models for the residual series were estimated in accordance with [25,34].
3.1. The Case
Figure 1c shows that the presence of the alpha motoneuron shifts the effect of the gamma motoneuron to lower frequencies in the range of . Therefore, the estimated SDF for the response of the muscle spindle in the presence of the gamma motoneuron in the frequency range of was compared with that in the presence of a combination of gamma and alpha motoneurons in the frequency range of . The aforementioned frequency ranges are presented in Figure 4. In this case, the proposed log-linear model is given by
where denotes the ratio of the estimated SDFs, and is the residual series. The angular frequency is defined by and corresponds to the frequency , where . In both frequency ranges (i.e., and ), the frequencies correspond to the index values .
Figure 4.
Base 10 logarithms of the estimated SDFs for the responses of a muscle spindle affected by (a) gamma motoneuron [5.4, 12.0] Hz; (b) gamma and alpha motoneurons simultaneously [1.03, 7.6] Hz.
Estimates of the unknown parameters and can be derived using the least squares method in the model (12). These estimates and their standard deviations are given in Table 1. The proposed model has an Akaike Information Criterion (AIC) value of , while the linear model demonstrates an AIC value of . Therefore, the log-linear model fits the real values much better.
Table 1.
Results obtained from the fourth-order model given by (12).
Figure 5a presents the real data (black curve; i.e., ) and the fitted fourth-order model (red curve). Figure 5b shows the residual series when the fitted fourth-order model is subtracted from the real data.
Figure 5.
(a) Real values of (black curve) fitted by a fourth-order log-linear model (red curve); (b) residual series obtained by subtracting the values of the fourth-order model from the real values.
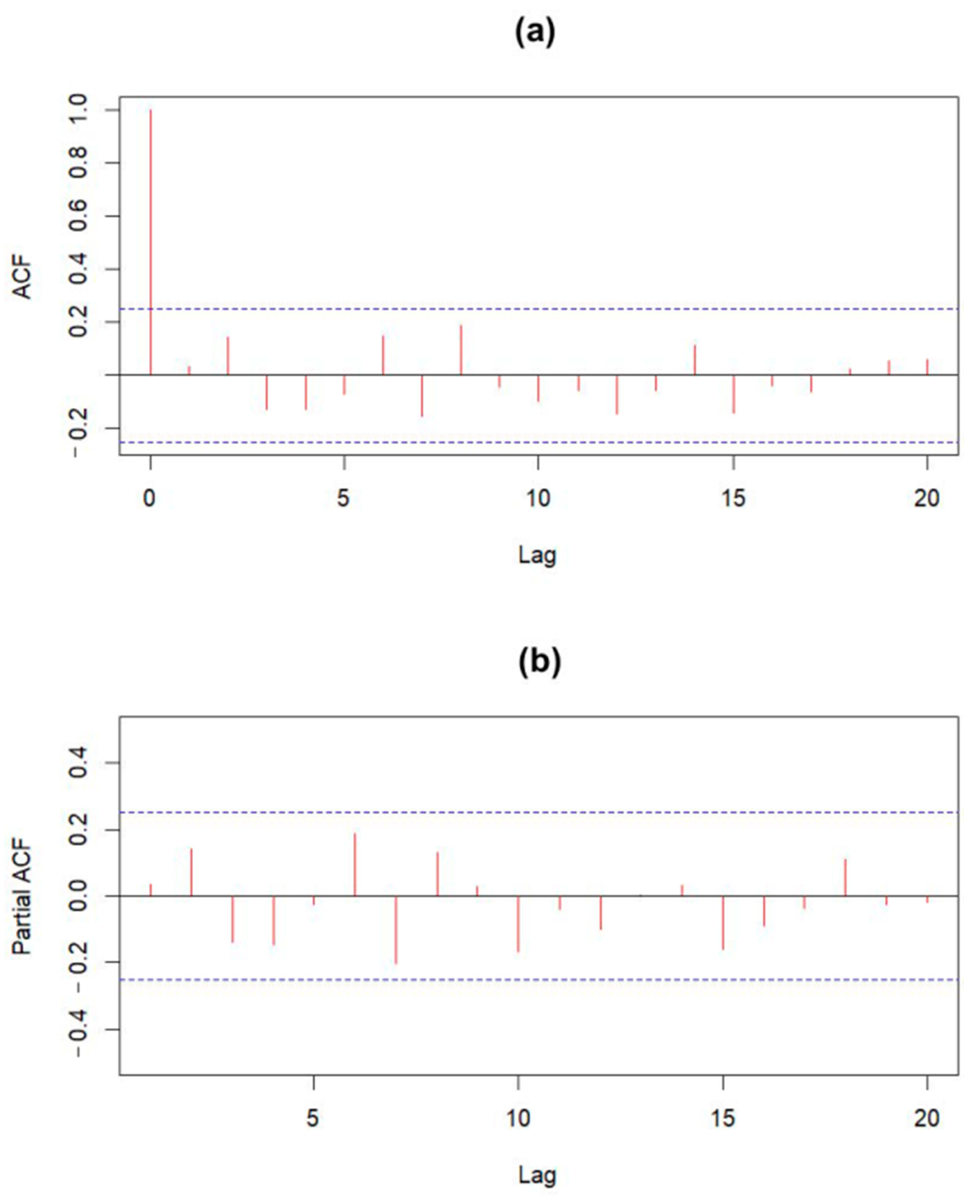
Figure 6a shows the estimated autocorrelation coefficient function (ACF) for the residual series shown in Figure 5b. A strong correlation is clearly observed among residual values. Figure 6b presents the estimated partial autocorrelation coefficient function (PACF) of the residual series. The first value of the estimated PACF is very significant, and, thus, the correlation amongst the residual values can be modeled by an autoregressive model of order 1; namely, . The presence of a strong correlation between the values of the residuals indicates that the estimates of the parameters and are not reliable, where and is a sequence of uncorrelated errors. In the next section, we present a method for obtaining reliable estimates of the parameters , and .
Figure 6.
(a) Estimate of the autocorrelation coefficient function for the residual series ; (b) estimate of the partial autocorrelation function for the residual series.
3.2. The First Case
3.2.1. First Approach
Figure 1b shows that there is an increase in power of the estimated SDF in the frequency range of . This refers to the situation where an alpha motoneuron affects the muscle spindle. Almost the same pattern (see Figure 1c) is observed in the situation where the muscle spindle is affected by a combination of gamma and alpha motoneurons. However, this pattern occurs in the frequency range of . Therefore, the estimated SDF of the response of the muscle spindle in the presence of an alpha motoneuron in the frequency range of will be compared with that in the presence of a combination of gamma and alpha motoneurons in the frequency range of . This indicates that the presence of a gamma motoneuron shifts the effect of the alpha motoneuron at higher frequencies in the range of . The aforementioned frequency ranges are presented in Figure 7. In this case, the proposed log-linear model is given by
where denotes the ratio of the estimated SDF, and is a residual series. The frequencies correspond to both frequency ranges (i.e., and ), where .
Figure 7.
Base 10 logarithms of the estimated SDFs for the responses of a muscle spindle affected by: (a) alpha motoneuron [2.6, 9.0] Hz; (b) gamma and alpha motoneurons simultaneously (13.5, 19.9) Hz.
Estimates of the unknown parameters and can be derived using the least squares method in the model (13). These estimates and their standard deviations are given in Table 2. The proposed model has an Akaike Information Criterion (AIC) value of , while the linear model demonstrates an AIC value of . Therefore, the linear model fits the real values much better. However, the log-linear model provides a better approximation of the normal distribution of errors (see Section 4.2), while its fitting is still very satisfactory.
Table 2.
Results obtained from the quadratic model given by 13.
Figure 8a presents the real data (black curve; i.e., ) and the fitted quadratic model (red curve). Figure 8b shows the residual series when the fitted quadratic model is subtracted from the real data.
Figure 8.
(a) Real values of (black curve) fitted by a second-order log-linear model (red curve); (b) residual series obtained by subtracting the values of the second-order model from the real values.
Figure 9a shows the estimated ACF for the residual series shown in Figure 8b. A strong correlation is clearly observed amongst the residual values. Figure 9b shows the estimated PACF for the residual series. In this case, there is again a very significant first value in the estimated PACF, indicating that the correlation amongst the residual values can be modeled using an model. This implies that the estimates of the unknown parameters , and are not reliable, where and is a sequence of uncorrelated errors. Reliable estimates of the parameters , and will be discussed in the next section.
Figure 9.
(a) Estimate of the autocorrelation coefficient function for the residual series ; (b) estimate of the partial autocorrelation function for the residual series.
3.2.2. Second Approach
If we look carefully at Figure 8a, we can see that there is a changepoint in the first case data. To check that there is a changepoint in the first case data in the frequency range of , we use the changepoint analysis R 4.4.3 package, as described in [35]. The obtained changepoint corresponds to the index value , as shown in Figure 10. For more details about the analysis of the changepoint models, we refer the reader to [36]. Thus, the frequency band can be separated into two parts: one in the range of , referred to as , and the other in the range of , referred to as . In the case, the proposed log-linear model is given by
where denotes the ratio of the estimates of the SDFs, and is a residual series. The index values correspond to the frequencies in the range of .
Figure 10.
Changepoint for the first case data.
Estimates of the unknown parameters and were obtained by applying the least squares method in the model (14). The estimates and their standard deviations are given in Table 3. The proposed model has an Akaike Information Criterion (AIC) value of , while the linear model demonstrates an AIC value of . Therefore, the linear model fits the real values much better. However, the log-linear model provides a better approximation of the normal distribution of errors (see Section 4.2), while its fitting is still very satisfactory.
Table 3.
Results obtained from the quadratic model given by (14).
Figure 11a shows the real data (black curve; i.e., ) and the fitted first-order model (red curve). Figure 11b presents the residual series obtained when the fitted first-order model is subtracted from the real data.
Figure 11.
(a) Real values of (black curve) fitted by a first-order log-linear model (red curve); (b) residual series obtained by subtracting the values of the first-order model from the real values.
Figure 12a presents the estimated ACF for the residual series shown in Figure 8b, from which a strong correlation is clearly observed among the residual values. Figure 12b shows the estimated PACF for the residual series. Again, this shows that the first value of the estimated PACF is very significant, indicating that the correlation amongst the residual values can be modeled using an model. This implies that the estimates of the unknown parameters , and are not reliable, where and is a sequence of uncorrelated errors. Reliable estimates of the parameters , , and will be given in the next section.
Figure 12.
(a) Estimate of the autocorrelation coefficient function for the residual series ; (b) estimate of the partial autocorrelation function for the residual series.
In a similar way, we can analyze the data. In this case, the proposed log-linear model is given by
where denotes the ratio of the estimated SDFs, and is a residual series. The index values correspond to the frequencies in the range of .
Estimates of the unknown parameters and were obtained by applying the least squares method in the model (15). The estimates and their standard deviations are given in Table 4. The proposed model has an Akaike Information Criterion (AIC) value of , while the linear model demonstrates an AIC value of . Therefore, the linear model fits the real values much better. However, the log-linear model provides a better approximation of the normal distribution of errors (see Section 4.2), while its fitting is still very satisfactory.
Table 4.
Results obtained from the quadratic model given by (15).
Figure 13a presents the real data (black curve; i.e., ) and the fitted first-order model (red curve), whereas Figure 13b shows the residual series when the fitted first-order model is subtracted from the real data.
Figure 13.
(a) Real values of (black curve) fitted by a first-order log-linear model (red curve); (b) residual series obtained by subtracting the values of the first-order model from the real values.
Figure 14 presents the estimated ACF and PACF for the residual series shown in Figure 13b, from which a strong correlation among the values of the residuals is clearly observed (see Figure 14a); furthermore, the first value of the estimated PACF (see Figure 14b) is significant, indicating that the correlation among the residual values can be modeled using an model. The presence of correlation in the residual series implies that the estimates of the unknown parameters , and are not reliable, where , and is a sequence of uncorrelated errors. Reliable estimates of the parameters , and will be discussed in the next section.
Figure 14.
(a) Estimate of the autocorrelation coefficient function for the residual series ; (b) estimate of the partial autocorrelation function for the residual series.
3.3. The Second Case
In this case, we compare the estimated SDF for the response of the muscle spindle when it is affected by an alpha motoneuron in the frequency range of with the estimated SDF for the response of the muscle spindle when it is affected simultaneously by gamma and alpha motoneurons in the frequency range . The aforementioned frequency ranges for each signal are presented in Figure 15. The proposed log-linear model for this case is given by
where denotes the ratio of the estimated PS, and is a residual series. The angular frequency is defined by and corresponds to a frequency of , where . Here, the index values correspond to the frequencies in the ranges of and respectively.
Figure 15.
Base 10 logarithms of the estimated SDFs for the responses of a muscle spindle affected by: (a) alpha motoneuron [9.3, 20.5) Hz; (b) gamma and alpha motoneurons simultaneously [19.9, 30.8) Hz.
Estimates of the unknown parameters and d were obtained by applying the least squares method to the model (16). The estimates and their standard deviations are given in Table 5. The proposed model has an Akaike Information Criterion (AIC) value of , while the linear model demonstrates an AIC value of . Therefore, the log-linear model fits the real values much better.
Table 5.
Results obtained from the model given by (16).
Figure 16a presents the real data (black curve; i.e., ) and the fitted fourth-order model (red curve). Figure 16b shows the residual series when the fitted fourth-order model is subtracted from the real data.
Figure 16.
(a) Real values of (black curve) fitted by a fourth-order log-linear model (red curve); (b) residual series obtained by subtracting the values of the fourth-order model from the real values.
Figure 17a shows the estimated ACF for the residual series shown in Figure 16b, from which a strong correlation among the residual values is clearly observed. Figure 17b presents the estimated PACF of the residual series. The first two values of the estimate of PACF are significant, which indicates that the residual series can be modeled using an autoregressive model of order 2, that is, . The presence of a strong correlation amongst the residual values indicates that the estimates of the parameters , and are not reliable, where , and is a sequence of uncorrelated errors. Reliable estimates of these parameters are discussed in the next section.
Figure 17.
(a) Estimate of the autocorrelation coefficient function for the residual series ; (b) estimate of the partial autocorrelation function for the residual series.
All the computations and graphical presentations in this section were executed using the Time Series Analysis (TSA) and Changepoint libraries in the R 4.4.3 package [37].
4. Reliable Estimates for the Parameters of the Log-Linear Models
In this section, we discuss reliable estimates for the unknown parameters of the log-linear models with autocorrelated errors described in the previous section.
4.1. The Case
To find reliable estimates for the unknown parameters of Equation (12), we use a two-stage method [28,29]. In the first stage, we obtain a reliable estimate of the parameter while, in the second stage, we obtain reliable estimates of the parameters , and using the estimated . This approach can be summarized as follows:
Setting in the place of in (12), we have
If we multiply (17) by and subtract the new equation from (12), we obtain
Then, is a sequence of uncorrelated errors, and, hence, the expression (18) is a valid regression equation model with respect to , and [30]. This enables us to estimate the parameter reliably. In particular, this estimate is given by .
In the second stage, we set and , and, thus, obtain the following equation:
Expression (19) is a valid regression equation, from which estimates of the parameters and can be obtained, where .
An alternative method for estimation of the unknown parameters and d can be derived from (12) by decorrelating the real data, as follows:
Both methods provide similar results for the estimates of the unknown parameters and d. The values of these estimates, with their standard deviations derived from (20), are given in Table 6.
Table 6.
Results obtained from Equation (20).
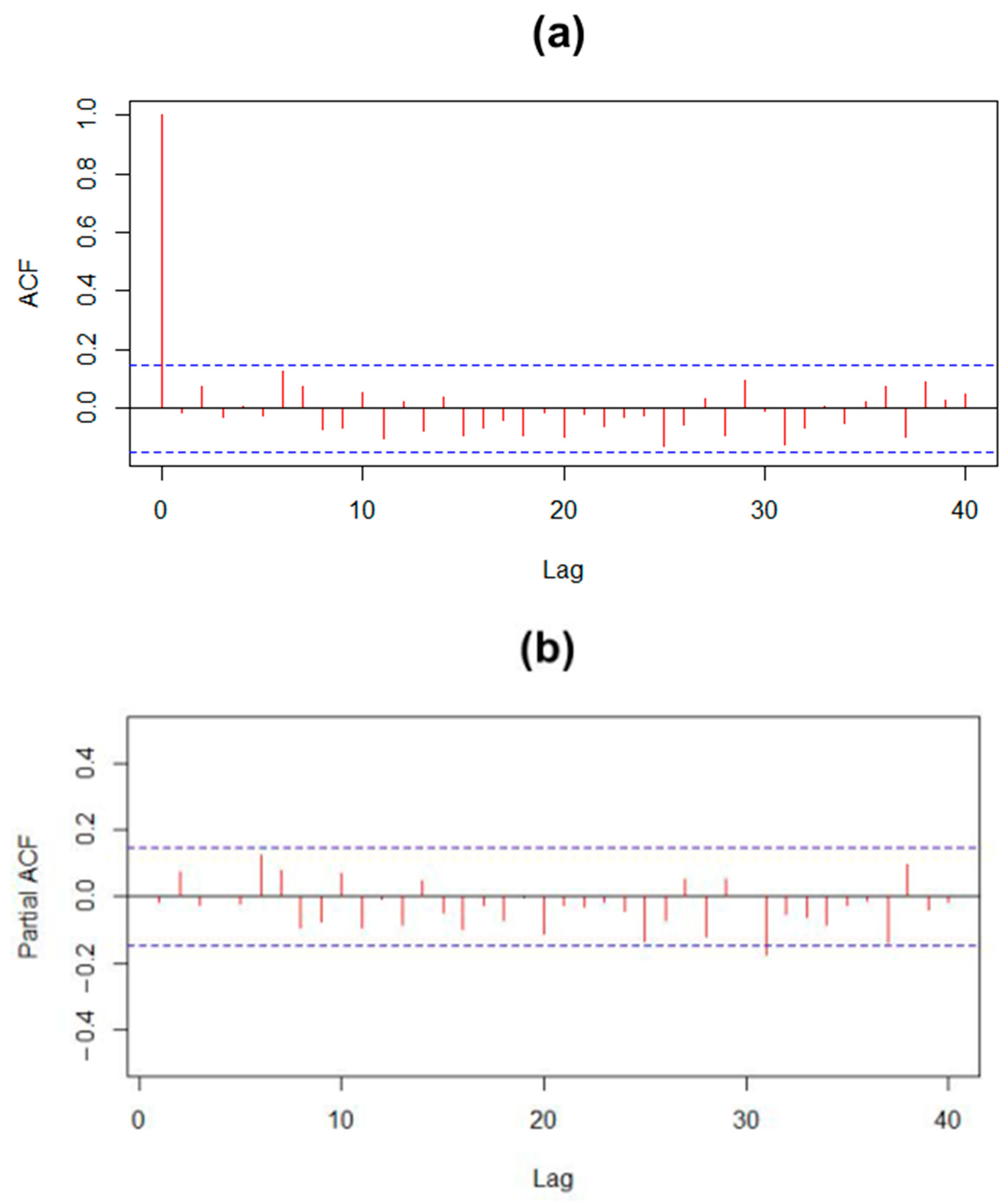
Figure 18a presents the estimated ACF, whereas Figure 18b shows the estimated PACF of the error series . Both figures verify that is a sequence of uncorrelated errors.
Figure 18.
(a) Estimate of the autocorrelation coefficient function for the residual series ; (b) estimate of the partial autocorrelation function for the residual series.
Figure 19a presents the Q–Q plot for the error series . Applying the Shapiro–Wilk test [30] to the series , we obtain with a p-value of . This implies that the null hypothesis—stating that the error series follows a normal distribution—cannot be rejected.
Figure 19.
(a) Q–Q plot for the error series ; (b) 95% predicted intervals.
Substituting the estimates of the parameters and into (12), we find
The decorrelated data are produced by subtracting the estimated autocorrelated errors from the real data . Figure 19b shows the smoothed curve of the fourth-order model with the 95% predictive intervals. Only five values of the modified data are outside the 95% predictive intervals, indicating that the fit of the model (21) is quite satisfactory. The statistical test results provided in Table 6 are also valid, as the error series follows a normal distribution.
We know that the effect of a gamma motoneuron results in lengthening of the central sensory region of the muscle spindle, leading to increased firing rate of the response (see [38]).
It is obvious, from our results, that the gamma effect on the muscle spindle is shifted by the presence of the alpha motoneuron from the frequency range of to the range of . This indicates that the mechanistic function of the inner fibers of the muscle spindle continue to affect the terminals of the sensory axon and produce action potentials in the new range of frequencies at almost the same rate, in a manner depending on frequency as a fourth-order polynomial function.
4.2. The Case
4.2.1. First Approach
If we apply the two-stage method mentioned above, we find the following:
In the first stage, working as in the case, from expression (13) we obtain the following regression equation:
where is a residual series with uncorrelated errors. This is a valid regression equation from which an estimate of the parameter is found. The value of the estimate is equal to . The predicted error values of are calculated using the equation .
In the second stage, by subtracting from both sides of (13), we obtain
The values are the estimated uncorrelated errors . Expression (23) is a valid regression equation, from which estimates of the unknown parameters and can be derived. These estimates, along with their standard deviations, are given in Table 7.
Table 7.
Results obtained from Equation (23).
Figure 20a shows the estimated ACF, whereas Figure 20b presents the estimated PACF of the error series . Both figures verify that is a sequence of uncorrelated errors.
Figure 20.
(a) Estimate of the autocorrelation coefficient function for the residual series ; (b) estimate of the partial autocorrelation function for the residual series.
Figure 21a presents the Q–Q plot for the error series . The Shapiro–Wilk test gives with corresponding . This implies that the null hypothesis—stating that the error series follows a normal distribution—cannot be rejected.
Figure 21.
(a) Q–Q plot for the error series ; (b) 95% predicted intervals.
Substituting the estimates for and into (23), we have
Figure 21b shows the smoothed curve of the quadratic model passing through the decorrelated data , together with the 95% predictive intervals. Only six values of the decorrelated data are outside the 95% predictive intervals, indicating that the fit of model (24) is quite good. The statistical test results provided in Table 7 are considered to be valid, as the error series follows a normal distribution.
It is known that active muscle contraction is produced by the activation of alpha motoneurons [38]. Each time an alpha spike stimulates the parent muscle, it would be expected that the muscle will contract as well as the muscle spindle because it lies in parallel with the extrafusal fibers, leading to the interruption of the spindle’s discharge.
The presence of the gamma motoneuron shifts the effect of the alpha motoneuron from the frequency range of to the range of . It is clear that the muscle spindle does not respond to the effect of the alpha motoneuron at low frequencies and starts producing action potentials gradually at higher frequencies with a rate that depends on frequency, in particular, in a manner that can be modeled using a quadratic function.
4.2.2. Second Approach
The Case
A similar approach can be described for the data as in the case of the first approach of the case. In the first stage, we obtain the following equation from expression (14):
where is a residual series with uncorrelated errors. This is a valid regression equation, from which an estimate of the unknown parameter can be derived. In particular, this estimate is equal to .
In the second stage, by subtracting from both sides of (14), we obtain
Expression (26) is a valid regression equation, from which estimates of the unknown parameters and can be obtained. These estimates, along with their standard deviations, are given in Table 8.
Table 8.
Results obtained from Equation (26).
The estimated ACF and PACF for the error series are shown in Figure 22, which verifies that is a sequence of uncorrelated errors.
Figure 22.
(a) Estimate of the autocorrelation coefficient function for the residual series ; (b) estimate of the partial autocorrelation function for the residual series.
Figure 23a shows the Q–Q plot for the error series . The Shapiro–Wilk test gave with the corresponding . This implies that the null hypothesis—stating that the error series follows a normal distribution—cannot be rejected.
Figure 23.
(a) Q–Q plot for the error series ; (b) a total of 95% predicted intervals.
Substituting the estimates and into (26), we have
Figure 23b presents the smoothed curve of the first-order model passing through the decorrelated data , together with the 95% predictive intervals. Only one value of the decorrelated data falls outside the 95% predictive intervals, indicating that the fit of model (27) is quite satisfactory. The statistical test results provided in Table 8 are considered valid, as the error series follows a normal distribution.
The Case
The analysis of the data was carried out in the same manner as for the α–αγ(1) data.
In the first stage, from Equation (15), we obtain
where is a residual series with uncorrelated errors. As (28) is a valid regression equation, an estimate of the unknown parameter can be obtained. In particular, this estimate was found to be .
In the second stage, by subtracting from both sides of (15), we obtain
Expression (29) is a valid regression equation, from which estimates of the unknown parameters and can be derived. These estimates, along with their standard deviations, are provided in Table 9.
Table 9.
Results obtained from Equation (29).
The estimated ACF and PACF for the error series are shown in Figure 24, which verifies that is a sequence of uncorrelated errors.
Figure 24.
(a) Estimate of the autocorrelation coefficient function for the residual series ; (b) estimate of the partial autocorrelation function for the residual series.
Figure 25a provides the Q–Q plot for the error series . The Shapiro–Wilk test gives with corresponding p-value of . This implies that the null hypothesis—stating that the error series follows a normal distribution—cannot be rejected.
Figure 25.
(a) Q–Q plot for the error series ; (b) 95% predicted intervals.
Substituting the estimates and into (29), we have
Figure 25b presents the smoothed curve of the first-order model passing through the decorrelated data , together with the 95% prediction intervals. Only two values of the decorrelated data are clearly outside the 95% predictive intervals, while a third one is also outside but very close to the lower interval, indicating that the fit of the model (30) is satisfactory. The statistical test results provided in Table 9 are considered valid, as the error series follows a normal distribution.
Assuming that there is a changepoint in the data at a frequency of , Figure 18b and Figure 20b show the logarithms of the ratios of the SDF estimates fitted by two different straight lines with positive trends. This indicates that the muscle spindle produces action potentials gradually at two different rates, which depend linearly on the frequency.
4.3. The Second Case
In this case, we follow the steps described for analysis of the data.
In the first stage, we obtain the following equation from expression (16)
where is a residual series of uncorrelated errors. This is a valid regression equation, from which estimates of the unknown parameters and can be derived. In particular, and .
In the second stage, by subtracting from both sides of (16), we obtain
where . This is a valid regression equation, from which estimates of the unknown parameters and can be derived. These estimates, along with their standard deviations, are given in Table 10.
Table 10.
Results obtained from Equation (31).
The estimated ACF and PACF for the error series are shown in Figure 26, which verifies that is a residual series of uncorrelated errors.
Figure 26.
(a) Estimate of the autocorrelation coefficient function for the residual series ; (b) estimate of the partial autocorrelation function for the residual series.
Figure 27a presents the Q–Q plot for the error series . The Shapiro–Wilk test gives with a corresponding p-value of . This suggests that the null hypothesis—stating that the error series follows a normal distribution—must be rejected.
Figure 27.
(a) Q–Q plot for the error series ; (b) a total of 95% predicted intervals.
Substituting the estimates , , , and into (32), we have
Figure 27b shows the smoothed curve of the fourth-order model passing through the decorrelated data , together with the 95% predictive intervals. Only eight values of the decorrelated data are outside the 95% predictive intervals, indicating that the fit of model (33) is satisfactory. The statistical test results provided in Table 10 must be interpreted cautiously, as the error series does not follow a normal distribution.
In this case, the presence of the gamma motoneuron shifts the effect of the alpha motoneuron from the frequency range of to the range of . According to Figure 27b, which presents the logarithm of the ratio of the SDF estimates, there is a small shift in the power values in the beginning and a larger shift as the frequency increases. This indicates that initially, the muscle spindle produces action potentials at a lower rate, which increases at higher frequencies and varies with the frequency in a manner described by a fourth-order polynomial function.
Thus, the flexibility of the system to cope with a more complicated case, which involves the simultaneous effect of two stimuli, allows for its explanation via a more realistic mechanistic model, which contains three different ranges of frequencies (as described above).
All computations and graphics in this section were completed using the TSA library in R 4.4.3 [37].
5. Conclusions
We described three log-linear models for comparison of the estimated SDFs for neural spike trains with autocorrelated errors. The estimated SDFs were obtained from mean-corrected periodograms using simple moving average weighting schemes. However, the existence of autocorrelation leads to estimates for the unknown parameters of the log-linear models that are not reliable. Therefore, a two-stage procedure was applied for decorrelation of the data, allowing for the determination of reliable estimates for the unknown parameters. An illustrative example from the field of neurophysiology was presented, consisting of three experimental cases in which a muscle spindle is affected by the following: (a) a gamma motoneuron, (b) an alpha motoneuron, and (c) gamma and alpha motoneurons simultaneously. It was shown that the effect of the gamma motoneuron in the presence of the alpha motoneuron was shifted to lower frequencies in the range of , whereas the presence of the gamma motoneuron shifted the effect of the alpha motoneuron to higher frequencies in the ranges of and . The mathematical expression of the ratio of the estimated SDFs was found to follow a fourth-order model for the case in the range of , a quadratic model for the case in the range of (or two straight lines with positive trends if we assume that there is a changepoint at ), and a fourth-order model for the case in the range of .
The muscle spindle is a complex receptor that receives many inputs and responds with two different sensory axons. In future work, we would like to consider the case that the muscle spindle is affected by more inputs—for example, two gamma motoneurons and an alpha motoneuron simultaneously—and responds with both sensory axons (i.e., the primary and the secondary axon). The aim of such research would be to compare the information that is transferred to the spinal cord and, from there, to the central nervous system by the primary sensory axon and the secondary sensory axon.
Author Contributions
Conceptualization, G.E.M. and A.G.R.; methodology, G.E.M. and A.G.R.; software, G.E.M. and A.G.R.; validation, A.G.R. and V.G.V.; writing—original draft preparation, G.E.M. and A.G.R.; writing—review and editing, A.G.R. and V.G.V.; supervision, A.G.R. All authors have read and agreed to the published version of the manuscript.
Funding
This research received no external funding.
Institutional Review Board Statement
Not applicable.
Informed Consent Statement
Not applicable.
Data Availability Statement
The datasets are publicly available from Github at https://github.com/bvasil/muscle-spindle/tree/main/data/response. (accessed on 20 February 2025).
Acknowledgments
We are most grateful to G.P. Moore and J.R. Rosenberg for providing the neurophysiological data.
Conflicts of Interest
The authors declare no conflicts of interest.
References
- Brillinger, D.R. Fourier analysis of stationary processes. Proc. IEEE 1974, 62, 1628–1643. [Google Scholar] [CrossRef]
- Brillinger, D.R. Nerve cell spike train data analysis: A progression of technique. J. Am. Stat. Assoc. 1992, 87, 260–271. [Google Scholar] [CrossRef]
- Cox, D.R.; Lewis, P.A.W. Statistical Analysis of Series of Events; Methuen: London, UK, 1968. [Google Scholar]
- Lindsay, K.A.; Rosenberg, J.R. Linear and quadratic models of point process systems: Contributions of patterned input to output. Prog. Biophys. Mol. Biol. 2012, 109, 76–94. [Google Scholar] [CrossRef]
- Michailidis, G.E.; Spyroglou, I.I.; Zaridis, D.; Rigas, A.G. A method of estimating the partial power spectrum of a bivariate point process and an application to a neurophysiological data set. J. Stat. Theory Pract. 2020, 14, 36. [Google Scholar] [CrossRef]
- Rosenberg, J.R.; Amjad, A.M.; Breeze, P.; Brillinger, D.R.; Haliday, D.M. The Fourier approach to the identification of functional coupling between neuronal spike trains. Prog. Biophys. Mol. Biol. 1989, 53, 1–31. [Google Scholar] [CrossRef] [PubMed]
- Vassiliadis, V.G.; Spyroglou, I.I.; Rigas, A.G.; Rosenberg, J.R.; Lindsay, K.A. Dealing with the phenomenon of quasi-complete separation and a goodness of fit test in logistic regression models in the case of long data sets. Stat. Biosci. 2019, 11, 567–596. [Google Scholar] [CrossRef]
- Ramezan, R.; Marriott, P.; Chenouri, S. Multiscale analysis of neural spike trains. Stat. Med. 2014, 33, 238–256. [Google Scholar] [CrossRef]
- Ramezan, R.; Marriott, P.; Chenouri, S. Skellam process with resetting: A neural spike train model. Stat. Med. 2016, 35, 5717–5729. [Google Scholar] [CrossRef]
- Segundo, P. A history of spike trains as point processes in neural coding. J. Biophys. Paris 2010, 104, 156–159. [Google Scholar] [CrossRef]
- Brillinger, D.R. Time Series: Data Analysis and Theory; Society for Industrial and Applied Mathematics—SIAM: Philadelphia, PA, USA, 2001. [Google Scholar]
- Pinkney, C.; Euan, C.; Gibberd, A.; Shojaie, A. Regularised Spectral Estimation for High-Dimensional Point Processes. arXiv 2024, arXiv:2403.12908. [Google Scholar]
- Ma, Y.; Wu, W. A novel point process model for neuronal spike trains. Front. Appl. Math. Stat. 2024, 10, 1349665. [Google Scholar] [CrossRef]
- Ramezan, R.; Chen, M.; Lysy, M.; Marriott, P. A multivariate point process model for simultaneously recorded neural spike trains. arXiv 2022, arXiv:2206.09903. [Google Scholar]
- Rigas, A.G.; Vassiliadis, V.G. A semi-parametric approach for comparing the estimated spectra of two stationary point processes. Math. Biosci. 2007, 210, 361–377. [Google Scholar] [CrossRef]
- Sarmashghi, M.; Jadhav, S.P.; Eden, U. Efficient spline regression for neural spiking data. PLoS ONE 2021, 16, e0258321. [Google Scholar] [CrossRef]
- Weng, G.; Clark, K.; Akbarian, A.; Noudoost, B.; Nategh, N. Time-varying generalized linear models: Characterizing and decoding neuronal dynamics in higher visual areas. Front. Comput. Neurosci. 2024, 18, 1273053. [Google Scholar] [CrossRef] [PubMed]
- Bellec, G.; Wang, S.; Modirshanechi, A.; Brea, J.; Gerstner, W. Fitting summary statistics of neural data with a differentiable spiking network simulator. Adv. Neural Inf. Process. Syst. 2021, 34, 18552–18563. [Google Scholar]
- Bloniasz, P.F.; Oyama, S.; Stephen, E.P. Filtered Point Processes Tractably Capture Rhythmic And Broadband Power Spectral Structure in Neural Electrophysiological Recordings. bioRxiv 2024, 10, 616132. Available online: https://www.biorxiv.org/content/10.1101/2024.10.01.616132v1.full (accessed on 21 May 2025). [CrossRef]
- Brillinger, D.R. The identification of point process systems. Ann. Probab. 1975, 3, 909–929. [Google Scholar] [CrossRef]
- Cox, D.R.; Isham, V. Point Processes; Chapman and Hall: London, UK, 1980. [Google Scholar]
- Daley, D.J.; Vere-Jones, D. An Introduction to the Theory of Point Processes; Springer: Berlin, Germany, 1988. [Google Scholar]
- Bartlett, M.S. The spectral analysis of point processes. J. R. Stat. Soc. B 1963, 25, 264–296. [Google Scholar] [CrossRef]
- Bloomfield, P. Fourier Analysis of Time Series, 2nd ed.; Wiley: New York, NY, USA, 2000. [Google Scholar]
- Chatfield, C.; Xing, H. The Analysis of Time Series: An Introduction with R, 7th ed.; Chapman and Hall/CRC Press: New York, NY, USA, 2019. [Google Scholar]
- Gentleman, W.M.; Sande, G. Fast Fourier transforms-for fun and profit. In Proceedings of the AFIPS ’66: Proceedings of the Fall Joint Computer Conference, San Francisco, CA, USA, 7–10 November 1966; Volume 28, pp. 563–568. [Google Scholar]
- The MathWorks Inc. MATLAB Version: R2016a; The Mathworks Inc.: Natick, MA, USA, 2016; Available online: https://www.mathworks.com (accessed on 25 February 2025).
- Durbin, J. The Fitting of Time-Series Models. Rev. Int. Stat. Inst. 1960, 28, 233–243. [Google Scholar] [CrossRef]
- Rao, P.; Griliches, Z. Small-Sample properties of several two-stage regression methods in the context of auto-correlated errors. J. Am. Stat. Assoc. 1969, 64, 253–272. [Google Scholar] [CrossRef]
- Shapiro, S.S.; Wilk, M.B. An Analysis of Variance Test for Normality (complete samples). Biometrika 1965, 52, 591–611. [Google Scholar] [CrossRef]
- Myers, R.H.; Montgomery, D.C.; Vining, G.G.; Robinson, T.J. Generalized Linear Models with Applications in Engineering and the Sciences, 2nd ed.; John Wiley and Sons: New York, NY, USA, 2010. [Google Scholar]
- Dobson, A.J.; Barnett, A.G. An Introduction to Generalized Linear Models, 4th ed.; Chapman and Hall/CRC: New York, NY, USA, 2018. [Google Scholar]
- Montgomery, D.C.; Perk, E.A.; Vining, G.G. Introduction to Linear Regression Analysis, 6th ed.; John Wiley and Sons: New York, NY, USA, 2021. [Google Scholar]
- Shumway, R.H.; Stoffer, D.S. Time Series Analysis and Its Applications With R Examples, 5th ed.; Springer: New York, NY, USA, 2025. [Google Scholar]
- Killick, R.; Eckley, I.A. Changepoint: An R Package for Changepoint Analysis. J. Stat. Softw. 2014, 58, 1–19. [Google Scholar] [CrossRef]
- Eckley, I.A.; Fearnhead, P.; Killick, R. Analysis of changepoint models. In Bayesian Time Series Models; Barker, D., Cemgil, A.T., Chiappa, S., Eds.; Cambridge University Press: Cambridge, UK, 2011. [Google Scholar]
- CRAN. The R Project for Statistical Computing. Available online: http://www.r-project.org (accessed on 25 February 2025).
- Boyd, I.A. The isolated mammalian muscle spindle. Trends Neurosci. 1980, 3, 258–265. [Google Scholar] [CrossRef]
Disclaimer/Publisher’s Note: The statements, opinions and data contained in all publications are solely those of the individual author(s) and contributor(s) and not of MDPI and/or the editor(s). MDPI and/or the editor(s) disclaim responsibility for any injury to people or property resulting from any ideas, methods, instructions or products referred to in the content. |
© 2025 by the authors. Licensee MDPI, Basel, Switzerland. This article is an open access article distributed under the terms and conditions of the Creative Commons Attribution (CC BY) license (https://creativecommons.org/licenses/by/4.0/).



























