Abstract
Solanum paniculatum L. belongs to the Solanaceae family and has the ability to grow and develop under unfavorable environmental conditions such as drought and salt stress, acid soils and soils poor in nutrients. The present work aimed to analyze S. paniculatum seed transcriptome associated with induced tolerance to drought stress by osmopriming. Seeds subjected to osmopriming (−1.0 MPa) displayed a higher germination and normal seedling percentage under drought stress when compared with unprimed seeds. RNA-seq transcriptome profiles of osmoprimed and unprimed seeds were determined and the potential proteins involved in the drought tolerance of S. paniculatum were identified. From the 34,640 assembled transcripts for both osmoprimed and unprimed seeds, only 235 were differentially expressed and, among these, 23 (10%) transcripts were predicted to code for proteins potentially involved in response to stress, response to abiotic stimulus and response to chemical. The possible mechanisms by which these stress-associated genes may confer tolerance to osmoprimed Solanum paniculatum seeds to germinate under water deficit was discussed and may help to find markers for the selection of new materials belonging to the Solanaceae family that are more tolerant to stress during and following germination.
1. Introduction
Successful plant establishment relies on seed quality and its ability to overcome challenges during the germination process. Throughout their life cycle, plants are exposed to biotic and abiotic stresses [1] and experience the most sensitive stage as seedlings. Solanum paniculatum L. belongs to the Solanaceae family and has a remarkable capacity to grow and develop under unfavorable conditions such as drought, acidic soils and soils poor in nutrients [2,3,4].
In the genus Solanum, there are species with a high degree of representativeness due to their economic importance such as potato (S. tuberosum L.), tomato (S. lycopersicum L.), eggplant (S. melongena L.) and others. Also, this genus contains ornamental and weed species [5]. Wild relative species can show higher thresholds of stress tolerance than crops and knowing their physiology can be useful for the development of quality markers and for the production of plant materials that are tolerant to environmental stresses [6,7,8].
Kranner [9] classifies as eustress the conditions that result in positive changes to plant metabolism, and also to seed performance. The principle of cross-tolerance is based on the assumption that the exposure of seeds (or plants) to one type of stress induces a common tolerance to various abiotic and biotic stresses and that the activity of the genes and/or proteins involved in this response is preserved among the seed, seedling and plant [10,11,12,13]. Seed priming premises are based on the cross-tolerance concept and are well known for improving germination percentage, germination uniformity, seed quality and seedling establishment under adverse conditions [14,15,16].
During priming, seed hydration is controlled using osmotic solutions, time and/or temperature of imbibition (and other techniques) in order to stop the germination process at phase II, so radicle protrusion (phase III) is prevented [17]. Osmopriming consists of providing an aerated solution containing sugars or polyethylene glycol (PEG 6000 or 8000) to seeds [18,19] and incubating them in suboptimal temperature conditions. Therefore, the mild stress caused by priming may induce stress tolerance as well as the improvement of seed lot quality [16,19,20].
Seed priming and subsequent transcriptomic analysis using RNAseq technology can be used to understand the molecular mechanisms developed by S. paniculatum to grow under adverse conditions. In addition, it provides the identification of key genes involved in the stress response of economically important species of Solanum genus. Therefore, the main goal of this work was to analyze changes in the transcriptome of S. paniculatum seeds in response to osmopriming, aiming to identify potential proteins that confer stress tolerance.
2. Materials and Methods
Ripe fruits of S. paniculatum were collected from five plants in the State of Minas Gerais, Brazil (latitude 21°14′43″ S, longitude 44°59′59″ W and 918 m of altitude). Pulp was manually removed and passed through a sieve under running water to separate the seeds. After processing, the seeds were blotted dry with a paper towel and dried in a climate-controlled room (23 ± 2 °C, 60% RH) until they reached 8% moisture content (fresh weight basis). Thereafter, the seeds were stored in plastic bags in a cold room at 4 ± 2 °C until the beginning of the experiments.
To determine the seed water content, the seeds were submitted to artificial drying using four replicates of 0.5 g each placed in an oven at 103 ± 2 °C for 17 h, according to the International Seed Testing Association (ISTA) [21].
Seed imbibition was conducted using three replicates of 0.1 g of seeds each, placed in Petri dishes containing two layers of germination paper moistened with distilled water and incubated at 25 °C for a 12 h photoperiod in a germination chamber. The seeds were then removed from the Petri dishes, blotted dry with a paper towel and weighed on a precision scale (0.0001 g) every 30 min until two hours of imbibition and every two hours until 12 h. From there, the seeds were weighed every 24 h until radicle protrusion.
For the germination tests, four replicates of 25 seeds each were sterilized in a 1% sodium hypochlorite solution for 10 min then washed in running water for three minutes and blotted dry with a paper towel. The seeds were placed in 9 cm Petri dishes containing two layers of germination paper moistened with 5 mL of distilled water and incubated at 25 °C under constant light in a germination chamber. Germination was assessed daily for 17 days using the primary root length ≥1 mm as the criterion for germination.
For seed priming (hereafter named osmopriming), the seeds were immersed in 15 mL of polyethylene glycol (PEG 8000) solution of osmotic potentials of −0.4, −0.8, −1.0 and −1.2 MPa (prepared according [22,23]) and incubated at 15 °C for 15 days under constant light in a germination chamber. To avoid anoxia during incubation, small holes were made in the tube caps and tubes were placed in a shaker to favor aeration (Multifunctional mixer MR-II model-Biomixer). The PEG 8000 solutions were renewed after 24 h, 5 and 10 days of incubation.
Osmoprimed and control seeds (unprimed) were submitted to germination under stress conditions aiming to check the capacity of the treatments to induce tolerance to water deficit. After osmopriming, the seeds were washed in running water for one minute and placed in 9 cm Petri dishes containing two layers of germination paper moistened with 5 mL of distilled water (0.0 MPa) or PEG 8000 solution at osmotic potentials of −0.2, −0.4, −0.6, −0.8 and −1.0 MPa, then incubated at 25 °C under constant light. The tests were assessed daily for 30 days, the germination criteria was primary root ≥1 mm and normal seedlings were considered when presenting all primary structures (primary root, epicotyl, cotyledons and plumule). Aiming to maintain the osmotic potentials stable, the PEG solutions and substrates (germination paper) were changed every three days during the tests.
Data collected during germination in water at 25 °C were submitted to regression analysis with SigmaPlot v. 12.0. Germination data collected after osmopriming and under stress were submitted to Anova followed by means comparison using Tukey’s test (p-value < 0.05) with SISVAR 5.4 (Tables S1 and S2).
Seeds submitted to −1.0 MPa osmopriming treatment showed better performance under water stress so they were chosen for the transcriptome analysis. Total RNA extraction was performed using 100 seeds that had been subjected to priming at −1.0 MPa and from 100 seeds subjected to 24 h of water imbibition (control). Total RNA was extracted using the NucleoSpin RNA Plant® kit (Macherey-Nagel, Dueren, Germany) according to the manufacturer’s instructions. Total RNA from high-quality samples (RIN values > 7.0 evaluated by a 2100 Bioanalyzer, Agilent Technologies, Santa Clara, EUA) were used for library construction using the TruSeq RNA sample prep protocol v2 (Illumina, San Diego, EUA). The samples were sequenced using commercially available kits and HiScan platform (Illumina, San Diego, EUA) sequencing equipment, using a 50 bp single run module. All these steps were carried out strictly following the directions proposed by the manufacturer of the sequencing equipment. The data were analyzed by the CLC Genomics Workbench Version 6.0.2 (Bio CLC, Aarhus, Denmark) with default parameters for trimming, transcriptome assembly (de novo) and transcript quantification using the reads per kilobase per million of mapped reads (RPKM) normalization. The genes differentially expressed were generated by using Baggerley’s test of samples [24]. Genes with p-value = 0 were selected for gene ontology analysis.
The functional annotation of transcripts was performed in three steps: (1) determination of the coding potential of transcripts, (2) selection of meaningful descriptions for the novel transcripts and (3) assignment of gene ontology (GO) terms (The Gene Ontology Consortium). The coding potential of all transcripts were determined using the support vector machine-based classifier Portrait, a software tool for non-coding RNA screening in transcriptome from poorly characterized species [25]. Only the transcripts predicted as coding by Portrait were retained for the next steps. For the selection of brief functional descriptions for the novel transcripts and the assignment of GO terms, we used the Blast2GO (Java WebStart version 2.8) [26] with default parameters. In brief, Blast2GO first uses BLASTX to find proteins in the NCBI NR database that are similar to the potential proteins encoded by the transcripts and then transfers both the brief functional descriptions and the GO terms from the most similar proteins to the novel transcripts. It is noteworthy to mention that (1) these functional descriptions are only exploratory in nature and that (2) more than one transcript can be annotated with the same functional description simply due to the fact that these transcripts may code, for example, for proteins belonging to the same protein family.
To confirm the results of RNA-seq data, differentially expressed transcripts (DETs) were used for primer design. In addition, the most stable transcripts for primed and unprimed seeds were selected to normalize the RT-qPCR data. The stable transcripts used were the Contig34 (cytochrome P450 87A3-like), Contig327 (Heat shock cognate 70 kDa protein 2-like) and Contig416 (Subtilisin-like protease-like). The software PerlPrimer (v1.1.21) was used for primer design with the following parameters: amplicon of 100 to 200 base pairs, annealing temperature of 60 °C ± 1 and base pairs varying from 20 to 24.
Gene expression was quantified by RT-qPCR using three biological replicates of 100 osmoprimed and 100 control (unprimed) seeds. The seeds were again placed in plastic tubes of 15 mL at −1.0 MPa of PEG solution at 15 °C for 15 days and total RNA was extracted as previously described. cDNA synthesis (reverse transcription) was performed by using the High Capacity cDNA Reverse Transcription kit (Applied Biosystems, Waltham, EUA) following the manufacturer’s instructions. The real time PCR reactions were performed on a thermocycler (Eco Real-Time, Illumina, San Diego, EUA) with CtSybr Green qPCR Ready Mix (Sigma Life Science, Bath, UK) using the manufacturer’s instructions and the primer efficiencies were assessed by LinReg PCR (v.11.0. Amsterdan, The Netherlands) software [27]. The data were analyzed by the EcoStudy program version 5.0 (Illumina, San Diego, EUA). Three biological replicates and three technical replicates for each sample were used. The gene expression data obtained by RT-qPCR were analyzed using the software Rest® 2009 (Qiagen, Munich, Germany), significant differences (p-value ˂ 0.05) were considered as compared to the control. SigmaPlot® (Palo Alto, EUA) for Windows version 11 and 14.5 were used to prepare the artwork presented in this manuscript.
3. Results
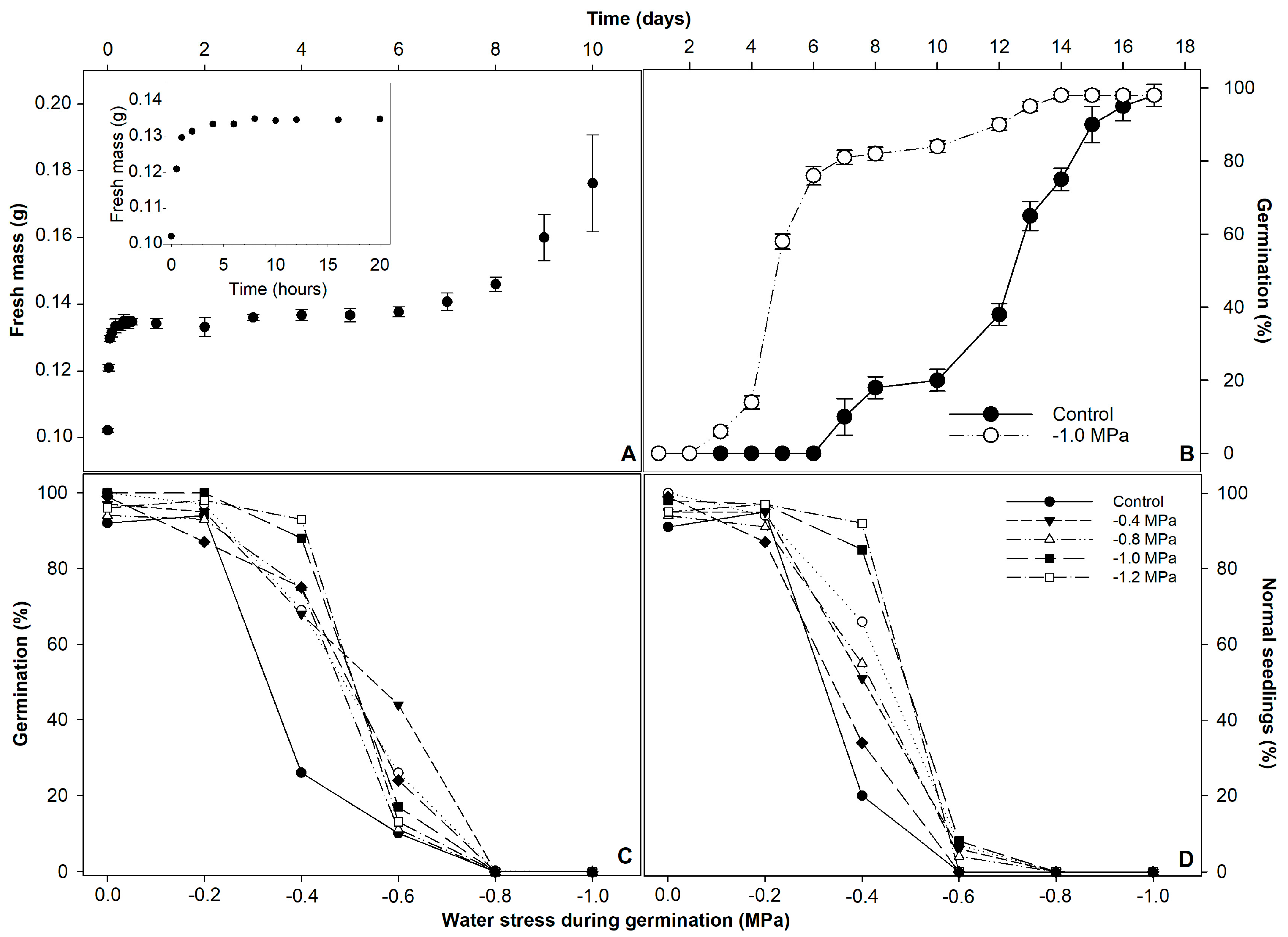
Solanum paniculatum seeds were totally hydrated for between five and ten hours of imbibition (Figure 1A). Radicle protrusion started at the 7th day, took 13 days to reach 50% and seed germination reached 99% in 17 days (Figure 1B). As expected, osmoprimed seeds showed faster germination as compared with the control, with 50% germination occurring at 5 days and 99% of the seeds having germinated after 13 days (Figure 1B). Seeds submitted to water stress during germination showed a decrease in germinability and in the percentage of normal seedlings as the stress became higher, but, as expected, osmoprimed seeds had a better performance than seeds from the control group (Figure 1C). Seeds osmoprimed at −1.0 and −1.2 MPa could maintain higher germination and percentage of normal seedlings under moderate water stress (−0.4 MPa), standing out from the other treatments. So, −1.0 MPa osmopriming treatment was used to investigate changes in the transcriptome of S. paniculatum seeds.
Figure 1.
(A) Imbibition curve of Solanum paniculatum seeds showing phases I, II and III of water uptake. Points are the average of three replicates of 0.1 g each and bars represent standard deviation. The inset shows the faster uptake of water by the dry seeds during phase I. (B) Germination of S. paniculatum seeds submitted to osmopriming treatment (−1.0 MPa) and the control group (unprimed). (C) Germination percentage under water stress of Solanum paniculatum control and osmoprimed (−0.4, −0.8, −1.0 and −1.2 MPa) seeds. (D) Normal seedling percentage under water stress of Solanum paniculatum control and osmoprimed (−0.4, −0.8, −1.0 and −1.2 MPa) seeds. In (B–D) symbols represent the average of 4 replicates of 25 seeds each. All seeds were incubated in a germination chamber settled at 25 °C and a 12 h photoperiod.
For the cDNA libraries derived from osmoprimed and control seeds, 19,779,709 and 15,773,140 single-end reads, respectively, were generated. After the cleaning and removal of low-quality reads (phred scores < 20), 19,468,919 and 15,534,731 clean reads were identified, respectively, derived from osmoprimed and control seeds. Based on the high-quality reads, 34,640 contigs were assembled with sizes ranging from 249 to 5000 base pairs that were grouped into eight classes based on the number of base pairs (Figure 2). The largest class was the one with fragment lengths of 250–500 bp (39.1%).
Figure 2.
Number and percentages of transcripts in each base pair (bp) length class derived from cDNA libraries of Solanum paniculatum control and osmoprimed (−1.0 MPa) seeds. Numbers express the absolute number of base pairs in the transcripts and percentages were generated regarding the whole transcriptome generated with RNAseq analysis.
From the total amount of transcripts generated (n = 34,640), 54.79% (n = 18,981) were shown to be coding and 45.20% (n = 15,659) were shown to be non-coding sequences. Of the 18,981 transcripts that encode some protein, only 25 (0.08%) show no similarity to any other sequence at the protein level. Of the remainder, 18,956 protein-coding transcripts showed similarity to protein sequences in the NCBI NR database, so it was possible to assign GO terms for 13,678 transcripts (73%) and it was not possible to assign any GO term for the remaining 5070 (27%). The reads are available in the NCBI Sequence Read Archive, under accession numbers STUDY: PRJNA384240 (SRP105294) SAMPLE: SRX2766227: RNA-seq of Solanum paniculatum: unprimed seeds and SAMPLE: SRX2766226: RNA-seq of Solanum paniculatum: primed seeds.
Among the 34,640 transcripts generated, 235 were differentially expressed (Table S3) between seeds subjected to osmopriming at −1.0 MPa and seeds subjected to 24 h of water imbibition (control), among which 232 were upregulated and three were downregulated. Of the 235 transcripts, 162 (69%) were potential protein-coding and 73 (31%) were potential non-coding transcripts. In order to confirm the accuracy of the RNA-Seq data, specific primers were designed for the transcripts of interest, i.e., highest expressed transcripts in osmoprimed seeds known to be involved in drought stress as well as for the stable transcripts used as a reference (Table 1). RT-qPCR results were consistent with the expression levels obtained by RNA-Seq (Figure 3). Interestingly, the most differentially expressed transcript was a potential non-coding transcript that was about 80-fold upregulated in osmoprimed seeds.
Table 1.
Specific primers and reference genes used in RTq-PCR reactions. The reference genes are indicated by an asterisk.
Figure 3.
RT-qPCR validation of a specific group of genes that showed differential expression between water-deprived osmoprimed and unprimed Solanum paniculatum seeds in RNAseq. * Genes showed a differential expression in osmoprimed seeds (p < 0.05).
In addition to the 13 DETs known to be involved in drought stress (Table 1), we also sought to identify DETs coding for potential proteins that, according to GO annotations, could be involved in drought tolerance promoted by osmopriming. For this reason, protein-coding DETs were selected and functionally categorized in GO terms related to response to stress, chemical and abiotic stimulus (Table 2 and Table S2). Among the 235 DETs, 30 (13%)—including seven DETs previously identified as involved in drought stress (Table 1)—were associated with GO terms related to response to at least one of the above-mentioned specific stimuli. While 20 DETs were associated with GO terms related to response to stress, 19 and 15 DETs were associated, respectively, with response to chemical and abiotic stimulus (Table 2).
Table 2.
Differentially expressed transcripts (DETs) associated with gene ontology (GO) terms related to response to stress, chemical and abiotic stimulus.
4. Discussion
Priming is a technique widely used to improve seed quality and to promote faster and more uniform seed germination. In addition, an increased tolerance to abiotic stress is expected and considered one of the main advantages. Analyzing the data presented above, it is noticeable that osmopriming of Solanum paniculatum seeds at −1.0 MPa enhanced seed performance under water deficit (Figure 1C,D). The improvement of stress tolerance after priming may be due to a cross-tolerance induced by the osmotic treatment [28]. Apparently, plants have a capacity to “memorize” or develop a “stress imprint” as a genetic or biochemical modification that occurs after stress exposure [13]. The increased capacity of Solanum paniculatum seeds to perform better under stress conditions after seed priming may be explained by the enhanced expression of stress-related genes as observed by Song et al. [29], Osthoff et al. [30] and Gao et al. [31] using different stresses as pre-germination treatments.
In fact, by determining the expression profiles of osmoprimed versus unprimed seeds of S. paniculatum under water deficiency, we could observe in the present work that a number of genes predicted to code for proteins potentially related to response to stress were differentially expressed between the two conditions (Table 1 and Table 2). We discuss below some particular cases.
With A DET predicted to code for a prontein that enables DNA repair, namely, poly [ADP-RIBOSE] polymerase 3-like, displayed clearly enhanced expression upon priming. A similar protein found in Arabidopsis thaliana is related to protection against stress caused by gamma radiation [32]. Therefore, it may be argued that this protein plays a role during priming in the protection of DNA and, thus, contributes to successful germination under drought stress. DNA repair genes have been associated with seed vigor and, consequently, seed germination under unfavorable conditions [33].
DETs predicted to code for proteins functionally described as chalcone-flavanone isomerase and galactinol synthase were abundantly transcribed in osmoprimed seeds. Chalcone-flavanone isomerase have been identified in tomato (Solanum lycopersicum) and wheat (Triticum aestivum), as participating in the biosynthesis of flavonoids by converting chalcone to flavonols [34]. Flavonoids accumulate in plants under stressful conditions and may help the plants to adapt to environmental stress [35]. Galactinol synthase is involved in the synthesis of oligosaccharides from the raffinose family oligosaccharides RFOs [36]. RFOs have various functions in plants; they are used for transport and storage of carbohydrates and act as compatible solutes in the plant cell’s protection mechanisms against biotic and abiotic stresses [37]. Our results clearly show that mild stress may induce the transcription of galactinol synthase, a key enzyme associated with the accumulation of galactinol and raffinose under abiotic stress conditions. Apparently, this enzyme functions as an osmoprotectant, favoring tolerance to drought stress during germination of S. paniculatum.
DETs predicted to code for proteins belonging to the heat shock proteins family were also found highly expressed upon priming, specially proteins functionally described as shock factor-like protein HSF30, KDA class I heat shock protein 3 and DNAJ-like protein 2 homolog (HSP 40). Heat shock proteins are members of a highly conserved family, known as chaperones, and are constitutively expressed in various organisms, as well as in different cellular compartments [38,39]. These proteins have important functions in plant growth and development, as well as in response to environmental stresses, such as heat and drought. Heat shock proteins act in a variety of cellular processes, including the transport of proteins across membranes, maintenance of proper folding of proteins, regulation of protein degradation and preventing irreversible aggregation of proteins [40]. However, we found a transcript predicted to code for a small heat shock protein chloroplastic-like, which showed a markedly decrease in abundance. Levels of small heat shock proteins (sHSP) have been correlated with longevity in sunflower seeds [41]. Thus, we hypothesize that the downregulation of sHSP proteins during priming may explain why primed seeds generally have reduced longevity [42].
DNAJ-like protein 2 acts similarly to heat shock proteins and is present in plants which are tolerant to salinity [43]. The multifunctional DNAJ-like proteins are encoded by a multigene family and are involved in protein trafficking [44].
5. Conclusions
Osmopriming of Solanum paniculatum seeds at −1.0 MPa favors seed germination under water deficit. Proteins related to water, oxidative, saline and heat stresses were upregulated as a result of priming indicating a possible cross-tolerance effect.
Supplementary Materials
The following supporting information can be downloaded at: https://www.mdpi.com/article/10.3390/seeds2040029/s1. Table S1: Final germination percentage during germination under water stress of Solanum paniculatum L. seeds submitted to osmopriming and control treatments; Table S2: Normal seedling percentage during germination under water stress of Solanum paniculatum L. seeds submitted to osmopriming and control treatments; Table S3: Transcripts differentially expressed in primed and unprimed Solanum paniculatum L. seeds. Fold change was calculated using Baggerley’s test considering p < 0.05; Table S4: Transcripts differentially expressed associated with Solanum paniculatum osmoprimed (−1.0 MPa) seeds.
Author Contributions
Conceptualization, H.W.M.H. and E.A.A.d.S.; data curation, P.B.d.S.; formal analysis, P.B.d.S., T.A.A.V., M.L.A. and L.A.B.; funding acquisition, E.A.A.d.S.; investigation, P.B.d.S., T.A.A.V. and E.A.A.d.S.; methodology, P.B.d.S., T.A.A.V., M.L.A., L.A.B. and E.A.A.d.S.; project administration, E.A.A.d.S.; resources, E.A.A.d.S.; software, L.A.B.; supervision, H.W.M.H. and E.A.A.d.S.; validation, M.L.A. and L.A.B.; writing—original draft, P.B.d.S., T.A.A.V., H.W.M.H. and E.A.A.d.S.; writing—review and editing, T.A.A.V. and E.A.A.d.S. All authors have read and agreed to the published version of the manuscript.
Funding
This work was supported by the São Paulo Research Foundation—FAPESP [grant number #2011/18262-6] and CAPES-WUR program [grant number # 007/09]. PBS thanks Fundação de Amparo à Pesquisa do Estado de São Paulo (FAPESP) for the scholarship and Universidade Estadual Paulista “Julio de Mesquita Filho” (FCA-UNESP/Botucatu) for supporting the experiments. TAAV thanks Fundação de Amparo à Pesquisa do Estado de Minas Gerais (FAPEMIG) for the scholarship and Universidade Federal de Lavras for supporting part of the experiments.
Institutional Review Board Statement
Not applicable.
Informed Consent Statement
Not applicable.
Data Availability Statement
The reads are available in the NCBI Sequence Read Archive, under accession numbers STUDY: PRJNA384240 (SRP105294) SAMPLE: SRX2766227: RNA-seq of Solanum paniculatum: unprimed seeds and SAMPLE: SRX2766226: RNA-seq of Solanum paniculatum: primed seeds.
Conflicts of Interest
The authors declare no conflict of interest.
References
- Hussain, H.A.; Hussain, S.; Khaliq, A.; Ashraf, U.; Anjum, A.S.; Men, S.; Wang, L. Chiling and drought stress in crop plants: Implications, cross talk and potential management opportunities. Front. Plant Sci. 2018, 9, 393. [Google Scholar] [CrossRef]
- Vidal, M.C.; Stacciarini-Seraphin, E.; Camara, H.H.L.L. Crescimento de plântulas de Solanum lycocarpum St. Hil. (Lobeira) em casa de vegetação. Acta Botânica Brasílica 1999, 13, 271–274. [Google Scholar] [CrossRef]
- Lorenzi, H.; Matos, F.J.A. Plantas Medicinais No Brasil: Nativas E Exóticas, 3rd ed.; Instituto Plantarum: Nova Odessa, Brazil, 2021; p. 576. [Google Scholar]
- Garcia, J.; Jacobson, T.K.B.; Farias, J.G.; Boaventura, R.F. Efectiveness of methods to increase the germination rate of Jurubeba (Solanum paniculatum L.) seeds. Pesqui. Agropecuária Trop. 2008, 38, 223–226. [Google Scholar]
- Martins, A.F. Contribuição Ao Estudo Das Plantas Medicinais: Manual de Preservação Da Natureza; Cabral Editora Universitária: São Paulo, Brazil, 1998. [Google Scholar]
- Cowan, M.F.; Blomstedt, C.K.; Norton, S.L.; Henry, R.J.; Moller, B.L.; Gleadow, R. Crop wild relatives as a genetic resource for generating low-cyanide, drought-tolerant Sorghum. Environ. Exp. Bot. 2020, 169, 103884. [Google Scholar] [CrossRef]
- Coyne, C.J.; Kumar, S.; Von Wettberg, E.J.B.; Marques, E.; Berger, J.D.; Redden, R.J.; Noel Ellis, T.H.; Brus, J.; Zablastzká, L.; Smykal, P. Potentials and limitis of exploitation of crop wild relatives for pea, lentil and chickpea improvement. Legume Sci. 2020, 2, e36. [Google Scholar] [CrossRef]
- Quezada-Martinez, D.; Nyarko, C.P.A.; Schiessi, S.V.; Mason, A.S. Using wild relatives and related species to build climate resilience in Brassica crops. Theor. Appl. Genet. 2021, 134, 1711–1728. [Google Scholar] [CrossRef]
- Kranner, I. What is stress? Concepts, definitions and application in seed science. New Phytol. 2010, 188, 655–673. [Google Scholar] [CrossRef]
- Bowler, C.; Fluhr, R. The role of calcium and activated oxygen as signals for controlling cross-tolerance. Trends Plant Sci. 2000, 5, 241–246. [Google Scholar] [CrossRef]
- Pastori, G.M.; Foyer, C.H. Common components, networks, and pathways of cross-tolerance to stress: The central role of “redox” and abscisic acid-mediated controls. Plant Physiol. 2002, 129, 460–468. [Google Scholar] [CrossRef]
- Capiati, D.A.; País, S.M.; Téllez-Iñón, M.T. Wounding increases salt tolerance in tomato plants: Evidence on the participation of calmodulin-like activities in cross-tolerance signaling. J. Exp. Bot. 2006, 57, 2391–2400. [Google Scholar] [CrossRef]
- Bruce, T.J.A.; Matthes, M.C.; Napier, J.A.; Pickett, J.A. Stressful ‘‘memories’’ of plants: Evidence and possible mechanisms. Plant Sci. 2007, 173, 603–608. [Google Scholar] [CrossRef]
- Balbinot, E.; Lopes, H.M. Efeitos do condicionamento fisiológico e da secagem na germinação e no vigor de sementes de cenoura. Rev. Bras. De Sementes 2006, 1, 1–8. [Google Scholar] [CrossRef]
- Patanèa, C.; Cavallaroa, V.; Cosentino, S.L. Germination and radicle growth in unprimed and primed seeds of sweet sorghum as affected by reduced water potential in NaCl at different temperatures. Ind. Crops Prod. 2008, 30, 1–8. [Google Scholar] [CrossRef]
- Hussain, S.; Hussain, S.; Khaliq, A.; Ali, S.; Khan, I. Physiological, biochemical and molecular aspects of seed priming. In Priming and Pre-Treatment of Seeds and Seedlings, 1st ed.; Hasanuzzaman, M., Fotopoulos, V., Eds.; Springer: Singapore, 2019; p. 604. [Google Scholar]
- Heydecker, W.; Higgins, J.; Gulliver, R.L. Accelerated germination by osmotic seed treatment. Nature 1973, 246, 42–44. [Google Scholar] [CrossRef]
- Sher, A.; Sarwar, T.; Nawaz, A.; Ijaz, M.; Sattar, A.; Ahmad, S. Methods of Seed Priming. In Priming and Pre-Treatment of Seeds and Seedlings, 1st ed.; Hasanuzzaman, M., Fotopoulos, V., Eds.; Springer: Singapore, 2019; p. 604. [Google Scholar]
- Adnan, M.; Abd-Ur-Rahman, H.; Asif, M.; Hussain, M.; Bilal, H.M.; Adnan, M.; Ur-Rehman, F.; Ahmad, S.; Khalid, M. Seed priming; An effective way to improve plant growth. EC Agric. 2020, 6, 1–5. [Google Scholar]
- Bradford, K.J. Manipulation of seed water relations via osmotic priming to improve germination under stress conditions. HortScience 1986, 21, 1105–1112. [Google Scholar] [CrossRef]
- ISTA. International Rules for Seed Testing; International Seed Testing Association: Zurich, Switzerland, 2004. [Google Scholar]
- Michel, B.E. Evaluation of the Water Potentials of Solutions of Polyethylene Glycol 8000. Plant Physiol. 1983, 72, 66–70. [Google Scholar] [CrossRef]
- Villela, F.A.; Beckert, O.P. Potencial osmótico de soluções aquosas de polietileno glicol 8000. Rev. Bras. De Sementes 2001, 23, 267–275. [Google Scholar] [CrossRef]
- Baggerley, K.; Deng, L.; Morris, J.; Aldaz, C. Differential expression in SAGE: Accounting for normal between-library variation. Bioinformatics 2003, 19, 1477–1483. [Google Scholar] [CrossRef] [PubMed]
- Kong, L.; Zhang, Y.; Ye, Z.Q.; Liu, X.O.; Zhao, S.O.; Wei, L.; Gao, G. CPC: Assess the protein-coding potential of transcripts using sequence features and support vector machine. Nucleic Acids Res. 2007, 35, 345–349. [Google Scholar] [CrossRef]
- Conesa, A.; Götz, S.; García-Gómez, J.M.; Terol, J.; Talón, M.; Robles, M. Blast2go: A universal tool for annotation, visualization and analysis in functional genomics research. Bioinformatics 2005, 21, 3674–3676. [Google Scholar] [CrossRef] [PubMed]
- Ramakers, C.; Ruijter, J.M.; Deprez, R.H.; Moorman, A.F. Assumption-free analysis of quantitative real-time polymerase chain reaction (PCR) data. Neurosci. Lett. 2003, 339, 62–66. [Google Scholar] [CrossRef] [PubMed]
- Wahid, A.; Sehar, S.; Perveen, M.; Gelani, S.; Basra, S.M.A.; Farooq, M. Seed pretreatment with hydrogen peroxide improves heat tolerance in maize at germination and seedling growth stages. Seed Sci. Technol. 2008, 36, 633–645. [Google Scholar] [CrossRef]
- Song, L.; Prince, S.; Valliyodan, B.; Joshi, T.; Maldonado Dos Santos, J.V.; Wang, J.; Lin, L.; Wan, J.; Wang, Y.; Xu, D.; et al. Genome-wide transcriptome analysis of soybean primary root under varying water deficit conditions. BMC Genom. 2016, 17, 57. [Google Scholar] [CrossRef]
- Osthoff, A.; Donà Dalle Rose, P.; Baldauf, J.A.; Piepho, H.P.; Hochholdinger, F. Transcriptomic reprogramming of barley seminal roots by combined water deficit and salt stress. BMC Genom. 2019, 20, 325. [Google Scholar] [CrossRef]
- Gao, G.; Hu, J.; Zhang, X.; Zhang, F.; Li, M.; Wu, X. Transcriptome analysis reveals genes expression pattern of seed response to heat stress in Brassica napus L. Oil Crop. Sci. 2021, 6, 87–96. [Google Scholar] [CrossRef]
- Song, J.; Keppler, B.D.; Wise, R.R.; Bent, A.F. PARP2 Is the Predominant Poly (ADP-Ribose) Polymerase in Arabidopsis DNA Damage and Immune Responses. PLoS Genet. 2015, 11, e1005200. [Google Scholar] [CrossRef] [PubMed]
- Ventura, L.; Dona, M.; Macovei, A.; Carbonera, D.; Buttafava, A.; Mondoni, A.; Rossi, G.; Balestrazzi, A. Understanding the molecular pathways associated with seed vigor. Plant Physiol. Biochem. 2012, 60, 196–206. [Google Scholar] [CrossRef]
- Winkel-Shirley, B. Flavonoid biosynthesis: A colorful model for genetics, biochemistry, cell biology and biotechnology. Plant Physiol. 2001, 126, 485–493. [Google Scholar] [CrossRef]
- Liu, Z.; Liu, Y.; Pu, Z.; Wang, J.; Zheng, Y.; Li, Y.; Wei, Y. Regulation, evolution, and functionality of flavonoids in cereal crops. Biotechnol. Lett. 2013, 35, 1765–1780. [Google Scholar] [CrossRef]
- Peterbauer, T.; Lahuta, L.B.; Blochl, A.; Mucha, J.; Jones, D.A.; Hedley, C.L.; Gorecki, R.J.; Richter, A. Analysis of the raffinose family oligosaccharide pathway in pea seeds with contrasting carbohydrate composition. Plant Physiol. 2001, 127, 1764–1772. [Google Scholar] [CrossRef] [PubMed]
- Philippe, R.N.; Ralph, S.G.; Bohlmann, S.D.; Mansfield, J. Transcriptome profiles of hybrid poplar (Populus trichocarpa deltoides) reveal rapid changes in undamaged, systemic sink leaves after simulated feeding by forest tent caterpillar (Malacosoma disstria). New Phytol. 2010, 188, 787–802. [Google Scholar] [CrossRef] [PubMed]
- Wang, W.; Vinocur, B.; Shoseyov, O.; Altman, A. Role of plant heat-shock proteins and molecular chaperones in the abiotic stress response. Trends Plant Sci. 2004, 9, 244–252. [Google Scholar] [CrossRef]
- Waters, E.R. The evolution, function, structure and expression of the plant sHSPs. J. Exp. Bot. 2013, 64, 391–403. [Google Scholar] [CrossRef]
- Su, P.H.; Li, H.M. Stromal Hsp70 is important for protein translocation into pea and Arabidopsis chloroplasts. Plant Cell 2010, 22, 1516–1531. [Google Scholar] [CrossRef]
- Prieto-Dapena, P.; Castaño, R.; Almoguera, C.; Jordano, J. Improved resistance to controlled deterioration in transgenic seeds. Plant Physiol. 2006, 142, 1102–1112. [Google Scholar] [CrossRef] [PubMed]
- Bewley, J.D.; Bradford, K.J.; Hilhorst, H.W.M.; Nonogaki, H. Seeds: Physiology of Development, Germination and Dormancy; Springer: New York, NY, USA, 2013; 392p. [Google Scholar]
- Zhao, Z.; Zhang, W.; Yan, J.; Zhang, J.; Liu, Z.L.X.; Yi, Y. Over-expression of Arabidopsis DnaJ (Hsp40) contributes to NaCl stress tolerance. Afr. J. Biotechnol. 2010, 9, 972–978. [Google Scholar] [CrossRef]
- Sung, D.Y.; Guy, C.L. Physiological and molecular assessment of altered expression of Hsc70-1 in Arabidopsis. Evidence for pleiotropic consequences. Plant Physiol. 2003, 132, 979–987. [Google Scholar] [CrossRef]
Disclaimer/Publisher’s Note: The statements, opinions and data contained in all publications are solely those of the individual author(s) and contributor(s) and not of MDPI and/or the editor(s). MDPI and/or the editor(s) disclaim responsibility for any injury to people or property resulting from any ideas, methods, instructions or products referred to in the content. |
© 2023 by the authors. Licensee MDPI, Basel, Switzerland. This article is an open access article distributed under the terms and conditions of the Creative Commons Attribution (CC BY) license (https://creativecommons.org/licenses/by/4.0/).


