Abstract
We show that an extract from catmint (Nepeta nuda L.) flowers is not hemotoxic and does not alter erythrocytes’ morphology. H2O2-induced oxidative stress leads to an increase in lipid peroxidation, accompanied by a reduction in the number of biconcave cells and an increase in the number of echinocytes. Pre-treatment of erythrocytes with this extract does not reduce the lipid peroxidation level; however, it results in partial restoration of the relative abundance of biconcave cells and a respective reduction in the echinocytes’ quantity. Our data reveal the concentrations at which the examined extract exhibits a protective effect on erythrocytes’ morphology under the condition of H2O2-induced oxidative stress.
1. Introduction
Medicinal plant extracts are widely explored for their beneficial effects on human health. A number of previous reports highlight the protective effect of plant extracts against oxidative damage, including on erythrocytes [1]. The catmint Nepeta nuda L. (Lamiaceae) has been reported to exhibit antioxidant effects due to its phenolic compounds and iridoids [2]; however, to the best of our knowledge, no studies have been performed so far on the effect of catmint extract on red blood cells (RBCs).
2. Materials and Methods
The plant extract (PE) from catmint flowers was prepared at 60 °C using water solvent and maceration [2]. After lyophilization, the dry substance was stored at −20 °C until further use. For all experiments, aqueous solutions of 0.01–1 mg/mL PE and 0.1 mM Trolox (TX) antioxidant (Acros Organics Fisher Scientific (Geel, Belgium), water-soluble analogue of the vitamin E) were utilized.
Donor blood was used for the preparation of RBCs as described by Langari et al. [3]. The experiments were performed in three replicates. Samples with a concentration of 1 mg Hb/mL were incubated for 1 h at 37 °C with the PE with concentrations of 1, 0.1 and 0.01 mg/mL and 0.1 mM TX. Untreated RBCs were used as the control. Hemolysis was determined spectrophotometrically based on hemoglobin absorption at 543 nm corrected for non-specific absorption at 650 nm. Full (100%) hemolysis was achieved via 100 times dilution of the RBCs in distilled water.
In vitro lipid peroxidation was induced by incubation of the control and the PE/TX treated samples with 1 mg Hb/mL and 0.8 mM H2O2 for 2 h. The lipid peroxidation reaction was evaluated via thiobarbituric acid reactive substances (TBARS) according to Gilbert et al. [4], and the absorption at 532 nm was corrected for non-specific absorption at 650 nm. The reaction was stopped with 150 μL of 10 mM ethylenediaminetetraacetic acid before the absorption readings.
RBC morphologic evaluation on air-dried smears was performed by means of optical microscopy (3D Optical profiler, Zeta-20, Zeta Instruments, Milpitas, CA, USA).
The data are represented as the mean values and standard deviation (SD).
3. Results and Discussion
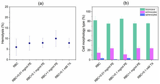
As a first step in our study, we probed the hemolytic effect of the studied PE and TX on the RBCs. The evaluation of the hemolysis level after 1 h of PE incubation in the selected concentration range resulted in similar cell lysis for the control and PE/TX-treated cells of ca. 6–11% (Figure 1a). The morphology of the treated cells was similar to the one of the control RBCs—the dominant cell species was the biconcave one accounting for 74–85% followed by echinocytes (11–26%) and spherocytes (0–3%) (Figure 1b).
Figure 1.
Hemolysis (a) and relative abundance of different morphological types (b) of RBCs subjected to 1 h treatment with different concentrations of catmint plant extract (PE) and 0.1 mM Trolox (TX). Mean ± SD.
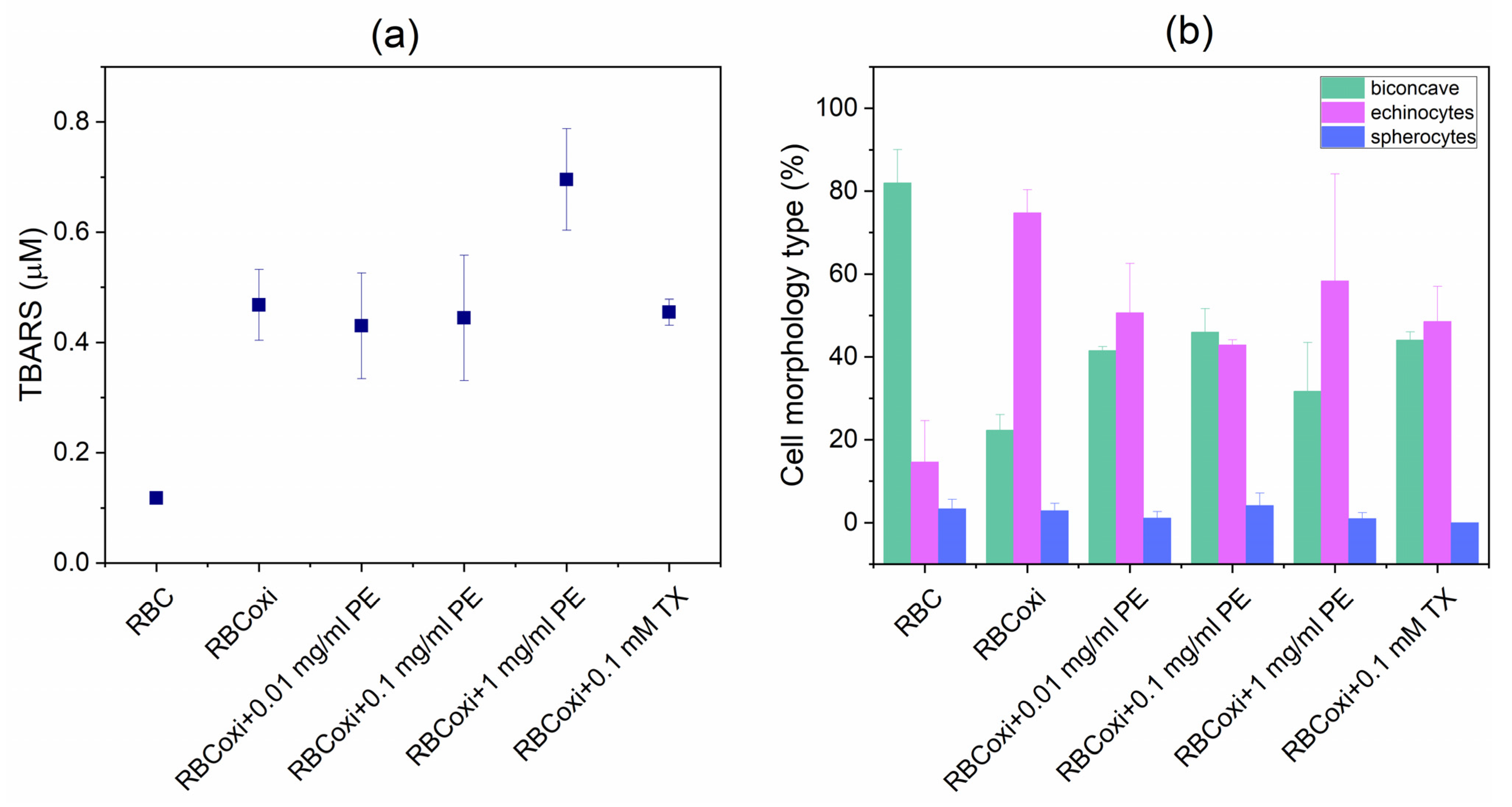
Next, we evaluated the PE effect under the condition of H2O2-induced oxidative stress. The applied incubation with H2O2 resulted in a five-fold increase in TBARS levels in the RBCs (designated RBCoxi). Incubation with 0.01 and 0.1 mg/mL PE and 0.1 mM TX had no additional effect, while 1 mg/mL PE induced a further increase in TBARS values (Figure 2a). Lipid peroxidation also led to a four-fold decrease in the relative abundance of biconcave RBCs and a five-fold increase in the echinocyte population, while the number of spherocytes was not substantially affected, as compared to the RBCoxi sample. All three applied concentrations of PE, as well as TX, led to an increase in the number of biconcave cells by 1.5–2.1 times and a reduction in echinocytes by 0.6–0.8 times under the conditions of oxidative stress (Figure 2b).
Figure 2.
TBARS amount per mg Hb (a) and relative abundance of different morphological types (b) of RBCs subjected to 1 h treatment with different concentrations of catmint plant extract (PE) and 0.1 mM Trolox (TX) followed by 2 h in vitro oxidation by H2O2. The control RBCs were not exposed to either PE, TX, or H2O2 treatment, while RBCoxi is cells subjected to in vitro H2O2 oxidation. Mean ± SD.
The presented data clearly show that under our experimental conditions, the PE itself has no detrimental effect on RBC features. However, under the conditions of in vitro H2O2 oxidation, the PE does not express any protective effect towards the formation of TBARS and even induces a further increase in their values at the highest tested concentration. Surprisingly TX, a compound with well-established antioxidant properties, also did not reduce TBARS, which might be due to the short incubation period and/or the utilized concentration in the applied experimental protocol. Indeed, Antosik et al. [5] demonstrated a dose- and time-dependent effect of TX in long-term stored RBCs on membrane integrity, lipid peroxidation, and cellular morphology, with clear protective function only after 20 days of storage in TX supplemented medium.
A clear protective effect of the PE and TX was observed in the morphological features of the oxidized RBCs, with a similar extent for the 0.01–1 mg/mL PE range and 0.1 mM TX. This important finding strongly suggests that the PE stabilizes RBCs’ shape, which is essential for their functioning and resistance to different pathologies and ageing [6,7]. The mechanism of this process will be the subject of our future studies.
4. Conclusions
Our data showed that incubation of RBCs with 0.01–1 mg/mL aqueous catmint extract exhibits a protective effect on cell morphology under the conditions of H2O2-induced oxidative stress.
Author Contributions
Conceptualization, S.K. and M.Z.; methodology, S.P., N.M., M.Z. and V.S.; software, S.T.; validation, S.P. and N.M.; formal analysis, S.T.; investigation, S.P. and V.S.; resources, S.K. and M.Z.; data curation, S.P. and S.T.; writing—original draft preparation, S.K.; writing—review and editing, S.K., M.Z. and S.P.; visualization, S.K. and S.P.; supervision, S.K. and M.Z.; project administration, M.Z. and S.K.; funding acquisition, M.Z. All authors have read and agreed to the published version of the manuscript.
Funding
This research was funded by the Bulgarian National Science Fund (BNSF), grant number KP-06-N56/9/12.11.2021.
Institutional Review Board Statement
The study was conducted in accordance with the Declaration of Helsinki and approved by the Ethics Committee of the Institute of Biophysics and Biomedical Engineering, Bulgarian Academy of Sciences (protocol code 1271ND).
Informed Consent Statement
Informed consent was obtained from all subjects involved in the study.
Data Availability Statement
Data are available upon request.
Acknowledgments
Equipment of the Distributed Scientific Infrastructure INFRAMAT (National Roadmap of Bulgaria for Scientific Infrastructure), financially supported by the Ministry of Education and Science, was utilized.
Conflicts of Interest
The authors declare no conflict of interest.
References
- Luqman, S.; Kaushik, S.; Srivastava, S.; Kumar, R.; Bawankule, D.U.; Pal, A.; Darokar, M.P.; Khanuja, S.P.S. Protective effect of medicinal plant extracts on biomarkers of oxidative stress in erythrocytes. Pharmac. Biol. 2009, 47, 483–490. [Google Scholar] [CrossRef]
- Petrova, D.; Gašić, U.; Yocheva, L.; Hinkov, A.; Yordanova, Z.; Chaneva, G.; Mantovska, D.; Paunov, M.; Ivanova, L.; Rogova, M.; et al. Catmint (Nepeta nuda L.) phylogenetics and metabolic responses in variable growth conditions. Front. Plant Sci. 2022, 13, 866777. [Google Scholar] [CrossRef] [PubMed]
- Langari, A.; Strijkova, V.; Komsa-Penkova, R.; Danailova, A.; Krumova, S.; Taneva, S.G.; Giosheva, I.; Gartchev, E.; Kercheva, K.; Savov, A.; et al. Morphometric and nanomechanical features of erythrocytes characteristic of early pregnancy loss. Int. J. Mol. Sci. 2022, 23, 4512. [Google Scholar] [CrossRef] [PubMed]
- Gilbert, H.S.; Stump, D.D.; Roth, E.F., Jr. A method to correct for errors caused by generation of interfering compounds during erythrocyte lipid peroxidation. Anal. Biochem. 1984, 137, 282–286. [Google Scholar] [CrossRef] [PubMed]
- Antosik, A.; Czubak, K.; Cichon, N.; Nowak, P.; Zbikowska, H. Vitamin E analogue protects red blood cells against storage-induced oxidative damage. Transfus. Med. Hemother. 2018, 45, 347–354. [Google Scholar] [CrossRef] [PubMed]
- Kozlova, E.; Sergunova, V.; Sherstyukova, E.; Gudkova, O.; Kozlov, A.; Inozemtsev, V.; Lyapunova, S.; Chernysh, A. Topological relationships cytoskeleton-membrane nanosurface-morphology as a basic mechanism of total disorders of RBC structures. Int. J. Mol. Sci. 2022, 23, 2045. [Google Scholar] [CrossRef] [PubMed]
- Blat, A.; Stepanenko, T.; Bulat, K.; Wajda, A.; Dybas, J.; Mohaissen, T.; Alcicek, F.C.; Szczesny-Malysiak, E.; Malek, K.; Fedorowicz, A.; et al. Spectroscopic signature of red blood cells in a D-galactose-induced accelerated aging model. Int. J. Mol. Sci. 2021, 22, 2660. [Google Scholar] [CrossRef] [PubMed]
Disclaimer/Publisher’s Note: The statements, opinions and data contained in all publications are solely those of the individual author(s) and contributor(s) and not of MDPI and/or the editor(s). MDPI and/or the editor(s) disclaim responsibility for any injury to people or property resulting from any ideas, methods, instructions or products referred to in the content. |
© 2023 by the authors. Licensee MDPI, Basel, Switzerland. This article is an open access article distributed under the terms and conditions of the Creative Commons Attribution (CC BY) license (https://creativecommons.org/licenses/by/4.0/).

