Comparison of External Load across Multi-Day Tournaments in Female Youth Volleyball Athletes
Abstract
1. Introduction
2. Materials and Methods
2.1. Study Design
2.2. Participants
2.3. Measures
2.4. Statistical Analysis
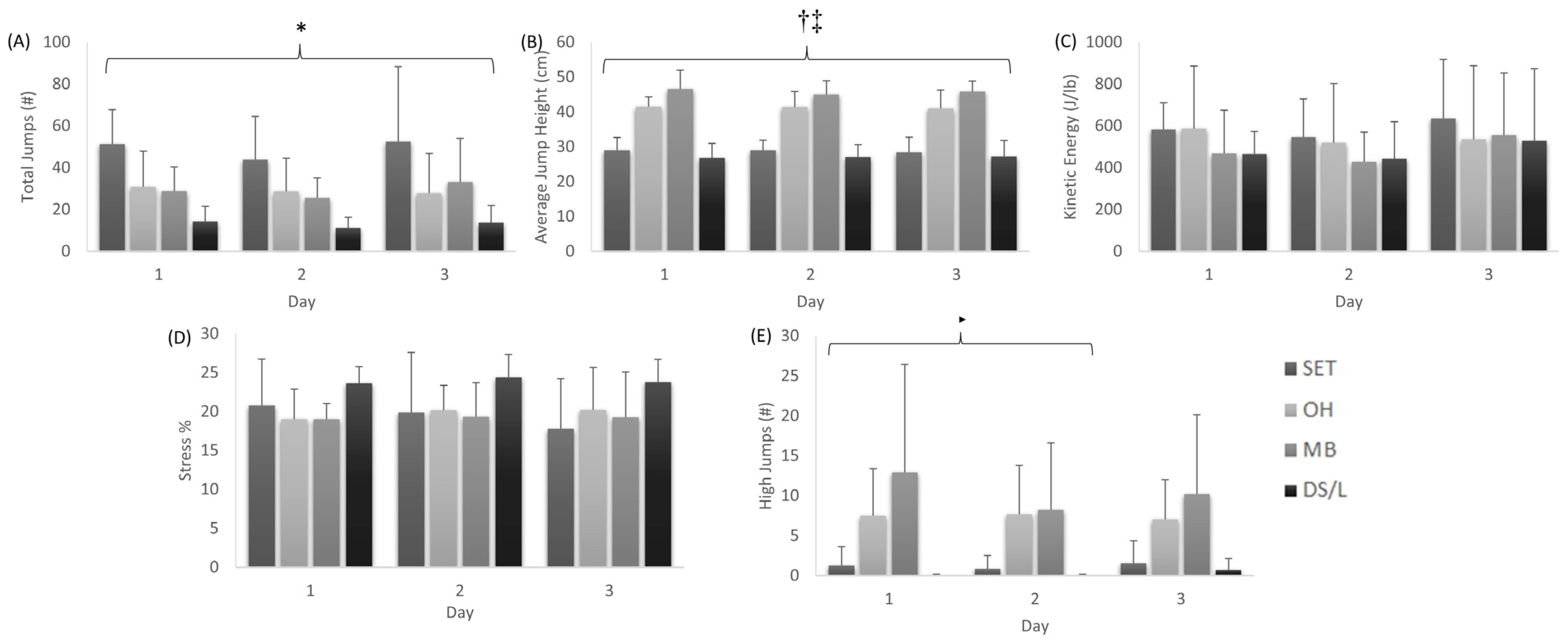
3. Results
4. Discussion
5. Conclusions
Author Contributions
Funding
Institutional Review Board Statement
Informed Consent Statement
Data Availability Statement
Conflicts of Interest
References
- García-de-Alcaraz, A.; Ramírez-Campillo, R.; Rivera-Rodríguez, M.; Romero-Moraleda, B. Analysis of jump load during a volleyball season in terms of player role. J. Sci. Med. Sport 2020, 23, 973–978. [Google Scholar] [CrossRef] [PubMed]
- Piatti, M.; Ambrosi, E.; Dedda, G.; Omeljaniuk, R.J.; Turati, M.; Bigoni, M.; Gaddi, D. Jump performance during a season in elite volleyball players. J. Sports Med. Phys. Fit. 2022, 62, 602–608. [Google Scholar] [CrossRef] [PubMed]
- Rush, M.E.; Littlefield, T.; McInnis, A.K.; Donahue, P.T. Positional Comparison of Jump Performance in NCAA Division I Female Volleyball Athletes. Int. J. Kinesiol. Sports Sci. 2022, 10, 1–6. [Google Scholar] [CrossRef]
- Vescovi, J.D.; Dunning, L.T. A Comparison of Positional jumping characteristics of NCAA Division I female volleyball teams: A Follow-up study. Int. J. Volleyb. Res. 2004, 7, 10–16. [Google Scholar]
- Munoz, M.A.; Bunn, J.A. Season phase comparison of training and game volume in female high school volleyball athletes. Women Sport Phys. Act. J. 2024, 32, 2023–2026. [Google Scholar] [CrossRef]
- Schumann, C.; Wojciechowski, M.; Bunn, J.A. Comparing two methods of acute: Chronic workload calculations in girls youth volleyball. Sports 2023, 11, 51. [Google Scholar] [CrossRef] [PubMed]
- Rodacki, A.L.F.; Fowler, N.E.; Bennett, S.J. Multi-segment coordination: Fatigue effects. Med. Sci. Sports Exerc. 2001, 33, 1157–1167. [Google Scholar] [CrossRef] [PubMed]
- Charlton, P.C.; Kenneally-Dabrowski, C.; Sheppard, J.; Spratford, W. A simple method for quantifying jump loads in volleyball athletes. J. Sci. Med. Sport 2017, 20, 241–245. [Google Scholar] [CrossRef] [PubMed]
- Brooks, E.R.; Benson, A.C.; Fox, A.S.; Bruce, L.M. Quantifying jumps and external load in netball using VERT inertial measurement units. Sports Biomech. 2021, 1–10. [Google Scholar] [CrossRef] [PubMed]
- Cohen, J. Statistical Power Analysis for the Behavioural Science, 2nd ed.; Routledge: New York, NY, USA, 1988. [Google Scholar]
- Mori, Y.; Yamada, Y.; Umezaki, S.; Kida, N.; Nomura, T. A study on the number of jumps and jump height in volleyball: From a mock game of college men players. Adv. Phys. Educ. 2022, 12, 1–10. [Google Scholar] [CrossRef]
- Skazalski, C.; Whiteley, R.; Bahr, R. High jump demands in professional volleyball—Large variability exists between players and player positions. Scand. J. Med. Sci. Sports 2018, 28, 2293–2298. [Google Scholar] [CrossRef] [PubMed]
- Lima, R.F.; Palao, J.M.; Clemente, F.M. Jump performance during official matches in elite volleyball players: A pilot study. J. Hum. Kinet. 2019, 67, 259. [Google Scholar] [CrossRef] [PubMed]
- Silva, M.; Sattler, T.; Lacerda, D.; João, P.V. Match analysis according to the performance of team rotations in Volleyball. Int. J. Perform. Anal. Sport 2016, 16, 1076–1086. [Google Scholar] [CrossRef]
- Hank, M.; Maly, T.; Zahalka, F.; Novotny, D.; Gryc, T.; Hrasky, P. Movement direction analysis in elite indoor volleyball match. Acta Kinesiol. 2019, 13, 22–28. [Google Scholar]
- Mendes, B.; Palao, J.M.; Silvério, A.; Owen, A.; Carriço, S.; Calvete, F.; Clemente, F.M. Daily and weekly training load and wellness status in preparatory, regular and congested weeks: A season-long study in elite volleyball players. Res. Sports Med. 2018, 26, 462–473. [Google Scholar] [CrossRef] [PubMed]
- Bozzini, B.N.; McFadden, B.A.; Walker, A.J.; Arent, S.M. Varying demands and quality of play between in-conference and out-of-conference games in Division I collegiate women’s soccer. J. Strength Cond. Res. 2020, 34, 3364–3368. [Google Scholar] [CrossRef] [PubMed]
- Thornton, A.; Myers, B.J.; Bunn, J.A. Comparison of in vs. out of conference game demands in collegiate Division I women’s lacrosse. J. Athl. Enhanc. 2021, 10, 1–4. [Google Scholar]

| SET | OH | MB | DS/L | |
|---|---|---|---|---|
| KE (J/lb) | 1: 583 ± 127 | 1: 587 ± 298 | 1: 467 ± 207 | 1: 465 ± 108 |
| 2: 546 ± 182 | 2: 519 ± 284 | 2: 427 ± 142 | 2: 442 ± 178 | |
| 3: 635 ± 282 | 3: 536 ± 351 | 3: 556 ± 298 | 3: 528 ± 348 | |
| TJ (number) | 1: 51.4 ± 16.4 | 1: 30.7 ± 17.3 | 1: 28.7 ± 11.6 | 1: 14.3 ± 7.2 |
| 2: 43.8 ± 20.7 | 2: 28.7 ± 15.8 | 2: 25.4 ± 9.7 | 2: 11.2 ± 5.2 | |
| 3: 52.4 ± 35.9 | 3: 27.7 ± 19.0 | 3: 33.2 ± 20.8 | 3: 13.8 ± 8.1 | |
| Avg Jump Ht (cm) | 1: 29.0 ± 3.6 | 1: 41.5 ± 2.8 | 1: 46.6 ± 5.4 | 1: 26.8 ± 4.2 |
| 2: 29.0 ± 2.9 | 2: 41.4 ± 4.4 | 2: 45.0 ± 3.9 | 2: 27.0 ± 3.6 | |
| 3: 28.4 ± 4.3 | 3: 41.0 ± 5.2 | 3: 45.8 ± 3.0 | 3: 27.2 ± 4.6 | |
| Stress % | 1: 20.8 ± 6.0 | 1: 19.0 ± 3.9 | 1: 19.0 ± 2.0 | 1: 23.6 ± 2.1 |
| 2: 19.8 ± 7.7 | 2: 20.2 ± 3.2 | 2: 19.3 ± 4.4 | 2: 24.4 ± 2.9 | |
| 3: 17.8 ± 6.4 | 3: 20.2 ± 5.5 | 3: 19.3 ± 5.8 | 3: 23.8 ± 2.9 | |
| HJ (number) | 1: 1.2 ± 2.4 | 1: 7.5 ± 5.9 | 1: 12.9 ± 13.6 | 1: 0.1 ± 0.1 |
| 2: 0.8 ± 1.7 | 2: 7.7 ± 6.1 | 2: 8.2 ± 8.4 | 2: 0.1 ± 0.1 | |
| 3: 1.5 ± 2.8 | 3: 7.0 ± 5.0 | 3: 10.2 ± 9.9 | 3: 0.7 ± 1.4 |
Disclaimer/Publisher’s Note: The statements, opinions and data contained in all publications are solely those of the individual author(s) and contributor(s) and not of MDPI and/or the editor(s). MDPI and/or the editor(s) disclaim responsibility for any injury to people or property resulting from any ideas, methods, instructions or products referred to in the content. |
© 2024 by the authors. Licensee MDPI, Basel, Switzerland. This article is an open access article distributed under the terms and conditions of the Creative Commons Attribution (CC BY) license (https://creativecommons.org/licenses/by/4.0/).
Share and Cite
Foster, E.; Bunn, J.A. Comparison of External Load across Multi-Day Tournaments in Female Youth Volleyball Athletes. Youth 2024, 4, 1152-1157. https://doi.org/10.3390/youth4030071
Foster E, Bunn JA. Comparison of External Load across Multi-Day Tournaments in Female Youth Volleyball Athletes. Youth. 2024; 4(3):1152-1157. https://doi.org/10.3390/youth4030071
Chicago/Turabian StyleFoster, Emani, and Jennifer A. Bunn. 2024. "Comparison of External Load across Multi-Day Tournaments in Female Youth Volleyball Athletes" Youth 4, no. 3: 1152-1157. https://doi.org/10.3390/youth4030071
APA StyleFoster, E., & Bunn, J. A. (2024). Comparison of External Load across Multi-Day Tournaments in Female Youth Volleyball Athletes. Youth, 4(3), 1152-1157. https://doi.org/10.3390/youth4030071

