Exploring the Association between Air Pollution and Active School Transportation: Perceptions of Children and Youth in India
Abstract
1. Introduction
2. Methods
2.1. Design
2.2. Study Recruitment and Participants
2.3. Measures
2.3.1. Sociodemographic Characteristics
2.3.2. Active Transportation
2.3.3. Perception of Air Pollution
2.3.4. Community and Built Environment
2.4. Statistical Analysis
3. Results
4. Discussion
Strengths and Limitations
5. Conclusions
Supplementary Materials
Author Contributions
Funding
Institutional Review Board Statement
Informed Consent Statement
Data Availability Statement
Acknowledgments
Conflicts of Interest
References
- Global Health Protection and Security. Available online: https://www.cdc.gov/globalhealth/healthprotection/ncd/global-ncd-overview.html (accessed on 30 August 2023).
- Noncommunicable Diseases: Mortality. Available online: https://www.who.int/data/gho/data/themes/topics/topic-details/GHO/ncd-mortality (accessed on 30 August 2023).
- Bai, J.; Cui, J.; Shi, F.; Yu, C. Global Epidemiological Patterns in the Burden of Main Non-Communicable Diseases, 1990–2019: Relationships With Socio-Demographic Index. Int. J. Public Health 2023, 68, 1605502. [Google Scholar] [CrossRef] [PubMed]
- Chronic Obstructive Pulmonary Disease (COPD). Available online: https://www.who.int/news-room/fact-sheets/detail/chronic-obstructive-pulmonary-disease-(copd) (accessed on 24 October 2023).
- Mohan, V. National Diabetes Prevention Programmes in LMICs Are Now a Necessity. Lancet Glob. Health 2023, 11, e1480–e1481. [Google Scholar] [CrossRef] [PubMed]
- Non Communicable Diseases. Available online: https://www.who.int/news-room/fact-sheets/detail/noncommunicable-diseases (accessed on 30 August 2023).
- Bennett, J.E.; Stevens, G.A.; Mathers, C.D.; Bonita, R.; Rehm, J.; Kruk, M.E.; Riley, L.M.; Dain, K.; Kengne, A.P.; Chalkidou, K.; et al. NCD Countdown 2030 collaborators NCD Countdown 2030: Worldwide Trends in Non-Communicable Disease Mortality and Progress towards Sustainable Development Goal Target 3.4. Lancet 2018, 392, 1072–1088. [Google Scholar] [CrossRef] [PubMed]
- India State-Level Disease Burden Initiative Collaborators. Nations within a Nation: Variations in Epidemiological Transition across the States of India, 1990-2016 in the Global Burden of Disease Study. Lancet 2017, 390, 2437–2460. [Google Scholar] [CrossRef] [PubMed]
- Lacombe, J.; Armstrong, M.E.G.; Wright, F.L.; Foster, C. The Impact of Physical Activity and an Additional Behavioural Risk Factor on Cardiovascular Disease, Cancer and All-Cause Mortality: A Systematic Review. BMC Public Health 2019, 19, 900. [Google Scholar] [CrossRef] [PubMed]
- Reiner, M.; Niermann, C.; Jekauc, D.; Woll, A. Long-Term Health Benefits of Physical Activity—A Systematic Review of Longitudinal Studies. BMC Public Health 2013, 13, 813. [Google Scholar] [CrossRef] [PubMed]
- Nelson, F.; Nyarko, K.M.; Binka, F.N. Prevalence of Risk Factors for Non-Communicable Diseases for New Patients Reporting to Korle-Bu Teaching Hospital. Ghana Med. J. 2015, 49, 12–18. [Google Scholar] [CrossRef] [PubMed][Green Version]
- Aubert, S.; Barnes, J.D.; Demchenko, I.; Hawthorne, M.; Abdeta, C.; Abi Nader, P.; Adsuar Sala, J.C.; Aguilar-Farias, N.; Aznar, S.; Bakalár, P.; et al. Global Matrix 4.0 Physical Activity Report Card Grades for Children and Adolescents: Results and Analyses From 57 Countries. J. Phys. Act. Health 2022, 19, 700–728. [Google Scholar] [CrossRef]
- Schoeppe, S.; Duncan, M.J.; Badland, H.; Oliver, M.; Curtis, C. Associations of Children’s Independent Mobility and Active Travel with Physical Activity, Sedentary Behaviour and Weight Status: A Systematic Review. J. Sci. Med. Sport 2013, 16, 312–319. [Google Scholar] [CrossRef]
- Prince, S.A.; Lancione, S.; Lang, J.J.; Amankwah, N.; de Groh, M.; Garcia, A.J.; Merucci, K.; Geneau, R. Are People Who Use Active Modes of Transportation More Physically Active? An Overview of Reviews across the Life Course. Transp. Rev. 2022, 42, 645–671. [Google Scholar] [CrossRef]
- Larouche, R.; Saunders, T.J.; Faulkner, G.E.J.; Colley, R.; Tremblay, M. Associations between Active School Transport and Physical Activity, Body Composition, and Cardiovascular Fitness: A Systematic Review of 68 Studies. J. Phys. Act. Health 2014, 11, 206–227. [Google Scholar] [CrossRef]
- Dinu, M.; Pagliai, G.; Macchi, C.; Sofi, F. Active Commuting and Multiple Health Outcomes: A Systematic Review and Meta-Analysis. Sports Med. 2019, 49, 437–452. [Google Scholar] [CrossRef] [PubMed]
- Benefits of Active School Travel. Available online: https://ontarioactiveschooltravel.ca/benefits-of-active-school-travel/ (accessed on 30 August 2023).
- Brand, C.; Götschi, T.; Dons, E.; Gerike, R.; Anaya-Boig, E.; Avila-Palencia, I.; de Nazelle, A.; Gascon, M.; Gaupp-Berghausen, M.; Iacorossi, F.; et al. The Climate Change Mitigation Impacts of Active Travel: Evidence from a Longitudinal Panel Study in Seven European Cities. Glob. Environ. Chang. 2021, 67, 102224. [Google Scholar] [CrossRef]
- Cycling and Walking Can Help Reduce Physical Inactivity and Air Pollution, Save Lives and Mitigate Climate Change. Available online: https://www.who.int/europe/news/item/07-06-2022-cycling-and-walking-can-help-reduce-physical-inactivity-and-air-pollution--save-lives-and-mitigate-climate-change (accessed on 30 August 2023).
- PBL Trends in Global CO2 and Total Greenhouse Gas Emissions: 2017 Report. Available online: https://www.pbl.nl/en/publications/trends-in-global-co2-and-total-greenhouse-gas-emissions-2017-report (accessed on 30 August 2023).
- Neves, A.; Brand, C. Assessing the Potential for Carbon Emissions Savings from Replacing Short Car Trips with Walking and Cycling Using a Mixed GPS-Travel Diary Approach. Transp. Res. Part A Policy Pract. 2019, 123, 130–146. [Google Scholar] [CrossRef]
- Active Travel Factsheet|Canadian Public Health Association. Available online: https://www.cpha.ca/active-travel-factsheet (accessed on 31 August 2023).
- Bhawra, J.; Khadilkar, A.; Krishnaveni, G.V.; Kumaran, K.; Katapally, T.R. The 2022 India Report Card on Physical Activity for Children and Adolescents. J. Exerc. Sci. Fit. 2023, 21, 74–82. [Google Scholar] [CrossRef] [PubMed]
- Hansmann, K.J.; Grabow, M.; McAndrews, C. Health Equity and Active Transportation: A Scoping Review of Active Transportation Interventions and Their Impacts on Health Equity. J. Transp. Health 2022, 25, 101346. [Google Scholar] [CrossRef]
- Rothman, L.; Macpherson, A.K.; Ross, T.; Buliung, R.N. The Decline in Active School Transportation (AST): A Systematic Review of the Factors Related to AST and Changes in School Transport over Time in North America. Prev. Med. 2018, 111, 314–322. [Google Scholar] [CrossRef]
- Sagaris, L.; Lanfranco, D. Beyond “Safe”: Chilean “Kool” Routes to School Address Social Determinants of Health. J. Transp. Health 2019, 15, 100665. [Google Scholar] [CrossRef]
- Ross, A.; Rodríguez, A.; Searle, M. Associations between the Physical, Sociocultural, and Safety Environments and Active Transportation to School. Am. J. Health Educ. 2017, 48, 198–209. [Google Scholar] [CrossRef]
- Guttikunda, S.K.; Goel, R.; Pant, P. Nature of Air Pollution, Emission Sources, and Management in the Indian Cities. Atmos. Environ. 2014, 95, 501–510. [Google Scholar] [CrossRef]
- Hama, S.M.L.; Kumar, P.; Harrison, R.M.; Bloss, W.J.; Khare, M.; Mishra, S.; Namdeo, A.; Sokhi, R.; Goodman, P.; Sharma, C. Four-Year Assessment of Ambient Particulate Matter and Trace Gases in the Delhi-NCR Region of India. Sustain. Cities Soc. 2020, 54, 102003. [Google Scholar] [CrossRef]
- USEPA Organization. Climate Change Indicators: Heat Waves. Available online: https://www.epa.gov/climate-indicators/climate-change-indicators-heat-waves (accessed on 22 September 2023).
- Park, K.; Jin, H.-G.; Baik, J.-J. Do Heat Waves Worsen Air Quality? A 21-Year Observational Study in Seoul, South Korea. Sci. Total Environ. 2023, 884, 163798. [Google Scholar] [CrossRef] [PubMed]
- How Weather Affects Air Quality. Available online: https://scied.ucar.edu/learning-zone/air-quality/how-weather-affects-air-quality (accessed on 22 September 2023).
- Government of Ontario, Ministry of the Environment. AQHI Categories and Health Messages. Available online: https://www.airqualityontario.com/aqhi/health_messages.php (accessed on 22 September 2023).
- National Clean Air Programme. Mumbai’s Unusually High Air Pollution Levels in February 2023: An Analysis. 2023. Available online: https://climatetrends.in/wp-content/uploads/2023/04/Mumbai-AQ-Analysis-Feb-2023-.pdf (accessed on 22 September 2023).
- Energy Policy Institute at the University of Chicago. Air Pollution and Its Threat to Health Are Unequally Spread Throughout the World, and so Are the Opportunities to Combat It. AQLI 2023. Available online: https://aqli.epic.uchicago.edu/news/air-pollution-and-its-threat-to-health-are-unequally-spread-throughout-the-world-and-so-are-the-opportunities-to-combat-it/ (accessed on 22 September 2023).
- Tainio, M.; Jovanovic Andersen, Z.; Nieuwenhuijsen, M.J.; Hu, L.; de Nazelle, A.; An, R.; Garcia, L.M.T.; Goenka, S.; Zapata-Diomedi, B.; Bull, F.; et al. Air Pollution, Physical Activity and Health: A Mapping Review of the Evidence. Environ. Int. 2021, 147, 105954. [Google Scholar] [CrossRef] [PubMed]
- Ambient (Outdoor) Air Pollution. Available online: https://www.who.int/news-room/fact-sheets/detail/ambient-(outdoor)-air-quality-and-health (accessed on 30 August 2023).
- Health Impacts. Available online: https://www.who.int/teams/environment-climate-change-and-health/air-quality-and-health/health-impacts (accessed on 30 August 2023).
- Herrera, C.; Cabrera-Barona, P. Impact of Perceptions of Air Pollution and Noise on Subjective Well-Being and Health. Earth 2022, 3, 825–838. [Google Scholar] [CrossRef]
- Daniel, L.; Michot, M.; Esvan, M.; Guérin, P.; Chauvet, G.; Pelé, F. Perceptions, Knowledge, and Practices Concerning Indoor Environmental Pollution of Parents or Future Parents. Int. J. Environ. Res. Public Health 2020, 17, 7669. [Google Scholar] [CrossRef] [PubMed]
- E-Journal Bonus Article: A Study of Parents’ Perception of Air Pollution and Its Effect on Their Children’s Respiratory Health in Nanchang, China. Available online: https://www.neha.org/perception-of-air-pollution-effects-on-children (accessed on 22 September 2023).
- Hunter, S.; Spence, J.C.; Leatherdale, S.T.; Carson, V. Associations Between Parent’s Perceived Neighbourhood Environment and Objectively Measured Walkability With Their Children’s Physical Activity. J. Phys. Act. Health 2022, 19, 811–819. [Google Scholar] [CrossRef]
- Wang, Y.; He, G.; Ma, K.; Li, D.; Wang, C. Preschool Children’s Physical Activity and Community Environment: A Cross-Sectional Study of Two Cities in China. Int. J. Environ. Res. Public Health 2022, 19, 14797. [Google Scholar] [CrossRef]
- Waters, A.R.; Warner, E.L.; Vaca Lopez, P.L.; Kirchhoff, A.C.; Ou, J.Y. Perceptions and Knowledge of Air Pollution and Its Health Effects among Caregivers of Childhood Cancer Survivors: A Qualitative Study. BMC Cancer 2021, 21, 1070. [Google Scholar] [CrossRef]
- Ikeda, E.; Hinckson, E.; Witten, K.; Smith, M. Assessment of Direct and Indirect Associations between Children Active School Travel and Environmental, Household and Child Factors Using Structural Equation Modelling. Int. J. Behav. Nutr. Phys. Act. 2019, 16, 32. [Google Scholar] [CrossRef]
- Vispute, S.; Mandlik, R.; Gondhalekar, K.; Patwardhan, V.; Khadilkar, V. Influence of Ecoregional and Lifestyle Factors on Growth and Body Composition of Indian Children and Adolescents Aged 9–18 Years—A Multicenter Study. Am. J. Hum. Biol. 2023, 35, e23850. [Google Scholar] [CrossRef]
- Khadilkar, A.; Kajale, N.; Oza, C.; Oke, R.; Gondhalekar, K.; Patwardhan, V.; Khadilkar, V.; Mughal, Z.; Padidela, R. Vitamin D Status and Determinants in Indian Children and Adolescents: A Multicentre Study. Sci. Rep. 2022, 12, 16790. [Google Scholar] [CrossRef] [PubMed]
- Larouche, R.; Oyeyemi, A.L.; Prista, A.; Onywera, V.; Akinroye, K.K.; Tremblay, M.S. A Systematic Review of Active Transportation Research in Africa and the Psychometric Properties of Measurement Tools for Children and Youth. Int. J. Behav. Nutr. Phys. Act. 2014, 11, 129. [Google Scholar] [CrossRef] [PubMed]
- Sperandei, S. Understanding Logistic Regression Analysis. Biochem. Med. 2014, 24, 12–18. [Google Scholar] [CrossRef] [PubMed]
- RStudio Team RStudio. Integrated Development Environment for Rc 2015. Available online: http://www.rstudio.com/ (accessed on 22 September 2023).
- Ramanathan, S.; O’Brien, C.; Faulkner, G.; Stone, M. Happiness in Motion: Emotions, Well-Being, and Active School Travel. J. Sch. Health 2014, 84, 516–523. [Google Scholar] [CrossRef] [PubMed]
- Nyström, M.; Henriksson, M.; Lindqvist, A.-K.; Rutberg, S. Making the Right Decision for Our Children’s Future: Parents’ Perceptions of Active School Travel in Disadvantaged Neighbourhoods. J. Transp. Health 2023, 30, 101617. [Google Scholar] [CrossRef]
- Forsberg, H.; Rutberg, S.; Mikaelsson, K.; Lindqvist, A.-K. It’s about Being the Good Parent: Exploring Attitudes and Beliefs towards Active School Transportation. Int. J. Circumpolar Health 2020, 79, 1798113. [Google Scholar] [CrossRef] [PubMed]
- Fan, Y.; Palacios, J.; Arcaya, M.; Luo, R.; Zheng, S. Health Perception and Commuting Choice: A Survey Experiment Measuring Behavioral Trade-Offs between Physical Activity Benefits and Pollution Exposure Risks. Environ. Res. Lett. 2021, 16, 054026. [Google Scholar] [CrossRef]
- Wang, X.; Liu, Y.; Yao, Y.; Zhou, S.; Zhu, Q.; Liu, M.; Helbich, M. Adolescents’ Environmental Perceptions Mediate Associations between Streetscape Environments and Active School Travel. Transp. Res. Part D Transp. Environ. 2023, 114, 103549. [Google Scholar] [CrossRef]
- Kingsly, A.; Timperio, A.; Veitch, J.; Salmon, J.; Pradeepa, R.; Ranjani, H.; Anjana, R.M. Individual, Social and Environmental Correlates of Active School Travel among Adolescents in India. Int. J. Environ. Res. Public Health 2020, 17, 7496. [Google Scholar] [CrossRef]
- Katapally, T.R.; Goenka, S.; Bhawra, J.; Mani, S.; Krishnaveni, G.V.; Kehoe, S.H.; Lamkang, A.S.; Raj, M.; McNutt, K. Results From India’s 2016 Report Card on Physical Activity for Children and Youth. J. Phys. Act. Health 2016, 13, S176–S182. [Google Scholar] [CrossRef]
- Bhawra, J.; Chopra, P.; Harish, R.; Mohan, A.; Ghattu, K.V.; Kalyanaraman, K.; Katapally, T.R. Results from India’s 2018 Report Card on Physical Activity for Children and Youth. J. Phys. Act. Health 2018, 15, S373–S374. [Google Scholar] [CrossRef] [PubMed]
- Singh, V.; Meena, K.K.; Agarwal, A. Travellers’ Exposure to Air Pollution: A Systematic Review and Future Directions. Urban Clim. 2021, 38, 100901. [Google Scholar] [CrossRef]
- Janssen, I. Crime and Perceptions of Safety in the Home Neighbourhood Are Independently Associated with Physical Activity among 11-15 Year Olds. Prev. Med. 2014, 66, 113–117. [Google Scholar] [CrossRef] [PubMed]
- Aziz, H.M.A.; Nagle, N.N.; Morton, A.M.; Hilliard, M.R.; White, D.A.; Stewart, R.N. Exploring the Impact of Walk–Bike Infrastructure, Safety Perception, and Built-Environment on Active Transportation Mode Choice: A Random Parameter Model Using New York City Commuter Data. Transportation 2018, 45, 1207–1229. [Google Scholar] [CrossRef]
- Yang, T. Association between Perceived Environmental Pollution and Health among Urban and Rural Residents-a Chinese National Study. BMC Public Health 2020, 20, 194. [Google Scholar] [CrossRef] [PubMed]
- Orru, K.; Nordin, S.; Harzia, H.; Orru, H. The Role of Perceived Air Pollution and Health Risk Perception in Health Symptoms and Disease: A Population-Based Study Combined with Modelled Levels of PM10. Int. Arch. Occup. Environ. Health 2018, 91, 581–589. [Google Scholar] [CrossRef] [PubMed]
- Grieco, E. For Many Rural Residents in U.S., Local News Media Mostly Don’t Cover the Area Where They Live; Pew Research Center: Washington, DC, USA, 2019; Available online: https://www.pewresearch.org/short-reads/2019/04/12/for-many-rural-residents-in-u-s-local-news-media-mostly-dont-cover-the-area-where-they-live/ (accessed on 22 September 2023).
- Lee, E.-Y.; Shih, A.-C.; Collins, M.; Kim, Y.-B.; Nader, P.A.; Bhawra, J.; Katapally, T.R.; Tanaka, C.; Saonuam, P.; Katewongsa, P.; et al. Report Card Grades on Physical Activity for Children and Adolescents from 18 Asian Countries: Patterns, Trends, Gaps, and Future Recommendations. J. Exerc. Sci. Fit. 2023, 21, 34–44. [Google Scholar] [CrossRef]
- Ambient Lighting, Use of Outdoor Spaces and Perceptions of Public Safety: Evidence from a Survey Experiment|SpringerLink. Available online: https://link.springer.com/article/10.1057/s41284-021-00296-0 (accessed on 11 October 2023).
- Kawathekar Thakare, K. Rajesh. Assessing Urban and Rural Infrastructure Development in Agrarian India Towards Sustainability Planning and Management 2019. Available online: https://papers.ssrn.com/sol3/papers.cfm?abstract_id=3367619 (accessed on 22 September 2023).
- Buliung, R.N.; Larsen, K.; Faulkner, G.; Ross, T. Children’s Independent Mobility in the City of Toronto, Canada. Travel. Behav. Soc. 2017, 9, 58–69. [Google Scholar] [CrossRef]
- Ghekiere, A.; Deforche, B.; Carver, A.; Mertens, L.; de Geus, B.; Clarys, P.; Cardon, G.; Bourdeaudhuij, I.D.; Cauwenberg, J.V. Insights into Children’s Independent Mobility for Transportation Cycling—Which Socio-Ecological Factors Matter? J. Sci. Med. Sport 2017, 20, 267–272. [Google Scholar] [CrossRef]
- Riazi, N.A.; Blanchette, S.; Trudeau, F.; Larouche, R.; Tremblay, M.S.; Faulkner, G. Correlates of Children’s Independent Mobility in Canada: A Multi-Site Study. Int. J. Environ. Res. Public Health 2019, 16, 2862. [Google Scholar] [CrossRef]
- Cops, D. Socializing into Fear: The Impact of Socializing Institutions on Adolescents’ Fear of Crime. YOUNG 2010, 18, 385–402. [Google Scholar] [CrossRef]
- Reyes Pérez, V.; Rodríguez, A.R.; Alcázar Olán, R.J.; Reidl Martínez, L.M. Coping Strategies Assumed by Teenagers in Situations That Cause Fear. Psicogente 2017, 20, 240–255. [Google Scholar] [CrossRef]
- Collins, R.E. Addressing the Inconsistencies in Fear of Crime Research: A Meta-Analytic Review. J. Crim. Justice 2016, 47, 21–31. [Google Scholar] [CrossRef]
- Female Attendant Must in School Bus|Indore News—Times of India. Available online: https://timesofindia.indiatimes.com/city/indore/female-attendant-must-in-school-bus/articleshow/54440339.cms (accessed on 25 September 2023).
- Bere, E.; Børrestad, L. Test-Retest Reliability of a New Self Reported Comprehensive Questionnaire Measuring Frequencies of Different Modes of Adolescents Commuting to School and Their Parents Commuting to Work—The ATN Questionnaire. Int. J. Behav. Nutr. Phys. Act. 2009, 6, 68. [Google Scholar] [CrossRef] [PubMed]
- Katapally, T.R.; Chu, L.M. Digital Epidemiological and Citizen Science Methodology to Capture Prospective Physical Activity in Free-Living Conditions: A SMART Platform Study. BMJ Open 2020, 10, e036787. [Google Scholar] [CrossRef] [PubMed]
- Ibrahim, S.T.; Hammami, N.; Katapally, T.R. Traditional Surveys versus Ecological Momentary Assessments: Digital Citizen Science Approaches to Improve Ethical Physical Activity Surveillance among Youth. PLOS Digit. Health 2023, 2, e0000294. [Google Scholar] [CrossRef] [PubMed]
- Katapally, T.R.; Bhawra, J.; Patel, P. A Systematic Review of the Evolution of GPS Use in Active Living Research: A State of the Evidence for Research, Policy, and Practice. Health Place 2020, 66, 102453. [Google Scholar] [CrossRef]
- Muhajarine, N.; Katapally, T.R.; Fuller, D.; Stanley, K.G.; Rainham, D. Longitudinal Active Living Research to Address Physical Inactivity and Sedentary Behaviour in Children in Transition from Preadolescence to Adolescence. BMC Public Health 2015, 15, 495. [Google Scholar] [CrossRef]
- Katapally, T.R.; Rainham, D.; Muhajarine, N. Factoring in Weather Variation to Capture the Influence of Urban Design and Built Environment on Globally Recommended Levels of Moderate to Vigorous Physical Activity in Children. BMJ Open 2015, 5, e009045. [Google Scholar] [CrossRef]
- Katapally, T.R.; Rainham, D.; Muhajarine, N. A Methodology to Leverage Cross-Sectional Accelerometry to Capture Weather’s Influence in Active Living Research. Can. J. Public Health 2016, 107, e30–e36. [Google Scholar] [CrossRef]
- Katapally, T.R.; Rainham, D.; Muhajarine, N. The Influence of Weather Variation, Urban Design and Built Environment on Objectively Measured Sedentary Behaviour in Children. AIMS Public Health 2016, 3, 663–681. [Google Scholar] [CrossRef]
- Santos, M.P.; Pizarro, A.N.; Mota, J.; Marques, E.A. Parental Physical Activity, Safety Perceptions and Children’s Independent Mobility. BMC Public Health 2013, 13, 584. [Google Scholar] [CrossRef]
- Bhawra, J.; Skinner, K.; Favel, D.; Green, B.; Coates, K.; Katapally, T.R. The Food Equity and Environmental Data Sovereignty (FEEDS) Project: Protocol for a Quasi-Experimental Study Evaluating a Digital Platform for Climate Change Preparedness. JMIR Res. Protoc. 2021, 10, e31389. [Google Scholar] [CrossRef]
- Katapally, T.R. The SMART Framework: Integration of Citizen Science, Community-Based Participatory Research, and Systems Science for Population Health Science in the Digital Age. JMIR Mhealth Uhealth 2019, 7, e14056. [Google Scholar] [CrossRef]
- Katapally, T.R.; Bhawra, J.; Leatherdale, S.T.; Ferguson, L.; Longo, J.; Rainham, D.; Larouche, R.; Osgood, N. The SMART Study, a Mobile Health and Citizen Science Methodological Platform for Active Living Surveillance, Integrated Knowledge Translation, and Policy Interventions: Longitudinal Study. JMIR Public. Health Surveill. 2018, 4, e31. [Google Scholar] [CrossRef]


| Total (n = 992) | ||
|---|---|---|
| Sample Characteristics | N | % |
| Gender | ||
| Male | 499 | 50.3 |
| Female | 493 | 49.7 |
| Location | ||
| Rural | 400 | 40.3 |
| Urban | 592 | 59.7 |
| Age Group | ||
| 5 to 12 years | 547 | 55.1 |
| 13 to 17 years | 445 | 44.9 |
| Perception of Air Pollution as a Problem | Active School Transportation | |||
|---|---|---|---|---|
| Category | Agree n (%) | Disagree n (%) | Yes n (%) | No n (%) |
| Male | 269 (58.3%) | 192 (41.7%) | 186 (37.3) | 312 (62.7) |
| Female | 259 (60.1%) | 172 (39.9%) | 151 (30.6) | 342 (69.4) |
| Urban | 366 (73.5%) | 132 (26.5%) | 87 (14.7) | 504 (85.3) |
| Rural | 162 (41.1%) | 232 (58.9%) | 250 (62.5) | 150 (37.5) |
| Aged 5 to 12 | 287 (59.9%) | 192 (41.1%) | 153 (28.9) | 376 (71.1) |
| Aged 13 to 17 | 228 (57.4%) | 169 (42.6%) | 181 (40.8) | 263 (59.2) |
| Overall | 528 (59.1%) | 364 (40.9%) | 337 (34.0) | 654 (66.0) |
| Outcome Variable—Active School Transport: Yes | |
|---|---|
| Odds Ratio (95% Confidence Intervals) | |
| Air pollution problem: Agree | 0.617 * (0.412, 0.923) |
| Disagree—(Ref) | |
| The crime rate in my neighbourhood makes it unsafe to go on walks: Agree | 0.486 * (0.269, 0.875) |
| Disagree—(Ref) | |
| There is so much traffic that it makes it difficult or unpleasant to walk in my neighbourhood: Agree | 0.662 (0.433, 1.008) |
| Disagree—(Ref) | |
| My neighbourhood streets are well lit at night: Agree | 1.590 (0.993, 2.568) |
| Disagree—(Ref) | |
| There are trees along the streets in my neighbourhood: Agree | 0.600 * (0.388, 0.924) |
| Disagree—(Ref) | |
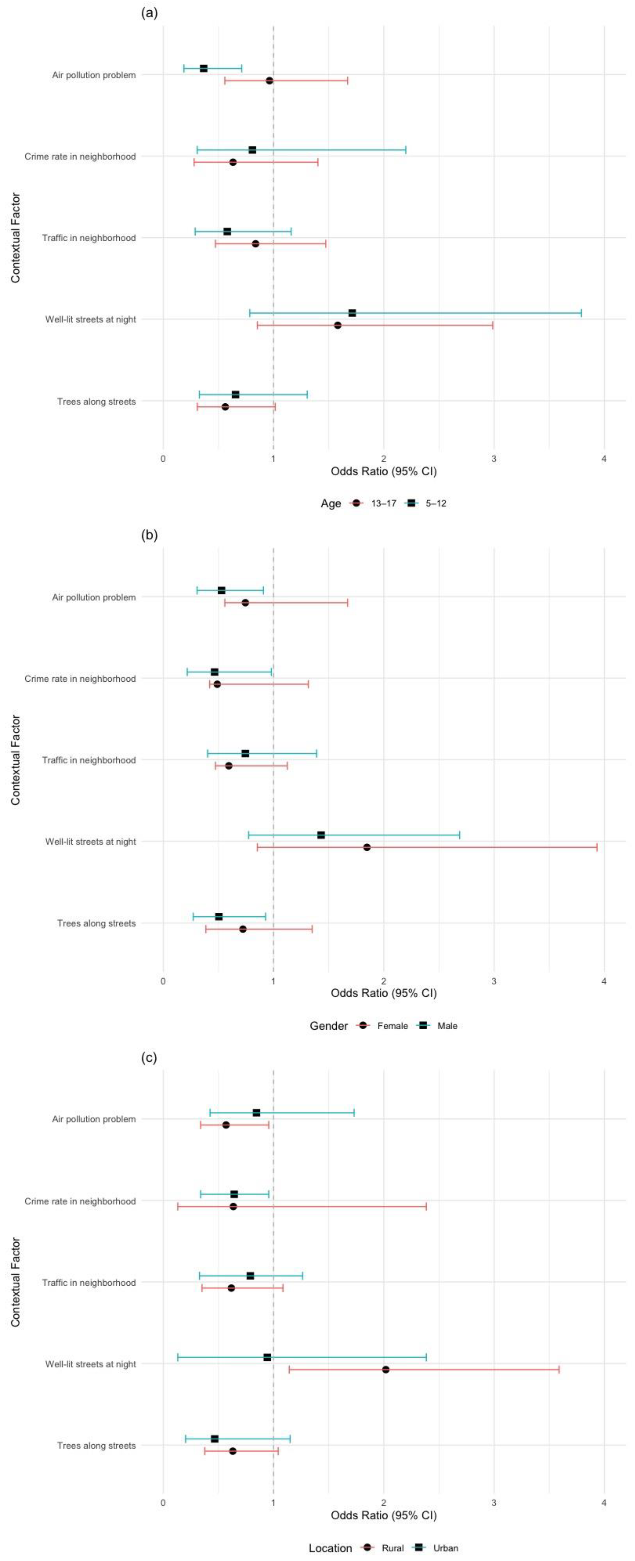
| Outcome Variable—Active School Transport: Yes | ||||||
|---|---|---|---|---|---|---|
| Odds Ratio (95% Confidence Intervals) | ||||||
| Age Group (Years) | Gender | Location | ||||
| 5 to 12 a | 13 to 17 a | Male b | Female b | Urban c | Rural c | |
| Air pollution problem: Agree | 0.366 * (0.187, 0.711) | 0.963 (0.558, 1.671) | 0.528 * (0.306, 0.908) | 0.744 (0.402, 1.390) | 0.845 (0.424, 1.730) | 0.569 * (0.338, 0.956) |
| Disagree—(Ref) | ||||||
| The crime rate in my neighbourhood makes it unsafe to go on walks: Agree | 0.808 (0.307, 2.199) | 0.632 (0.279, 1.402) | 0.465 * (0.217, 0.980) | 0.489 (0.187, 1.300) | 0.643 (0.328, 1.264) | 0.635 (0.131, 2.385) |
| Disagree—(Ref) | ||||||
| There is so much traffic that it makes it difficult or unpleasant to walk in my neighbourhood: Agree | 0.580 (0.289, 1.159) | 0.837 (0.473, 1.473) | 0.744 (0.420, 1.315) | 0.594 (0.312, 1.124) | 0.789 (0.402, 1.533) | 0.617 (0.351, 1.085) |
| Disagree—(Ref) | ||||||
| My neighbourhood streets are well lit at night: Agree | 1.713 (0.784, 3.792) | 1.582 (0.853, 2.987) | 1.431 (0.774, 2.687) | 1.847 (0.887, 3.933) | 0.943 (0.425, 2.285) | 2.018 * (1.142, 3.589) |
| Disagree—(Ref) | ||||||
| There are trees along the streets in my neighbourhood: Agree | 0.655 (0.327, 1.305) | 0.562 (0.308, 1.015) | 0.504 * (0.271, 0.927) | 0.722 (0.386, 1.350) | 0.466 (0.202, 1.150) | 0.630 (0.376, 1.042) |
| Disagree—(Ref) | ||||||
Disclaimer/Publisher’s Note: The statements, opinions and data contained in all publications are solely those of the individual author(s) and contributor(s) and not of MDPI and/or the editor(s). MDPI and/or the editor(s) disclaim responsibility for any injury to people or property resulting from any ideas, methods, instructions or products referred to in the content. |
© 2023 by the authors. Licensee MDPI, Basel, Switzerland. This article is an open access article distributed under the terms and conditions of the Creative Commons Attribution (CC BY) license (https://creativecommons.org/licenses/by/4.0/).
Share and Cite
Bhawra, J.; Patel, J.; Khadilkar, A.; Katapally, T.R. Exploring the Association between Air Pollution and Active School Transportation: Perceptions of Children and Youth in India. Youth 2023, 3, 1406-1420. https://doi.org/10.3390/youth3040088
Bhawra J, Patel J, Khadilkar A, Katapally TR. Exploring the Association between Air Pollution and Active School Transportation: Perceptions of Children and Youth in India. Youth. 2023; 3(4):1406-1420. https://doi.org/10.3390/youth3040088
Chicago/Turabian StyleBhawra, Jasmin, Jamin Patel, Anuradha Khadilkar, and Tarun Reddy Katapally. 2023. "Exploring the Association between Air Pollution and Active School Transportation: Perceptions of Children and Youth in India" Youth 3, no. 4: 1406-1420. https://doi.org/10.3390/youth3040088
APA StyleBhawra, J., Patel, J., Khadilkar, A., & Katapally, T. R. (2023). Exploring the Association between Air Pollution and Active School Transportation: Perceptions of Children and Youth in India. Youth, 3(4), 1406-1420. https://doi.org/10.3390/youth3040088

