Abstract
Nickel oxyhydroxides (NiOOHs) are well-known for their superior activity toward oxygen evolution reaction (OER) in alkaline solutions. However, their activity toward oxygen reduction reaction (ORR) has been largely unexplored. There exist three NiOOH polymorphs: α-, β-, and γ-NiOOH, characterized by different interlayer spacing. Although still debated, γ-NiOOH with a large layer spacing has been indicated as the active phase for OER. Here, a highly crystalline γ-NiOOH was prepared in a carbon matrix by the in situ electrochemical transformation of nickel dithiooxamide Ni(dto) in 1 M KOH solution. The catalyst prepared in this way showed low overpotential not only for OER, but also for ORR in alkaline solutions. The onset potential for ORR is ~0.81 V vs. RHE, and the reaction proceeds via the 2e− transfer pathway. The high OER catalytic activity and relatively low ORR overpotential make this nanocomposite catalyst a good candidate for bifunctional OER/ORR catalyst, stable in alkaline solutions.
1. Introduction
Oxygen electrocatalysis is of great significance in the development of a number of chemical energy conversion technologies due to their reliance on the electrochemistry of oxygen [1,2,3]. Among the various electrochemical energy storage devices, metal–air rechargeable batteries are by far the most attractive because of their high theoretical specific energy densities, which are close to the energy density of gasoline [4,5,6,7,8]. Such high energy density is due to the fact that one of the reactants, O2, is not stored in the battery cell, which greatly reduces the weight of the cell [9,10]. In the metal–air batteries, oxygen is continuously supplied from the atmospheric air to the electrode through the membrane present at the inlet of the air electrode [11,12]. During battery discharge, the oxygen reduction reaction (ORR) occurs and on charging, O2 is produced from the oxygen evolution reaction (OER). The challenge in the commercialization of metal–air batteries lies in the design of an efficient bifunctional electrocatalyst that can accelerate both reactions [13,14,15].
Of the 3d transition metals, nickel (oxy)hydroxides have been found to be the most active toward OER in alkaline media. Particularly, Fe-doped nickel oxyhydroxide (Fe-NiOOH) shows a low OER overpotential and Tafel slopes, indicating fast reaction kinetics [16]. NiOOH is a 2D-layered compound, known to exist in three different polymorphs (α, β and γ) with different interlayer spacing and atom stacking sequence. For β- and γ-NiOOH, the exact atomic-scale structures are not known due to poor diffraction patterns and the ambiguity of H atom positions [17,18]. There is, however, an agreement that both β- and γ-NiOOH comprise of NiO2 sheets having an octahedral nickel environment. The β-NiOOH has a hexagonal unit cell, while γ-NiOOH has a rhombohedral with an elongated c-axis [19]. The interlayer distance in β- and γ-NiOOH is 4.84 Å and 6.9 Å, respectively [18]. γ-NiOOH contains intercalated alkali metals and host water and anions in the interlayer spaces. The average oxidation state of nickel atoms in β-NiOOH and γ-NiOOH is ~3 and 3.3–3.75, respectively [20,21]. The mechanism of the OER activity of these oxyhydroxides is still a matter of active debate [22]. Some theoretical studies indicate that β-NiOOH is the active phase [23], and some that it is the γ-NiOOH phase, which is mainly present at OER potentials according to operando XRD, Raman, and XANES studies [20]. The activity of specific sites on γ-NiOOH has been the subject of several theoretical studies. Using first-principle calculations, Li et al. showed that four-coordinated nickel ions at the edge sites are the active sites on a defective (012) γ-NiOOH surface. The OER overpotential for the pristine surface was calculated to be 700 mV, while on the defective γ-NiOOH surface, it was reduced to 400 mV [22].
Although NiOOH and Fe-doped NiOOH are well-known for their superior catalytic activity toward OER in alkaline solutions, their electrochemical activity toward ORR has been largely unexplored. Liu et al. investigated ORR activity in 1 M KOH for carbon supported Ni and Co hydroxides. According to their study, ORR on Co and Ni proceeds simultaneously via the 2e− and 4e− transfer pathways. Recent theoretical studies by Zhao et al. evaluated the overpotentials for ORR at pH = 0 on 3d-metal oxides, hydroxides, and oxyhydroxides according to the single-site associative reduction mechanism. According to the calculated ORR activity map, Fe, Co, and Mn (oxy)(hydro)oxides are the most active toward ORR. However, the electrochemical activities of those oxyhydroxides in alkaline solutions have not been predicted and remain to be studied. Thus far, platinum remains the most active ORR catalyst, but its usage should be avoided due to economic and supply constraints.
The bifunctional character of layered transition metal oxyhydroxides in alkaline media was assessed by Zhao et al. using density functional theory (DFT) calculations. The study indicated that NiOOH has an excellent OER activity in alkaline solutions, with an overpotential of 380 mV. Meanwhile, the overpotential for ORR was calculated to be 660 mV, assuming that the reaction takes place on the exposed edge-metal sites [24]. Outstanding OER activity combined with a moderate ORR activity makes NiOOH a promising candidate for bifunctional electrocatalyst in alkaline media that can replace the usage of noble metal catalysts [24]. It is, however, difficult to prepare nano-sized NiOOH using Ni(OH)2 as a precursor. Liu et al. succeeded in preparing γ-NiOOH using a sonochemical method, but with low yield and poor crystallinity [20].
Here, we obtained a highly-crystalline γ-NiOOH dispersed in a carbon matrix using the in situ electrochemical transformation of nickel dithiooxamide, Ni(dto), in a nitrogen saturated 1 M KOH solution. Ni(dto) is a layered coordination polymer. Such coordination polymers create unique spatial architectures that can serve as a precursor for the fabrication of catalysts in which each metal atom is accessible in the course of the reaction. In general, coordination polymers are thermally stable and are insoluble in common solvents. These properties make them attractive in the field of electrocatalysis. The electrocatalytic performance of the nanocomposite derived from Ni(dto) was investigated in alkaline solutions using cyclic voltammetry (CV), rotating disk electrode (RDE), and linear sweep voltammetry (LSV) under nitrogen- or oxygen-saturated conditions. The γ-NiOOH composite prepared in this way was found to exhibit bifunctional electrocatalytic activity toward ORR and OER with catalytic parameters close to that of the benchmark Pt. catalyst.
2. Materials and Methods
2.1. Materials
Nickel(II) sulfate hexahydrate (NiSO46H2O, >98%), N-methyl-2-pyrrolidine (NMP, 99.5%), platinum on graphitized carbon (Pt/C, 40% (w/w)), ferrocenemethanol (FcCH2OH, 97%), and potassium chloride (KCl, >99.99%) were purchased from Sigma Aldrich. Dithiooxamide (dto) (C2H4N2S2, 98%), ethanol (C2H5OH, 99.5%), and potassium hydroxide (KOH, >85% Fe < 0.002%) were purchased from FUJIFIM Wako Pure Chemicals Co. Polyvinylidene fluoride (PVDF) used as a binder was obtained from Kureha. Acetylene black (99.99%), used as a conducting additive, was purchased from Strem Chemicals. All chemicals were used as supplied by the manufacturers without further purification. Deionized water with a specific resistance of 18.2 MΩ and a total organic carbon (TOC) value below 4 ppm was used throughout this study. A 47-mm-diameter filter membrane with 0.45 µm pore size, made of PTFE, was purchased from Merck. A glassy carbon-rotating disk electrode (GC-RDE) with a diameter of 3 mm, a Hg/HgO (1 M NaOH) electrode, and a platinum rod were purchased from EC Frontier Inc., Tokyo, Japan. The GC-RDE was used as the working electrode. The Hg/HgO and the platinum rod were used as the reference electrode and the counter electrode, respectively. The surface of the GC-RDE was polished using 0.05 μm alumina slurry and washed with hydrochloric acid and ethanol under sonication prior to performing electrochemical experiments. Titanium foil with a thickness of 0.05 mm was purchased from Nilaco Co., Ltd., Tokyo, Japan. The titanium foil was used as the working electrodes for pre- and post-cycling electrode characterizations.
2.2. Preparation of Ni(dto) Compound
An aqueous solution of nickel sulfate and an ethanolic solution of dto with a molar ratio of 1:1 were mixed in a beaker glass under stirring [25,26]. The mixing was performed by dripping the nickel sulfate precursor into the dto solution at 200 rpm. Fine Ni(dto) particles with a dark color were immediately produced upon the addition of the nickel precursor. After letting the mixture stand for 12 h without stirring, a dark-jelly phase, which was the Ni(dto) compound, precipitated at the bottom of the beaker. The precipitation was then filtered using a 0.45 µm pore size membrane filter, and rinsed with deionized water and ethanol to remove the unreacted materials. The filtered particles were then dried in an oven under vacuum at 80 °C and ground to produce a fine powder.
2.3. Preparation of Working Electrodes
The Ni(dto) powder was mixed with acetylene black with a ratio of 8:1(w/w) in an agate mortar. Here, the addition of acetylene black aimed to enhance the conductivity of the Ni(dto) compound. A solution of PVDF binder dissolved in NMP with a concentration of 2% (w/w) was subsequently added into the powder mixture by keeping the ratio of PVDF to acetylene black at 1:1 (w/w). The mixture was stirred at 1500 rpm for 2 h to produce a homogeneous slurry. The prepared slurry was then coated on the surface of GC-RDE. The drying of the working electrode was performed at room temperature for 12 h, followed by oven drying at 80 °C under vacuum for another 12 h. The amount of Ni(dto) slurry coated on the surface of a polished and cleaned GC-RDE was 1 µL, with the estimated Ni metal amount of 4.75 × 10−5 g (4.87 × 1017 atoms). The Ni(dto) slurry was also applied on Ti foil and used to evaluate the structure and morphology of the pre- and post-cycling electrodes using powder X-ray diffraction (XRD) and a scanning electron microscope equipped with an energy dispersive X-ray detector (SEM-EDX).
2.4. Electrochemical Performance Investigation
The electrochemical performance evaluation was carried out in a three-electrode glass system under aqueous alkaline conditions using an automated polarization system (HZ-7000, Hokuto Denko Co., Tokyo, Japan) and rotating disk electrode apparatus (RRDE-3A, BAS Inc., Tokyo, Japan). Working electrodes were investigated by CV and LSV in 1 M KOH solution under nitrogen- or oxygen-saturated conditions. The Hg/HgO (1 M NaOH) electrode and a platinum rod were employed as the reference electrode and the counter electrode, respectively. The potential recorded with the Hg/HgO reference electrode was converted to the reversible hydrogen electrode (ERHE) using the Nernst equation, as expressed in Equation (1).
where EHg/HgO (1 M NaOH) is the recorded potential measured using the reference electrode; E °Hg/HgO (1 M NaOH) is the standard potential of the Hg/HgO redox couple in 1 M NaOH (0.118 V); and pH indicates the pH difference of the working solution with respect to the conditions applied in the normal hydrogen electrode (in this study, pH = 14). The iR compensation was not applied. The Hg/HgO (1 M NaOH) reference electrode was calibrated using 1 mM ferrocenemethanol in a 0.1 M aqueous KCl solution before carrying out the electrochemical tests. No Pt. and Fe signatures were observed in the EDX spectra of the post-cycling electrode, suggesting that the ORR performance of the catalyst is not influenced by employment of Pt. rod as the counter and Fe impurities in KOH [27].
The GC-RDE was subject to potential cycling in 1 M KOH solution under a nitrogen saturated condition until a stable cyclic voltammogram was obtained (approximately 14 cycles were performed). The cyclic voltammograms were recorded in the potential window of 0.42 and 1.57 V vs. RHE with a scan rate of 5 mV/s under a nitrogen saturated condition. The pre-cycling of the GC-RDE was aimed to transform the Ni(dto) into Ni(dto)-derived hydroxides (Ni(dto)-DH/C) dispersed in the carbon matrix [28]. The cyclic voltammograms in an oxygen saturated 1 M KOH solution were also recorded to understand the bifunctional properties of the Ni(dto)-DH/C. Subsequently, LSV was taken at different rotation speeds (0 to 2500 rpm) from a potential of 0.94 to 0.42 V vs. RHE in an oxygen saturated 1 M KOH solution. In this study, the current observed was normalized with respect to the geometrical area of the GC-RDE (0.071 cm2) and the amount of Ni metal in grams. The linear sweep voltammograms of a bare GC-RDE and Pt/C (40% (w/w)) electrode were also recorded in order to compare the ORR performance of the Ni(dto)-DH/C electrodes. The Ti electrodes coated with the active material slurry were subject to 14 or 130 potential sweeps in the potential range from 0.42 to 1.57 V vs. RHE in nitrogen-saturated 1 M KOH followed by three cycles in the oxygen-saturated solutions. The last potential sweep was terminated at 0.9 V vs. RHE and the electrodes, and after short drying, were quickly transferred to XRD for structure analysis.
2.5. Pre- and Post-Cycling Electrodes Characterization
The pre- and post-cycling Ti electrodes were characterized by XRD and SEM-EDX. The XRD patterns were acquired on the Smartlab Rigaku powder X-ray diffractometer using CuKα radiation at 1.54059 Å. SEM images were acquired on the JEOL, JCM-6000 Plus using 15 keV and EDX spectra were obtained using a dry silicon drift detector, JED-2300 (Japan Electron Optics Laboratory Co., Ltd., Tokyo, Japan).
3. Results and Discussion
In this work, the Ni(dto) compound was synthesized and used as a precursor to obtain Ni(dto)-DH via in situ electrochemical transformation in 1 M KOH. The atomic ratio of Ni to dto in the Ni(dto) compound was estimated to be 4:5 according to the EDX analysis results. The ratio is in good agreement with our previous study and the elemental analysis carried out by Abboudi et al., who proposed the following molecular formula Ni4(C2N2S2H3)2(C2N2S2H2)30.25 H2O for the Ni(dto) compound [26,28].
In order to transform the Ni(dto) compound into Ni(dto)-DH in the carbon matrix, cyclic voltammetry was performed in a nitrogen-saturated 1 M KOH solution using the GC-RDE coated with Ni(dto) slurry as the working electrode. Cyclic voltammetry was conducted within a potential window of 0.42 to 1.57 V vs. RHE, starting from the open circuit potential at a scan rate of 5 mV/s. A stable cyclic voltammogram of the Ni(dto)-DH/C electrode recorded in the nitrogen-saturated 1 M KOH solution is shown in Figure 1.
Figure 1.
Cyclic voltammograms of Ni(dto)-DH/C electrode recorded at a scan rate of 5 mV/s in nitrogen- or oxygen-saturated 1 M KOH solutions.
An anodic peak and a cathodic peak were observed at a potential of 1.44 and 1.29 V vs. RHE, respectively, indicating the transformed Ni(dto) compound into Ni(dto)-DH [28]. The anodic peak at 1.44 V vs. RHE was assigned to the Ni(II) to Ni(III) transformation, while the cathodic peak noticed at 1.28 V vs. RHE was ascribed to the redox couple of the anodic peak at 1.44 V vs. RHE [29,30,31]. Around the OER potential (>1.52 V vs. RHE), the current density rose sharply with the formation of eye-detectable bubbles evolving from the surface of the electrode. These phenomena imply that the Ni(dto)-DH/C nanocomposite material is active toward OER. Our previous study showed that the material has an OER overpotential of 390 mV (at 12 mA/cm2) and a Tafel slope of 328 mV/dec in 1 M KOH solution [28].
Upon saturating the electrolyte with oxygen, a sharp cathodic peak was detected at a potential of 0.67 V vs. RHE, around the potential at which ORR commences (Figure 1, blue trace). The three-fold current increase suggests that the Ni(dto)-DH/C, apart from having excellent OER catalytic performance, has the potential to catalyze ORR. This implies that the Ni(dto)-DH/C can act as an efficient bifunctional oxygen electrocatalyst in alkaline media. Meanwhile, in the oxygen-saturated solution, it was noticed that the current density at the OER potential decreased slightly compared to the current density in the nitrogen-saturated solution. The decrease is consistent with the Le Châtelier’s principle, where more oxygen present in the electrolyte will suppress oxygen evolution.
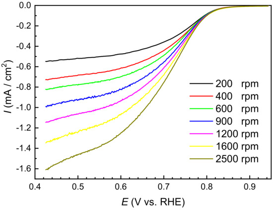
Further investigation on the catalytic behavior of the Ni(dto)-DH/C toward ORR was carried out using the LSV technique. The LSV curves of the Ni(dto)-DH/C electrode in the oxygen-saturated 1 M KOH solution were taken at different electrode rotation speeds, as shown in Figure 2. The results indicate that the increase in the electrode rotation speeds resulted in the rise of the cathodic current observed. The current density increase was likely due to enhanced oxygen mass transport at higher electrode rotation speeds [32]. The diffusion distance of oxygen molecules to the electrode surface was greatly reduced with accelerated rotation speeds, resulting in improved mass transfer rates [33]. The limited current density at a cut-off potential of 0.42 V vs. RHE was 0.55, 0.73, 0.82, 0.99, 1.15, 1.35, and 1.61 mA/cm2 recorded at electrode rotation speeds of 200, 400, 600, 900, 1200, 1600, and 2500 rpm, respectively.
Figure 2.
The LSV curves of the Ni(dto)-DH/C electrode recorded at a scan rate of 5 mV/s in the oxygen-saturated 1 M KOH solution at different electrode rotation speeds.
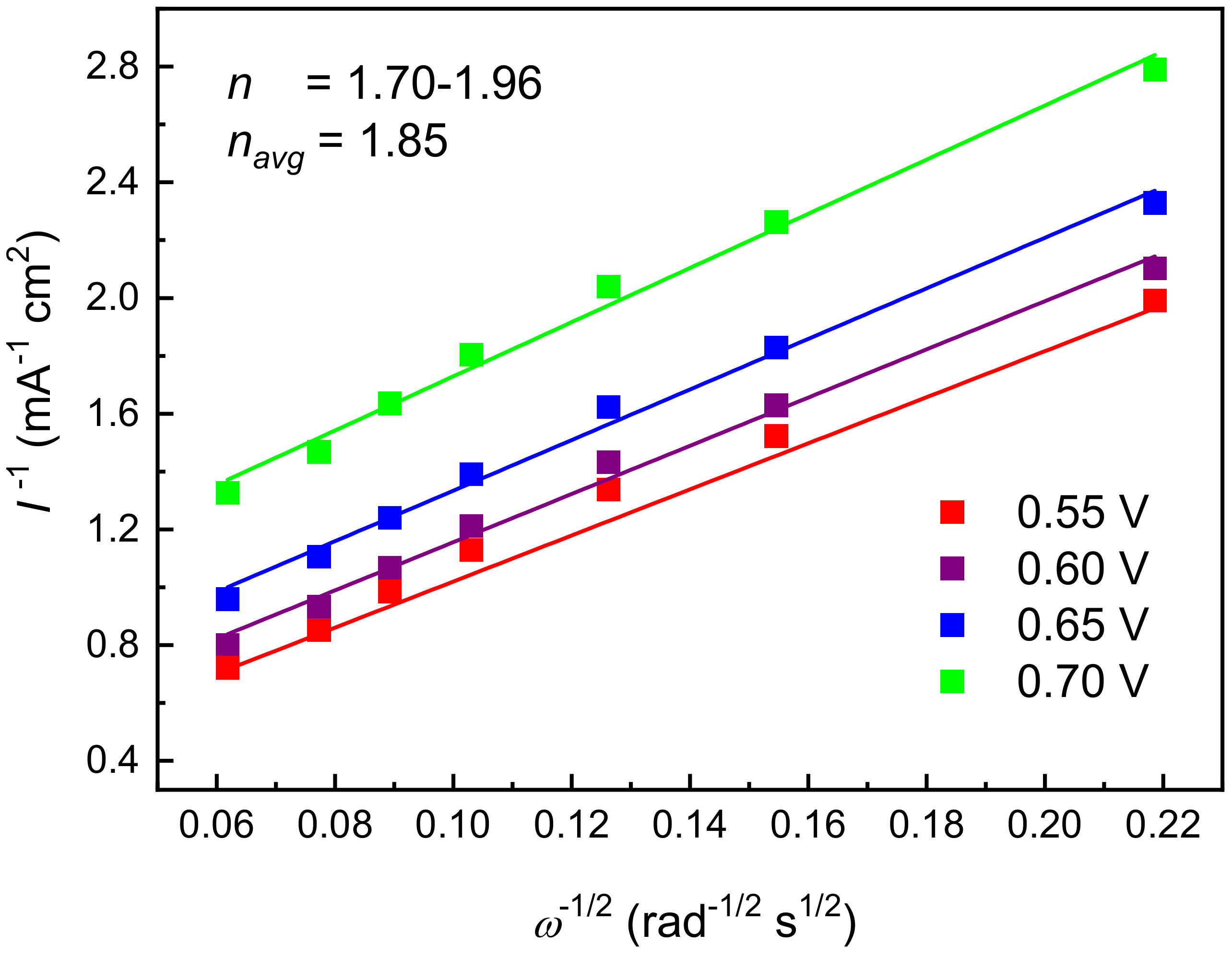
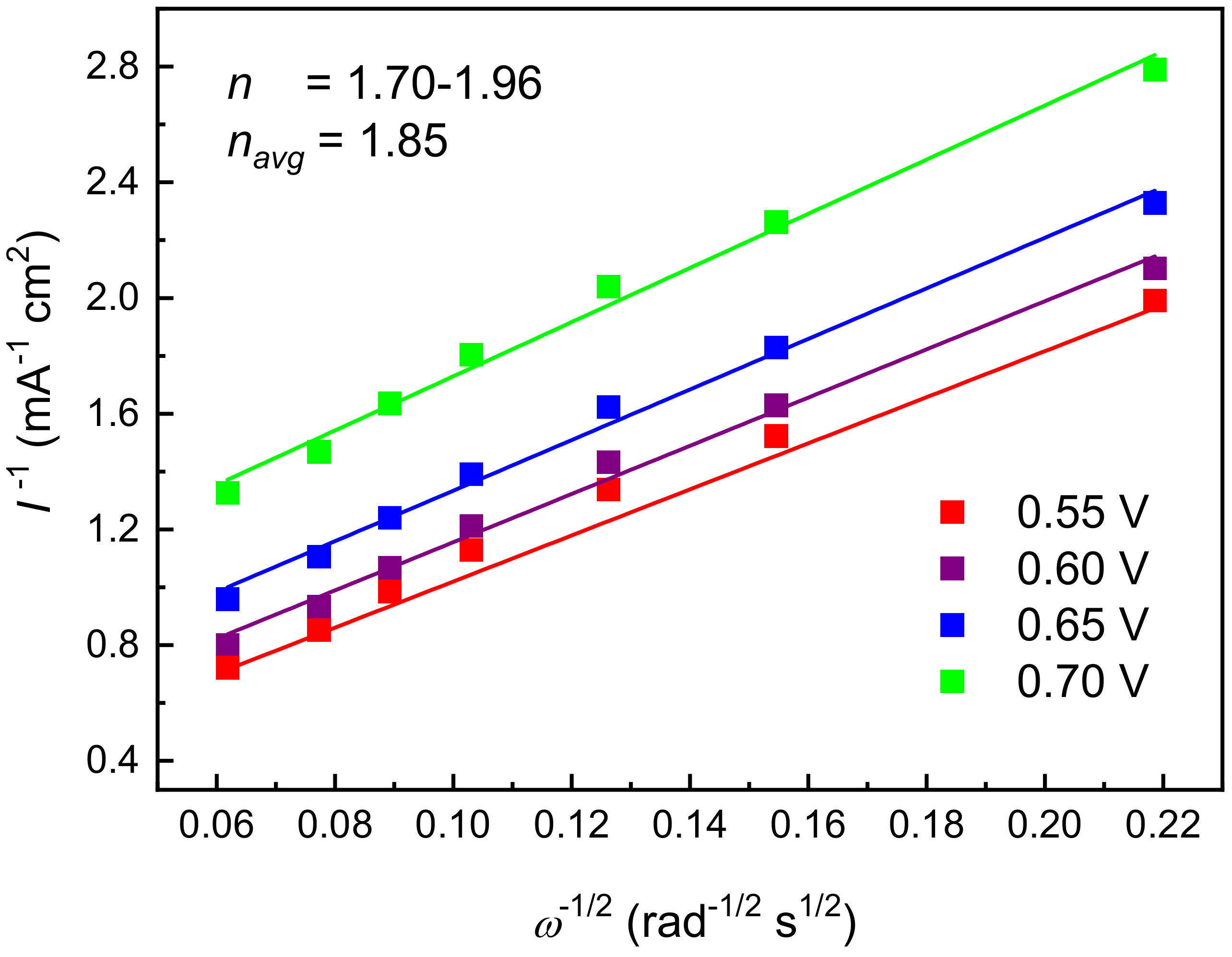
In order to estimate the electron transfer number, n, of the Ni(dto)-DH/C catalyst, Koutecky–Levich (K–L) plots were analyzed at different cathodic potentials, as presented in Figure 3.
Figure 3.
Koutecky–Levich plots of the Ni(dto)-DH/C electrode in the oxygen-saturated 1 M KOH solution at different working electrode potentials.
The K–L equation shows that the overall current at a given potential (i) involves the combination of the electron transfer kinetic current (ik) and the diffusion–convection limiting current (idl), as stated in Equation (2).
Both ik and idl can be expressed by Equations (3) and (4), respectively. Here, F is the Faraday constant (96,485 C mol−1); A is the electrode geometric area (cm2); k is the apparent rate constant for oxygen reduction; is the concentration of O2 in 1 M KOH solution at 25 °C (8.4 × 10−7 mol cm−3) [34] is the diffusion coefficient of O2 in 1 M KOH solution (1.4 × 10−5 cm2 s−1) [34]; v is the kinetic viscosity of the solution at 25 °C (0.01 cm2 s−1) [35]; and ω is the angular rotation speed of RDE (rad s−1).
Equations (3) and (4) can be substituted into Equation (1) to yield Equation (5), which was used to obtain the K–L plots (Figure 3).
Linear K–L plots suggest first-order reaction kinetics toward oxygen reduction. Positive intercept values imply that the electrode process is limited by the kinetic properties of the catalyst [36]. The calculation results from the slope of the lines indicate that the average value of the n obtained from the experiments was around 2. This suggests that the ORR on the Ni(dto)-DH/C electrode proceeds via the 2e− reduction process to produce HO2− ions, in addition to OH− ions. The HO2− ions produced can be further broken down to regenerate oxygen molecules, which can facilitate the ORR process, through a hydroperoxide disproportionation reaction [37,38]. ORR via the 2e− reduction pathway in alkaline environments was reported on Cu(OH)2/GO [39], Ni-NPs/BCCF [40], Co3O4 with SBNO [41], NiCo-Phi/CNT [42], Ni-CNTFs [43], Fe-CNT [44], CoPc/C [45], and Ni-N-CNFs [46].
The LSV curve of the Ni(dto)-DH/C electrode was compared with the LSV curves of the commercial 40% Pt/C catalyst and bare GC-RDE, as presented in Figure 4. The onset potential (Eonset) and a half-wave potential (E1/2) for Ni(dto)-DH/C electrode was 0.81 V and 0.74 V vs. RHE, respectively. Although the geometrical current density of the 40% Pt/C electrode was three-fold higher than the Ni(dto)-DH/C electrode, the E1/2 of the Ni(dto)-DH/C electrode was close to the E1/2 of the 40% Pt/C electrode, which was around 0.84 V vs. RHE. The high ORR current density of the 40% Pt/C electrode suggests that the Pt. metallic was more conductive than our Ni(dto)-DH, which was mainly composed of nickel (oxy)hydroxides. Low electrical conductivity is the main issue in metal hydroxides that constrains the actual performance of the materials in catalyzing ORR [47,48]. Compared with our previous Cu(dto)-derived oxide electrode, the Eonset and E1/2 values of both materials were quite similar (Eonset,Cu(dto)-DO = 0.81 V vs. RHE, E1/2,Cu(dto)-DO = 0.72 V vs. RHE). The current density observed at a given potential in the Cu(dto)-DO/C electrode was slightly higher than the current density of the Ni(dto)-DH/C electrode, suggesting that metal oxides are more conductive than metal hydroxides [49,50].
Figure 4.
The LSV curves of the Ni(dto)-DH/C electrode in comparison with the bare GC-RDE and 40% Pt/C electrode performed in an oxygen-saturated 1 M KOH solution at an electrode rotation speed of 1600 rpm and a scan rate of 5 mV/s in the current per geometrical area of the electrode.
The catalytic performance of Ni(dto)-DH/C toward ORR in an alkaline condition was compared with other materials obtained from the literature. The Eonset (with respect to RHE) of the Ni(dto)-DH/C electrode was similar to other nickel-based materials, as summarized in Table 1.
Table 1.
The Eonset (with respect to RHE) of other nickel-based materials from the literature investigated in alkaline solutions.
In terms of the E1/2 (with respect to RHE), our material is comparable to other nickel-based ORR catalysts, as presented in Table 2.
Table 2.
The E1/2 (with respect to RHE) of the other nickel-based materials from the literature investigated in alkaline solutions.
In order to verify the active species in the Ni(dto)-DH/C electrode, XRD patterns of the pre- and post-cycling Ni(dto)-DH/C electrodes were taken. The electrodes were prepared by coating Ti foil with a thin film of Ni(dto) slurry. XRD of the pre-cycling electrode showed a broad peak observed at the 2 value of around 30°, as shown in Figure 5. This peak was ascribed as the signature of the Ni(dto) compound [28]. The immersion of the pre-cycling electrode in 1 M KOH solution did not seem to affect the XRD patterns, suggesting good stability of the material in highly alkaline solutions. The post-cycling electrodes refer to electrodes that were subjected to 14 or 130 potential sweeps in the potential range from 0.42 to 1.57 V vs. RHE in the nitrogen-saturated 1 M KOH followed by three cycles in the oxygen-saturated solutions. The last potential sweep was terminated at 0.9 V vs. RHE and the electrodes, after short drying, were quickly transferred to XRD for structural analysis. In the post-cycling electrode (Figure 6), after 17 cycles, a narrow peak and a broad peak with low intensity were observed at 2 values of 13° and 26°, respectively. The intensity of these peaks became higher and the peak at 26° grew sharper in the post-cycling electrode after 133 cycles. Here, another sharp peak was detected at 39°. According to the powder diffraction card number DB 00-006-0075 and previous literature reports, these peaks correspond to -NiOOH [20,61].
Figure 5.
The powder XRD of pre-cycling Ni(dto)-DH/C electrodes using Ti foil coated by Ni(dto).
Figure 6.
The powder XRD of post-cycling Ni(dto)-DH/C electrodes using Ti foil coated by Ni(dto).
-NiOOH mainly exposed three facets including (003), (006), and (101). The interplanar spacing for the (003) and (006) facets was 6.97 Å and 3.47 Å, respectively [62]. The XRD patterns of the post-cycling electrodes showed a significantly higher intensity of the (003) facet than other facets, indicating that more crystallites with larger interplanar spacing were present in the transformed material that can enhance oxygen molecules and hydroxide ion transport during the oxygen evolution and reduction processes. In the post-cycling electrode after 17 cycles, the signatures of -NiOOH were observed, suggesting that the transformation of Ni(dto) into -NiOOH already took place, even with low electrode cycling number, with the (003) facet as the dominant facet. Using Scherrer’s formula, the calculated crystallite size of the -NiOOH in the post-cycling electrode after 17 cycles was 69 nm, using (003) peak for calculations. Meanwhile, the estimated crystallite sizes of the (003) and (006) planes in the post-cycling electrode after 133 cycles in this study were 140 nm and 106 nm, respectively. The results indicate that more crystallites were produced at a higher electrode cycling with a tendency to undergo crystallite agglomeration.
The surface morphology of the pristine and post-cycling electrodes was characterized using SEM taken from the top of the Ti electrodes. The SEM image of the pristine Ni(dto)/C electrode prior to electrochemical cycling is shown in Figure 7a. The pristine electrode displayed a relatively homogeneous and dense structure, with the electrode materials completely covering the surface of the Ti foil. Upon electrochemical cycling in 1 M KOH solution, the electrode became more porous with a rough surface due to the intake and release of oxygen molecules during the oxygen reduction and evolution reactions (Figure 7b).
Figure 7.
The SEM images of (a) pre-cycling and (b) post-cycling the Ni(dto)-DH/C electrodes.
The elemental analysis of post-cycling electrodes was conducted using an EDX spectrophotometer equipped with the dry silicon drift detector. In the energy range of 0–12 keV, peaks related to N, O, S, Ni, and K elements were found with the atomic ratio of Ni:O (29.6%:55.82%), corresponding to NiOOH.
From the K–L plots of the Ni(dto)-DH/C electrode, it was found that the average electron transfer number, n, was 2. This number suggests that the dominant reaction on the catalyst proceeds through the 2e− reduction process, generating HO2− ions in addition to OH− ions. Scheme 1 shows the proposed ORR mechanism on the -NiOOH in alkaline media. Initially, the catalyst binds with oxygen through an associative adsorption mechanism accompanied by an electron transfer, producing a negatively charged superoxide (O2−) transition state. The binding of oxygen onto the Ni metal center follows the surface edge-site model, according to Zhao et al. [24]. Water molecules subsequently protonate the adsorbed O2− species, releasing OH− ions in the solution. Finally, the addition of an electron into the protonated superoxide adsorbate will induce the formation of HO2− ions while recovering the -NiOOH catalyst. The elementary ORR reactions, leading to the formation of HO2− and OH− ions, are written in Equations (6)–(8).
Scheme 1.
The proposed ORR mechanism on the Ni(dto)-DH/C electrode via the 2e− process in alkaline solutions. The center part shows a SEM image of the electrode with γ-NiOOH as the active species.
In this scheme, Ni(II) centers at the edge sites are the sites at which the oxygen molecules are likely to be adsorbed. Meanwhile, hydroxide ions are adsorbed on Ni(III) centers upon OER, as calculated by Lin et al. [63]. To the best of our knowledge, there are only a few studies reporting the ORR activity of transition metal oxides. Liu et al. developed an electrocatalyst based on nickel hydroxides using a chemical deposition method that involves the transformation of Ni(OH)2 to β-NiOOH [64]. The study showed that the catalyst exhibited rather low catalytic activity due to a small amount of β-NiOOH generated during OER. Indeed, only a small peak at 2 value of 34°, identified as β-NiOOH, was observed in the study. The electroreduction of NiOOH into Ni(OH)2 has been considered as the rate-controlling step that results in poor ORR catalytic activity [64].
4. Conclusions
This study proposed a new method to obtain highly crystalline γ-NiOOH using the in situ electrochemical transformation of the Ni(dto) complex in 1 M KOH. Obtained in this way, γ-NiOOH was found to have a bifunctional catalytic character that is able to catalyze OER and ORR in alkaline media. While it is well-known that nickel oxyhydroxides are good OER catalysts, their catalytic activity toward ORR and catalyst identity was unknown. This study provides direct evidence that under both OER and ORR potentials, only γ-NiOOH exists at pH = 14. The reduction of O2 on γ-NiOOH was found to proceed via the 2e− process with Eonset = 0.81 V vs. RHE. With an onset potential close to the Eonset of Pt. and its bifunctional character, γ-NiOOH may be a good candidate as a catalyst for metal–air batteries.
Author Contributions
Conceptualization, H.H.; Data acquisition, R.P.P. and I.I.R.; Data processing and analysis, R.P.P. and I.I.R.; Writing—original draft preparation, R.P.P.; Writing—review and editing, I.I.R., R.P.P. and H.H.; Supervision, I.I.R.; Funding acquisition, I.I.R.; Data validation, I.B.R. All authors have read and agreed to the published version of the manuscript.
Funding
This research was funded by the Japan Society for the Promotion of Science under JSPS KAKENHI Grant Number JP 20K05689.
Institutional Review Board Statement
Not applicable.
Informed Consent Statement
Not applicable.
Data Availability Statement
All of the data is contained within the article.
Acknowledgments
R.P.P. thanks the Japan International Cooperation Agency (JICA) through the Innovative Asia scholarship for financial support. I.B.R thanks the Shibaura Institute of Technology for the PhD scholarship.
Conflicts of Interest
The authors declare that they have no known competing financial interest or personal relationship that could have appeared to influence the work reported in this paper.
References
- Jiang, Y.; Dong, K.; Yan, X.; Chen, C.; Ni, P.; Yang, C.; Lu, Y. Metal–polydopamine framework-derived (Co)/N-doped carbon hollow nanocubes as efficient oxygen electrocatalysts. Sustain. Energy Fuels 2020, 4, 3370–3377. [Google Scholar] [CrossRef]
- Exner, K.S. Recent progress in the development of screening methods to identify electrode materials for the oxygen evolution reaction. Adv. Funct. Mater. 2020, 30, 2005060. [Google Scholar] [CrossRef]
- Xia, B.Y.; Yan, Y.; Li, N.; Wu, H.B.; Lou, X.W.; Wang, X. A metal–organic framework-derived bifunctional oxygen electrocatalyst. Nat. Energy 2016, 1, 15006. [Google Scholar] [CrossRef]
- Tan, P.; Jiang, H.R.; Zhu, X.B.; An, L.; Jung, C.Y.; Wu, M.C.; Shi, L.; Shyy, W.; Zhao, T.S. Advances and challenges in lithium-air batteries. Appl. Energy 2017, 204, 780–806. [Google Scholar] [CrossRef]
- Gallagher, K.G.; Goebel, S.; Greszler, T.; Mathias, M.; Oelerich, W.; Eroglu, D.; Srinivasan, V. Quantifying the promise of lithium–air batteries for electric vehicles. Energy Environ. Sci. 2014, 7, 1555–1563. [Google Scholar] [CrossRef]
- Mainar, A.R.; Leonet, O.; Bengoechea, M.; Boyano, I.; de Meatza, I.; Kvasha, A.; Guerfi, A.; Alberto Blázquez, J. Alkaline aqueous electrolytes for secondary Zinc–air batteries: An overview. Int. J. Energy Res. 2016, 40, 1032–1049. [Google Scholar] [CrossRef]
- Lin, Z.-X.; Lu, Y.-T.; Lai, C.-Y.; Hu, C.-C. Polyvinyl alcohol-based gel electrolytes with high water content for flexible Zinc-air batteries with high rate capability. J. Electrochem. Soc. 2021, 168, 100531. [Google Scholar] [CrossRef]
- Mallick, S.; Samanta, A.; Raj, C.R. Mesoporous carbon-supported manganese tungstate nanostructures for the development of Zinc–air battery powered long lifespan asymmetric supercapacitor. Sustain. Energy Fuels 2020, 4, 4008–4017. [Google Scholar] [CrossRef]
- Cai, X.; Lai, L.; Lin, J.; Shen, Z. Recent advances in air electrodes for Zn–air batteries: Electrocatalysis and structural design. Mater. Horiz. 2017, 4, 945–976. [Google Scholar] [CrossRef]
- Yi, J.; Liu, X.; Liang, P.; Wu, K.; Xu, J.; Liu, Y.; Zhang, J. Non-noble iron group (Fe, Co, Ni)-based oxide electrocatalysts for aqueous Zinc–air batteries: Recent progress, challenges, and perspectives. Organometallics 2019, 38, 1186–1199. [Google Scholar] [CrossRef]
- Yoo, K.; Banerjee, S.; Dutta, P. Modeling of volume change phenomena in a Li–air battery. J. Power Sources 2014, 258, 340–350. [Google Scholar] [CrossRef]
- Li, J.; Yan, F.; Su, Z.; Zhang, T.; Zhang, X.; Sun, H. Highly efficient Li−air battery using linear porosity air electrodes. J. Electrochem. Soc. 2020, 167, 090529. [Google Scholar] [CrossRef]
- Kundu, A.; Mallick, S.; Ghora, S.; Raj, C.R. Advanced oxygen electrocatalyst for air-breathing electrode in Zn-air batteries. ACS Appl. Mater. Interfaces 2021, 13, 40172–40199. [Google Scholar] [CrossRef]
- Yang, W.; Salim, J.; Ma, C.; Ma, Z.; Sun, C.; Li, J.; Chen, L.; Kim, Y. Flowerlike Co3O4 microspheres loaded with copper nanoparticle as an efficient bifunctional catalyst for lithium–air batteries. Electrochem. Commun. 2013, 28, 13–16. [Google Scholar] [CrossRef]
- Chen, Y.-P.; Lin, S.-Y.; Sun, R.-M.; Wang, A.-J.; Zhang, L.; Ma, X.; Feng, J.-J. FeCo/FeCoP encapsulated in N, Mn-codoped three-dimensional fluffy porous carbon nanostructures as highly efficient bifunctional electrocatalyst with multi-components synergistic catalysis for ultra-stable rechargeable Zn-air batteries. J. Colloid Interface Sci. 2022, 605, 451–462. [Google Scholar] [CrossRef] [PubMed]
- Liu, P.F.; Li, X.; Yang, S.; Zu, M.Y.; Liu, P.; Zhang, B.; Zheng, L.R.; Zhao, H.; Yang, H.G. Ni2P(O)/Fe2P(O) interface can boost oxygen evolution electrocatalysis. ACS Energy Lett. 2017, 2, 2257–2263. [Google Scholar] [CrossRef]
- Li, Y.-F.; Selloni, A. Mosaic texture and double c-axis periodicity of β-NiOOH: Insights from first-principles and genetic algorithm calculations. J. Phys. Chem. Lett. 2014, 5, 3981–3985. [Google Scholar] [CrossRef]
- Casas-Cabanas, M.; Canales-Vázquez, J.; Rodríguez-Carvajal, J.; Palacín, M.R. Deciphering the structural transformations during nickel oxyhydroxide electrode operation. J. Am. Chem. Soc. 2007, 129, 5840–5842. [Google Scholar] [CrossRef] [PubMed]
- Li, Y.-F.; Li, J.-L.; Liu, Z.-P. Structure and catalysis of NiOOH: Recent advances on atomic simulation. J. Phys. Chem. C 2021, 125, 27033–27045. [Google Scholar] [CrossRef]
- Liu, L.; Zhou, Z.; Peng, C. Sonochemical intercalation synthesis of nano γ-nickel oxyhydroxide: Structure and electrochemical properties. Electrochim. Acta 2008, 54, 434–441. [Google Scholar] [CrossRef]
- Oliva, P.; Leonardi, J.; Laurent, J.F.; Delmas, C.; Braconnier, J.J.; Figlarz, M.; Fievet, F.; Guibert, A.D. Review of the structure and the electrochemistry of nickel hydroxides and oxy-hydroxides. J. Power Sources 1982, 8, 229–255. [Google Scholar] [CrossRef]
- Li, L.-F.; Li, Y.-F.; Liu, Z.-P. Oxygen evolution activity on NiOOH catalysts: Four-coordinated Ni cation as the active site and the hydroperoxide mechanism. ACS Catal. 2020, 10, 2581–2590. [Google Scholar] [CrossRef]
- Li, Y.-F.; Selloni, A. Mechanism and activity of water oxidation on selected surfaces of pure and Fe-doped niox. ACS Catal. 2014, 4, 1148–1153. [Google Scholar] [CrossRef]
- Zhao, Z.; Schlexer Lamoureux, P.; Kulkarni, A.; Bajdich, M. Trends in oxygen electrocatalysis of 3 d-layered (oxy)(hydro)oxides. ChemCatChem 2019, 11, 3423–3431. [Google Scholar] [CrossRef]
- Abboudi, M.; Mosset, A. Synthesis of d transition metal sulfides from amorphous dithiooxamide complexes. J. Solid State Chem. 1994, 109, 70–73. [Google Scholar] [CrossRef]
- Abboudi, M.; Mosset, A.; Galy, J. Metal complexes of rubeanic acid. 3. Large-angle x-ray scattering studies of amorphous copper(ii) and nickel(ii) complexes. Inorg. Chem. 1985, 24, 2091–2094. [Google Scholar] [CrossRef]
- Chen, J.G.; Jones, C.W.; Linic, S.; Stamenkovic, V.R. Best practices in pursuit of topics in heterogeneous electrocatalysis. ACS Catal. 2017, 7, 6392–6393. [Google Scholar] [CrossRef]
- Putra, R.P.; Rachman, I.B.; Horino, H.; Rzeznicka, I.I. γ-NiOOH electrocatalyst derived from a nickel dithiooxamide chelate polymer for oxygen evolution reaction in alkaline solutions. Catal. Today 2021, 397, 308–315. [Google Scholar] [CrossRef]
- Mavrič, A.; Fanetti, M.; Lin, Y.; Valant, M.; Cui, C. Spectroelectrochemical tracking of nickel hydroxide reveals its irreversible redox states upon operation at high current density. ACS Catal. 2020, 10, 9451–9457. [Google Scholar] [CrossRef]
- Medway, S.L.; Lucas, C.A.; Kowal, A.; Nichols, R.J.; Johnson, D. In situ studies of the oxidation of nickel electrodes in alkaline solution. J. Electroanal. Chem. 2006, 587, 172–181. [Google Scholar] [CrossRef]
- Seghiouer, A.; Chevalet, J.; Barhoun, A.; Lantelme, F. Electrochemical oxidation of nickel in alkaline solutions: A voltammetric study and modelling. J. Electroanal. Chem. 1998, 442, 113–123. [Google Scholar] [CrossRef]
- Xu, J.; Shi, L.; Wang, J.; Lu, S.; Wang, Y.; Gao, G.; Ding, S. Hierarchical micro/mesoporous nitrogen-doped carbons derived from hypercrosslinked polymers for highly efficient oxygen reduction reaction. Carbon 2018, 138, 348–356. [Google Scholar] [CrossRef]
- Hu, F.; Yang, H.; Wang, C.; Zhang, Y.; Lu, H.; Wang, Q. Co-N-doped mesoporous carbon hollow spheres as highly efficient electrocatalysts for oxygen reduction reaction. Small 2017, 13, 1602507. [Google Scholar] [CrossRef] [PubMed]
- Davis, R.E.; Horvath, G.L.; Tobias, C.W. The solubility and diffusion coefficient of oxygen in potassium hydroxide solutions. Electrochim. Acta 1967, 12, 287–297. [Google Scholar] [CrossRef]
- Weast, R.C.; Astle, M.J.; Beyer, W.H. CRC Handbook of Chemistry and Physics: A Ready-Reference Book of Chemical and Physical Data; CRC Press: Boca Raton, FL, USA, 1984. [Google Scholar]
- Li, H.; Liu, H.; Jong, Z.; Qu, W.; Geng, D.; Sun, X.; Wang, H. Nitrogen-doped carbon nanotubes with high activity for oxygen reduction in alkaline media. Int. J. Hydrog. Energy 2011, 36, 2258–2265. [Google Scholar] [CrossRef]
- Erable, B.; Féron, D.; Bergel, A. Microbial catalysis of the oxygen reduction reaction for microbial fuel cells: A review. ChemSusChem 2012, 5, 975–987. [Google Scholar] [CrossRef]
- Fabbri, E.; Mohamed, R.; Levecque, P.; Conrad, O.; Kötz, R.; Schmidt, T.J. Composite electrode boosts the activity of Ba0.5Sr0.5Co0.8Fe0.2O3-δ perovskite and carbon toward oxygen reduction in alkaline media. ACS Catal. 2014, 4, 1061–1070. [Google Scholar] [CrossRef]
- Huang, J.; Fu, C.; Chen, J.; Senthilkumar, N.; Peng, X.; Wen, Z. The enhancement of selectivity and activity for two-electron oxygen reduction reaction by tuned oxygen defects on amorphous hydroxide catalysts. CCS Chem. 2022, 4, 566–583. [Google Scholar] [CrossRef]
- Xu, H.; Jin, M.; Geng, J.; Zhang, S.; Zhang, H. Bacterial cellulose-regulated synthesis of metallic ni catalysts for high-efficiency electrosynthesis of hydrogen peroxide. Sci. China Mater. 2022, 65, 721–731. [Google Scholar] [CrossRef]
- Trunov, A. Analysis of oxygen reduction reaction pathways on Co3O4, NiCo2o4, Co3O4–Li2O, NiO, NiO–Li2O, Pt, and Au electrodes in alkaline medium. Electrochim. Acta 2013, 105, 506–513. [Google Scholar] [CrossRef]
- Sathiskumar, C.; Alex, C.; John, N.S. Nickel cobalt phosphite nanorods decorated with carbon nanotubes as bifunctional electrocatalysts in alkaline medium with a high yield of hydrogen peroxide. ChemElectroChem 2020, 7, 1935–1942. [Google Scholar] [CrossRef]
- Lin, L.; Zhu, Q.; Xu, A.-W. Noble-metal-free Fe–N/C catalyst for highly efficient oxygen reduction reaction under both alkaline and acidic conditions. J. Am. Chem. Soc. 2014, 136, 11027–11033. [Google Scholar] [CrossRef]
- Jiang, K.; Back, S.; Akey, A.J.; Xia, C.; Hu, Y.; Liang, W.; Schaak, D.; Stavitski, E.; Nørskov, J.K.; Siahrostami, S.; et al. Highly selective oxygen reduction to hydrogen peroxide on transition metal single atom coordination. Nat. Commun. 2019, 10, 3997. [Google Scholar] [CrossRef] [PubMed]
- Chen, R.; Li, H.; Chu, D.; Wang, G. Unraveling oxygen reduction reaction mechanisms on carbon-supported Fe-phthalocyanine and co-phthalocyanine catalysts in alkaline solutions. J. Phys. Chem. C 2009, 113, 20689–20697. [Google Scholar] [CrossRef]
- Wang, Z.; Li, M.; Fan, L.; Han, J.; Xiong, Y. Fe/Ni-N-CNFS electrochemical catalyst for oxygen reduction reaction/oxygen evolution reaction in alkaline media. Appl. Surf. Sci. 2017, 401, 89–99. [Google Scholar] [CrossRef]
- Nadeema, A.; Dhavale, V.M.; Kurungot, S. NiZn double hydroxide nanosheet-anchored nitrogen-doped graphene enriched with the γ-NiOOH phase as an activity modulated water oxidation electrocatalyst. Nanoscale 2017, 9, 12590–12600. [Google Scholar] [CrossRef]
- Yu, X.; Zhang, M.; Yuan, W.; Shi, G. A high-performance three-dimensional Ni–Fe layered double hydroxide/graphene electrode for water oxidation. J. Mater. Chem. 2015, 3, 6921–6928. [Google Scholar] [CrossRef]
- Zhang, Y.; Cui, B.; Qin, Z.; Lin, H.; Li, J. Hierarchical wreath-like Au–Co(OH)2 microclusters for water oxidation at neutral pH. Nanoscale 2013, 5, 6826–6833. [Google Scholar] [CrossRef]
- Putra, R.P.; Samejima, Y.; Nakabayashi, S.; Horino, H.; Rzeznicka, I.I. Copper-based electrocatalyst derived from a copper chelate polymer for oxygen reduction reaction in alkaline solutions. Catal. Today 2022, 388–389, 360–364. [Google Scholar] [CrossRef]
- Ding, L.; Xin, Q.; Zhou, X.; Qiao, J.; Li, H.; Wang, H. Electrochemical behavior of nanostructured nickel phthalocyanine (NiPC/C) for oxygen reduction reaction in alkaline media. J. Appl. Electrochem. 2013, 43, 43–51. [Google Scholar] [CrossRef]
- Ashok, A.; Kumar, A.; Ponraj, J.; Mansour, S.A.; Tarlochan, F. Highly active and stable bi-functional nicoo2 catalyst for oxygen reduction and oxygen evolution reactions in alkaline medium. Int. J. Hydrog. Energy 2019, 44, 16603–16614. [Google Scholar] [CrossRef]
- Ibrahim, K.B.; Su, W.-N.; Tsai, M.-C.; Chala, S.A.; Kahsay, A.W.; Yeh, M.-H.; Chen, H.-M.; Duma, A.D.; Dai, H.; Hwang, B.-J. Robust and conductive magnéli phaseTi4O7 decorated on 3d-nanoflower NiRu-LDH as high-performance oxygen reduction electrocatalyst. Nano Energy 2018, 47, 309–315. [Google Scholar] [CrossRef]
- Qian, L.; Lu, Z.; Xu, T.; Wu, X.; Tian, Y.; Li, Y.; Huo, Z.; Sun, X.; Duan, X. Trinary layered double hydroxides as high-performance bifunctional materials for oxygen electrocatalysis. Adv. Energy Mater. 2015, 5, 1500245. [Google Scholar] [CrossRef]
- Liu, Q.; Jin, J.; Zhang, J. NiCo2S4@graphene as a bifunctional electrocatalyst for oxygen reduction and evolution reactions. ACS Appl. Mater. Interfaces 2013, 5, 5002–5008. [Google Scholar] [CrossRef]
- Feng, X.; Jiao, Q.; Chen, W.; Dang, Y.; Dai, Z.; Suib, S.L.; Zhang, J.; Zhao, Y.; Li, H.; Feng, C. Cactus-like NiCo2S4@NiFe LDH hollow spheres as an effective oxygen bifunctional electrocatalyst in alkaline solution. Appl. Catal. B Environ. 2021, 286, 119869. [Google Scholar] [CrossRef]
- Zhang, H.; Liu, M.; Cheng, W.; Li, Y.; Zhou, W.; Su, H.; Zhao, X.; Yao, P.; Liu, Q. Metallic Ni3N quantum dots as a synergistic promoter for NiO nanosheet toward efficient oxygen reduction electrocatalysis. J. Phys. Chem. C 2019, 123, 8633–8639. [Google Scholar] [CrossRef]
- Xu, C.; Wang, Q.; Zhao, S.; Wang, S. NiCo2O4 nanoneedle/Mo2C-coated carbon cloth as efficient catalyst for water splitting and metal-air battery. Synth. Met. 2021, 280, 116894. [Google Scholar] [CrossRef]
- Priamushko, T.; Budiyanto, E.; Eshraghi, N.; Weidenthaler, C.; Kahr, J.; Jahn, M.; Tüysüz, H.; Kleitz, F. Incorporation of Cu/Ni in ordered mesoporous co-based spinels to facilitate oxygen evolution and reduction reactions in alkaline media and aprotic Li−O2 batteries. ChemSusChem 2021, 15, e202102404. [Google Scholar] [CrossRef]
- Sancho, H.; Zhang, Y.; Liu, L.; Barevadia, V.G.; Wu, S.; Zhang, Y.; Huang, P.-W.; Zhang, Y.; Wu, T.-H.; You, W.; et al. NiCo2Se4 nanowires as a high-performance bifunctional oxygen electrocatalyst. J. Electrochem. Soc. 2020, 167, 056503. [Google Scholar] [CrossRef]
- Glemser, O.; Einerhand, J. Die struktur Höherer nickelhydroxyde. Z. Anorg. Chem. 1950, 261, 43–51. [Google Scholar] [CrossRef]
- Yan, Z.; Sun, H.; Chen, X.; Liu, H.; Zhao, Y.; Li, H.; Xie, W.; Cheng, F.; Chen, J. Anion insertion enhanced electrodeposition of robust metal hydroxide/oxide electrodes for oxygen evolution. Nat. Commun. 2018, 9, 2373. [Google Scholar] [CrossRef]
- Lin, R.; Kang, L.; Zhao, T.; Feng, J.; Celorrio, V.; Zhang, G.; Cibin, G.; Kucernak, A.; Brett, D.J.L.; Corà, F.; et al. Identification and manipulation of dynamic active site deficiency-induced competing reactions in electrocatalytic oxidation processes. Energy Environ. Sci. 2022, 15, 2386–2396. [Google Scholar] [CrossRef]
- Liu, Z.X.; Li, Z.P.; Qin, H.Y.; Liu, B.H. Oxygen reduction reaction via the 4-electron transfer pathway on transition metal hydroxides. J. Power Sources 2011, 196, 4972–4979. [Google Scholar] [CrossRef]
Publisher’s Note: MDPI stays neutral with regard to jurisdictional claims in published maps and institutional affiliations. |
© 2022 by the authors. Licensee MDPI, Basel, Switzerland. This article is an open access article distributed under the terms and conditions of the Creative Commons Attribution (CC BY) license (https://creativecommons.org/licenses/by/4.0/).







