Sensorial Analysis of Lamb Meat Fed a Mixture of Protected Fatty Acids Using a Trained Panel
Simple Summary
Abstract
1. Introduction
2. Materials and Methods
2.1. Field Experiment
2.2. Feeding and Health Management
2.3. Meat Sampling for Sensory Analysis
2.4. Sensory Analysis
- Preselection: In this stage, 30 people with the ability to detect certain sensory properties were selected. In different sessions, they were trained in the discipline of sensory analysis, periodically evaluating various products to identify organoleptic and sensory characteristics. To this end, the methodology suggested in Regulation (EU) No. 1169/2011 of the European Parliament was followed.
- Selection of panelists: The selected individuals underwent training on the main senses and terms of reference used in sensory analysis. Subsequently, various tests were carried out with the aid of a blindfold to heighten the senses. First, basic flavors (sweetness, acidity, bitterness, and saltiness) were identified through different sensory mixtures with sucrose, citric acid, sodium chloride, and caffeine. Additionally, training was provided on complex flavors in meat (meaty flavor, umami). Subsequently, the identification of odors was carried out using aromas of fresh, rancid, and cooked meat, as well as specific odors of certain cuts and origins.Similarly, the individuals were trained on the different textures in food. Samples with different textures were presented (raw carrot, peanut, soft gelatin (5%), celery string, soft tofu, orange slice, toasted white bread, chewy caramel, soft fresh cheese, chewing gum, chopped walnut shell) so that each individual could try to describe the type of texture if they did not know how to associate it with a specific word. In each test, individuals who obtained 80% correct answers were considered to have passed.
- Specific training: Only 25 people were recruited for their olfactory and gustatory sensitivities and their ability to identify subtle differences between samples objectively. The panelists completed a total of 110 h of training in sensory methodology, including scaling, and became familiar with the specific sensory attributes of the product (lamb meat enriched with fatty acids).
2.5. Statistical Analysis
3. Results
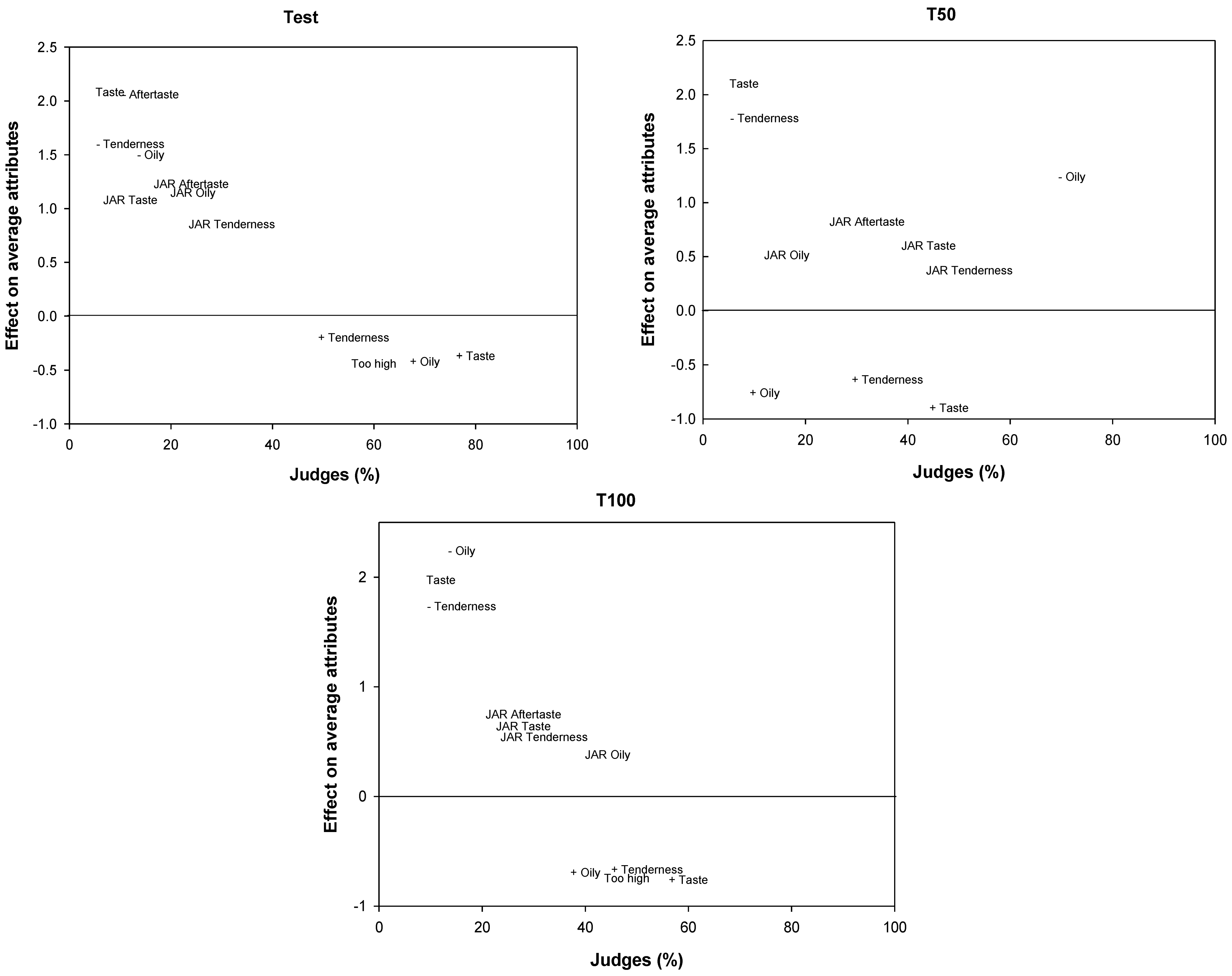
3.1. Sensory Analysis Without Information on Fatty Acid-Enriched Lamb Meat
3.2. Acceptance of the Fatty Acid-Enriched Lamb Meat
4. Discussion
5. Conclusions
Author Contributions
Funding
Institutional Review Board Statement
Informed Consent Statement
Data Availability Statement
Conflicts of Interest
References
- Data México. Secretaría de Economía. Carne de Animales de las Especies Ovina o Caprina, Fresca, Refrigerada o Congelada. 2024. Available online: https://www.economia.gob.mx/datamexico/es/profile/product/meat-of-ovine-and-caprine-animals-fresh-chilled-or-frozen (accessed on 1 July 2024).
- Ozdemir, F.N.; Dagdelen, U.; Turkyilmaz, D. Long-term insights into regional trends and forecasting in global sheep meat production. J. Anim. Plant Sci. 2025, 35, 1164–1174. [Google Scholar] [CrossRef]
- Alanís, P.J.; Miranda de la Lama, G.C.; Mariezcurrena-Berasain, M.A.; Barbabosa-Pliego, A.; Rayas-Amor, A.A.; Estévez-Moreno, L.X. Sheep meat consumers in Mexico: Understanding their perceptions, habits, preferences and market segments. Meat Sci. 2022, 184, 108705. [Google Scholar] [CrossRef]
- Bobadilla-Soto, E.E.; Ochoa-Ambriz, F.; Perea-Peña, M. Lamb production and consumption dynamic in Mexico from 1970 to 2019. Agron. Mesoam. 2021, 32, 963–982. [Google Scholar] [CrossRef]
- Rabadán, A.; Martínez-Carrasco, L.; Brugarolas, M.; Navarro-Rodríguez de Vera, C.; Sayas-Barberá, E.; Bernabéu, R. Differences in Consumer Preferences for Lamb Meat before and during the Economic Crisis in Spain. Analysis and Perspectives. Foods 2023, 9, 696. [Google Scholar] [CrossRef]
- Battagin, H.V.; Panea, B.; Trindade, M.A. Study on the Lamb Meat Consumer Behavior in Brazil. Foods 2021, 10, 1713. [Google Scholar] [CrossRef]
- Zhang, Z.; Wang, X.; Wang, L.; Wu, R.; Jin, Y.; Duan, Z. Identification and comparison of mutton flavor related branched-chain fatty acids among 4 Chinese indigenous sheep. J. Food Compos. Anal. 2025, 146, 107918. [Google Scholar] [CrossRef]
- Teixeira, A.; Silva, S.; Guedes, C.; Rodrigues, S. Sheep and Goat Meat Processed Products Quality: A Review. Foods 2020, 9, 960. [Google Scholar] [CrossRef] [PubMed]
- Rodríguez-Hernández, K.; Maldonado-Jáquez, J.A.; Granados-Rivera, L.D.; Sánchez-Duarte, J.I.; Domínguez-Martínez, P.A.; Torres-Hernández, G.; Argüelles-Verdugo, E.A. Finishing lambs using an integral feed under a restricted-feeding program in an intensive production system in Northern Mexico. Austral J. Vet. Sci. 2019, 51, 105–111. [Google Scholar] [CrossRef]
- Bautista-Martinez, Y.; Granados-Rivera, L.D.; Maldonado-Jáquez, J.A.; Arenas-Baéz, P. Effect of the addition of palmitic acid on fattening performance, carcass and meat quality of sheep. Ital. J. Food Sci. 2023, 35, 79–87. [Google Scholar]
- Zhang, D.; Yuan, C.; Guo, T.; Liu, J.; Lu, Z. Effects of Different Dietary Energy Levels on Development, Quality of Carcass and Meat, and Fatty Acid Profile in Male Lambs. Animals 2023, 13, 2870. [Google Scholar] [CrossRef] [PubMed]
- Ponnampalam, E.N.; Priyashantha, H.; Vidanarachchi, J.K.; Kiani, A.; Holman, B.W.B. Effects of Nutritional Factors on Fat Content, Fatty Acid Composition, and Sensorial Properties of Meat and Milk from Domesticated Ruminants: An Overview. Animals 2024, 14, 840. [Google Scholar] [CrossRef] [PubMed]
- Coniglio, S.; Shumskaya, M.; Vassiliou, E. Unsaturated Fatty Acids and Their Immunomodulatory Properties. Biology 2023, 12, 279. [Google Scholar] [CrossRef]
- Granados-Rivera, L.D.; Hernández-Mendo, O.; González-Muñoz, S.S.; Burgueño-Ferreira, J.A.; Mendoza-Martínez, G.D.; Arriaga-Jordán, C.M. Effect of palmitic acid on the mitigation of milk fat depression syndrome caused by trans-10, cis-12-conjugated linoleic acid in grazing dairy cows. Arch. Anim. Nutr. 2017, 71, 428–440. [Google Scholar] [CrossRef]
- Medina, G.; Díaz, P.; López, H.; Ruíz, C.; Marín, S. Estadísticas climatológicas básicas del estado de Durango (Periodo 1961–2003). Libro Técnico № 1, 2005, Campo Experimental Valle del Guadiana. CIRNOC-INIFAP. Available online: https://es.scribd.com/document/375829218/Estadisticas-Climatologicas-Basicas-Para-El-Estado-de-Durango (accessed on 1 February 2025).
- SENASICA. Ley Federal de Sanidad Animal. Available online: https://www.gob.mx/senasica (accessed on 6 March 2025).
- NRC. Nutrient Requirements of Horses, 6th rev. ed.; National Research Council of the National Academies: Washington, DC, USA, 2007; p. 339. [Google Scholar]
- Sipos, L.; Nyitrai, Á.; Hitka, G.; Friedrich, L.F.; Kókai, Z. Sensory Panel Performance Evaluation—Comprehensive Review of Practical Approaches. Appl. Sci. 2021, 11, 11977. [Google Scholar] [CrossRef]
- Di Monaco, R.; Cavella, S.; Di Marzo, S.; Masi, P. The effect of expectations generated by brand name on the acceptability of dried semolina pasta. Food Qual. Prefer. 2004, 15, 429–437. [Google Scholar] [CrossRef]
- Lawless, H.; Heymann, H. Sensory Evaluation of Food: Principles and Practices, 2nd ed.; Food Science Text Series; Springer: New York, NY, USA, 2010. [Google Scholar]
- Guinard, J.; Uotani, B.; Schlich, P. Internal and external mapping of preferences for commercial lager beers: Comparison of hedonic ratings by consumers blind versus with knowledge of brand and price. Food Qual. Prefer. 2001, 12, 243–255. [Google Scholar] [CrossRef]
- Hair, J.; Anderson, E.; Tatham, R.; Black, W. Multivariate Data Analysis; Prentice-Hall International, Inc.: Hoboken, NJ, USA, 1998. [Google Scholar]
- Ferrán-Aranaz, M. SPSS para Windows. Análisis Estadístico; Mc Graw-Hill: Madrid, Spain, 1996; 480p. [Google Scholar]
- XLSTAT. User’s Guide. Addinsoft. New York (EEUU). 2007. Available online: https://www.xlstat.com/ (accessed on 15 December 2024).
- Glitsch, K. Consumer perceptions of fresh meat qualitycross-national comparison. Br. Food J. 2000, 102, 177–194. [Google Scholar] [CrossRef]
- Boukrouh, S.; Noutfia, A.; Moula, N.; Avril, C.; Louvieaux, J.; Hornick, J.L.; Cabaraux, J.F.; Chentouf, M. Growth performance, carcass characteristics, fatty acid profile, and meat quality of male goat kids supplemented by alternative feed resources: Bitter vetch and sorghum grains. Arch. Anim. Breed. 2024, 67, 481–492. [Google Scholar] [CrossRef]
- Alam, M.S.; Song, D.-H.; Lee, J.-A.; Hoa, V.-B.; Kim, H.-W.; Kang, S.-M.; Cho, S.-H.; Hwang, I.; Seol, K.-H. Effect of Different Gas-Stunning Conditions on Heme Pigment Solutions and on the Color of Blood, Meat, and Small Intestine of Rabbits. Animals 2022, 12, 3155. [Google Scholar] [CrossRef]
- Warner, R.; Miller, R.; Ha, M.; Wheeler, T.L.; Dunshea, F.; Li, X.; Vaskoska, R.; Purslow, P. Meat Tenderness: Underlying Mechanisms, Instrumental Measurement, and Sensory Assessment. Meat Muscle Biol. 2021, 4, 1–25. [Google Scholar] [CrossRef]
- Miller, M.F.L.C.; Hoover, K.D.; Cook, G.A.L.; Huffman, K.L.; Tinney, K.S.; Ramsey, C.B.; Brittin, H.C.; Huffman, L.M. Consumer acceptability of beef steak tenderness in the home and restaurant. J. Food Sci. 1995, 60, 964. [Google Scholar] [CrossRef]
- O’Sullivan, M.G.; O’Neill, C.M.; Conroy, S.; Judge, M.J.; Crofton, E.C.; Berry, D.P. Sensory Consumer and Descriptive Analysis of Steaks from Beef Animals Selected from Tough and Tender Animal Genotypes: Genetic Meat Quality Traits Can Be Detected by Consumers. Foods 2021, 10, 1911. [Google Scholar] [CrossRef] [PubMed]
- Bautista-Martínez, Y.; Granados-Rivera, L.D.; Jimenez-Ocampo, R.; Maldonado-Jáquez, J.A. Morphostructural Composition and Meat Quality in Local Goat Kids from the Northeastern Region of Mexico. Rev. FCA UNCUYO 2024, 56, 127–137. [Google Scholar] [CrossRef]
- Dunshea, F.R.; D’Souza, D.N.; Pethick, D.W.; Harper, G.S.; Warner, R.D. Effects of dietary factors and other metabolic modifiers on quality and nutritional value of meat. Meat Sci. 2025, 71, 8–38. [Google Scholar] [CrossRef]
- Arshad, M.S.; Sohaib, M.; Ahmad, R.S.; Nadeem, M.T.; Imran, A.; Arshad, M.U.; Kwon, J.H.; Amjad, Z. Ruminant meat flavor influenced by different factors with special reference to fatty acids. Lipids Health Dis. 2018, 17, 223. [Google Scholar] [CrossRef]
- Dinh, T.T.; To, K.V.; Schilling, M.W. Fatty acid composition of meat animals as flavor precursors. Meat Muscle Biol. 2021, 5, 1–16. [Google Scholar] [CrossRef]
- Zhang, X.; Liu, C.; Kong, Y.; Li, F.; Yue, X. Effects of intramuscular fat on meat quality and its regulation mechanism in Tan sheep. Front. Nutr. 2022, 9, 908355. [Google Scholar] [CrossRef]
- Domínguez, R.; Pateiro, M.; Gagaoua, M.; Barba, F.J.; Zhang, W.; Lorenzo, J.M. A comprehensive review on lipid oxidation in meat and meat products. Antioxidants 2019, 8, 429. [Google Scholar] [CrossRef]
- Ponnampalam, E.N.; Kearns, M.; Kiani, A.; Santhiravel, S.; Vahmani, P.; Prache, S.; Monahan, F.J.; Mapiye, C. Enrichment of ruminant meats with health enhancing fatty acids and antioxidants: Feed-based effects on nutritional value and human health aspects–invited review. Front. Anim. 2024, 5, 1329346. [Google Scholar] [CrossRef]
- Al Rharad, A.; El Aayadi, S.; Avril, C.; Souradjou, A.; Sow, F.; Camara, Y.; Hornick, J.-L.; Boukrouh, S. Meta-Analysis of Dietary Tannins in Small Ruminant Diets: Effects on Growth Performance, Serum Metabolites, Antioxidant Status, Ruminal Fermentation, Meat Quality, and Fatty Acid Profile. Animals 2025, 15, 596. [Google Scholar] [CrossRef] [PubMed]
- Boukrouh, S.; Mnaouer, I.; Mendes de Souza, P.; Hornick, J.-L.; Nilahyane, A.; El Amiri, B.; Hirich, A. Microalgae supplementation improves goat milk composition and fatty acid profile: A meta-analysis and meta-regression. Arch. Anim. Breed. 2025, 68, 223–238. [Google Scholar] [CrossRef]
- Annett, E.; Muralidharan, V.; Boxall, C.; Cash, B.; Wismer, V. Influence of health and environmental information on hedonic evaluation of organic and conventional bread. J. Food Sci. 2008, 73, H50–H57. [Google Scholar] [CrossRef] [PubMed]
- Vermeir, I.; Verbeke, W. Sustainable food consumption among young adults in Belgium: Theory of planned behaviour and the role of confidence and values. Ecol. Econ. 2008, 64, 542–553. [Google Scholar] [CrossRef]
- García-Vázquez, R.; Sánchez-Toledano, B.I.; López-Santiago, M.A.; Valdivia-Alcalá, R.; López-Santiago, A.A. Atributos valorados por consumidores mexicanos sobre el queso enriquecido con harina de frijol: Técnicas de decisión multicriterio. Inf. Técnica Económica Agrar. 2024, 120, 93–108. [Google Scholar] [CrossRef]





| Ingredients | % MS | |
|---|---|---|
| Rolled corn | 17.1 | |
| Ground corn | 17.1 | |
| Wheat bran | 9.0 | |
| Soybean paste | 9.0 | |
| Urea | 1.0 | |
| Molasses | 4.8 | |
| Ground triticale hay | 8.0 | |
| Ground alfalfa hay | 32.0 | |
| Mineral premix—Bovi-8-ways * | 2.0 | |
| Nutrient | Content % MS | |
| TMR | Rumen protected fat | |
| Dry matter (DM) | 93.34 | 46.38 |
| Crude protein (CP) | 14.2 | 0.19 |
| Neutral detergent fiber (NDF) | 34.58 | 7.13 |
| Acid detergent fiber (ADF) | 19.06 | 8.21 |
| Net energy of maintenance (NEm MJ kg−1) | 7.85 | 12.8 |
| Variables | Control | T50 | T100 | p |
|---|---|---|---|---|
| Protein (%) | 20.90 | 20.98 | 20.43 | 0.58 |
| Fat (%) | 5.53 b | 7.87 a | 7.58 a | 0.01 |
| Collagen (%) | 1.67 | 1.71 | 1.72 | 0.26 |
| Humidity (%) | 72.38 a | 69.17 b | 70.64 b | 0.03 |
| Treatments | n * | Preference | Acceptance of the Consumer (%) | ||
|---|---|---|---|---|---|
| Like | Neither Like nor Dislike | Does Not Like | |||
| Control | 25 | 7.56 ab | 8.8 | 24.0 | 67.2 |
| T50 | 25 | 6.68 b | 36.3 | 28.3 | 35.4 |
| T100 | 25 | 8.00 a | 56.0 | 29.6 | 14.4 |
Disclaimer/Publisher’s Note: The statements, opinions and data contained in all publications are solely those of the individual author(s) and contributor(s) and not of MDPI and/or the editor(s). MDPI and/or the editor(s) disclaim responsibility for any injury to people or property resulting from any ideas, methods, instructions or products referred to in the content. |
© 2025 by the authors. Licensee MDPI, Basel, Switzerland. This article is an open access article distributed under the terms and conditions of the Creative Commons Attribution (CC BY) license (https://creativecommons.org/licenses/by/4.0/).
Share and Cite
Sánchez-Toledano, B.I.; López-Santiago, M.A.; Maldonado-Jáquez, J.A.; Carreón-Negrete, K.A.; Figueroa-González, J.J.; Granados-Rivera, L.D. Sensorial Analysis of Lamb Meat Fed a Mixture of Protected Fatty Acids Using a Trained Panel. Ruminants 2025, 5, 44. https://doi.org/10.3390/ruminants5030044
Sánchez-Toledano BI, López-Santiago MA, Maldonado-Jáquez JA, Carreón-Negrete KA, Figueroa-González JJ, Granados-Rivera LD. Sensorial Analysis of Lamb Meat Fed a Mixture of Protected Fatty Acids Using a Trained Panel. Ruminants. 2025; 5(3):44. https://doi.org/10.3390/ruminants5030044
Chicago/Turabian StyleSánchez-Toledano, Blanca Isabel, Marco Andrés López-Santiago, Jorge Alonso Maldonado-Jáquez, Karim Antonio Carreón-Negrete, Juan José Figueroa-González, and Lorenzo Danilo Granados-Rivera. 2025. "Sensorial Analysis of Lamb Meat Fed a Mixture of Protected Fatty Acids Using a Trained Panel" Ruminants 5, no. 3: 44. https://doi.org/10.3390/ruminants5030044
APA StyleSánchez-Toledano, B. I., López-Santiago, M. A., Maldonado-Jáquez, J. A., Carreón-Negrete, K. A., Figueroa-González, J. J., & Granados-Rivera, L. D. (2025). Sensorial Analysis of Lamb Meat Fed a Mixture of Protected Fatty Acids Using a Trained Panel. Ruminants, 5(3), 44. https://doi.org/10.3390/ruminants5030044

