Abstract
This study presents a machine learning framework for predicting traffic accident occurrence and congestion intensity using artificial neural networks (ANNs) trained on real-world traffic data collected from a central urban corridor in Egypt. The research aims to enhance proactive traffic management by providing reliable, data-driven forecasts derived from temporal and environmental road features. Sixty-seven traffic observations were recorded over three months, capturing variations across vehicle flow, speed, weather, holidays, and road conditions. Two predictive models were developed: a binary accident detection classifier and a multi-class congestion level estimation classifier. Both models employed Bayesian optimization for hyperparameter tuning and were evaluated under three validation strategies—5-fold cross-validation, 10-fold cross-validation, and resubstitution—combined with different train/test splits. The results demonstrated that the model using 10-fold cross-validation and a 75/25 split achieved the highest accuracy in accident prediction (93.8% on test data), with minimal variance between validation and testing phases. In contrast, resubstitution validation yielded artificially high training accuracy (up to 100%) but lower generalization performance, confirming overfitting risks. Congestion prediction showed similarly strong classification trends, with the optimized model effectively distinguishing between congestion levels under dynamic traffic conditions. These findings validate the use of ANN-based prediction in real-world traffic scenarios and highlight the critical role of validation design in developing robust forecasting models. The proposed approach holds promise for integrating intelligent transportation systems, enabling anticipatory interventions, and enhancing road safety.
1. Introduction
The quickening rate of urban development and traffic on the road increases, and spontaneous changes in traffic patterns create immense pressure on urban transport networks []. Traffic jams and road accidents pose the most significant challenges to transportation authorities, disrupting people’s everyday movement and incurring catastrophic financial and human costs [,]. Traditional responsive techniques to address the traffic problem lack capacity when dealing with these risks, particularly as urban spaces transform and become more complicated [,].
The link between congestion and accidents is strong in urban areas []. Extended congestion increases the collision risks via such elements as driver fatigue, impatience, and varying traffic velocities, and these events frequently exacerbate congestion and strengthen a cycle that makes traffic flow unstable [,]. Such disruptions negatively affect travel efficiency and the effectiveness of emergency services, air quality, and urban productivity’s general efficiency. In a world where modern transportation systems are becoming increasingly complex, forward-thinking and using data analytics are worthwhile endeavours to mitigate and solve risks proactively [].
In recent years, there have been changes in predictive traffic modelling, as artificial intelligence (AI) and machine learning (ML) have revolutionized the area [,,]. Neural network approaches are known for the ability to detect nonlinear patterns in the form of different traffic elements and therefore make possible near-instant discovery of critical traffic situations, like traffic jams or the possibility of collisions []. Although improvements had been made, such models had been relatively rare in publications, where real-time traffic data of developing urban settings is used.
Creating trustworthy predictive models for traffic systems is not entirely determined by selecting an appropriate learning algorithm [,]. Furthermore, making predictive models efficient requires robust validation procedures and responsive data management practices []. Model outcomes are very finicky about changes in how the data are partitioned, validated, and optimized through various settings of the hyperparameters. A robust validation process is indispensable to avoid overfitting historical data and evaluating such models’ ability to deal with real-world scenarios []. Precise performance is at the forefront in safety-critical applications like accident predictions because the consequences of unreliable forecasts are adverse.
This research addresses that gap by implementing a dual-purpose neural network model and training it using traffic data gathered firsthand from a major urban road in Egypt. The model combines the task of accident prediction and congestion categorization into the five intensity levels and allows for joint analysis of these phenomena. The approach includes Bayesian optimization for adjusting hyperparameters and is compared comprehensively with many validation approaches and different train–test splits. The research attempts to establish a strong, transferable model for intelligent traffic prediction that may be applied in real environments with impactful repercussions on developing smart cities and related policy approaches.
The arrangement of the subsequent sections in this paper is as follows: Section 2 synthesizes the literature concentrating on applying machine learning for traffic prediction. In Section 3, we present the methodology as we describe the study area, the dataset, and the model architecture that forms the basis of this study. Section 4 discusses the procedures used in these experiments and the assessment of the model’s effectiveness. Section 5 summarises the discussion of key findings, and Section 6 focuses on the practice and methods of deploying the results. Section 7 sums up our analysis and opens possible directions for future research.
This paper is organized as follows. Section 2 presents a review of existing literature on traffic prediction using machine learning, with a focus on neural network applications and research gaps. Section 3 details the methodology, including study area description, input variables, model construction, hyperparameter optimization, and validation strategies. Section 4 explains the implementation process and analyzes model performance under various configurations. Section 5 discusses the implications of the results, while Section 6 explores practical applications and future deployment scenarios. Finally, Section 7 concludes the study and outlines directions for future research.
2. Literature Review
2.1. Traditional Approaches to Traffic Prediction
Statistical and rule-based models for predicting congestion and accident probabilities were used in many research projects before using artificial intelligence (AI) extensively in traffic engineering []. Traditional regressions with time series analysis were utilized mainly with the help of records and static information of sensors to determine the flow of or crash rates [,]. For example, Bian et al. [] fused change-point detection and Bayesian networks to assess the time for the traffic incidents, reporting satisfactory results without deep learning. Moreover, Abuhamoud et al. [] pointed out that parametric models effectively regulate erratic traffic flow within urban areas. Despite their simplicity and favourable computational speeds, such methods usually fail to make them suitable for nonlinear, dynamic, real-time traffic conditions.
2.2. Limitations of Conventional Techniques
Despite their foundational role, traditional models face several limitations []. They generally assume stationarity, require extensive feature engineering, and cannot model complex dependencies in high-dimensional traffic data. Chen et al. [] reported that filter-based methods failed to track targets effectively in dense urban environments, leading to inaccuracies under sudden traffic disruptions. While effective for uncertainty handling, Salehi et al. [] showed that fuzzy logic struggled with generalization across diverse incident types. These shortcomings have motivated the shift toward learning-based solutions.
2.3. Emergence of Machine Learning in Traffic Forecasting
The introduction of machine learning (ML) has transformed the landscape of traffic prediction [,]. Early ML models, such as support vector machines (SVMs), decision trees, and k-nearest neighbors, provided better flexibility than conventional approaches. Sun et al. [] developed a two-stage incident detection model combining real-time traffic data and unsupervised learning for congestion identification. Li and Wang [] compared classical time-series models with ML algorithms and found the latter more adaptable for smart highway applications. However, ML models still required hand-crafted features and were sensitive to training data imbalance.
2.4. Neural Networks in Road Accident Prediction
Artificial Neural Networks (ANNs) have emerged as a powerful tool to model nonlinear interactions in complex traffic systems [,]. Li and Chen [] constructed a hybrid CNN-LSTM-GNN model using spatiotemporal trajectory features to predict accident risk in real-time, significantly outperforming traditional classifiers. Qin et al. [] introduced a self-attention mechanism for collision prediction using fused RGB and event-based inputs, demonstrating robustness under low-latency conditions. In another direction, Howlader and Haque [] utilized recurrent neural networks (RNNs) alongside video analytics to forecast intersection crashes, providing a basis for proactive interventions.
2.5. AI Models for Congestion Classification
Congestion classification has similarly benefited from ANN-based frameworks []. Pavan Kumar et al. proposed a hybrid SEM-ANN model combining behavioral factors with observed traffic data to forecast high-risk driving segments. Lamba et al. [] integrated visual drowsiness detection with DNNs to identify driver-related risk factors impacting congestion indirectly. These works support the feasibility of deep learning in modeling dynamic traffic behavior beyond simple volume estimation.
2.6. Research Gaps and Study Contribution
While significant progress has been made in leveraging AI for traffic prediction, most studies have relied on simulated or international datasets, limiting their applicability in locally diverse traffic systems. Additionally, few works have explored dual-purpose architectures capable of predicting accident occurrence and congestion severity within the same neural framework. The current study contributes to this gap by utilizing real-world field data from an Egyptian urban road and evaluating multiple validation schemes—resubstitution, 5-fold, and 10-fold cross-validation—under a Bayesian-optimized ANN architecture. This approach aims to bridge the methodological rigour of advanced learning techniques with the practicality of deployment in intelligent transportation systems (ITS). Importantly, the novelty of this study lies in its integrated dual-model approach, which simultaneously addresses both accident prediction and congestion level estimation. By combining these two critical aspects within a neural network framework, the study provides a more comprehensive tool for traffic management compared to prior works that typically focus on either accidents or congestion independently. This dual-focus strategy allows for coordinated interventions and more informed decision-making in real-world traffic systems, highlighting the unique contribution of the present research.
3. Methodology
This section outlines the systematic approach followed throughout the study, from data collection and variable selection to model construction, training, and validation. Figure 1 illustrates the workflow of the study.
Figure 1.
Work Flow of The Study.
3.1. Study Area and Data Collection
The study was conducted on a significant urban road segment in Cairo metropolitan area of Egypt. Field observations collected traffic data over three months, from February to May 2025. The collection covered various traffic scenarios, including weekdays, weekends, public holidays, and peak-hour conditions. This temporal diversity ensured a representative dataset that captures real-world traffic dynamics and event patterns. While the dataset captured diverse traffic scenarios, its overall size remained relatively limited, consisting of only 67 observations collected during the three months. Such a constrained dataset poses challenges for training neural networks, particularly regarding generalization to unseen conditions. To address this limitation, the study incorporated Bayesian Optimization during the hyperparameter tuning process. This approach is well-suited for cases where data availability is restricted, as it enables efficient exploration of the hyperparameter space with fewer evaluations compared to conventional grid or random search. By leveraging Bayesian Optimization, the modeling framework was able to reduce the negative impact of the small dataset and enhance the reliability of the obtained results, despite the inherent data constraints.
3.2. Input Variables and Target Outputs
The predictive modelling in this study relied on a comprehensive set of traffic and environmental variables. These included vehicle counts segmented by type (cars, buses, trucks, motorcycles) each as a single feature in the training data, average speed, congestion levels (on a 1-to-5 scale), weather conditions, time of day, number of traffic signals, number of lanes, public transport activity, weekday/weekend classification, holiday status, and presence of construction work. All variables were used as input features without dimensional reduction or feature exclusion.
Two prediction targets were formulated:
- Accident occurrence—a binary classification problem to predict whether a traffic accident occurred (Yes/No).
- Congestion level—a multi-class classification task to estimate the congestion intensity on a five-level scale.
3.3. Data Processing and Model Construction
Data processing and model development were carried out using MATLAB R2023b. The modelling pipeline employed MATLAB’s automated configuration settings to handle data structuring, integrity checks, and encoding where necessary. Artificial Neural Networks (ANNS) were selected as the modelling architecture due to their proven efficacy in handling nonlinear and multivariate relationships common in traffic data.
To ensure consistency and reliability, all categorical variables) were numerically encoded, while continuous variables were normalized to a standard scale prior to training. These preprocessing steps were implemented automatically within MATLAB Classification Learner as part of the optimization process, thereby minimizing the risk of bias due to data scaling or representation.
Two separate ANN models were constructed to address the dual prediction objectives described earlier. Each model shared a similar structure but was independently optimized and evaluated. Figure 2A,B shows the difference between the two neural networks depending on the type of output to be predicted.
Figure 2.
(A) Accident Prediction Model. (B) Congestion Prediction Model.
3.4. Hyperparameter Optimization
To ensure optimal model performance, Bayesian Optimization was implemented for hyperparameter tuning. This approach systematically searches the parameter space to identify the best combination of neural network configurations—including activation function, number of neurons, learning rate, and other relevant settings—by minimizing the loss function over successive iterations.
Bayesian Optimization enhanced the model’s generalization capability and avoided performance degradation associated with manual or random parameter selection.
3.5. Validation Strategy and Data Splitting
A robust evaluation framework was used to determine model performance under various conditions. Three training: testing ratios were studied, 65/35, 70/30, and 75/25, in order to assess the response of the model to training volume.
In addition, three validation techniques were employed:
- 5-Fold Cross-Validation
- 10-Fold Cross-Validation
- Resubstitution Validation
This methodological diversity provided a multi-angle view of model reliability and consistency. It also enabled performance benchmarking between various regimes of validation and partition strategies.
4. Model Implementation and Performance Analysis
The present section describes a thorough analysis of the models designed to forecast traffic accidents, the levels of congestion concerning their evaluation criteria, and a comparison of their efficiency in various experimental settings.
4.1. Accident Prediction Models
Four sets of artificial neural network (ANN) models were built and tested to predict the accident occurrence using various validation strategies and data segmentation ratios. The differences were in using 5,10–fold cross-validation and resubstitution validation with training/test splits between 65/35 and 75/25. Table 1 shows the Performance Summary of the Accident Prediction Neural Network Models with Different Validation Techniques. Figure 3 shows Test Accuracy Comparison Across Different Accident-Prediction Models.
Table 1.
Performance Summary of Accident Prediction Neural Network Models with Different Validation Techniques.
Figure 3.
Test Accuracy Comparison Across Different Accident-Prediction Models.
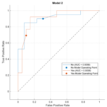
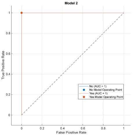
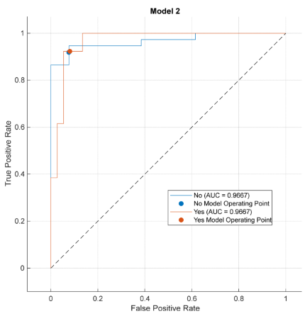
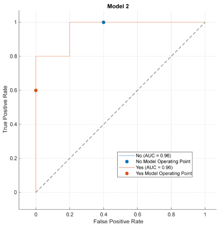
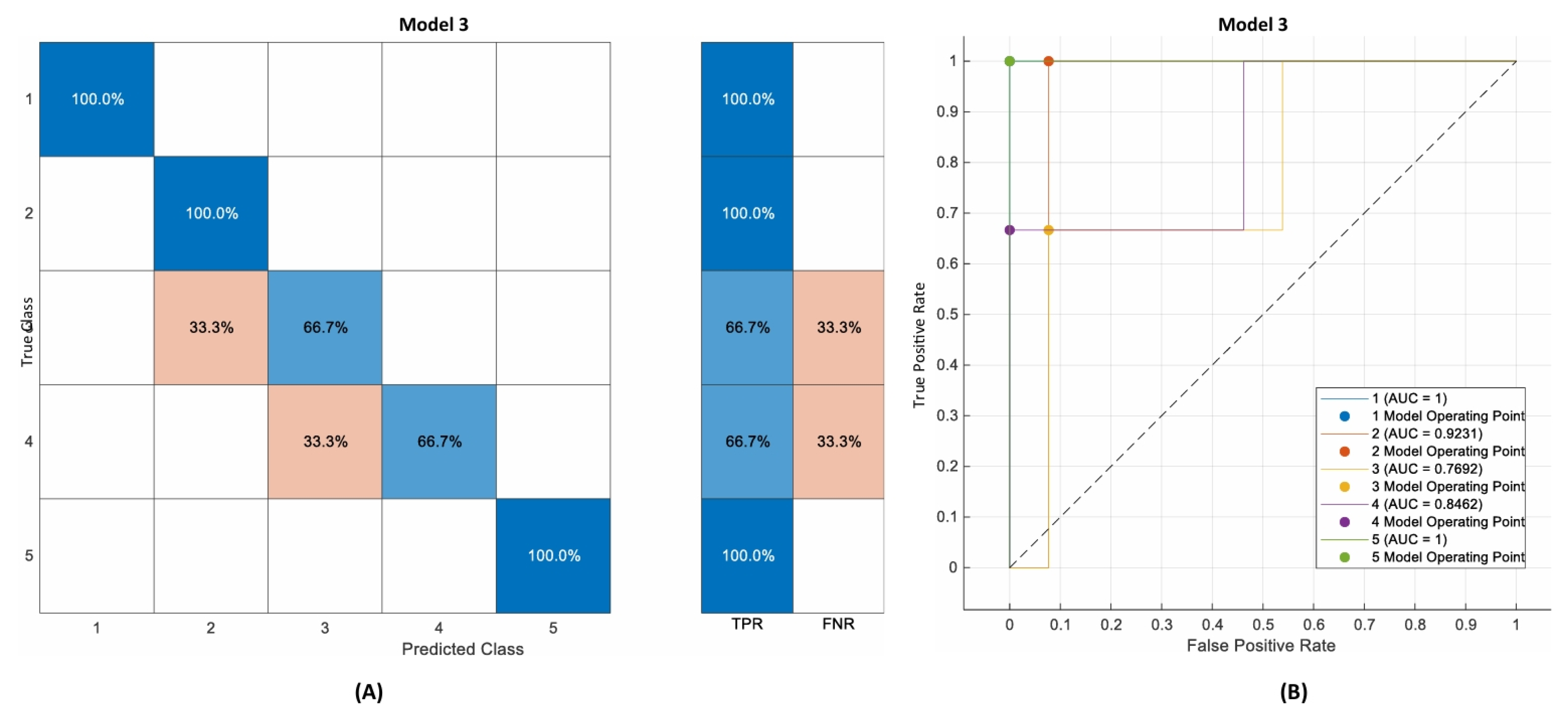
The models showed performance differences that were quite significant, depending on the method of validation used. For example, Model 1-C (which achieved a balanced performance with 92.2% validation accuracy and 93.8% test accuracy) was designed with a neural network architecture consisting of two hidden layers, where the number of neurons in each layer was optimized automatically through Bayesian Optimization by MATLAB Classification Learner. The tanh activation function was employed across the hidden layers, as it provided superior nonlinear feature extraction compared to alternative functions tested. Hyperparameters, including the number of neurons per layer, learning rate, and regularization strength, were tuned within predefined search ranges using Bayesian Optimization by MATLAB Classification Learner to maximize validation accuracy. Table 2 shows the results for accident prediction models, including confusion matrices and ROC curves for validation and Testing.
Table 2.
Results for Accident Prediction Models.
Model performance was assessed using standard classification metrics, emphasizing validation accuracy, test accuracy, and comparative consistency. Visual analytics complemented this evaluation, enabling a deeper inspection of classification behavior.
4.2. Congestion Level Prediction
In addition to accident classification, the same dataset was used to train the ANN models to predict congestion intensity. The problem was framed as a multi-class classification task, with congestion levels labeled from 1 (low congestion) to 5 (extremely high congestion).
The models were adapted to handle the expanded output space by adjusting the output layer configuration and classification strategy accordingly. Validation strategies remained consistent with those used in accident prediction, ensuring comparability.
Performance evaluation focused on prediction accuracy per class and overall precision in distinguishing between adjacent congestion levels, which tend to be more prone to misclassification due to their gradual transition in real-world settings.
Among the different validation strategies tested, the resubstitution-validated model yielded the highest numerical performance. However, due to potential overfitting concerns, these results are reported for comparative purposes only, while greater emphasis is placed on more robust validation approaches (e.g., train–test split and cross-validation) for model generalization. Using a 70%/30% train–test split, it achieved a perfect validation accuracy of 100% and a test-set accuracy of 87.5%. All network hyperparameters were tuned via MATLAB’s Bayesian Optimization, with the exception of the activation function, which was chosen as ReLU to improve nonlinear feature extraction. Figure 4 shows the test-set performance for congestion level prediction, with (A) the confusion matrix annotated by true positive and false negative, and (B) the ROC curve depicting the trade-off between sensitivity and specificity across thresholds.
Figure 4.
Test Results for Congestion Level Prediction (A): Test Confusion Matrix with TPR-FNR (B): Test ROC curve.
4.3. Performance Analytics and Comparative Summary
Multiple validation approaches allowed for a layered understanding of each model’s behavior under varying data scenarios. Overfitting was observed in models trained with resubstitution validation, where training accuracy reached 100% while test performance declined sharply. On the contrary, models assessed using cross-validation achieved a better generalization of all partitions.
Visual comparisons (confusion matrices and ROC curves) supported numerical findings and helped to get an intuitive understanding of classification strengths and weaknesses. These outputs cumulatively emphasized the need to use strict validation and partitioning of data while training predictive models for dynamic traffic systems. Figure 5 shows the overfitting analysis across all models by comparing validation and test accuracies to highlight discrepancies between training and evaluation performance.
Figure 5.
Overfitting Analysis Across Models.
5. Discussion
Experimental results in this study provide some key insights into the performance dynamics of neural network models with different validation strategies, data splits, and optimization protocols. This section introspects into those findings, discussing implications for robustness of the model, generalization, and practical deployment.
5.1. Impact of Validation Strategy
The validation technique became the most influential part in the manifestation of model accuracy and trustworthiness. Models that were assessed using 10-fold cross-validation consistently displayed a stable and balanced performance between the phases of validation and test. When compared, the models trained with resubstitution validation, no matter how perfect or near perfect the results were while training them, have shown a significant deterioration on the test set, meaning that they are vulnerable to overfitting. These patterns support the need for stratified validation frameworks in traffic prediction when generalization to unseen data is crucial.
5.2. Effect of Data Partitioning
The variation in train–test ratios also affected the model’s learning behavior. Model performance on the training set improved in most models as the size of the training set was increased from 65% to 75%, implying a positive association between the training volume and the model’s ability to encode complex traffic patterns. However, the gains in performance were not strictly linear, which shows that there is a need to balance adequate learning and adequate testing for an unbiased evaluation.
5.3. Role of Hyperparameter Optimization
Fine-tuned models based on Bayesian optimization were vastly superior to their counterparts, which were manually configured or pre-configured. The optimization process increased the level of predictive accuracy and made the validation and test sets more consistent. This emphasizes why an automated hyperparameter selection process is necessary for building high-performing models without extensive trial-and-error.
5.4. Dual-Task Prediction Performance
The neural architectural design effectively solved the problem of binary and multi-class classification tasks under the same framework. The accident prediction element performed well and remained accurate under strict validation, but the congestion level classifier proved competent at classifying the adjacent congestion intensities. This dual-task performance also represents the architectural flexibility of neural networks in multifaceted modeling of traffic phenomena, and this corroborates the model’s viability since it is applied in the real-world ITS coping.
5.5. Data Limitations and Mitigation
It is important to acknowledge that the relatively small dataset, limited to 67 observations, constrains the extent to which the proposed neural network model can be generalized. Consequently, the findings of this study should be regarded as preliminary evidence of feasibility rather than a fully deployable system. To partially offset the challenges of limited data, Bayesian Optimization was adopted for hyperparameter tuning, as it is known to be effective in extracting robust performance from small datasets by efficiently navigating the parameter space. This methodological choice contributed to improving the model’s stability and reliability under data-scarce conditions. Nonetheless, future research will require larger and more diverse datasets to validate and strengthen the generalizability of the proposed framework.
6. Practical Implications and Recommendations
The findings of this research highlight the potential of embedding predictive modeling into intelligent transporta tion systems (ITS) as a tool for proactive decision-making. The developed models demonstrated promising capa bilities in predicting both accident occurrence and congestion levels, which indicates their possible integration into real-world traffic management applications. However, it is important to acknowledge that these conclusions are based on data collected from a single urban road segment in Egypt, which naturally limits the scope of direct generalization to other locations, traffic conditions, or infrastructure settings.
Accordingly, while applications such as dynamic adjustment of traffic signals, real-time alerts to traffic operators, and improved congestion management represent viable use cases, the present results should be considered as proof-of-concept evidence rather than definitive validation for large-scale deployment. To strengthen practical utility, future work should extend validation across multiple road segments, incorporate seasonal variability, and include more granular traffic parameters such as lane-level occupancy and vehicle trajectories. Similarly, the integra tion of multimodal data sources—such as GPS feeds, camera-based tracking, and weather information—could en hance predictive accuracy and robustness. Ultimately, such developments would improve the generalizability and applicability of the models, enabling their deployment in broader intelligent transportation frameworks.
7. Conclusions
This study proposed a data-driven approach to forecasting both traffic accident occurrence and congestion severity using artificial neural networks (ANNs) trained on real-world observations from an urban arterial in Egypt. The methodological framework included many validation methodologies and data-division techniques to thoroughly evaluate the resulting model performance, including the relative benefits of cross-validation relative to the optimization of hyperparameters using Bayesian methods.
The results proved that models using optimal parameters and 10-fold cross-validation always performed better in generalization than models with resubstitution validation, which showed tendencies to overfit. This highlights the need for strong evaluation techniques when designing predictive models in dynamic, real-time systems such as traffic systems. The accident prediction model achieved a test accuracy of 93.8%, confirming its strong ability to generalize to unseen data. The congestion prediction model achieved a test accuracy of 87.5%, demonstrating its effectiveness in distinguishing between adjacent congestion levels.
The developed models also had the potential for integration into intelligent transportation infrastructures. From early warning control to emergency support, AI-based prediction mechanisms can improve decision-making capacities in traffic control. Further work can extend this research by implementing larger heterogeneous datasets, exploring more sophisticated neural architectures such as recurrent or convolutional models, and developing real-time prediction modules. Such extensions will be beneficial in promoting machine learning applications in traffic safety and efficiency.
Author Contributions
Conceptualization, B.A.A. and K.R.M.M.; methodology, M.H.A.; software, M.H.A.; validation, B.A.A., K.R.M.M. and A.-H.M.; formal analysis, M.H.A.; investigation, B.A.A.; resources, B.A.A.; data curation, M.H.A.; writing—original draft preparation, M.H.A.; writing—review and editing, K.R.M.M.; visualization, A.-H.M.; supervision, K.R.M.M.; project administration, K.R.M.M.; funding acquisition, K.R.M.M. All authors have read and agreed to the published version of the manuscript.
Funding
This research received no external funding.
Institutional Review Board Statement
Not applicable.
Informed Consent Statement
Not applicable.
Data Availability Statement
Data is contained within the article.
Conflicts of Interest
The authors declare no conflict of interest.
References
- Su, X.; Zheng, C.; Yang, Y.; Yang, Y.; Zhao, W.; Yu, Y. Spatial structure and development patterns of urban traffic flow network in less developed areas: A sustainable development perspective. Sustainability 2022, 14, 8095. [Google Scholar] [CrossRef]
- Bhardwaj, A.; Iyer, S.R.; Ramesh, S.; White, J.; Subramanian, L. Understanding sudden traffic jams: From emergence to impact. Dev. Eng. 2023, 8, 100105. [Google Scholar] [CrossRef]
- Hlupić, N.; Basch, D.; Ivanjko, E.; Prister, J. An Optimized Route Assignment for Preventing Traffic Jams. IEEE Access 2025, 13, 61207–61224. [Google Scholar] [CrossRef]
- Ravish, R.; Swamy, S.R. Intelligent traffic management: A review of challenges, solutions, and future perspectives. Transp. Telecommun. 2021, 22, 163–182. [Google Scholar] [CrossRef]
- Vansteenwegen, P.; Melis, L.; Aktaş, D.; Montenegro, B.D.G.; Vieira, F.S.; Sörensen, K. A survey on demand-responsive public bus systems. Transp. Res. Part C Emerg. Technol. 2022, 137, 103573. [Google Scholar] [CrossRef]
- Sánchez González, S.; Bedoya-Maya, F.; Calatayud, A. Understanding the effect of traffic congestion on accidents using big data. Sustainability 2021, 13, 7500. [Google Scholar] [CrossRef]
- Albalate, D.; Fageda, X. On the relationship between congestion and road safety in cities. Transp. Policy 2021, 105, 145–152. [Google Scholar] [CrossRef]
- Kumar, M.; Kumar, K.; Das, P. Study on Road traffic congestion: A review. In Recent Trends in Communication and Electronics; CRC Press: Boca Raton, FL, USA, 2021; pp. 230–240. [Google Scholar]
- Rudskoy, A.; Ilin, I.; Prokhorov, A. Digital twins in the intelligent transport systems. Transp. Res. Procedia 2021, 54, 927–935. [Google Scholar] [CrossRef]
- Akhtar, M.; Moridpour, S. A review of traffic congestion prediction using artificial intelligence. J. Adv. Transp. 2021, 2021, 8878011. [Google Scholar] [CrossRef]
- Gangwani, D.; Gangwani, P. Applications of machine learning and artificial intelligence in intelligent transportation system: A review. In Applications of Artificial Intelligence and Machine Learning: Select Proceedings of ICAAAIML 2020; Springer: Singapore, 2021; pp. 203–216. [Google Scholar]
- Razali, N.A.M.; Shamsaimon, N.; Ishak, K.K.; Ramli, S.; Amran, M.F.M.; Sukardi, S. Gap, techniques and evaluation: Traffic flow prediction using machine learning and deep learning. J. Big Data 2021, 8, 152. [Google Scholar] [CrossRef]
- Bharadiya, J.P. Artificial intelligence in transportation systems a critical review. Am. J. Comput. Eng. 2023, 6, 35–45. [Google Scholar] [CrossRef]
- Gao, H. Data Trustworthiness Assessment for Traffic Condition Participatory Sensing Scenario. Master’s Thesis, KTH Royal Institute of Technology, Stockholm, Sweden, 2022. [Google Scholar]
- Fraunhofer, I. Trustworthy AI for Intelligent Traffic Systems (ITS); Fraunhofer IKS: Munich, Germany, 2021. [Google Scholar]
- Ramalli, E.; Dinelli, T.; Nobili, A.; Stagni, A.; Pernici, B.; Faravelli, T. Automatic validation and analysis of predictive models by means of big data and data science. Chem. Eng. J. 2023, 454, 140149. [Google Scholar] [CrossRef]
- Montesinos López, O.A.; Montesinos López, A.; Crossa, J. Overfitting, model tuning, and evaluation of prediction performance. In Multivariate Statistical Machine Learning Methods for Genomic Prediction; Springer: Berlin/Heidelberg, Germany, 2022; pp. 109–139. [Google Scholar]
- Ye, F.-F.; Yang, L.-H.; Wang, Y.-M.; Lu, H. A data-driven rule-based system for China’s traffic accident prediction by considering the improvement of safety efficiency. Comput. Ind. Eng. 2023, 176, 108924. [Google Scholar] [CrossRef]
- Usama, M. Application of Machine Learning Techniques for Traffic State Estimation, Pattern Recognition, and Crash Detection. Ph.D. Dissertation, The University of Alabama in Huntsville, Huntsville, AL, USA, 2023. [Google Scholar]
- Yuan, C.; Li, Y.; Huang, H.; Wang, S.; Sun, Z.; Li, Y. Using traffic flow characteristics to predict real-time conflict risk: A novel method for trajectory data analysis. Anal. Methods Accid. Res. 2022, 35, 100217. [Google Scholar] [CrossRef]
- Bian, Z.; Zuo, D.; Ozbay, K.; Gao, J. Adaptive prediction of traffic incident duration using change detection and Bayesian networks. Transp. A Transp. Sci. 2025, 1–26. [Google Scholar] [CrossRef]
- Fadel, M.; Abuhamoud, N. Machine Learning-Based Traffic Flow Prediction for Enhanced Traffic Management. Wadi Alshatti Univ. J. Pure Appl. Sci. 2025, 3, 54–61. [Google Scholar]
- Duma, I.; Burnete, N.; Todorut, A. A review of road traffic accidents reconstruction methods and their limitations with respect to the national legal frameworks. IOP Conf. Ser. Mater. Sci. Eng. 2022, 1220, 012055. [Google Scholar] [CrossRef]
- Chen, C.; Ma, F.; Wang, K.-L.; Liu, H.-H.; Zeng, D.-H.; Lu, P. ShipMOT: A Robust and Reliable CNN-NSA Filter Framework for Marine Radar Target Tracking. Electronics 2025, 14, 1492. [Google Scholar] [CrossRef]
- Salehi, A.; Babaei, A.; Khedmati, M. Incident duration prediction through integration of uncertainty and risk factor evaluation: A San Francisco incidents case study. PLoS ONE 2025, 20, e0316289. [Google Scholar] [CrossRef]
- Khan, A.F.; Ivan, P. Integrating machine learning and deep learning in smart cities for enhanced traffic congestion management: An empirical review. J. Urban Dev. Manag. 2023, 2, 211–221. [Google Scholar] [CrossRef]
- Lohrasbinasab, I.; Shahraki, A.; Taherkordi, A.; Delia Jurcut, A. From statistical-to machine learning-based network traffic prediction. Trans. Emerg. Telecommun. Technol. 2022, 33, e4394. [Google Scholar] [CrossRef]
- Sun, Y.; Yu, C.; Wang, L.; Su, Z.; Ma, W. Two-Stage Detection of Incident-Induced Congestion at the Cycle and Movement Levels on Signalized Urban Roads Using Spatially Sparse Trajectory Data. IEEE Trans. Intell. Transp. Syst. 2025, 26, 8297–8307. [Google Scholar] [CrossRef]
- Li, J.; Wang, J. Real-Time Traffic Flow Prediction Model Based on Deep Learning: Taking Smart Highways as an Example. Int. J. High Speed Electron. Syst. 2025, 2540239. [Google Scholar] [CrossRef]
- Kadkhodayi, A.; Jabeli, M.; Aghdam, H.; Mirbakhsh, S. Artificial Intelligence-Based Real-Time Traffic Man-agement. J. Electr. Electron. Eng. 2023, 2, 368–373. [Google Scholar]
- Kodieswari, A.; Sabarmathi, K.; Remya, K.; Gayathiri, N.; Nithyapriya, S.; Malathi, T. Statistical AI Model in an Intelligent Transportation System. In Artificial Intelligence for Future Intelligent Transportation; Apple Academic Press: Burlington, ON, Canada, 2024; pp. 145–171. [Google Scholar]
- Li, H.; Chen, L. Traffic accident risk prediction based on deep learning and spatiotemporal features of vehicle trajectories. PLoS ONE 2025, 20, e0320656. [Google Scholar] [CrossRef]
- Bonazzi, P.; Vogt, C.; Jost, M.; Qin, H.; Khacef, L.; Paredes-Valles, F.; Magno, M. RGB-Event Fusion with Self-Attention for Collision Prediction. arXiv 2025, arXiv:2505.04258. [Google Scholar]
- Howlader, M.M.; Haque, M.M. Opposing-through crash risk forecasting using artificial intelligence-based video analytics for real-time application: Integrating generalized extreme value theory and time series forecasting models. Accid. Anal. Prev. 2025, 218, 108073. [Google Scholar] [CrossRef] [PubMed]
- Singh, S.; Singh, J.; Goyal, S.; Sehra, S.S.; Ali, F.; Alkhafaji, M.A.; Singh, R. A novel framework to avoid traffic congestion and air pollution for sustainable development of smart cities. Sustain. Energy Technol. Assess. 2023, 56, 103125. [Google Scholar] [CrossRef]
- Lamba, P.S.; Jain, R.; Khan, S.; Alanazi, S.M.; Jain, A.; Zamani, A.T.; Panwar, A.; Abdallah, A.M.A. Detection of Driver Drowsiness Using Adaptive Eye Characteristic Ratio for Enhanced Road Safety. IEEE Access 2025, 13, 84313–84328. [Google Scholar] [CrossRef]
Disclaimer/Publisher’s Note: The statements, opinions and data contained in all publications are solely those of the individual author(s) and contributor(s) and not of MDPI and/or the editor(s). MDPI and/or the editor(s) disclaim responsibility for any injury to people or property resulting from any ideas, methods, instructions or products referred to in the content. |
© 2025 by the authors. Licensee MDPI, Basel, Switzerland. This article is an open access article distributed under the terms and conditions of the Creative Commons Attribution (CC BY) license (https://creativecommons.org/licenses/by/4.0/).















