Abstract
The objective of this study is to investigate the performance of the ultrafiltration process as a purification method on the dyeing properties of a newly synthesized homobifunctional reactive dye. This is a green–blue reactive dye with two vinylsulfone groups. Namely, several properties, such as exhaustion, substantivity, fixation, time to half dyeing, migration index, light fastness, and the effect of metal salts, were studied thoroughly. It was proven that the processed bifunctional reactive dye shows higher exhaustion, substantivity, and dye-uptake values than the untreated one. It was found that the dye fixation is higher for the ultrafiltrated (92%) compared to the non-ultrafiltrated (85%) dye, while the migration index is slightly lower. It is indicated that, due to the possible chemical affinity between the dye and the substrate, a stronger retention is noticed for the treated dye. All in all, high fixation and substantivity lead to higher dye valorization and result in less hydrolyzed waste dyestuff, leading to less water and organic liquid waste at an industrial scale. The effect of metal salts addition (Fe3+, Co2+ and Cu2+) was studied as well, for comparison reasons, but it was found to be unnecessary. It is proven by the property values calculated that the overall process is valuable, since lower dyebath concentrations are required for satisfactory results. Thus, in large-scale dyeings, the ultrafiltration process can be proven to be valuable for environmental protection reasons.
1. Introduction
Reactive dyes have the ability to attach chemically onto fibers by forming strong covalent bonds through reactions. Their great fastness results are evident because of these reactions. Furthermore, they combine ease of application and previously unobtainable shades, depending on the chromophore groups they bear. Reactive dyes combine both chromophore and reactive groups [1,2,3,4,5,6]. Fibers dyed with reactive dyes illustrate a very stable electronic arrangement onto both the dyes’ molecules and the fibers’ macromolecules because of the absence of secondary forces or ionic attractions. That, thus, provides good resistance to the degrading effect of sunlight, since no “weak spots” are located on the dyed fabric. Reactive dyes can be used at low temperatures and consume less time for dyeing [7,8].
The reactive dyes are applied in two ways: (i) from high-pH solutions and (ii) from initially neutral and later alkalized solutions. Another classification lies in their functional group, so industrially, azo dyes (containing one or more chromophore azo groups −N=N−) are the major type of synthetic organic dyes, covering up to 70% of all synthetic dyes produced and applied. N-atoms are bonded to neighboring C-atoms by sp2 hybridization, which may belong to benzene, naphthalene, or heterocyclic aromatic rings. This gives the compounds a heavily hydrophobic character and the necessary unsaturated environment for electronic excitations, so as to produce this enormous range of hues [9,10,11]. The water-soluble part of the dye is necessary, not only in the case of a cellulose substrate but also for protein fibers, and usually consists of one to four sulfo-groups −SO3, adjusted on the large molecules synthesized [10,11].
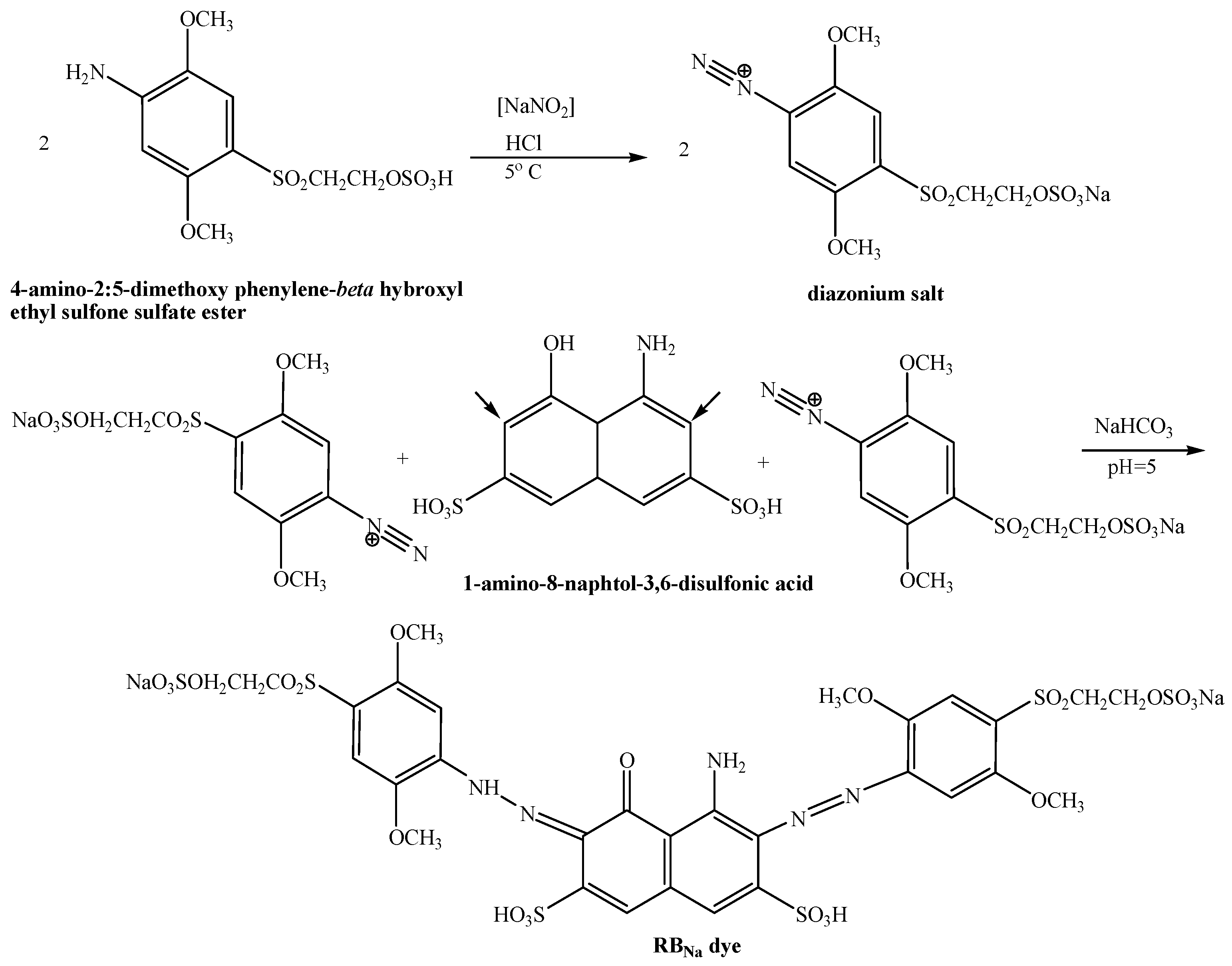
In previously published work, three new azo reactive dyes of different alkali salts (Na, K, and Li) were successfully synthesized, onto which eventually two vinylsulfones were attached as reactive groups. Subsequently, the dyes were characterized as compounds with laboratory techniques and tested in terms of dyeing on cotton, wool, and polyamide fabrics [11,12,13]. This Reactive Blue dye (RB) is manufactured according to the reaction sequence shown in Figure 1 and is destined for dyeing cotton fabrics due to its water solubility. The dyestuff was synthesized by diazotizing 2 mol of an amine, namely 4-amino-2,5-dimethoxyphenylene-β-hydroxyl-ethyl-sulfone sulphate ester, and later coupling it with 1 mol of 1-amino-8-hydroxy-naphthalene-3,6-disulfonic acid, so as to obtain the mono-azo dye results [10]. The yield of RBNa dyestuff has been calculated at 763.2 g/mol on amine [10] and is a novel prepared product.
Figure 1.
Scheme of synthesis reactions for bifunctional dyestuff RΒNa [11].
This feature provides a strong edge over usually “prohibited” colors, as well as cellulose colors. Moreover, reactive dyes may be applied in cellulosic and treated cellulosic substrates without alterations. The fibers that are dyed with reactive dyes can be safely dyed even with white garments without the danger of coloring them [8]. The mechanism of cellulosic dyeing is known. The nucleophilic OH groups on the surface of the cotton fibers (Cell-OH) are fond of deprotonation in the presence of alkali solution, turning to the even more nucleophilic (Cell-O−). The chemistry behind the dye–cellulose interaction is demanding. The alkali solution removes the sulfonic groups from the reactive dye, thus converting them to two highly reactive vinylsulfones. The Cell-O− sites then react with the vinylsulfones to give the anionic intermediate, which is stabilized by coordination as usual. The protonation follows, and finally, the permanent formation of a covalent C–O bond between the dye–fiber substrate occurs [2]. It needs to be noted that, along with the dye–fiber reaction, at the same time, the competing reaction of dye hydrolysis occurs in the dyebath. This side reaction is undesirable, as the hydrolyzed dye leads to either dye loss in wastewater or fewer dye sites are attached onto the fiber [6].
The commercial consumption of dyes is an important indicator when it comes to understanding the economic growth of a society. In developing economies and growing countries, such as India and China, the consumption of dyes is on a rapid rise owing to increased industrialization, urbanization, and expanding demographics [14]. It is estimated that more than half of global dyestuff consumption concerns cotton fibers, since it is the oldest body-friendly fabric with vast cultivation. Furthermore, their simpler dyeing process makes them more applicable [9]. The major (if not only) disadvantage of using reactive dyes is their environmental impact, particularly on wastewaters. The very same vast use of reactive dyes causes the extensive use of high electrolyte concentrations for enhancing, if possible, their exhaustion in the dyebath [1,2,3,4,5]. Nearly 10% of the millions of tons of dyestuff produced globally are discharged into the environment as effluent [9]. Despite the electrolytes, the exhaustion of the dyebath is still unsatisfactory, and the discharge of colored effluents leads to pollution issues [6,14]. So, for a compound to be used as a reaction dye, the rate of hydrolysis of the fiber–dye bonds must be negligible compared to the rate of retention of the dye on the fiber [6].
This is why, apart from exhaustion, the fixation parameter is fundamental also for their dyeings. Polyfunctional reactive dyes, with more than one supporting group and more than one leaving group of the same mobility, have intrinsically better chances to react. This is because every reactive group can cover another site of the fiber with the same probability. Hence, dyes with more than one reactive system are characterized by yields between 80 and 98% of the dye used, which reduces the washing-off problem considerably [15]. The fixation rate is 50–70% for monofunctional and 70–85% for bifunctional reactive dyes (since they provide stronger attachment and efficiency) [16,17]. On the other hand, the introduction of dyes fixable at neutral pH led to the avoidance of too vicious pHs for post-treatment before release to waste [18]. The most common dye auxiliaries applied are inorganic salts, organic compounds, various acids, surfactants, and metals like Al, Fe, Cu, Ni, Na, K, and Co complexed on dye-molecules [19]. Salt attention influences dye exhaustion, leveling, and color yield in reactive dyeing methods [17]. NaCl and NaCO3, for example, increase the cationic charge on the cellulose and facilitate the movement of the dye molecules toward the fibers, as well as their final stabilization. Regarding the migration index, it defines the migration behavior of an individual dye applied, ranging from 0 to 100. The dyeing process includes both physicochemical phenomena, namely adsorption, and diffusion of the molecules into the fiber. The movement of the dye from one part of the fiber to another (migration) or the formation of chemical bonds that hold the dye in the fiber (fixation) are certainly relevant to the migration index [20].
Various technologies, such as the advanced oxidation process, the membrane filtration technique, microbial technologies, bio-electrochemical degradation, and photocatalytic degradation, have been reported for the treatment of dye-industry wastewater [14]. The application of filtration, and ultrafiltration specifically, to dyestuffs aims to yield ultra-pure dyes with higher color performance in shorter quantities/concentrations [11,12,13,21]. Ultrafiltration (UF) is performed by membranes with a pore range of 2–50 nm and is motivated by the pressure difference on the two sides of the membrane. Usually, compounds with an MW < 1000 permeate the membrane, leaving the large molecules concentrated on the back side of the membrane [14,21]. Ultrafiltration, apart from pretreatment, is also used in the post-treatment of dyebath wastes [6] for isolating dyestuff that “slip” into the waste and can be reused, rather than being scattered into effluents. Thus, through fewer auxiliaries and treating the water (energy economy), the environment is protected from hazardous wastes.
The present study describes for the first time the overall dyeing performance of the previously synthesized reactive dye RBNa of blue–green shades, with two reactive vinylsulfone groups, on cotton substrates. Cotton, because of its commercial demands, is always primary in research improvements. Apart from the original dyestuff, its properties after passing an ultrafiltration/purification process were studied as well. A group of properties, such as exhaustion, substantivity, fixation, migration index, colorimetric measurements, solubility measurement, and light-fastness evaluation, as well as the effect of some metals on dyeing, were investigated. This study is a meaningful continuation of the corresponding study of a similarly synthesized dye, with one reactive vinylsulfone group (RRNa, of red color) [21]. The dyeing properties of the monofunctional dye with one active group (RRNa) on cotton substrate are already discussed [12,21], so valuable comparisons are stated eventually.
2. Materials and Methods
2.1. Materials
The previously synthesized novel reactive dye (RBNa) with the elemental formula (C30H24N5O23S6Na4 MW = 1106) (Figure 1), before and after ultrafiltration [12,21], was used for dyeing cellulosic substrates. KYKE SA Hellas (Thessaloniki, Greece) kindly supplied us with commercially available lightweight (140 g/m2) and knitted cotton fabric. Simple chemicals like CH3COOH, NaCl, and Na2CO3, used as auxiliaries in dyeing, were obtained from FlukaChemie AG (pro analysis, Buchs, Switzerland) and applied without any further purification.
Bleaching of the commercial fabric was considered obligatory for the removal of impurities and the uniformity of the white hue (background) on the cotton surfaces before reacting with the dyestuff. In that way, the colorimetric evaluation will be accurate. A 30 min water reflux boiling took place for the cotton fabrics in the presence of 5 g/L H2O2, 3 g/L Kahatex TE (ΜW = 600) as a dispersing agent, 1 g/L Na2CO3, in a ratio of 1:50. Bleached fabrics were removed from the flask, rinsed with cold deionized water, and left to dry before their dyeings. No folds or wrinkles were left behind.
2.2. Dyeing Procedure
Dyeing was performed in a ZeltexVista color dyeing machine (Zeltex Inc., Hagerstown, MD, USA) with 2 g of cotton fabric (of square shape 11.5 × 11.5 cm) and depths of dyeing 0.5, 1, 2, 4, 6, 8, 10% o.w.f. (on the weight of fiber) in a liquor ratio of 1:10. In Figure 2, the dyeing process, steps, and conditions of the cotton fabrics are presented. The half-time of dyeing, i.e., the time needed to reach 50% of final exhaustion (t50) after the addition of alkali, was determined for 2 g of cotton fabric at depths of 1 and 2% o.w.f. in a liquor ratio of 1:10. Eight dye-tubes were prepared containing the dye, 60 g/L NaCl, and 15 g/L Na2CO3 in 60 °C dyebaths. The tubes were removed after 3, 6, 9, 12, and 15 min when the dyed samples were removed and immersed in 1 L of cold water for 15 min to prevent further fixation (so as to “capture” the state of each time interval for kinetics’ picturing). All the samples were then washed at 98 °C with 20 mL of water for 15 min to remove excess dye that had not reacted and left to dry stretched out. The shades provided on the cotton fabrics by RBNa were in a blue–green palette.
Figure 2.
Cotton dyeing process with the reactive dyestuffs studied.
2.3. UV-Vis Spectrometry
The quantitative evaluation of dyestuff performance (thus, yield of dyeing reaction) was executed through UV-Vis spectrometry. A Shimadzu UV-1800 spectrophotometer equipped with UVProbe ver. 2.61 software (Shimadzu, Kyoto, Japan) was used for obtaining the absorption spectra. The scan region was 700–400 nm with a slit width of 1 nm and a peak threshold 0.001. The beam in the Starna glass cuvettes (type 1, material G, Hainault Industrial Estate, London, UK) had a 10 mm path length to cross. The baseline was taken with deionized water as a background. It was found that maximum absorption for this dyestuff was at λmax = 620 nm.
2.4. Color Measurement
Colorimetry measurements were performed using a Macbeth CE 3000 spectrophotometer under D65 illumination, a 10° standard observer with UV included and a specular component included (SCI). The samples were folded twice, and four measurements were performed each time [22,23]. Apart from the coordinators L*, a*, and b* and the parameters c* and h° given directly, the dyed cotton fabrics were examined for their color strength (K/S) and evaluated with the light reflectance technique, using the well-known Kubelka–Munk Equation (1):
where R is the reflectance of the dyed fabrics at the maximum absorption wavelength, S is the scattering coefficient, and K is the absorption coefficient of the dyed fabrics. Reproducibility of the measurements was checked by taking four values and calculating the variation in percentage reflectance values over the range of 400–800 nm.
2.5. Determination of Dyeing Properties
Exhaustion values were calculated by measuring spectrophotometrically the absorbance of the dyebath solutions at λmax = 620 nm before and after dyeing. The dyestuff that remains in the dyebath solution means that it has not been retained by the fabric. Thus, the percentage dye exhaustion (E%) values are determined by Equation (2):
where the dye concentration before placing the fabric into the dyebath (C0) and after dyeing (Cf) are used, according to the implicated calibration curve.
For measuring the dye fixation on the substrates, 2 g of cotton fabric were dyed at 1% o.w.f. in a liquor at 1:10 (as described in Section 2.2) at T = 60 °C for t = 60 min. The samples were washed with cold water, neutralized at 60 °C with a 0.5 g/L CH3COOH solution for 15 min, and finally, were washed at 98 °C twice (15 min). The K/S values were measured before and after soap washing (commercial simple soap in an aqueous solution 10% w/v) [24]. The dye fixation (%) was evaluated using Equation (3) by incorporating the previous results:
For the substantivity measurements, similarly, 2 g of cotton fabric were dyed at 1% o.w.f. in a liquor at 1:10 (as described in Section 2.2) at T = 60 °C and for t = 60 min. The (%) substantivity is calculated by using UV-Vis absorptions, as follows in Equation (4):
where Ain and Afin are the initial and final absorbance of the dyebath solutions in the UV-Vis absorption recordings (as described in Section 2.3).
Regarding the migration tests, 4 pieces of cotton of 2 g each, named D1 and D2 and B1 and B2, were dyed as described in Refs. [21,25]. After 20 min at 60 °C, both tubes were removed from the dyebaths and the samples were exchanged, making pairs D1B1 and D2B2, as described in Refs. [21,25]. Next, the fabrics were removed and squeezed, then put separately in shock fixing baths: Β1 in shock fix bath (100 g/L NaCl, 20 g/L Na2CO3, liquor ratio 10:1, Τ = 60 °C, t = 60 min) and D2 in shock fix bath (100 g/L NaCl, 20 g/L Na2CO3, liquor ratio 10:1, Τ = 60 °C, t = 60 min). Next, B1 and D2 were rinsed with cold deionized water and dried. Measurements of K/S for the B1 and D2 samples, as described in Section 2.4, were incorporated for the migration index (%) calculations using Equation (5) [25]:
The dye-solubility test was performed for the RBNa dyestuff before and after ultrafiltration. The solubility was determined by weighing the appropriate amount of dye, dissolved in 200 mL of deionized water at 95 °C for 5 min, and then placed in a thermostatically controlled water bath at 25 °C under stirring for 2 h. The solution was then filtered under vacuum on double Whatmann N°4 filter paper. The upper side of the filtered part was examined in terms of insolubles and sediment left. The procedure was repeated for as many concentrations of the dyes as needed to find the maximum level of solubility of the dyes. The process was repeated for the dye before and after ultrafiltration.
The effect of the metals’ presence in the dyebaths was evaluated as well. Four samples (2 g each) were dyed at 2% o.w.f. in a liquor ratio of 1:10 (as described in Section 2.2), while 4 dye pots were then prepared: one with the dye, the fabric, and the bath of 60 g/L NaCl, and 15 g/L Na2CO3 used as the control pot. The other three pots included the previous components, plus the presence of the metal salts, inserted at 60 °C for 60 min. The metal salts used were 0.5% o.w.f. Fe2(SO4)3, 0.2% o.w.f. CuSO4, and 0.2% o.w.f. CoSO4 (FlukaChemie AG, Switzerland). The samples after dyeing were washed with cold water, neutralized at 60 °C with 0.5 g/L CH3COOH for 15 min, washed at 98 °C twice (15 min), and left to dry. The K/S values of all of the dyed samples were measured as described in Section 2.4 for determining the effect of the metal cations on the dyeings.
Finally, and most crucially, light fastness was determined according to BS 1006 1990 BO2 using a Q-SUN Xe-1-B xenon light-fastness machine (Q-Lab Corporation, Westlake, OH, USA, Serial N°: 07-3281-26-X1B). The lamp is a single Xe-arc lamp providing a 300–800 nm irradiation, while its source intensity is measured at 340 nm, 0.50 W/m2. The samples were mounted in the special holders and placed on the 10°-slanted tray inside the exposure air-cooled chamber for 48 h. The working temperature was set at 50 °C, and the lamp efficiency was checked regularly. Color changes for all of the samples were assessed visually using a VeriVide D65 (Leicester, UK) light cabinet.
2.6. Ultrafiltration Process
A laboratory ultrafiltration unit equipped with a tubular membrane supplied by PCI Membranes (UK) was elaborated. The membrane used was the polyamide type AFC 40, while aqueous dye solutions of 0.5% w/v RBNa were prepared. An initial volume of 3 L of the dye solution was passed through the ultrafiltration unit at 40–50 °C, whereas 6 L of water at 40–50 °C were added into the unit to keep the initial volume of 3 L constant (the diafiltration rate was at a 1:2 volume). The flow rate was 40–70 L/h/m2, and the unit was operating at 18-bar pressure, which was constant for the whole process. After the completion of diafiltration, a concentration step was performed, reducing the dye volume from 3 L to 1.5 L [13]. The name of the dyestuff gathered after drying the UF product is UF-RBNa. All dyeings and measurements described in the previous paragraphs were performed with both RBNa and UF-RBNa dyestuffs [21].
3. Results and Discussion
Beginning with Figure 3, it verifies the UV-Vis spectra of the reactive dye before and after ultrafiltration. As can be seen, the UF-RBNa dye shows a higher absorbance than the RBNa reactive dye, 0.530 at λmax = 620 nm and the UF-RBNa of 0.605 at λmax = 618 nm. While the λmax setback between the two is negligible, the higher absorbance of 15% for the ultrafiltrated dye can be attributed to its purification (since the solutions were of identical concentrations), eliminating byproducts or inorganic salts and used either for the initial synthesis of RBNa or being present in the raw materials. So, it can be stated that ultrafiltration has resulted in a stronger or purer dye [14,21]. It is known that small compounds interact electrostatically with the main cellulosic “open” sites or dye molecules and obstruct their performance. Similar results were obtained in previous research work for all dyestuffs treated with the UF method, confirming that UF technology results in a purer, more concentrated, and, consequently, better quality dyestuff [26,27].
Figure 3.
The two UV-Vis absorptions of RBNa (red line) and UF-RBNa (black line) prepared dyestuffs.
Overall performance of UF-RBNa can be related to the dyestuffs’ solubility also [17]. The higher solubilities achieved were, for RBNa, 110 g/L, while for UF-RBNa, it was 190 g/L at 95/25 °C. This allows for the use of UF dyes in the production of highly stable, high coloristic value formulations [10], whose molecules move toward the fibrous substrate more easily.
Then, Figure 4a shows the exhaustion values, E%, of both the RBNa and UF-RBNa dyes at various application levels. As can be seen, the exhaustion is slightly higher for the UF-RBNa dye, which can be attributed to the purer and stronger character of the UF dye as a result of the ultrafiltration process. Additionally, the exhaustion of both dyes decreases with the application of higher levels of dyes, which is a common, typical characteristic of the reactive dyes. This decrease in E% at higher depths of shade can be explained in the case that, at lower % o.w.f., more dye can be absorbed by the reactive cotton dye sites, leading to more colorant eventually retained on the cotton. Likewise, as the concentration of the dye in the dyebath is increasing, the percentage of dye molecules absorbed by the cotton is decreasing. That decrease is analogous for both RBNa and UF-RBNa dyes, while the UF-RBNa dye shows, in general, lower E% values in all cases. Similar results we have obtained in previous research [21,26,27]. Thus, the purification process resulted in a stronger dyestuff for sure [12]. It deserves to be noted, though, that the corresponding results for monofunctional RRNa dyestuff reached 50–60% for 0.5% o.w.f., while it reached 94–95% for bifunctional RBNa. All in all, it is observed that the worst performances of E% for the o.w.f. tested for bifunctional RBNas are greater than the best performances of E% for monofunctional RRNas [21], which really valorizes the reactions from two sites. Figure 4b shows the effect of dyeing time on the exhaustion of the dyes, i.e., the kinetics of exhaustion. As shown, the E% values increase with the dyeing time for both dyes, as anticipated, whereas Figure 4b also shows that exhaustion of both the RBNa and UF-RBNa dyes occurs mostly within the first 30 min of dyeing, with the first 20 min having a greater rate. The exhaustion rate of UF-RBNa dye is slightly higher than the RBNa dye but of the same pattern. Generally, the exhaustion of commercial reactive dyes is around 65% to 70%, so the values achieved here reveal the efficiency of the whole system prepared and studied [17].
Figure 4.
(a) Effect of depth of shades on the exhaustion of the dyed cotton fabrics and (b) effect of dyeing time on the exhaustion of 1% o.w.f. dyed cotton fabrics for both dyestuffs.
Regarding the time of half dyeing, where 50% dye exhaustion has occurred, it is almost the same for both dyes, in t = 10 min of dyeing (so t50% = 10 min for RBNa), which is very typical for vinylsulfone-type reactive dyes (same as for RRNa analogue) [21]. Thus, the exhaustion kinetics are heavily dependent upon the chemistry of the functional groups of the dye. The visual evaluation of the cotton fabrics dyed for both dyes RBNa and UF-RBNa may be seen in Figure 5a,b, where at high application strengths, a nice deep greenish-blue shade (emerald hue) was achieved. The research was meticulous regarding the multiple o.w.fs studied under all circumstances and for all properties. Deeper hues are shown for a low o.w.f. when UF-RBNa was used, even with bare-eye observation.
Figure 5.
Dyeings of cotton fabrics dyed with (a) RBNa dye and (b) UF-RBNa dyestuff at 0.5, 1, 2, 4, 6, 8, and 10% o.w.f. correspondingly.
Figure 6a shows the dye uptake for both the RBNa and UF-RBNa dyes in terms of K/S values, where the UF-RBNa dye shows higher K/S values compared to the non-ultrafiltrated RBNa dye. Particularly, for a certain shade, while the UF-dye presents a lower E% (Figure 4a), it results in a greater K/S value (Figure 6a); the UF-RBNa is a stronger dye. This is certainly due to the ultrafiltration process that, as stated above, results in a purer, stronger colorant material. It is obvious that the elimination of inorganic impurities and the low MW synthesis byproducts of the dyes result in a dye of higher tinctorial strength [13]. Figure 6b shows practically how dyeing time affects its consumption in the dye bath and is expressed as K/S values calculated for both dyestuffs. The same pattern has previously been observed [21], where the K/S values of the UF-RBNa dye are higher than the K/S values obtained for the RBNa dye. And both are greater than the K/S values recorded for the monofunctional RRNa case in the previous study [21]. As shown in Figure 6b, most of the dye has been adsorbed after 30 min of dyeing, which confirms the exhaustion findings of the previously discussed results in Figure 4b. The kinetic observation of the K/S changes was performed with a 1% o.w.f. dyeing experiment so that the changes seem more evident. Similar trends would be anticipated in the higher % o.w.f. of the dyeings and omitted in this article for the sake of brevity.
Figure 6.
(a) Effect of depth of shades on the color strength for all dyed fabrics and (b) effect of dyeing time on the color strength of dyed cotton fabrics at 1% o.w.f., with both dyestuffs.
Moving on to Figure 7, it demonstrates the effect of dyeing time on the fixation (kinetics of fixation) for a specific dyeing experiment. As can be seen, first, the F% values increased with the dyeing time for both the UF and non-UF dyes, and second, both dyes show a similar fixation pattern. The final F% of the synthesized reactive dyes is about 94% for UF-RBNa and 92% for RBNa, which is considered high [1,28,29,30]. The dye RBNa is a bifunctional dye. Thus, its already enhanced possibilities of reaction with the fiber lead to greater fixation and less hydrolyzed dye-fiber groups. Fixation of the dye to the fiber can take place by the reaction of the cellulosic anion with either reactive group, although, because of the higher reactivity of the vinylsulfone group, it makes a greater contribution to the dye [17]. The rate of fixation increases with the increased values of reactivity, substantivity, and diffusion. Corresponding to the hydrolysis reaction, the rate of fixation also depends on the pH, so that an increase in the pH level of the reaction conditions will lead to a drastic acceleration in the rate of fixation [17]. The extent of the research on fixation efficiency is continually conducted by ameliorating the alkali content, temperatures, processes, pHs, and times as well. Yet, the most efficient change is the increase in the reactive spot sites [17]. It is given that the use of two reactive groups on a dye molecule results in higher fixation efficiencies [15,29]. The extent of the dye-fiber reaction is very important in the textile industry, since higher fixation rates result in less hydrolyzed reactive dye in the effluents and less harmful waste (contaminated wastewater and toxicity for living organisms) [9,30]. The t of 30 min for ultimate fixation is in accordance with the literature’s most common results for reactive dyes [17].
Figure 7.
Effect of dyeing time on the F% values regarding RBNa and UF-RBNa dyeing at 1% o.w.f.
During UF, no particle size alteration exists for the dyestuff itself, and the structure of the dye and its MW are certain (see Section 2.1). The membrane pore size just secures the elimination of the byproducts that are produced during synthesis and would affect the dyeing performance [14]. It may occur that the size of the molecules penetrating the membrane is larger in size than the nominal pore size indicated by the provider. This is to our knowledge, and industrial conditions may vary too. Yet, the purpose of the study is fulfilled. No great agglomerations are found in the UF-RBNa, and thus, the active dyeing molecule is more concentrated after that treatment. As a result, UF is a “tool” for reducing the environmental impact of the textile industry by reducing unnecessary contamination in wastes [9]. Studies have shown that dyeing 1 kg of cotton could generate 150 kg of wastewater that contains up to 50% of non-reacted hydrolyzed dye initially applied in the dyebath and up to 100 g/L of salts [4,5]. Removal of unfixed dye at the washing stages is often not easy due to the higher substantivity built into such dyes [2].
Next, the influence of an alkali environment, i.e., dye baths at higher pHs, is studied in Figure 8 through the substantivity and fixation of both RBNa and UF-RBNa dyes on the dyed cotton fabrics. The substantivity of a dye refers to the process during which dye molecules are attracted by physical forces (not chemical bonds) at the molecular level to the textile. Plus, high fixation and substantivity lead to better dye utilization and result in less hydrolyzed dye and less effluent waste [6]. As can be seen, the S% value of the UF-RBNa dye is relatively higher (78%) compared to the substantivity of the RBNa dye (74%), which is explained by the fact that ultrafiltration resulted in a purer, cleaner dye by taking out not only the inorganic impurities but the organic byproducts that were formed during its synthesis as well. It is also worth noting that the substantivity of the RBNa and UF-RBNa is considerably higher than the substantivity of reactive dyes with one active group (RRNa), as shown in previously published work [21]. The increased substantivity of a bifunctional reactive dye, compared to a reactive dye with one reactive group, is certainly attributed to the increased molecular size and the drastic reactivity [7,31]. Figure 8b shows the fixation values of both dyes, namely RBNa and UF-RBNa, in the presence and absence of the common alkali Na2CO3. As shown, the F% is higher for the UF reactive dye than the non-UF, and this can be explained as above for the cleaner, more “active” dye [32,33]. After the addition of soda, the migration of the dyes ceases, and they start reaching either the fiber or the water molecules. Regarding the hydrolysis reaction, the rate of fixation also depends on the pH (as in all aqueous environments), so an increase of the pH level of the reaction conditions will lead to a drastic acceleration of the rate of fixation. This is well-known for all reactive dyes on cotton, since due to the presence of alkali, the cotton hydroxyl groups dissociate, giving rise to strongly nucleophilic reactive sites that are able to react with the dye reactive groups in order to form covalent bonds. This is how the alkali results are reported, much higher than the F% values at lower pHs (Figure 8b).
Figure 8.
(a) Substantivity and exhaustion percentages and (b) fixation percentages of RBNa and UF-RBNa dyeings in the absence or presence of Na2CO3.
The simple Figure 9 points out the migration index for both the RBNa and UF-RBNa dyes from the corresponding specific experiments. After the addition of the alkali, the migration of the dyes decreases, then it is noticed to start reacting with the fiber. Migration of the dye is defined as the ability of the absorbed dye to move within the fiber, from a heavily absorbed area of the substrate to a less-absorbed area of the same substrate, resulting in more level dyeings. So, the migration process physicochemically combines adsorption of the dye onto the fiber surface, migration through the dye liquor, and re-adsorption onto the fiber after the consequent diffusion of the previous dye to the interior of the fiber. Some of these phenomena are competitive with each other. Migration itself is heavily influenced by the dyeing temperature (for moving facilitation) and the pH of the dye solution (for ion maintenance). The migration index defines the migration properties of an individual dye, reflecting its potency in producing level dyeings. Knowing that, Figure 9 shows that both reactive dyes show a greater migration index, with the RBNa dye at MI = 81% compared to UF-RBNa (71%) [21]. The difference in the MI between the UF and non-UF dye can be attributed to the higher mobility of the molecules in its case. The UF process has resulted in a purer reactive dye with higher fixation rates and greater terms for covalent bond formation and non-destructive functional groups and, thus, less migration. This is because the migration of a dye depends on the chemistry of the dye, the molecular structure, and, of course, the stereochemistry of the dye. External factors, such as concentration of the dye added to the dyebath, time, temperature, liquor ratio, rate of liquor, pH, circulation of the dyebath, and fabric construction/weaving, generally also play a key role [17,25]. It is true that the field experts consider deeply all the above parameters when dyeing with reactive dyestuffs on cotton fabrics industrially. This is why the experimental part of that study is so detailed in all of the tests performed. The higher temperature during the exhaustion phase promotes migration and diffusion, resulting in a more level and well-penetrated dyeing.
Figure 9.
Migration index on cotton samples dyed with RBNa and UF-RBNa under the same experimental conditions.
Apart from the characteristics of the colorants in terms of dyeing performance, the suitability of the dyestuffs was examined colorimetrically as well. This is a whole different approach for the evacuation of the dyestuff, since it does not depend on the chemical conditions of the system but more on the chemistry of the molecules synthesized. In Table 1, the colorimetric data L*, a*, b*, C*, h°, and K/S of the samples dyed with the RBNa dye before and after UF treatment are thoroughly given, according to the CIELab system presentation. As defined by CIE, color may be expressed by three values/coordinates: L* for lightness on the axis black–white, a* for the red–green axis, and b* for the blue–yellow axis, as perceived by the human eye. Moreover, C* represents chroma and h° is the hue angle as the polar coordinators. The values listed in Table 1 show that the K/S values for both dyes are increasing with the increasing depth of shade. The K/S values show that samples dyed with UF-RBNa have higher results than the corresponding K/S values obtained with RBNa dye, showing that the UF process resulted in a dye with higher coloristic strength [12]. The low b* values indicate the blueish colors of the fabrics were achieved.
Table 1.
Colorimetric data L*, a*, b*, C*, h°, and K/S values of the cotton samples with RBNa and UF-RBNa.
The K/S increases naturally at higher depths of shade. The λmax values for recording K/S are 640 nm for both RBNa and UF-RBNa dyes at a lower o.w.f. and 620 nm at a higher o.w.f., indicating the visible hue changes among them (Figure 5a,b). The color coordinates a* and b* show negative values, resulting in “greener” and “bluer” shades correspondingly. The emerald shade attributed to the synthesized dyestuff (Figure 1) verifies this shift to “greener” and “bluer” shades at the same time. Two decimals are kept for all data in Table 1 in terms of consistency, but the differences are already great.
Additionally, Table 2 illustrates the effect of the light fastness of the dyed cotton in various depths of shade. Grey scale was elaborated for the evaluation of the results, whereas the initial fabrics were kept masked for comparison reasons. The grey contrast onescale (the scale five to 1 indicates a gradual contrast increase) is described in ISO 105-A02 (BS 1006 A02 1978 SDC Standard Methods 4th edition A02 of the British Standards Institution) [34] to detect any color changes in terms of contrast on the fabrics [34]. The observation/comparison was made when the sample was removed from the aging chamber. The light-fastness values are medium to great, as one would expect, for typical vinylsulfone reactive dyes. Ultrafiltration slightly improves the light-fastness properties, which can be attributed to the elimination of byproducts that affect fastness-to-light performance. It is possible that impurities cause the deterioration of color performance over time by provoking side reactions on the substrates’ surfaces. This small improvement can be observed only at pale-light shades. There are no great differences observed practically at heavier depths of shades. Note that the same experienced researcher visually observed the samples compared to the grey scale under the same light conditions secured for experimentation.
Table 2.
Light fastness of cotton samples dyed with the dyes RBNa and UF-RBNa at grey scale (scale of 5), as the ISO proposes.
Finally, a basic query of this study will be answered via Table 3, which accumulates the colorimetric data of the dyeings obtained for both the RBNa and UF-RBNa dyes in the presence of salts (metal cations after their hydrolysis, in fact). Their final dyeing performance is adequately evaluated through colorimetry. All sulfate reagents used in the experiments were eventually hydrolyzed so that the ions Fe3+, Cu2+, and Co2+ were present in the dyebaths. The reason for that is that the effluents discharged from dye industries contain a mixture of metals, sulfates, and other pollutants for the sake of dyeing success [14]. Herein, the presence of Fe3+, Cu2+, and Co2+ resulted in lower K/S values for both RBNa and UF-RΒNa, with Cu2+ and Co2+ showing a detrimental effect on dye uptake, as this is expressed with the very low K/S values obtained. So, the presence of salts leads to lower success rates. All dyeings obtained in the presence of Fe3+, Cu2+, and Co2+ are much “greener” in hue, as can be understood from the a* values, and “bluer”, as can be understood from the b* values, as in the original dyeings.
Table 3.
Colorimetric data L*, a*, b*, C*, h°, and K/S values of the cotton samples dyed with both reactive dyes at 2% o.w.f. in presence of metal cations.
In accordance with Table 3, Figure 10 visually demonstrates the effect of the metal salts present in the dyebath on the corresponding dyeings obtained, compared to blank/control dyeing for UF-RBNa dye (at the same 2% o.w.f). The detrimental effects of metal cations on the color strength and shade are clearly illustrated. It is well-known that metal salts play a key role in dyeing systems, since they can form dye–metal complexes with the chromophoric groups in the dyes and, thus, show big color changes. Additionally, they can induce dye aggregation and, thus, reduce the solubility of the dye in the dyebath [35]. In the case of RBNa, though, we may surely state that those advantages did not work out well. The control samples (i.e., dyeing in the absence of metals) illustrate greater colors than the dull and weak green hues of the cation-treated samples. Analogous observations were stated for the monofunctional reactive RRNa dye, which could benefit more from the dye–metal complex retention and, yet, did not [21].
Figure 10.
Comparison of dyed cotton fabrics with (a) RBNa and (b) UF-RBNa dyestuffs, blank or in presence of Fe3+, Cu2+, and Co2+ sulfates, from left to right correspondingly.
Wastewater released by textile industries globally is generally burdened with various chemicals, in terms of organic compounds, ions, and heavy metals, and this is hard to change. The advancement of post-treatments has been made regarding the management of dyes’ wastewater and effluents, known for decades now, for protecting groundwater and environmental resources, in accordance with national regulations around the world. The approach proposed in this research is to invest in (i) higher chemistry regarding the colorant molecules by increasing the stronger bonding of reactive dyes on substrates with multiple reactive groups and (ii) pre-treatment techniques, as a means of achieving a condensation step for reducing the dyestuff concentrations (for the given o.w.f.) applied in dyeing industries from the beginning. The comparisons made in the Discussion between the results obtained for when a reactive dye with one vinylsulfone group was applied (namely RRNa, of red color) [21] under the same conditions with the similar reactive dye with two vinylsulfone groups, RBNa, verify the first argument. The overall higher performance of the second dye proves that the chemical structure is the most important tool in experts’ hands. Second, the detailed evaluation of the values and results gathered and calculated for the UF-RBNa reactive dye was studied, which verifies that a concentrated dyestuff performs great at a lower o.w.f. in water dyebaths. Thus, the approach proposed for “cleaner” wastewaters is achievable if these two investments are pursued. Certainly, this trend can be generalized for all dyeing processes concerning reactive dyes.
4. Conclusions
The dyeing properties of a reactive dye with two vinylsulfone groups were extensively studied in this piece of work as never before. RBNa dye, synthesized in a lab, provides a greenish-blue hue on cotton substrates. Those parameters were the exhaustion, substantivity, fixation, migration index, solubility, and fastness characteristics, as well as the effect of metals in the dyebath, both before and after the ultrafiltration process that the dye was submitted to. It can be concluded that exhaustion (E%) of both RBNa and UF-RBNa dyes occurs mostly within the first 30 min of dyeing, while the color strength (K/S) increases with time in both cases. Substantivity and fixation are higher for the ultrafiltrated dye as well. All of the above dyeing parameters increased, which can be attributed to the elimination of inorganic impurities and other byproducts present in the dye, thus resulting in a purer, cleaner, coloristically stronger dye. The migration index appeared slightly higher in the original dye compared to the UF one, which is possibly due to the lower mobility into the fiber. The effects of the metals Co2+, Fe3+, and Cu2+ have resulted in a reduction in the color strength (15.74 compared to 14.03, 4.93, and 8.24, correspondingly) and had a pronounced effect on the shade of the dyeings obtained. UF improved the solubility of the RBNa dye (SRB = 110 g/L, while SUF-RB = 190 g/L at 95/25 °C), as anticipated, by removing the impurities. As for the shades achieved, they belonged to the emerald palette, resisting light fastness at a high depth of the shades under the conditions tested. To conclude, the synthesis and application of bifunctional reactive dyes are a useful development, from an ecological point of view, because the high degree of fixation means that less dye will end up in the effluents, thus reducing the environmental impact of the dye.
Author Contributions
Conceptualization, S.S.L.; methodology, S.S.L. and N.F.N.; investigation, S.S.L. and V.D.; data curation, S.S.L. and V.D.; writing—original draft preparation, S.S.L. and E.C.V.; writing—review and editing, E.C.V. and N.F.N.; supervision, N.F.N. All authors have read and agreed to the published version of the manuscript.
Funding
This research received no external funding.
Data Availability Statement
All data available is included in paper.
Conflicts of Interest
The authors declare no conflicts of interest.
References
- Irfan, M.; Zhang, H.; Syed, U.; Hou, A. Low liquor dyeing of cotton fabric with reactive dye by an eco-friendly technique. J. Clean. Prod. 2018, 197, 1480–1487. [Google Scholar]
- Renfrew, A.H.M.; Taylor, J.A. Cellulose reactive dyes: Recent developments and trends. Rev. Prog. Color. 1990, 20, 1–9. [Google Scholar]
- Lewis, D.M.; Lei, X.P. New methods for cellulose fibers with reactive dyes. J. Soc. Dye. Colour. 1991, 107, 102–109. [Google Scholar]
- Mu, B.; Liu, L.; Li, W.; Yang, Y. High sorption of reactive dyes onto cotton controlled by chemical potential gradient for reduction of dyeing effluents. J. Environ. Manag. 2019, 39, 271–278. [Google Scholar]
- Mughal, M.J.; Saeed, R.; Naeem, M.; Ahmed, M.A.; Yasmien, A.; Siddiqui, Q.; Iqbal, M. Dye fixation and decolourization of vinyl sulphone reactive dyes by using dicyanidiamide fixer in the presence of ferric chloride. J. Saudi Chem. Soc. 2013, 17, 23–28. [Google Scholar]
- Lykidou, S.; Karanikas, E.; Anagnostopoulou, C.; Nikolaidis, N.; Tsatsaroni, E. Reuse of Effluent Water Obtained in Ultrafiltration of Reactive Dyes. Fibers Polym. 2019, 20, 1236–1242. [Google Scholar]
- Clark, M. (Ed.) Handbook of Textile and Industrial Dyeing: Volume 2: Applications of Dyes; Woodhead Publishing Limited: Sawston, UK, 2011. [Google Scholar]
- Clark, M. (Ed.) Handbook of Textile and Industrial Dyeing: Volume 9: The Chemistry of Reactive Dyes and Their Application Processes; Woodhead Publishing Limited: Sawston, UK, 2011. [Google Scholar]
- Benkhaya, S.; M’rabet, S.; El Harfi, A. A review on classifications, recent synthesis and applications of textile dyes. Inorg. Chem. Commun. 2020, 115, 107891. [Google Scholar]
- Lykidou, S.; Karanikas, E.; Tsagalias, I.; Nikolaidis, N.; Tsatsaroni, E. Synthesis, characterization and ultrafiltration of reactive dyes. Application by exhaustion and/or ink-jet printing–IV. Fibers Polym. 2017, 18, 1697–1707. [Google Scholar]
- Lykidou, S.; Karanikas, E.; Nikolaidis, N.; Tsatsaroni, E. Synthesis, characterization and ultrafiltration of reactive dyes. Application by exhaustion and/or ink-jet printing—II. Text. Res. J. 2017, 87, 694–707. [Google Scholar]
- Lykidou, S.; Karanikas, E.; Nikolaidis, N.; Tsatsaroni, E. Synthesis, Characterization and Ultra filtration of Reactive Dyes. Application by Exhaustion and/or Ink-Jet Printing–III. Text. Res. J. 2016, 3, 18–31. [Google Scholar]
- Lykidou, S.; Karanikas, E.; Nikolaidis, N.; Tsatsaroni, E. Azo reactive dyes: Ultrafiltration and application to cotton by exhaustion and digital ink-jet printing. Text. Res. J. 2016, 86, 823–836. [Google Scholar]
- Shindhal, T.; Rakholiya, P.; Varjani, S.; Pandey, A.; Ngo, H.H.; Guo, W.; Taherzadeh, M.J. A critical review on advances in the practices and perspectives for the treatment of dye industry wastewater. Bioengineered 2021, 12, 70–87. [Google Scholar] [PubMed]
- Venkataraman, K. (Ed.) The Chemistry of Synthetic Dyes; Academic Press: New York, NY, USA; London, UK, 1972; Volume 6. [Google Scholar]
- Dong, X.; Gu, Z.; Hang, C.; Ke, G.; Jiang, L.; He, J. Study on the salt-free low-alkaline reactive cotton dyeing in high concentration of ethanol in volume. J. Clean. Prod. 2019, 226, 316–323. [Google Scholar]
- Maulik, S.R.; Bhattacharya, A.; Roy, P.P.; Maiti, K. Reactive Dye and Its Advancements. In Textile Dyes and Pigments: A Green Chemistry Approach; Scrivener Publishing LLC: Beverly, MA, USA, 2022; pp. 17–44. [Google Scholar]
- Iqbal, M.; Khatri, Z.; Ahmed, A.; Mughal, J.; Ahmed, K. Prediction of low-sensitivity reactive dye recipe in exhaust dyeing influenced by material to liquor ratio and nature of salt. J. Saudi Chem. Soc. 2012, 6, 1–6. [Google Scholar]
- Vishkulli, S.; Hylli, M.; Kazani, I.; Drushku, S. Effects of mordants in dyeing properties of wool with natural dye extracted from saffron petals. In Proceedings of the 8th International Textile Conference, Tirana, Albania, 18–19 October 2018. [Google Scholar]
- Burkinshaw, S.M. Physico-Chemical Aspects of Textile Coloration; John Wiley & Sons: Hoboken, NJ, USA, 2016. [Google Scholar]
- Lykidou, S.; Gitsouli, E.; Daniilidis, V.; Vouvoudi, E.; Nikolaidis, N.F. Study on the Dyeing Properties of a Novel Reactive Dye with One Vinylsulfone Reactive Group, on Cotton Substrates, Before and After Its Ultrafiltration Treatment. Fibers Polym. 2023, 24, 3995–4004. [Google Scholar]
- MacDonald, R. (Ed.) Colour Physics for Industry, 2nd ed.; Society of Dyers and Colourists: Bradford, UK, 1997; p. 178. [Google Scholar]
- Musnickas, J.; Rupainytė, V.; Treigienė, R.; Ragelienė, L. Dye migration influences on colour: Characteristics of wool fabric dyed with acid dye. Fibres Text. East. Eur. 2005, 13, 65–69. [Google Scholar]
- Sultana, R.; Uddin, Z.M. Compatibility testing of reactive dyes. J. Mech. Eng. 2007, 38, 61–64. [Google Scholar] [CrossRef]
- Collishaw, P.S.; Phillips, D.A.S.; Bradbury, M.J. Controlled coloration: A success strategy for the dyeing of cellulosic fibres with reactive dyes. J. Soc. Dye. Colour. 1993, 109, 284–292. [Google Scholar]
- Lykidou, S.; Pashou, M.; Vouvoudi, E.; Nikolaidis, N. Study on the dyeing properties of curcumin on natural and synthetic fibers and antioxidant and antibacterial activities. Fibers Polym. 2021, 22, 3336–3342. [Google Scholar]
- Naidis, P.; Lykidou, S.; Mischopoulou, M.; Vouvoudi, E.; Nikolaidis, N. Study of the dyeing properties of annatto and ultrafiltrated annatto as colourants for natural fibres. J. Nat. Fibers 2022, 19, 7885–7895. [Google Scholar]
- Siddiqua, U.H.; Ali, S.; Iqbal, M.; Hussain, T. Relationship between structure and dyeing properties of reactive dyes for cotton dyeing. J. Mol. Liq. 2017, 241, 839–844. [Google Scholar] [CrossRef]
- Zhang, H.; Yang, H.; Xie, K.; Hou, A.; Gao, A. Novel reactive dyes with intramolecular color matching combination containing different chromophores. Dyes Pigm. 2018, 159, 576–583. [Google Scholar] [CrossRef]
- Bhate, P.M.; Devi, R.V.; Dugane, R.; Hande, P.R.; Shaikh, L.; Vaidya, S.; Masand, S. A novel reactive dye system based on diazonium salts. Dyes Pigm. 2017, 145, 208–215. [Google Scholar] [CrossRef]
- Khatri, A.; Peerzada, M.H.; Mohsin, M.; White, M. A review on developments in dyeing cotton fabrics with reactive dyes for reducing effluent pollution. J. Clean. Prod. 2015, 87, 50–57. [Google Scholar] [CrossRef]
- Bae, S.H.; Motomura, H.; Morita, Z. Adsorption behavior of reactive dyes on cellulose. Dyes Pigm. 1997, 34, 37–55. [Google Scholar] [CrossRef]
- Ahmed, N.S. The use of sodium edate in the dyeing of cotton with reactive dyes. Dyes Pigm. 2005, 65, 221–225. [Google Scholar] [CrossRef]
- ISO 105-A02:1993; Textiles—Tests for Colour Fastness Part A02: Grey Scale for Assessing Change in Colour. International Organization for Standardization: Geneva, Switzerland, 1993. Available online: https://www.iso.org/standard/3785.html (accessed on 12 February 2025).
- Burkinshaw, S.M.; Salihu, G. The role of auxiliaries in the immersion dyeing of textile fibres: Part 8 practical aspects of the role of inorganic electrolytes in dyeing cellulosic fibres with commercial reactive dyes. Dyes Pigm. 2019, 161, 614–627. [Google Scholar] [CrossRef]
Disclaimer/Publisher’s Note: The statements, opinions and data contained in all publications are solely those of the individual author(s) and contributor(s) and not of MDPI and/or the editor(s). MDPI and/or the editor(s) disclaim responsibility for any injury to people or property resulting from any ideas, methods, instructions or products referred to in the content. |
© 2025 by the authors. Licensee MDPI, Basel, Switzerland. This article is an open access article distributed under the terms and conditions of the Creative Commons Attribution (CC BY) license (https://creativecommons.org/licenses/by/4.0/).









