Deciphering the Molecular Mechanism of Intramolecular Reactions from the Perspective of Bonding Evolution Theory
Abstract
:1. Introduction
2. Computational Background and Method
3. Results and Discussion
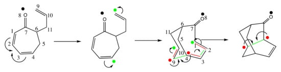
3.1. BET Analysis along the Chemical Rearrangement of Allyloxycycloheptatriene Yielding Two Tricyclic Ketones
3.2. Intramolecular Cycloaddition Reaction of Nitrone-Alkene 5
3.3. Thermal Decomposition of N-Carbamoyl-L-Proline
4. Conclusions
Supplementary Materials
Author Contributions
Funding
Institutional Review Board Statement
Informed Consent Statement
Data Availability Statement
Acknowledgments
Conflicts of Interest
References
- Lewis, G.N. Valence and the Structure of Atoms and Molecules; The Chemical Catalog Company, Inc.: New York, NY, USA, 1923. [Google Scholar]
- Pauling, L. The Nature of the Chemical Bond, and the Structure of Molecules and Crystals; Cornell University Press: Ithaca, NY, USA, 1960. [Google Scholar]
- Lewis, G.N. The Atom and the Molecule. J. Am. Chem. Soc. 1916, 38, 762–785. [Google Scholar] [CrossRef] [Green Version]
- Pauling, L. The Nature of the Chemical Bond. Application of Results Obtained from the Quantum Mechanics and from a Theory of Paramagnetic Susceptibility to the Structure. J. Am. Chem. Soc. 1931, 53, 1367–1400. [Google Scholar] [CrossRef]
- Pauling, L. The Nature of the Chemical Bond. II. The One-Electron Bond and the Three-Electron Bond. J. Am. Chem. Soc. 1932, 54, 988–1003. [Google Scholar] [CrossRef]
- Hehre, J.; Radom, L.; Schleyer, P.v.R.; Pople, J.A. Ab Initio Molecular Orbital Theory; John Wiley: New York, NY, USA, 1986. [Google Scholar]
- Parr, R.; Yang, W. Density-Functional Theory of Atoms and Molecules; Oxford University Press: New York, NY, USA, 1989. [Google Scholar]
- Geerlings, P.; De Proft, F.; Langenaeker, W. Conceptual Density Functional Theory. Chem. Rev. 2003, 103, 1793–1874. [Google Scholar] [CrossRef]
- Bader, R.F.W.; Nguyen-Dang, T.T.; Tal, Y. Topological Theory of Molecular Structure. Rep. Prog. Phys. 1981, 44, 893. [Google Scholar] [CrossRef]
- Bader, R.F.W. Atoms in Molecules-A Quantum Theory; Oxford University Press: Oxford, UK, 1990. [Google Scholar]
- Becke, A.D.; Edgecombe, K.E. A Simple Measure of Electron Localization in Atomic and Molecular Systems. J. Chem. Phys. 1990, 92, 5397–5403. [Google Scholar] [CrossRef]
- Kohout, M. A Measure of Electron Localizability. Int. J. Quantum Chem. 2004, 97, 651–658. [Google Scholar] [CrossRef]
- Kohout, M.; Wagner, F.R.; Grin, Y. Electron Localizability Indicator for Correlated Wave functions. III: Singlet and Triplet Pairs. Theor. Chem. Acc. 2008, 119, 413–420. [Google Scholar] [CrossRef] [Green Version]
- Thom, R. Structural Stability and Morphogenesis, an Outline of a General Theory of Models; Benjamin/Cummings Publishing Co.: Reading, MA, USA, 1980. [Google Scholar]
- Silvi, B.; Savin, A. Classification of Chemical Bonds based on Topological Analysis of Electron Localization Functions. Nature 1994, 371, 683–686. [Google Scholar] [CrossRef]
- Krokidis, X.; Noury, S.; Silvi, B. Characterization of Elementary Chemical Processes by Catastrophe Theory. J. Phys. Chem. A 1997, 101, 7277–7782. [Google Scholar] [CrossRef]
- Adjieufack, A.I.; Liégeois, V.; Mbouombouo Ndassa, I.; Ketcha Mbadcam, J.; Champagne, B. Intramolecular [3 + 2] Cycloaddition Reactions of Unsaturated Nitrile Oxides. A Study from the Perspective of Bond Evolution Theory (BET). J. Phys. Chem. A 2018, 122, 7472–7481. [Google Scholar] [CrossRef]
- Adjieufack, A.I.; Nouhou Nana, C.; Ketcha-Mbadcam, J.; Ndassa, I.M.; Andrés, J.; Oliva, M.; Safont, V.S. Deciphering the Curly Arrows Representation and Electron Flow for the 1,3-Dipolar Rearrangement between Acetonitrile Oxide and (1S,2R,4S)-2-Cyano-7-Oxabicyclo[2.2.1]Hept-5-en-2-yl Acetate Derivatives. ACS Omega 2020, 5, 22215–22225. [Google Scholar] [CrossRef]
- Ríos-Gutiérrez, M.; Pérez, P.; Domingo, L.R. A Bonding Evolution Theory Study of the Mechanism of [3 + 2] Cycloaddition Reactions of Nitrones with Electron-Deficient Ethylenes. RSC Adv. 2015, 5, 58464–58477. [Google Scholar] [CrossRef] [Green Version]
- Adjieufack, A.I.; Moto Ongagna, J.; Kenmogne Tchidjo, J.F.; Mbouombouo Ndassa, I. Topological Unveiling the [3 + 2] Cycloaddition Reaction between N-Methyl Phenyl Nitrone and Styrene Catalyzed by Chromium Tricarbonyl Complex from Electron Localization Function and Catastrophe Theory. New J. Chem. 2021, 45, 20342–20351. [Google Scholar] [CrossRef]
- Cherni, E.; Adjieufack, A.I.; Champagne, B.; Abderrabba, M.; Ayadi, S.; Liégeois, V. Density Functional Theory Investigation of the Binding of ThioTEPA to Purine Bases: Thermodynamics and Bond Evolution Theory Analysis. J. Phys. Chem. A 2020, 124, 4068–4080. [Google Scholar] [CrossRef]
- Viciano, I.; Gonzalez-Navarrete, P.; Andres, J.; Martí, S. Joint use of bonding evolution theory and QM/MM hybrid method for understanding the hydrogen abstraction mechanism via cytochrome P450 aromatase. J. Chem. Theory Comput. 2015, 11, 1470–1480. [Google Scholar] [CrossRef]
- Mbah, M.B.; Adjieufack, A.I.; Nguimkeu, C.N.; Malloum, A.; Abode, A.; Zintchem, A.; Bebga, G.; Ndassa, I.M. Unraveling the Sequence of Electron Flow along the Cyclocondensation Reaction between Ciprofloxacin and Thiosemicarbazide through the Bonding Evolution Theory. J. Mol. Graph. 2022; in press. [Google Scholar] [CrossRef]
- Chamorro, E.; Prado, Y.; Duque-Noreña, M.; Gutiérrez-Sánchez, N.; Rincón, E. Understanding the Sequence of the Electronic Flow along the HCN/CNH Isomerization within a Bonding Evolution Theory Quantum Topological Framework. Theor. Chem. Acc. 2019, 138, 60. [Google Scholar] [CrossRef]
- Adjieufack, A.I.; Mbah Bake, M.; Nguemo Nguimkeu, C.; Pilmé, J.; Ndassa Mbouombouo, I. Exploring the Sequence of Electron Density Along the Chemical Reactions between Carbonyl Oxides and Ammonia/Water Using Bond Evolution Theory. ChemPhysChem 2021, 22, 1792–1801. [Google Scholar] [CrossRef]
- Polo, V.; Gonzalez-Navarrete, P.; Silvi, B.; Andres, J. An Electron Localization Function and Catastrophe Theory Analysis on the Molecular Mechanism of Gas-Phase Identity SN2 Reactions. Theor. Chem. Acc. 2008, 120, 341. [Google Scholar] [CrossRef]
- Adjieufack, A.I.; Liégeois, V.; Mbouombouo Ndassa, I.; Champagne, B. Topological Investigation of the Reaction Mechanism of Glycerol Carbonate Decomposition by Bond Evolution Theory. RSC Adv. 2021, 11, 10083–10093. [Google Scholar] [CrossRef] [PubMed]
- Safont, V.S.; Gonzalez-Navarrete, P.; Oliva, M.; Andrés, J. Inquiry of the Electron Density Transfers in Chemical Reactions: A Complete Reaction Path for the Denitrogenation Process of 2,3-Diazabicyclo[2.2.1]Hept-2-ene Derivatives. Phys. Chem. Chem. Phys. 2015, 17, 32358–32374. [Google Scholar] [CrossRef] [PubMed] [Green Version]
- Gonzalez-Navarrete, P.; Andres, J.; Safont, V.S. A Bonding Evolution Analysis for the Thermal Claisen Rearrangement. An Experimental and Theoretical Exercise for Testing the Electron Density Flow. Phys. Chem. Chem. Phys. 2018, 20, 535–541. [Google Scholar] [CrossRef] [PubMed]
- Zahedi, E.; Shaabani, S.; Shiroudi, A. Following the Molecular Mechanism of Decarbonylation of Unsaturated Cyclic Ketones Using Bonding Evolution Theory Coupled with NCI Analysis. J. Phys. Chem. A 2017, 121, 8504–8517. [Google Scholar] [CrossRef] [Green Version]
- Andrés, J.; González-Navarrete, P.; Safont, V.S.; Silvi, B. Curly Arrows, Electron Flow, and Reaction Mechanisms from the Perspective of the Bonding Evolution Theory. Phys. Chem. Chem. Phys. 2017, 19, 29031–29046. [Google Scholar] [CrossRef]
- Oliva, M.; Safont, V.S.; González-Navarrete, P.; Andrés, J. Electronic Structure and Rearrangements of Anionic [ClMg(η2-O2C)]− and [ClMg(η2-CO2)]− Complexes: A Quantum Chemical Topology Study. Theor. Chem. Acc. 2017, 136, 51. [Google Scholar] [CrossRef]
- Andrés, J.; Safont, V.S.; Oliva, M.; Caster, K.L.; Goulay, F. A Bonding Evolution Theory Study of the Reaction between Methylidyne Radical, CH(X2Π), and Cyclopentadiene, C5H6. Int. J. Quantum Chem. 2022, 122, e26892. [Google Scholar] [CrossRef]
- Cupas, C.A.; Kong, M.S.; Nullins, H.; Heyd, W.E. Multiple Thermal Rearrangements. III. The Pyrolysis of 7-(3-Butenyl)-Cycloheptatrie. Tetrahedron Let. 1971, 34, 3157–3160. [Google Scholar] [CrossRef]
- Saubern, S.; Macdonald, J.M.; Ryan, J.H.; Woodgate, R.C.J.; Louie, T.S.; Fuchter, M.J.; White, J.M.; Holmes, A.B. Tricyclic-Isoxazolidine Analogues via Intramolecular 1,3-Dipolar Cycloaddition Reactions of Nitrones. Tetrahedron 2010, 66, 2761–2767. [Google Scholar] [CrossRef]
- Chafaa, F.; Hellel, D.; Nacereddine, A.K.; Djerourou, A. A Theoretical Study of the Mechanism and Selectivity of the Intramolecular 1,3-Dipolar Cycloaddition Reaction of the Nitrone-Alkene derived from 2-Allylthiobenzaldehyde for the Synthesis of Tricyclic Isoxazolidines. Tetrahedron Lett. 2016, 57, 67–70. [Google Scholar] [CrossRef]
- Seijas, L.E.; Mora, A.J.; Delgado, G.E.; Brunelli, M.; Fitch, A.N. Study of the conversion of N-carbamoyl-L-proline to hydantoin-L-proline using powder synchrotron X-ray diffraction. Powder Diffr. 2010, 25, 342–348. [Google Scholar] [CrossRef]
- Silvi, B. The Synaptic Order: A Key Concept to Understand Multicenter Bonding. J. Mol. Struct. 2002, 614, 3–10. [Google Scholar] [CrossRef]
- Adjieufack, A.I.; Mbouombouo Ndassa, I.; Patouossa, I.; Mbadcam, J.K.; Safont, V.S.; Oliva, M.; Andrés, J. On the Outside Looking in: Rethinking the Molecular Mechanism of 1,3-Dipolar Cycloadditions from the Perspective of Bonding Evolution Theory. The Reaction between Cyclic Nitrones and Ethyl Acrylate. Phys. Chem. Chem. Phys. 2017, 19, 18288–18302. [Google Scholar] [CrossRef]
- Adjieufack, A.I.; Maraf Mbah, B.; Ketcha Madcap, J.; Mbouombouo Ndassa, I.; Andrés, J.; Oliva, M.; Safont, V.S. How Effectively Bonding Evolution Theory Retrieves and Visualizes Curly Arrows: The Cycloaddition Reaction of Cyclic Nitrones. Int. J. Quantum Chem. 2019, 119, e25985. [Google Scholar] [CrossRef]
- Zhao, Y.; Truhlar, D.G. The M06 Suite of Density Functionals for Main Group Thermochemistry, Thermochemical Kinetics, Noncovalent Interactions, Excited States, and Transition Elements: Two New Functionals and Systematic Testing of Four M06-class Functionals and 12 Other Functionals. Theor. Chem. Acc. 2008, 120, 215–241. [Google Scholar]
- Frisch, M.; Trucks, G.W.; Schlegel, H.B.; Scuseria, G.E.; Robb, M.A.; Cheeseman, J.R.; Scalmani, G.; Barone, V.; Mennucci, B.; Petersson, G.A.; et al. Gaussian 16, Revision A. 03; Gaussian Inc.: Wallingford, CT, USA, 2016. [Google Scholar]
- Fukui, K. Formulation of the Reaction Coordinate. J. Phys. Chem. 1970, 74, 4161–4163. [Google Scholar] [CrossRef]
- Gonzalez, C.; Schlegel, H.B. Reaction Path Following in Mass-Weighted Internal Coordinates. J. Phys. Chem. 1990, 94, 5523–5527. [Google Scholar] [CrossRef]
- Gonzalez, C.; Schlegel, H.B. Improved Algorithms for Reaction Path Following: Higher-Order Implicit Algorithms. J. Chem. Phys. 1991, 95, 5853–5860. [Google Scholar] [CrossRef] [Green Version]
- Noury, S.; Krokidis, X.; Fuster, F.; Silvi, B. Computational Tools for the Electron Localization Function Topological Analysis. Comput. Chem. 1999, 23, 597–604. [Google Scholar] [CrossRef]
- Liégeois, V. DrawMol. UNamur. Available online: www.unamur.be/drawmol (accessed on 24 May 2022).
- Liégeois, V. DrawProfile. UNamur. Available online: www.unamur.be/drawprofile (accessed on 24 May 2022).
- Domingo, L.R.; Sáez, J.A. Understanding the Electronic Reorganization along the Nonpolar [3 + 2] Cycloaddition Reactions of Carbonyl Ylides. J. Org. Chem. 2011, 76, 373–379. [Google Scholar] [CrossRef]





















Publisher’s Note: MDPI stays neutral with regard to jurisdictional claims in published maps and institutional affiliations. |
© 2022 by the authors. Licensee MDPI, Basel, Switzerland. This article is an open access article distributed under the terms and conditions of the Creative Commons Attribution (CC BY) license (https://creativecommons.org/licenses/by/4.0/).
Share and Cite
Adjieufack, A.I.; Andrés, J.; Oliva, M.; Safont, V.S. Deciphering the Molecular Mechanism of Intramolecular Reactions from the Perspective of Bonding Evolution Theory. Physchem 2022, 2, 207-223. https://doi.org/10.3390/physchem2030015
Adjieufack AI, Andrés J, Oliva M, Safont VS. Deciphering the Molecular Mechanism of Intramolecular Reactions from the Perspective of Bonding Evolution Theory. Physchem. 2022; 2(3):207-223. https://doi.org/10.3390/physchem2030015
Chicago/Turabian StyleAdjieufack, Abel Idrice, Juan Andrés, Mónica Oliva, and Vicent Sixte Safont. 2022. "Deciphering the Molecular Mechanism of Intramolecular Reactions from the Perspective of Bonding Evolution Theory" Physchem 2, no. 3: 207-223. https://doi.org/10.3390/physchem2030015
APA StyleAdjieufack, A. I., Andrés, J., Oliva, M., & Safont, V. S. (2022). Deciphering the Molecular Mechanism of Intramolecular Reactions from the Perspective of Bonding Evolution Theory. Physchem, 2(3), 207-223. https://doi.org/10.3390/physchem2030015

