Sign in to use this feature.

Years

Between: -

Subjects

remove_circle_outline
remove_circle_outline
remove_circle_outline
remove_circle_outline
remove_circle_outline
remove_circle_outline
remove_circle_outline
remove_circle_outline
remove_circle_outline

Journals

remove_circle_outline
remove_circle_outline
remove_circle_outline
remove_circle_outline
remove_circle_outline

Article Types

Countries / Regions

Search Results (165)

Search Parameters:
Keywords = catastrophe theory

Order results
Result details
Results per page
Select all
Export citation of selected articles as:
28 pages, 7252 KB  
Article
Study on the Deformation Energy Evolution Characteristics and Instability Prediction Model of Weak Surrounding Rock in Tunnels
by Chuang Sun, Zhengyang Xu, Jianjun Zhang, Yunbo Pu, Qi Tao, Ye Zhou, Xibin Guan and Tianhao Liu
Appl. Sci. 2025, 15(19), 10478; https://doi.org/10.3390/app151910478 - 27 Sep 2025
Abstract
This study focuses on tunnel construction in fault fracture zones and systematically investigates the energy evolution and damage catastrophe mechanisms of surrounding rock during excavation, based on energy conservation principles and cusp catastrophe theory. A tunnel instability prediction and support optimization framework integrating [...] Read more.
This study focuses on tunnel construction in fault fracture zones and systematically investigates the energy evolution and damage catastrophe mechanisms of surrounding rock during excavation, based on energy conservation principles and cusp catastrophe theory. A tunnel instability prediction and support optimization framework integrating energy damage evolution and intelligent optimization algorithms was developed. Field tests, rock mechanics experiments, and Discrete Fracture Network (DFN) numerical simulations reveal the intrinsic relationships among energy input, dissipation, damage accumulation, and instability under complex geological conditions. Particle Swarm Optimization–Back Propagation (PSO-BP) is applied to optimize tunnel support parameters. Model performance is evaluated using the Mean Absolute Error (MAE), Mean Squared Error (MSE), Mean Absolute Percentage Error (MAPE), and R-squared (R2). The results show that upon reaching structural mutation zones, the system damage variable (ds), displacement, and dissipated energy increase abruptly, indicating critical instability. Numerical simulation and catastrophe feature analysis demonstrate that energy-related damage accumulation is effectively suppressed, the system damage variable decreases significantly, and crown stability is greatly enhanced. These findings provide a theoretical basis and practical reference for optimizing tunnel support design and controlling instability risks in complex geological settings. Full article
Show Figures

Figure 1

12 pages, 1619 KB  
Review
Repeated Warning Signals for Sudden Climate Warming: Consequences on Possible Sustainability Policies
by François Louchet
Sustainability 2025, 17(19), 8548; https://doi.org/10.3390/su17198548 - 23 Sep 2025
Viewed by 97
Abstract
In this paper, climate evolution is revisited in terms of the theory of dynamical systems, which has been successfully used in predictions of catastrophic events such as avalanches, landslides, or economy and civilization collapses. Such tipping events are announced by warning signs, named [...] Read more.
In this paper, climate evolution is revisited in terms of the theory of dynamical systems, which has been successfully used in predictions of catastrophic events such as avalanches, landslides, or economy and civilization collapses. Such tipping events are announced by warning signs, named “pre-critical fluctuations” or “critical softening”, allowing a tipping date estimate through well-known equations. In the case of climate, the warning signs are extreme events of increasing amplitudes. We show that in such a context, numerical simulations can hardly predict incoming tipping points, due to a divergence in computational time at the singularity. Based on the dynamical systems theory, a recent publication from Copenhagen University shows that the Atlantic Meridional Oceanic Circulation is likely to collapse well before the end of the century, triggering switchover cascades, eventually culminating in global climate tipping. Paleoclimatic studies also show that tipping events occurred in the past, particularly during the PETM period 56 Myrs ago. If this was to happen now, average global temperatures might reach an unbearable level, with a deadline much closer than expected. This extreme emergency has major consequences on the implementation times of sustainability policies and in energy production, mobility, agriculture, housing, etc., that absolutely must be operational on time. Full article
Show Figures

Graphical abstract

23 pages, 2246 KB  
Article
Research on the Dissipative Evolution of the Regional Digital Innovation Ecosystem from the Perspective of Symbiosis Theory
by Xuejiao An and Lei Tong
Sustainability 2025, 17(18), 8121; https://doi.org/10.3390/su17188121 - 9 Sep 2025
Viewed by 348
Abstract
Constructing the regional digital innovation ecosystem is not merely a strategic response to the global digital transformation but also an essential driver for fostering high-quality regional development. From the perspective of symbiosis and in combination with the theory of dissipative structure, and the [...] Read more.
Constructing the regional digital innovation ecosystem is not merely a strategic response to the global digital transformation but also an essential driver for fostering high-quality regional development. From the perspective of symbiosis and in combination with the theory of dissipative structure, and the evaluation index system of “digital innovation investment – digital innovation environment ” framework is constructed. Then, the evolution of the regional digital innovation ecosystem, characterized by dissipative processes, is analyzed using the “global entropy–catastrophe progression” evaluation model. Through empirical analysis of the dissipative evolution of digital innovation ecosystems across 30 Chinese provinces between 2013 and 2023, this study revealed that: (1) In the sample areas, the digital innovation ecosystem’s dynamic evolution meets the conditions required for forming a dissipative structure. (2) The level of digital innovation dissipation in the sample areas has generally shown an upward trend year by year. Still, no dissipation structure was formed during the research period. (3) There is an evolutionary trajectory from the third quadrant to the second quadrant and finally to the first quadrant is often shown by the two-dimensional framework of a “digital innovation investment-digital innovation environment” in the sample areas. Both the digital innovation environment and investment evaluation values exhibit an increased tendency. The results play a key role in strengthening China’s digital innovation ecosystem and promoting long-term social development. Full article
Show Figures

Figure 1

17 pages, 2594 KB  
Article
Calculation Method and Treatment Scheme for Critical Safety Rock Pillar Thickness Based on Catastrophe Theory
by Chao Yuan, Ruimin Wang, Rongjie Du, Xuanqi Huang and Shihai Shu
Appl. Sci. 2025, 15(17), 9650; https://doi.org/10.3390/app15179650 - 2 Sep 2025
Viewed by 393
Abstract
To investigate the safety risks associated with gas tunnel coal uncovering, a physical and mechanical model of the critical safety rock pillar is proposed through a combination of theoretical analysis, numerical simulation, and field testing. Based on the principles of energy conservation and [...] Read more.
To investigate the safety risks associated with gas tunnel coal uncovering, a physical and mechanical model of the critical safety rock pillar is proposed through a combination of theoretical analysis, numerical simulation, and field testing. Based on the principles of energy conservation and catastrophe theory, an expression for calculating the critical safety for rock pillar thickness is derived. The effects of tunnel radius, burial depth, axial stress, coal seam dip angle, and gas pressure on the critical thickness are systematically analyzed. The results indicate that the critical safety of rock pillar thickness increases with the tunnel radius, burial depth, gas pressure, and axial stress. Moreover, as the tunnel radius increases, the growth rate of the critical thickness also increases. Conversely, as the burial depth increases, the growth rate of the critical thickness decreases. For gas pressure and axial stress, the growth rate remains relatively constant. Using a tunnel project in Hunan as a case study, theoretical analysis yields a critical safety rock pillar thickness of 3.95 m. A corresponding numerical model is developed to simulate this scenario, and the simulation results align well with the theoretical predictions. Based on these findings, a combined treatment scheme of “advanced small-pipe grouting + gas drainage and pressure relief” is proposed for excavation upon reaching the critical rock pillar thickness. This scheme successfully ensures safe tunnel passage through the coal seam. Full article
(This article belongs to the Special Issue Innovations in Rock Mechanics and Mining Engineering)
Show Figures

Figure 1

20 pages, 3873 KB  
Article
Stability Evaluation of Rock Slope–Anchoring Systems Based on Catastrophe Theory
by Peng Xia, Bowen Zeng, Jie Liu, Yiheng Pan and Xiaofeng Ye
Appl. Sci. 2025, 15(17), 9438; https://doi.org/10.3390/app15179438 - 28 Aug 2025
Viewed by 389
Abstract
With the rapid development of China’s economy, the number and scale of infrastructure projects in energy, water conservancy, and transportation have expanded significantly. Anchoring technology has been widely applied, resulting in the formation of numerous rock slope–anchoring systems. This study proposes a novel [...] Read more.
With the rapid development of China’s economy, the number and scale of infrastructure projects in energy, water conservancy, and transportation have expanded significantly. Anchoring technology has been widely applied, resulting in the formation of numerous rock slope–anchoring systems. This study proposes a novel method for evaluating the stability of rock slope–anchoring systems by introducing catastrophe theory into the stability assessment framework. Based on the characteristics of the rock slope–anchoring system and its stability-influencing factors, a hierarchical analytic structure for catastrophe-level evaluation is constructed, and relevant indicator data are collected. Catastrophe models are selected according to the identified state and control variables, and catastrophe levels are computed to establish a sample dataset. The relationship between catastrophe levels and the stability coefficients of rock slope–anchoring systems is verified to define stability grade intervals. Stability evaluation is then performed by calculating the catastrophe level of each system. The results indicate that: (1) the proposed method effectively considers the influence of multiple factors on the stability of rock slope–anchoring systems, ensuring high accuracy in the evaluation. (2) The method allows for the automatic quantification of the relative importance of indicators within the same hierarchy, reducing subjectivity caused by manual weighting. (3) By standardizing state variables and computing catastrophe levels, the method couples qualitative descriptions with mechanical parameters, enhancing the objectivity of the assessment. (4) The stability evaluation method for rock slope–anchorage systems based on mathematical catastrophe theory determines system stability through catastrophe-order analysis, featuring a concise process and clear results. It enables rapid evaluation of the stability of similar rock slope–anchorage systems and offers high efficiency for cluster assessments. Full article
Show Figures

Figure 1

16 pages, 964 KB  
Article
Intersection Between Eco-Anxiety and Lexical Labels: A Study on Mental Health in Spanish-Language Digital Media
by Alicia Figueroa-Barra, David Guerrero-Mardones, Camila Vargas-Castillo, Luis Millalonco-Martínez, Angel Roco-Videla, Emmanuel Méndez and Sergio Flores-Carrasco
Behav. Sci. 2025, 15(8), 1102; https://doi.org/10.3390/bs15081102 - 14 Aug 2025
Viewed by 494
Abstract
Background: Eco-anxiety and solastalgia are psychological responses to environmental degradation and climate change. This study examines how these concepts are represented in Spanish-language digital media, considering both emotional dimensions and the profiles of content producers. Methods: We conducted an inductive qualitative content analysis [...] Read more.
Background: Eco-anxiety and solastalgia are psychological responses to environmental degradation and climate change. This study examines how these concepts are represented in Spanish-language digital media, considering both emotional dimensions and the profiles of content producers. Methods: We conducted an inductive qualitative content analysis of 120 Spanish-language items (online news articles and selected posts from digital platforms) published between October 2023 and March 2024. Items were identified using a Boolean search strategy and initially filtered by LIWC to detect high emotional-and-anxiety term density; final coding followed grounded-theory procedures, resulting in four thematic categories. Results: The most frequent theme was environmental activism (41%), followed by catastrophic thinking (29%), coping strategies (25%), and loss of meaningful places (6%). Among content producers, citizen participants represented 40%, youth activists 25%, and scientists 15%. Digital media function both as sources of anxiety-inducing content and as spaces for awareness-raising and support. Conclusions: While eco-anxiety is not a clinical diagnosis, it exerts a significant psychological impact—particularly on youth and vulnerable groups. Spanish-language digital platforms play an ambivalent role, amplifying distress yet enabling resilience and collective action. Future interventions should leverage these channels to foster environmental awareness, emotional resilience, and civic engagement. Full article
(This article belongs to the Special Issue Mental Health and the Natural Environment)
Show Figures

Figure 1

19 pages, 1174 KB  
Article
Actuator Fault-Tolerant Control for Mechatronic Systems and Output Regulation with Unknown Reference Signals
by Miguel Amador-Macias, Tonatiuh Hernández-Cortés, Víctor Estrada-Manzo, Jaime González-Sierra and Ricardo Tapia-Herrera
Appl. Sci. 2025, 15(15), 8551; https://doi.org/10.3390/app15158551 - 1 Aug 2025
Viewed by 379
Abstract
Today, mechatronic systems are required to operate reliably and safely. However, actuators can fail, causing the system to malfunction or, in the worst case, resulting in an accident. A clear example of this is the motors of unmanned aerial vehicles. If any of [...] Read more.
Today, mechatronic systems are required to operate reliably and safely. However, actuators can fail, causing the system to malfunction or, in the worst case, resulting in an accident. A clear example of this is the motors of unmanned aerial vehicles. If any of them fail, the vehicle loses control, resulting in a catastrophe and potentially leading to the partial or total loss of the system. Therefore, there is a need to design robust control strategies that allow the system to continue operating even with the loss of one of its actuators. Based on the above, this work presents a controller capable of performing output regulation while tolerating actuator faults in actuated robotic platforms. In contrast to traditional output regulation theory, where a known exosystem provides the reference signal, the proposed approach employs a High-Gain Observer (HGO) to estimate and generate the reference signal from an unknown exosystem. Additionally, an Unknown Input (UI) observer is used to estimate actuator faults, enabling the computation of a fault-tolerant control. The methodology is tested in simulation and real-time experiments on the well-known Furuta pendulum system to illustrate the effectiveness of the proposed approach. Full article
(This article belongs to the Special Issue Control Systems in Mechatronics and Robotics)
Show Figures

Figure 1

23 pages, 16311 KB  
Article
Stratum Responses and Disaster Mitigation Strategies During Pressurized Pipe Bursts: Role of Geotextile Reinforcement
by Zhongjie Hao, Hui Chao, Yong Tan, Ziye Wang, Zekun Su and Xuecong Li
Buildings 2025, 15(15), 2696; https://doi.org/10.3390/buildings15152696 - 30 Jul 2025
Viewed by 307
Abstract
Urban subsurface pipeline bursts can induce catastrophic cascading effects, including ground collapse, infrastructure failure, and socioeconomic losses. However, stratum responses during the erosion cavity expansion phase and corresponding disaster mitigation strategies have rarely been researched. In this study, a numerical model validated through [...] Read more.
Urban subsurface pipeline bursts can induce catastrophic cascading effects, including ground collapse, infrastructure failure, and socioeconomic losses. However, stratum responses during the erosion cavity expansion phase and corresponding disaster mitigation strategies have rarely been researched. In this study, a numerical model validated through experimental tests was employed to investigate the effects of internal water pressures, burial depths, and different geotextile-based disaster mitigation strategies. It was revealed that a burial depth-dependent critical internal water pressure governed the erosion cavity expansion, and a predictive equation was derived based on the limit equilibrium theory. Higher internal water pressure accelerated the erosion cavity expansion and amplified the stratum stress within a range of twice the diameter D. Increased burial depth d reduced peak ground heave but linearly expanded the heave zone range, concurrently elevating the overall stratum stress level and generating larger stress reduction zones (i.e., when d/D = 3.0, the range of the stress reduction zone was 8.0D). All geotextile layout configurations exhibited different disaster mitigation effects (the peak ground heave was reduced by at least 15%). The semi-circular closely fitted configuration (SCCF) optimally restricted the expansion of the erosion cavity, reduced the stratum displacement (i.e., 39% reduction in the peak ground heave), and avoided stress concentration. Comprehensive analysis indicated that SCCF was suited for low-pressure pipelines in deformation-sensitive stratum and semi-circular configuration (SC) was suitable for deformation-insensitive pipeline sections. These findings provide actionable insights for tailoring mitigation strategies to specific operational risks. Full article
(This article belongs to the Section Building Energy, Physics, Environment, and Systems)
Show Figures

Figure 1

26 pages, 6219 KB  
Article
A Multi-Method Approach to the Stability Evaluation of Excavated Slopes with Weak Interlayers: Insights from Catastrophe Theory and Energy Principles
by Tao Deng, Xin Pang, Jiwei Sun, Chengliang Zhang, Daochun Wan, Shaojun Zhang and Xiaoqiang Zhang
Appl. Sci. 2025, 15(13), 7304; https://doi.org/10.3390/app15137304 - 28 Jun 2025
Cited by 1 | Viewed by 376
Abstract
As open-pit mining extends to greater depths, slope stability is becoming a critical factor in ensuring safe production. This issue is particularly pronounced in geological settings with weak interlayers, where sudden slope failures are more likely to occur, demanding precise and reliable stability [...] Read more.
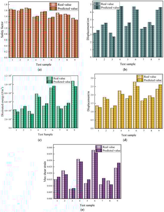
As open-pit mining extends to greater depths, slope stability is becoming a critical factor in ensuring safe production. This issue is particularly pronounced in geological settings with weak interlayers, where sudden slope failures are more likely to occur, demanding precise and reliable stability assessment methods. In this study, a typical open-pit slope with weak interlayers was investigated. Acoustic testing and ground-penetrating radar were employed to identify rock mass structural features and delineate loose zones, enabling detailed rock mass zoning and the development of numerical simulation models for stability analysis. The results indicate that (1) the slope exhibits poor overall integrity, dominated by blocky to fragmented structures with well-developed joints and significant weak interlayers, posing a severe threat to stability; (2) in the absence of support, the slope’s dissipated energy, displacement, and plastic zone volume all exceeded the failure threshold (Δ < 0), and the safety factor was only 0.962, indicating a near-failure state; after implementing support measures, the safety factor increased to 1.31, demonstrating a significant improvement in stability; (3) prior to excavation, the energy damage index (ds) in the 1195–1240 m platform zone reached 0.82, which dropped to 0.48 after reinforcement, confirming the effectiveness of support in reducing energy damage and enhancing slope stability; (4) field monitoring data of displacement and anchor rod forces further validated the stabilizing effect of the support system, providing strong assurance for safe mine operation. By integrating cusp catastrophe theory with energy-based analysis, this study establishes a comprehensive evaluation framework for slope stability under complex geological conditions, offering substantial practical value for deep open-pit mining projects. Full article
(This article belongs to the Special Issue Slope Stability and Earth Retaining Structures—2nd Edition)
Show Figures

Figure 1

28 pages, 1303 KB  
Article
Bridging the Gap: A Novel Approach to Flood Risk Assessment for Resilience
by Jelena Andreja Radaković, Dragana Makajić-Nikolić and Nebojša Nikolić
Water 2025, 17(13), 1848; https://doi.org/10.3390/w17131848 - 21 Jun 2025
Viewed by 1349
Abstract
Flood disasters are growing more common and severe as a result of global warming and climate change. These factors intensify weather extremes, resulting in more unpredictable and disastrous floods around the world. Effective flood risk assessment is critical for reducing the socioeconomic and [...] Read more.
Flood disasters are growing more common and severe as a result of global warming and climate change. These factors intensify weather extremes, resulting in more unpredictable and disastrous floods around the world. Effective flood risk assessment is critical for reducing the socioeconomic and environmental consequences of catastrophic events. This work proposes a novel technique for flood risk assessment that combines Event Tree Analysis with Dempster–Shafer evidence theory and an optimization approach. The methodology assesses flood scenarios, as well as probabilities and outcomes, to predict risk pathways and uncertainties. Prevention measures, such as flood defenses, early warning systems, and sustainable land use practices, are evaluated for cost-effectiveness and their contribution to flood resilience. The findings emphasize the relevance of multi-layered mitigation techniques for lowering flood risks and increasing community resilience. The model presented in this paper is modular, and since it depends on expert judgement, it can be used in other geographical or regional settings with adjustments from local data and local expert assessments. Full article
(This article belongs to the Special Issue Urban Flood Frequency Analysis and Risk Assessment)
Show Figures

Figure 1

25 pages, 373 KB  
Article
Who Created the World(s) and How? A Thought Experiment Among Science Fiction, Physics, and Theology in the Novella Professor A. Dońda by Stanisław Lem
by Tadeusz Sierotowicz
Religions 2025, 16(6), 697; https://doi.org/10.3390/rel16060697 - 28 May 2025
Viewed by 760
Abstract
This paper interprets Stanisław Lem’s novella Professor A. Dońda as a thought experiment. In the novella, Lem proposes Dońda’s law, a formulation that allows for a sophisticated theory of creation, at once theological and scientific. This is based on the equivalence of mass-energy-information [...] Read more.
This paper interprets Stanisław Lem’s novella Professor A. Dońda as a thought experiment. In the novella, Lem proposes Dońda’s law, a formulation that allows for a sophisticated theory of creation, at once theological and scientific. This is based on the equivalence of mass-energy-information and on the existence of Dońda’s barrier, which limits the accretion of knowledge. The novella is discussed in the context of Lem’s conception of the art of writing as the art of translating—in this case, translating theological issues into the language of physics and computer science. The result of this translation, which is effectively a thought experiment, is that even if man were to discover the real mechanism of the creation of the world, neither the existence of God nor the non-existence of God could be unambiguously deduced from understanding the mechanism. The protagonist of the novella articulates a theory of being whose initial premise and fundamental category is the concept of error. The paper provides a thorough analysis of the issues raised by the novella and a discussion of genre. The discussion broadens to include the context of contemporary theories in physics, mainly the mass-energy-information principle (MEIE) and the information catastrophe. Full article
37 pages, 3846 KB  
Article
The Mechanism of Boron–Carbon Bond Formation in the DA Reaction of the Pyridine Adduct of Borabenzene with Acetylene: A Topological Analysis of the ELF Function and Catastrophe Theory
by Slawomir Berski
Molecules 2025, 30(11), 2357; https://doi.org/10.3390/molecules30112357 - 28 May 2025
Viewed by 942
Abstract
The mechanism of the DA cycloaddition reaction between the pyridine adduct of borabenzene and acetylene has been investigated using topological analysis of the electron localization function (ELF) and catastrophe theory (bonding evolution theory, BET). The study focuses on the differences in the electronic [...] Read more.
The mechanism of the DA cycloaddition reaction between the pyridine adduct of borabenzene and acetylene has been investigated using topological analysis of the electron localization function (ELF) and catastrophe theory (bonding evolution theory, BET). The study focuses on the differences in the electronic structures of C-C and C-B bonds during their formation. Additionally, the influence of electron density functionals with different constructions (B3LYP, CAM-B3LYP, B2PLYP, M06, M062X, and M052X) on the BET results was examined. The reaction proceeds through ten distinct phases. The B-C bond forms first, followed by the C-C bond. Significant differences were observed in the behavior of the non-bonding basins V(C) and V(B) compared to the V(C), V(C) basins, which precede the formation of the bonding basins V(B,C) and V(C,C). The use of different functionals results in quantitative variations in the lengths and positions of the reaction phases—for example, relative to the transition state structure. A possible qualitative influence on the overall picture of the reaction mechanism is suggested by the results obtained using the CAM-B3LYP and B2PLYP functionals, particularly in phases VI and VII. Full article
(This article belongs to the Special Issue Quantum Chemical Calculations of Molecular Reaction Processes)
Show Figures

Graphical abstract

12 pages, 206 KB  
Article
Between Surviving and Thriving—New Approaches to Understanding Learning for Transformation
by Saskia Eschenbacher
Educ. Sci. 2025, 15(6), 662; https://doi.org/10.3390/educsci15060662 - 27 May 2025
Viewed by 591
Abstract
Background: Paramedics and firefighters frequently encounter critical incidents that require both deep learning and emotional processing. This study investigates how reflective writing facilitates these processes, addressing the need to understand professional development in high-stress environments. Methods: The research analyzed reflective writings from 57 [...] Read more.
Background: Paramedics and firefighters frequently encounter critical incidents that require both deep learning and emotional processing. This study investigates how reflective writing facilitates these processes, addressing the need to understand professional development in high-stress environments. Methods: The research analyzed reflective writings from 57 second-year Management of Catastrophe Defense undergraduates who were active emergency service workers. Using Mayring’s qualitative content analysis, the study examined participants’ descriptions of critical workplace incidents, emotional responses, and long-term impacts. The theoretical framework combines Paul’s concept of transformative experiences, Schön’s reflective practice, and Jarvis’s experiential learning theory. Results: The analysis revealed three key dimensions: transformative experiences, the role of conversation with the situation in meaning making and the significance of whole-person learning in understanding emotional presence and absence, and the role of reflective writing in understanding learning processes. The study uncovered complex patterns in how professionals process critical incidents and manage emotions in high-stress environments. Conclusions: Reflective writing serves as an effective tool for processing experiences and developing professional resilience, although the process of engaging with traumatic memories through reflection presents its own complexities. These insights contribute to the understanding of learning processes and professional development in high-stress environments. Full article
(This article belongs to the Special Issue Innovative Approaches to Understanding Student Learning)
17 pages, 294 KB  
Article
Media, Disasters, and the Global South: Comparing Global North and South Media Framing on Pakistan’s 2022 Floods
by Sarwar Khawaja, Shahbaz Aslam, Muhammad Yousaf, Nasir Mahmood, Noman Yaser, Syed Hassan Raza and Tahir Mahmood
Journal. Media 2025, 6(2), 70; https://doi.org/10.3390/journalmedia6020070 - 8 May 2025
Cited by 1 | Viewed by 3867
Abstract
The 2022 floods in Pakistan, one of the most recent catastrophic natural disasters, highlighted critical vulnerabilities in governance, infrastructure, and climate resilience. This study investigates the framing of the floods in newspapers from the Global North and Global South. The newspapers under investigation [...] Read more.
The 2022 floods in Pakistan, one of the most recent catastrophic natural disasters, highlighted critical vulnerabilities in governance, infrastructure, and climate resilience. This study investigates the framing of the floods in newspapers from the Global North and Global South. The newspapers under investigation included The Guardian, The New York Times, The Times of India, and Dawn. The study used a cross-sectional research design. Under the rubric of framing theory, utilizing quantitative content analysis, the study examines the prevalence of key frames in the press of the Global North and the Global South. The findings revealed a dominance of solution, vulnerability, and responsibility frames. Moreover, the Global North and Global South framed human causes, i.e., larger societal forces, as responsible, rather than natural causes. In addition, the victimization frame is more focused than community-led efforts. Notably, the solutions primarily emphasized international aid and climate adaptation, and other local governance and community adaptation frames. These results underscore the dual role of Global North and Global South media both as advocates for global climate justice and narrators of humanitarian crises, while also highlighting gaps in resilience narratives and local agency. This study contributes to framing theory by exploring the interplay of global and local narratives in disaster reporting. It emphasizes the need for balanced, actionable solutions in media discourse on climate-induced disasters to ensure climate justice. Full article
11 pages, 233 KB  
Review
Why We Do Not Need Dark Energy to Explain Cosmological Acceleration
by Felix M. Lev
AppliedMath 2025, 5(2), 48; https://doi.org/10.3390/appliedmath5020048 - 17 Apr 2025
Viewed by 482
Abstract
It has been shown that at the present stage of the evolution of the universe, cosmological acceleration is an inevitable kinematical consequence of quantum theory in semiclassical approximation. Quantum theory does not involve such classical concepts as Minkowski or de Sitter spaces. In [...] Read more.
It has been shown that at the present stage of the evolution of the universe, cosmological acceleration is an inevitable kinematical consequence of quantum theory in semiclassical approximation. Quantum theory does not involve such classical concepts as Minkowski or de Sitter spaces. In classical theory, when choosing Minkowski space, a vacuum catastrophe occurs, while when choosing de Sitter space, the value of the cosmological constant can be arbitrary. On the contrary, in quantum theory, there is no uncertainties in view of the following: (1) the de Sitter algebra is the most general ten-dimensional Lie algebra; (2) the Poincare algebra is a special degenerate case of the de Sitter algebra in the limit R where R is the contraction parameter for the transition from the de Sitter to the Poincare algebra and R has nothing to do with the radius of de Sitter space; (3) R is fundamental to the same extent as c and : c is the contraction parameter for the transition from the Poincare to the Galilean algebra and is the contraction parameter for the transition from quantum to classical theory; (4) as a consequence, the question (why the quantities (c, , R) have the values which they actually have) does not arise. The solution to the problem of cosmological acceleration follows on from the results of irreducible representations of the de Sitter algebra. This solution is free of uncertainties and does not involve dark energy, quintessence, and other exotic mechanisms, the physical meaning of which is a mystery. Full article
Back to TopTop