Next Article in Journal
Enhanced Production of Therapeutic Metabolites in Cork-Oak Somatic Embryos under Abiotic Stress Conditions
Next Article in Special Issue
Vascular NADPH Oxidases and Atherothrombotic Stroke
Previous Article in Journal
Genome-Wide Identification, Bioinformatic Characterization, and Expression Profiling of Starch Synthase (SS) Genes in Foxtail Millet under Drought Condition
Previous Article in Special Issue
Endoplasmic Reticulum Stress Signaling in the Regulation of Hepatic Pathological Responses
 
 
Font Type:
Arial Georgia Verdana
Font Size:
Aa Aa Aa
Line Spacing:
Column Width:
Background:
Article

Dynamics of Stress Biomarker in Cliff Divers during Official Competition

1
Faculty of Kinesiology, University of Split, 21000 Split, Croatia
2
High Performance Sport Center, Croatian Olympic Committee, 10000 Zagreb, Croatia
*
Author to whom correspondence should be addressed.
Stresses 2024, 4(3), 534-545; https://doi.org/10.3390/stresses4030034
Submission received: 1 July 2024 / Revised: 13 August 2024 / Accepted: 19 August 2024 / Published: 23 August 2024
(This article belongs to the Collection Feature Papers in Human and Animal Stresses)

Abstract

Stress is defined as a reaction of the body to any given stressor, external or internal. These stressors are common among participants in sports. Therefore, this study aimed to determine the dynamics of two stress biomarkers during an official cliff diving competition. The sample of participants included six professional cliff divers (three females and three males). Their salivary cortisol (C) and alpha-amylase (AA) samples were collected during a 3-day competition (four samples on day 1 and six samples on days 2 and 3). The analysis of the results showed a non-significant increase in AA from day one to day three. On the other hand, C has an increase in the first two days (0.58 ± 0.16 µg/mL–0.61 ± 0.23 µg/mL) and then a decrease in the last competition day (0.53 ± 0.23 µg/mL). Analysis of samples collected during each day demonstrates a fluctuation of the biomarkers. For AA, the sample after the training dive on the 2nd day has the highest value (326.34 ± 280.73 U/mL), whereas on day 3, the samples after training and before the competition dive are the highest (364.50 ± 287.13 U/mL; 466.49 ± 218.39 U/mL). Regarding C levels, the sample after the competition dive tends to show the highest values (0.66 ± 0.17 µg/mL; 0.89 ± 0.29 µg/mL; 0.76 ± 0.32 µg/mL, respectively). Furthermore, the correlation between the results of competition and biomarkers is not significant. These results demonstrate how cliff diving competition tends to have a high impact on the sympathetic nervous system, as observed mainly in AA dynamics. One might contend that even though there is no significant physical strain, cliff divers demonstrate heightened stress biomarker levels that could affect their performance and focus while diving.

1. Introduction

Sports with a high risk for the participants are defined as extreme sports [1,2]. These include base jumping, downhill mountain biking, skydiving, and cliff diving [3]. It is possible to view athletes who compete in extreme sports as sensation seekers [4]. On the other hand, those who are not drawn to sensations constantly weigh the benefits and drawbacks of the things they do. Additionally, the person withdraws as soon as the marginal costs are higher than the marginal rewards. As a result, there are differences between these groups of athletes in the way that the costs and rewards of a certain activity are evaluated. Specifically, sensation seekers tend to assess dangers as lower even for activities they have not engaged in to any degree, and they also tend to feel less anxious overall [4]. Therefore, athletes participating in extreme sports offer a unique chance to comprehend the impact of various attributes and scenario combinations that may affect their ability to make decisions and respond to stressful situations. Previous research examined the stress associated with several extreme sports, such as base jumping, freediving, and rock climbing [5]. However, no studies examined stress linked to cliff diving.
In the extreme sport of cliff diving, competitors must demonstrate their agility and expertise by jumping off a tall structure [6]. A closer look at cliff diving reveals that when exiting a platform, athletes execute dives in five primary dive groups: front, back, inward, reverse, and handstand [4]. Additionally, during each dive, there are four distinct diving definitions (twist, flying, barani, and blind entry) and three distinct dive postures (pike, tuck, and straight) that can be combined [4]. Precisely, the Red Bull Cliff Diving World Series was introduced in 2009, and high diving expanded into the field of competition [7]. Competition take-off heights are 20 m for women and 27 m for men. During the dive, velocity decreases from 85 km/h to 0 km/h in less than 1 s upon entry into the water [7]. Therefore, cliff divers are exposed to a variety of dangers, as mentioned previously. Accordingly, the injuries that most frequently cliff divers suffer happen upon water entry [6]. To prevent serious back or upper extremity injuries, water entry is exclusively in the feet-first position. However, over one season, the rate of acute injuries in highly trained divers was reported to be 9.7 injuries/1000 h of sport exposure [7]. Comparatively, other sports show an incidence of injury/1000 h of exposure as high as 18 in rugby, 32 in soccer, and 59 in American football [8]. However, cliff diving is a non-contact sport, which can indicate that this rate of injuries is still relatively high. Following all of that, it appears that cliff divers endure high levels of stress, which is mostly psychological by nature.
Athletes’ stress levels can be classified based on the neurobiological systems they are activating [3]. Specifically, two main systems come into play: (i) the autonomic nervous system responds by activating the sympathetic–adrenal medullary (SAM) axis, which releases norepinephrine from sympathetic nerve terminals; (ii) the endocrine response involves activating the hypothalamic–pituitary–adrenal gland (HPA) axis and results in elevated cortisol levels [9]. Salivary alpha-amylase gives an index of SAM axis arousal, while salivary cortisol provides a non-intrusive measure of HPA axis activation [10]. These two biomarkers (AA and C) have been previously examined in our lab related to handball [11,12,13]. Since C is involved in stress response and HPA axis activation, it is used as a biomarker of physical and psychological stress functioning in athletes [14,15]. On the other hand, AA is a reflection of sympathetic nervous system activity. Because of their strong correlation with noradrenalin liberation, levels of AA are indicative of an individual’s level of arousal [16]. Consequently, both biomarkers can be used to determine stress reactivity during extreme sports.
However, extreme sport experts have limited access to scientific data regarding C and AA reactivity during their sports training and competition. It has been shown that parachute jumpers exhibit heterogeneity in C reactivity [17]. Also, some research proved that skydiving causes an increase in salivary C levels in both novice and experienced skydivers to rise in comparison to their pre-jump and recovery levels [18]. Although there were no considerable variations in the salivary C levels of novices and experienced skydivers, novices reported higher degrees of anxiety [18].
Previous studies defined stress as a reaction of the body to any external or internal stressor [19,20]. These stressors are common among all participants in sports competitions [21,22]. Therefore, the influence of stressors could be crucial for athletes’ performance. The literature review showed a lack of studies that defined such consequences for athletes performing in more extreme environments, such as high-risk sports. Also, as mentioned above, water impact and the risk of serious injuries play a significant role in athletes’ stress responses. Following that, the aim of this study was to determine the dynamics of stress through selected biomarkers and examine their influence on performance during official cliff diving competitions.

2. Results

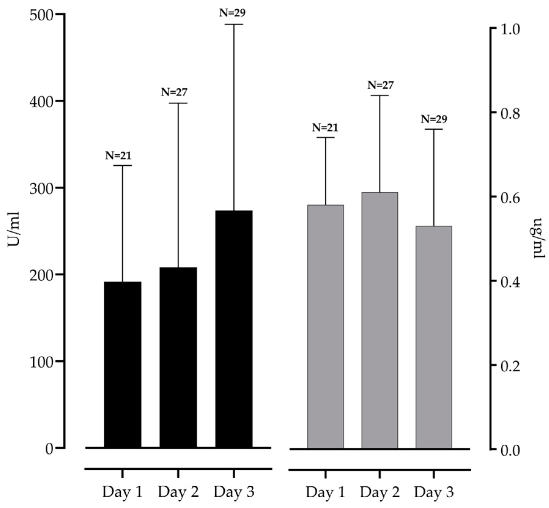
The analysis of results in Figure 1 shows that there are no significant differences among competition days in both AA and C. Furthermore, effect sizes show a trivial to small range between the days for both AA (0.10–0.44) and C (0.15–0.35), respectively (see Figure 1). On the other hand, C has an increase that occurs in the first two days (0.58 ± 0.16 µg/mL—0.61 ± 0.23 µg/mL) and then a decrease on day three (0.53 ± 0.23 µg/mL). The differences between the training (0.53 ± 0.18 µg/mL) and competition dives (0.60 ± 0.24 µg/mL) showed no significance for C. Similar results are obtained for AA, with no significance between measurements. (see Figure 2).
Table 1 shows that there is no significance between measurements during the whole competition. However, the second and third days show moderate-to-large effect sizes between samples. Precisely, the second sample from day 2 has the highest value (326.34 ± 280.73 U/mL). Effect sizes show a moderate effect of the second with the first (0.68), third (0.67), fifth (0.98), and sixth sample (0.71). Also, the first sample differs moderately from the fifth (1.01). Whereas on day 3, the second and third samples are the highest (364.50 ± 287.13 U/mL; 466.49 ± 218.39 U/mL).
Table 2 presents C levels during all 3 days. It can be noticed that the fourth sample tends to show the highest values (day 1, 0.66 ± 0.17 µg/mL; day 2, 0.89 ± 0.29 µg/mL; day 3, 0.76 ± 0.32 µg/mL). A further analysis showed moderate effect sizes on day 1 between the fourth sample and the first (0.68), second (0.62), and third (0.91) samples. For day 2, all samples showed moderate-to-large effect sizes (0.60–1.91), except between the first and fifth (0.50), second and third (0.20), and fifth and sixth (0.59). Day 3 samples demonstrate a moderate effect size between the first and second samples (1.09) and a large effect size between the first and fourth (1.32) samples. The second sample has a moderate effect size with the third (0.86), fourth (0.60), and sixth (0.62) samples and a large effect size with the fifth sample (1.22). The third sample differs only from the fourth sample with a large effect size (1.17). The fourth sample differs moderately (ES, 0.94) from the sixth and largely from the fifth (ES, 1.42) sample. Lastly, there is a moderate effect size between the fifth and sixth samples (0.74) on day 3.
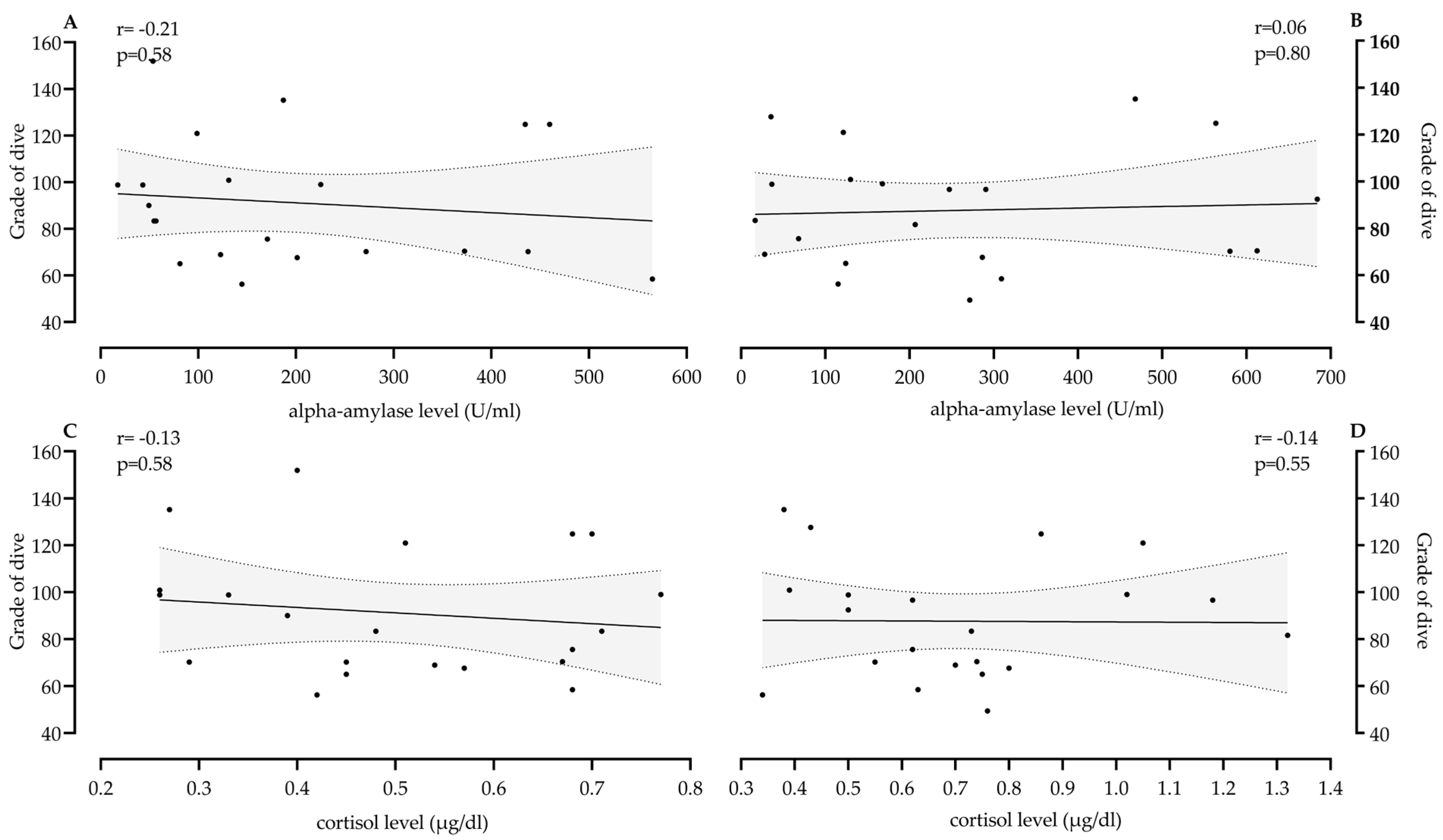
Figure 3 presents the correlation between biomarker levels and the grade of a dive before and after the dives. It can be noticed that there is no significant correlation between C levels and the grade of a dive. Similar findings are observed for AA levels, with no significant correlation between the result and AA.
Analysis of differences between males and females showed no significant differences (see Figure 4). Furthermore, the correlation between AA and C showed that there is no significant relationship between measured biomarkers. Precisely, the day 1 correlation showed a 0.21 Pearson coefficient between variables. Furthermore, day 2 also showed a small coefficient (0.32), similar to day 3 (0.36) (see Figure 5).

3. Methods

3.1. Participants

The sample of participants included 6 professional cliff divers (3 female and 3 male divers) who regularly compete on the Red Bull Cliff Diving Tour. Their mean chronological age was 28.33 ± 5.24 years (females, 29.66 ± 5.68 years; males, 27.00 ± 5.57 years), body mass of 66.33 ± 7.74 kg (females, 60.33 ± 4.51 kg; males, 72.33 ± 4.62 kg), and body height of 170.67 ± 6.06 cm (females, 167.67 ± 7.51 cm; males, 173.67 ± 2.89 cm). Their saliva samples for salivary cortisol (C) and alpha-amylase (AA) determination were collected during a 3-day competition. The collection of samples occurred before and after the training and competition dives, which ranged from 4 to 6 samples per day, depending on the competition day (4 samples on day 1; 6 samples on days 2 and 3). All athletes who took part in this study volunteered and were informed about the purpose of the study. The participants were asked about the existence of an anxiety disorder or a tendency to panic anxiety, which was reported as non-existent. Experimental procedures were completed following the declaration of Helsinki, and they were approved by the Faculty of Kinesiology, University of Splitethics board (Ethics Board Approval No. 2181-205-02-5-23-027).

3.2. Procedure

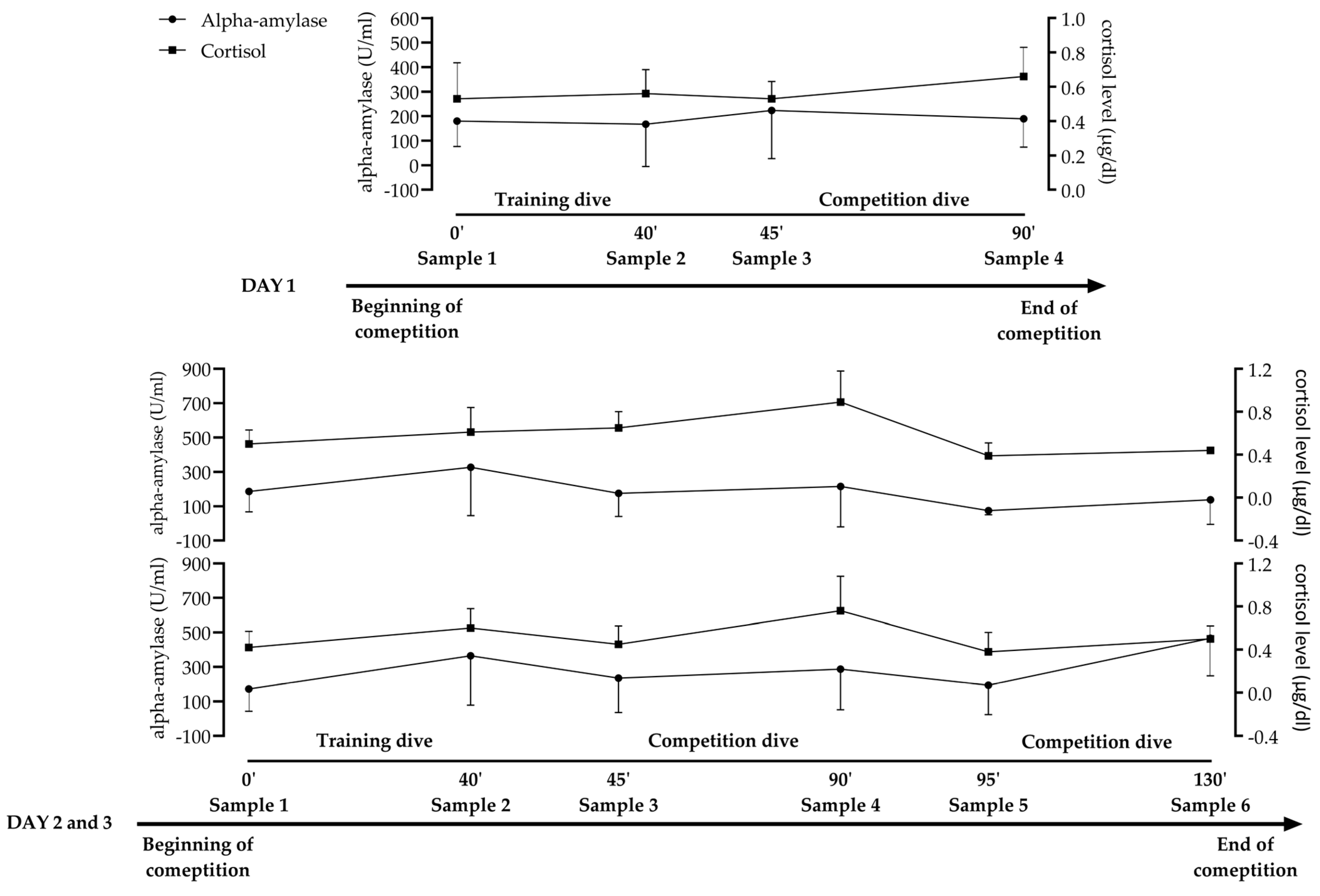
In this study, saliva samples from 48 dives were collected during the 3-day cliff diving competition. AA activity and C concentration were determined in saliva samples. All dives during competition days were completed in the afternoon hours between 1.00 p.m. and 5.00 p.m. The number of samples collected during any day was different due to the fact that divers performed an unequal number of dives per day. Therefore, day one had fewer dives and fewer samples. During the first day of the competition, 4 samples were collected from 2 dives (the first was a training dive, and the second was a competition dive). On the second and third competition days, more samples were collected, namely six samples collected from three dives (the first dive was a training dive, while the second and third were competition dives).
Apart from biomarkers, the grade of a dive was collected for each dive, which represents the final result of a diver’s performance for the execution of a single dive during the competition.

3.3. Sampling and Handling

Saliva samples were collected (see Figure 6) for salivary biomarker determination. The athletes rested for 48 h before the first day of the competition. After an overnight fast and without eating a major meal 60 min before sample collection, the athletes rinsed their mouths thoroughly with water 10 min before each sample was collected.
For this purpose, SalivaBio Oral Swabs, SOS (Salimetrics LLC, State College, PA, USA), were used and placed underneath the tongue on the floor of the mouth for 2 min. After collection, the swabs were placed into a storage tube and refrigerated immediately. Within 2 h following sampling, the samples were frozen at –20 °C until centrifugation. On the day of the analysis, the samples were thawed completely and centrifuged at 1500× g (3000 rpm) for 15 min. After centrifugation, assays were performed. Saliva C was analyzed with a commercially available enzyme-linked immunosorbent assay (ELISA), purchased from Salimetrics LLC (State College, PA, USA), on a microplate reader (Infinite 200PRO, Tecan, Mannendorf, Switzerland). Standard curves were constructed according to the manufacturer’s instructions and commercially available standards, and quality control samples were used for all assays (Salimetrics LLC). The assay sensitivity for salivary C was 0.007 µg/dL, with an average intra-assay CV of 4.5%. All samples were analyzed in the same batch to avoid intraassay variability. Samples for AA were analyzed using a kinetic enzyme assay kit from the same supplier (Salimetrics LLC, State College, PA, USA). The average intra-assay CV was 5.5%. Values are expressed as AA concentration (U/mL). Salivary hormone concentrations were corrected for the salivary flow rate.

3.4. Statistical Analysis

The statistical analyses included a Kolmogorov–Smirnov test procedure to determine the normality of the sample, which showed a normal distribution of data. Hence, the ANOVA for repeated measurements was used to identify possible differences between measurements in all groups of participants. Furthermore, the Scheffe post-hoc test was performed to determine differences among samples collected during the competition (e.g., days of competition and samples during a day in the competition). The determination of differences between male and female participants and between training and competition dives was performed using a t-test. Furthermore, a Pearson correlation was calculated for the relationship between biomarkers and between grade of dive and biomarkers. Cohen’s effect size (ES) statistics, with modified qualitative descriptors (trivial ES: <0.2; small ES: 0.21–0.60; moderate ES: 0.61–1.20; large ES: 1.21–1.99; and very large ES: >2.0), were used to prove the significance of the differences obtained. It was calculated taking into account means, standard deviations, and the number of samples.
The software Statistica ver. 13.0 (Dell Inc., Tulsa, OK, USA) was used for all analyses, and a p-level of 95% (p < 0.05) was applied.

4. Discussion

The main aim of this study was to determine the dynamics of stress markers in both the endocrine and nervous systems of cliff divers during a three-day competition. Additionally, the fluctuations of activity in both systems were assessed during an individual day with regard to the dives performed. Following that, this study presents a few important findings: (i) there are no significant differences between days of competition for both biomarkers, but with different trends of biomarker fluctuation; (ii) AA activity fluctuates among samples during a course of one day; (iii) C concentration shows a significant rise in the fourth sample after which the drop occurs.
The analysis of the results demonstrates that the increase/decrease trend of C and AA is present throughout the competition days. Precisely, C demonstrates a steady state during the days, with the highest value during the second day. On the other hand, AA has a stable trend of increasing from day 1 to day 3. Moreover, when observing the fluctuations of biomarkers during the days independently, it can be noted that fluctuations follow a trend of increase and/or decrease depending on the competition. Such differences in the trends of biomarkers could be explained by their circadian rhythms and the factors that influence their fluctuations. C is a valuable marker for the determination of physical and physiological stress that is connected with endocrine system activity and the hypothalamic–pituitary–adrenal gland axis (HPA) [23]. Previous studies demonstrate that C increases are defined by the intensity and/or duration of the workout [24,25] and the type of exercise [26,27]. On the other hand, AA is mostly connected to the nervous system and sympathetic–adrenal medullary (SAM) axis, which elicit faster liberation of this biomarker. Also, its secretion is influenced mostly by psychological factors (e.g., anxiety, audience, winning/losing) [28]. Therefore, the fluctuations of AA could also be seen in activities with low physical effort (e.g., archery) [29]. Furthermore, the biomarkers did not show a significant difference between the days of competition. Additionally, the relationship between the result (grade of a dive) and biomarkers did not show a significant connection. Such results are logical since all of the divers perform at the elite level and experience similar stress. Apart from that, the observed results are seen only in this competition, and the peak performance of divers is unknown. Therefore, other unknown factors could influence the biomarker increase.
Following the nature of both biomarkers, it can be seen that the impact of cliff diving competition tends to influence the rise in C on the first day and maintain such levels throughout all competition days. AA seems to show an apparent rise from day 1 to day 3 without reaching a level of significance. Such trends imply that nervous system activity increases, possibly due to the higher difficulty of the jumps and the duration of the competition, whereas the endocrine system adapts to stress and stays at the same level once it reaches a high level [30]. Also, the lack of correlation between C and AA could be a possible explanation for such conclusions. Precisely, the divers have more nervous system activations without high physical effort. Apart from the physiological and physical explanation of the stress, there is also a possible influence on psychological mechanisms. Precisely, previous studies showed that the reactivity of the HPA and SAM stress systems can be dissociated in people with particular personality profiles [3]. A personality profile of psychological resilience (i.e., low harm avoidance combined with high persistence and/or high self-directedness) mediates decision-making to pursue likely rewards despite substantial risk of injury [3].
Analysis of the fluctuations of AA during the course of one day demonstrated that nervous system activation is unevenly distributed. Precisely, there is an increase-and-decrease trend with moderate-to-high effect sizes between samples. Such observations could be examined based on the nature of the cliff diving competition. The competition in this study was held in such a manner that the diver performed a single training dive at the beginning, followed by three consecutive competitive dives. The increase in AA could be observed exactly after each dive. Moreover, since cliff jumping does not load an athlete physically, the AA fluctuations are most likely linked to psychological factors/stress. This trend of increase due to the psychological nature was examined earlier. Precisely, Skosnik, et al. [31] showed how stressful video games could influence AA increases in participants. Also, Chatterton, et al. [32] demonstrate that AA levels are significantly higher in skydiving when compared to baseline values. Additionally, Red Bull Cliff Diving is an extreme competition where athletes demonstrate their skills from a 24–28 m platform [33]. Following that, a previous study performed on base jumpers showed that experienced athletes perceive the highest values of AA after the jump, whereas novices demonstrate such results before the jump [3]. Therefore, an examination of the AA change that is noticed by extreme athletes showed that the highest values are experienced after the activity. Such a trend of AA is observed in most of the Red Bull Cliff Diving World Series athletes in our study.
The analysis of C dynamics demonstrates that the endocrine system activates at the beginning of the competition and exhibits the highest values at the fourth sample of the day. Such a trend could be examined through the time that is needed for the biomarker to respond to the activity [34]. Precisely, the endocrine system has a slower response time when compared to other systems (e.g., the nervous system) [34]. It’s activation in other studies ranges between 20 and 30 min [35]. Following that, the peak in levels of C is present around 40 min after the training dive. Therefore, such results could imply that cliff divers experienced stress from the competition after the first dive, which then occurred sometime later. Additionally, this peak is present after the second competition dive, after which a drop in C levels occurs. Examination of previous studies showed two possible explanations. Firstly, the trend could be observed with the adaptation of the athletes to the psychological and physiological stressors placed upon them in extreme sports [3,5]. The authors showed that more experienced athletes or athletes with higher sensation-seeking traits perceive lower levels of C during activity. Secondly, there seems to be a possible influence of diurnal rhythm on measured C. Precisely, general data showed that the C levels are highest upon awakening of the person, after which they drop significantly. This drop occurs throughout the day in a non-linear manner, with the lowest values around 5 P.M. [36]. The cliff divers’ last dive of the day happened approximately around 5 P.M. Therefore, the diurnal rhythm may have influenced the secretion of C.

Limitations and Strengths

The main limitation of this study is the small sample size, which sets precautions for the interpretation of the results. Also, the circadian rhythm of the measured biomarkers can be seen as a limitation. This rhythm changes the normal daily fluctuation of the hormones, which could interfere with measurements. Additionally, the half-life (duration of biomarker presence in the human body) of biomarkers could be seen as a limitation. However, this study is the first to examine the high diversity and the stress that is placed on them. With that being said, the ecological validity of this study is the main strength of this study, since this study was performed during an official competition with elite high divers.

5. Conclusions

These results demonstrate how a cliff diving competition tends to increase AA activity, and, hence, the nervous system activity can be defined. However, the endocrine system has an increase/decrease response visible during three days. Such findings imply that divers have a stress adaptation because C is relatively stable when observing the levels of biomarkers throughout the day. However, it can be noted that during one day, the levels of biomarkers fluctuate (increasing and decreasing). Therefore, different dives during each day elicit the fluctuation of biomarkers differently. Additionally, it should be emphasized that the sample of divers in this study is small (N = 6). Hence, the generalization of the obtained results should be taken with caution. Because of that, the stress during cliff diving should also be observed under different conditions with a larger sample.
To conclude, it can be said that even though there is no high physical load exerted on cliff divers, they have high levels of stress biomarkers. In regard to the lack of correlations between results and biomarkers, the stress could be influential on their performance and focus for the dives. Therefore, athletes could use different stress coping techniques (slow-paced breathing, diaphragmatic breathing) to manipulate stress levels and improve their performance.

Author Contributions

Conceptualization, M.P. and N.F.; methodology, N.F. and Z.N.; software, D.V. and V.P.; validation, M.P., N.F. and D.V.; formal analysis, N.F. and V.P.; investigation, M.P., V.P. and N.F.; resources, N.F. and Z.N.; data curation, D.V.; writing—original draft preparation, D.V.; writing—review and editing, N.F.; visualization, D.V. and N.F.; supervision, M.P.; project administration, N.F.; funding acquisition, M.P. and Z.N. All authors have read and agreed to the published version of the manuscript.

Funding

This research received no external funding.

Data Availability Statement

Data are contained within the article.

Conflicts of Interest

The authors declare no conflicts of interest.

References

  1. Brymer, E. Risk taking in extreme sports: A phenomenological perspective. Ann. Leis. Res. 2010, 13, 218–238. [Google Scholar] [CrossRef]
  2. Krokosz, D.; Lipowski, M. “No Risk No Fun?”: Determinants of Satisfaction with Life in People Who Engage in Extreme and High-Risk Sports. Int. J. Environ. Res. Public Health 2022, 19, 13328. [Google Scholar] [CrossRef] [PubMed]
  3. Monasterio, E.; Mei-Dan, O.; Hackney, A.C.; Lane, A.R.; Zwir, I.; Rozsa, S.; Cloninger, C.R. Stress reactivity and personality in extreme sport athletes: The psychobiology of BASE jumpers. Physiol. Behav. 2016, 167, 289–297. [Google Scholar] [CrossRef] [PubMed]
  4. Frick, B. Gender Differences in Risk-Taking and Sensation-Seeking Behavior: Empirical Evidence from “ExtremeSports”. De Econ. 2021, 169, 5–20. [Google Scholar] [CrossRef]
  5. Frenkel, M.O.; Heck, R.-B.; Plessner, H. Cortisol and behavioral reaction of low and high sensation seekers differ in responding to a sport-specific stressor. Anxiety Stress Coping 2018, 31, 580–593. [Google Scholar] [CrossRef]
  6. Ernstbrunner, L.; Runer, A.; Siegert, P.; Ernstbrunner, M.; Becker, J.; Freude, T.; Resch, H.; Moroder, P. A prospective analysis of injury rates, patterns and causes in Cliff and Splash Diving. Injury 2017, 48, 2125–2131. [Google Scholar] [CrossRef]
  7. Delaloye, J.-R.; Sander, F.; Murar, J.; Tischer, T.; Ernstbrunner, L. Water Jumping Sports. In Injury and Health Risk Management in Sports: A Guide to Decision Making; Krutsch, W., Mayr, H.O., Musahl, V., Della Villa, F., Tscholl, P.M., Jones, H., Eds.; Springer: Berlin/Heidelberg, Germany, 2020; pp. 651–657. [Google Scholar]
  8. Colburn, N.T.; Meyer, R.D. Sports injury or trauma? Injuries of the competition off-road motorcyclist. Injury 2003, 34, 207–214. [Google Scholar] [CrossRef]
  9. Wolf, J.M.; Nicholls, E.; Chen, E. Chronic stress, salivary cortisol, and α-amylase in children with asthma and healthy children. Biol. Psychol. 2008, 78, 20–28. [Google Scholar] [CrossRef]
  10. Ali, N.; Pruessner, J.C. The salivary alpha amylase over cortisol ratio as a marker to assess dysregulations of the stress systems. Physiol. Behav. 2012, 106, 65–72. [Google Scholar] [CrossRef]
  11. Foretic, N.; Nikolovski, Z.; Peric, I.; Sekulic, D. Testosterone, cortisol and alpha-amylase levels during a handball match; analysis of dynamics and associations. Res. Sports Med. 2020, 28, 360–370. [Google Scholar] [CrossRef]
  12. Foretić, N.; Nikolovski, Z.; Marić, D.; Gabrilo, G.; Sekulić, D.; Jaksić, D.; Drid, P. Stress Levels in Handball Coaching–Case Study: Preliminary Analysis of the Differences between Training and Match. Int. J. Environ. Res. Public Health 2022, 19, 10251. [Google Scholar] [CrossRef] [PubMed]
  13. Nikolovski, Z.; Foretić, N.; Vrdoljak, D.; Marić, D.; Perić, M. Comparison between Match and Training Session on Biomarker Responses in Handball Players. Sports 2023, 11, 83. [Google Scholar] [CrossRef]
  14. Stajer, V.; Vranes, M.; Ostojic, S.M. Correlation between biomarkers of creatine metabolism and serum indicators of peripheral muscle fatigue during exhaustive exercise in active men. Res. Sports Med. 2020, 28, 147–154. [Google Scholar] [CrossRef] [PubMed]
  15. Moreira, A.; McGuigan, M.R.; Arruda, A.F.S.; Freitas, C.G.; Aoki, M.S. Monitoring Internal Load Parameters During Simulated and Official Basketball Matches. J. Strength Cond. Res. 2012, 26, 861–866. [Google Scholar] [CrossRef]
  16. Nater, U.M.; La Marca, R.; Florin, L.; Moses, A.; Langhans, W.; Koller, M.M.; Ehlert, U. Stress-induced changes in human salivary alpha-amylase activity—Associations with adrenergic activity. Psychoneuroendocrinology 2006, 31, 49–58. [Google Scholar] [CrossRef]
  17. Deinzer, R.; Kirschbaum, C.; Gresele, C.; Hellhammer, D. Adrenocortical responses to repeated parachute jumping and subsequent h-CRH challenge in inexperienced healthy subjects. Physiol. Behav. 1997, 61, 507–511. [Google Scholar] [CrossRef] [PubMed]
  18. Hare, O.A.; Wetherell, M.A.; Smith, M.A. State anxiety and cortisol reactivity to skydiving in novice versus experienced skydivers. Physiol. Behav. 2013, 118, 40–44. [Google Scholar] [CrossRef]
  19. Chu, B.; Marwaha, K.; Sanvictores, T.; Ayers, D. Physiology, stress reaction. In StatPearls [Internet]; StatPearls Publishing: Treasure Island, FL, USA, 2021. [Google Scholar]
  20. Butler, G. Definitions of stress. Occas. Pap. 1993, 61, 1–5. [Google Scholar]
  21. Olusoga, P.; Butt, J.; Hays, K.; Maynard, I. Stress in elite sports coaching: Identifying stressors. J. Appl. Sport Psychol. 2009, 21, 442–459. [Google Scholar] [CrossRef]
  22. Hanton, S.; Fletcher, D.; Coughlan, G. Stress in elite sport performers: A comparative study of competitive and organizational stressors. J. Sports Sci. 2005, 23, 1129–1141. [Google Scholar] [CrossRef]
  23. Törnhage, C.-J. Salivary cortisol for assessment of hypothalamic-pituitary-adrenal axis function. Neuroimmunomodulation 2009, 16, 284–289. [Google Scholar] [CrossRef]
  24. Tremblay, M.S.; Copeland, J.L.; Van Helder, W. Influence of exercise duration on post-exercise steroid hormone responses in trained males. Eur. J. Appl. Physiol. 2005, 94, 505–513. [Google Scholar] [CrossRef]
  25. Copeland, J.L.; Consitt, L.A.; Tremblay, M.S. Hormonal responses to endurance and resistance exercise in females aged 19–69 years. J. Gerontol. Ser. A Biol. Sci. Med. Sci. 2002, 57, B158–B165. [Google Scholar] [CrossRef]
  26. Gatti, R.; De Palo, E.F. An update: Salivary hormones and physical exercise. Scand. J. Med. Sci. Sports 2011, 21, 157–169. [Google Scholar] [CrossRef]
  27. Viru, A.; Viru, M. Cortisol-essential adaptation hormone in exercise. Int. J. Sports Med. 2004, 25, 461–464. [Google Scholar] [CrossRef]
  28. Takai, N.; Yamaguchi, M.; Aragaki, T.; Eto, K.; Uchihashi, K.; Nishikawa, Y. Effect of psychological stress on the salivary cortisol and amylase levels in healthy young adults. Arch. Oral Biol. 2004, 49, 963–968. [Google Scholar] [CrossRef]
  29. Lim, I.S. Comparative analysis of the correlation between anxiety, salivary alpha amylase, cortisol levels, and athletes’ performance in archery competitions. J. Exerc. Nutr. Biochem. 2018, 22, 69–74. [Google Scholar] [CrossRef]
  30. Nater, U.M.; Rohleder, N.; Schlotz, W.; Ehlert, U.; Kirschbaum, C. Determinants of the diurnal course of salivary alpha-amylase. Psychoneuroendocrinology 2007, 32, 392–401. [Google Scholar] [CrossRef]
  31. Skosnik, P.D.; Chatterton, R.T., Jr.; Swisher, T.; Park, S. Modulation of attentional inhibition by norepinephrine and cortisol after psychological stress. Int. J. Psychophysiol. 2000, 36, 59–68. [Google Scholar] [CrossRef]
  32. Chatterton, R.T., Jr.; Vogelsong, K.M.; Lu, Y.-C.; Hudgens, G.A. Hormonal Responses to Psychological Stress in Men Preparing for Skydiving1. J. Clin. Endocrinol. Metab. 1997, 82, 2503–2509. [Google Scholar] [CrossRef][Green Version]
  33. Napolitano, S. Cliff diving:: Water impact and video-analysis. J. Phys. Educ. Sport 2014, 14, 93. [Google Scholar]
  34. Caplin, A.; Chen, F.S.; Beauchamp, M.R.; Puterman, E. The effects of exercise intensity on the cortisol response to a subsequent acute psychosocial stressor. Psychoneuroendocrinology 2021, 131, 105336. [Google Scholar] [CrossRef] [PubMed]
  35. Budde, H.; Machado, S.; Ribeiro, P.; Wegner, M. The cortisol response to exercise in young adults. Front. Behav. Neurosci. 2015, 9, 13. [Google Scholar] [CrossRef]
  36. Xie, H.; Zheng, X.; Huang, Y.; Li, W.; Wang, W.; Li, Q.; Hou, J.; Luo, L.; Kuang, X.; Lin, C.Q. Diurnal pattern of salivary alpha-amylase and cortisol under citric acid stimulation in young adults. PeerJ 2022, 10, e13178. [Google Scholar] [CrossRef] [PubMed]
Figure 1. Post-hoc analysis with arithmetic means and standard deviations for AA (black) and C (grey) among days of the competition with the number of samples (N).
Figure 1. Post-hoc analysis with arithmetic means and standard deviations for AA (black) and C (grey) among days of the competition with the number of samples (N).
Stresses 04 00034 g001
Figure 2. T-test analysis with arithmetic means and standard deviations for AA (black) and C (grey) between training and competition dives with the number of samples (N).
Figure 2. T-test analysis with arithmetic means and standard deviations for AA (black) and C (grey) between training and competition dives with the number of samples (N).
Stresses 04 00034 g002
Figure 3. Correlation analysis between C and AA with grade of dive during competition for before dive AA (A), after dive AA (B), before dive C (C), and after dive C (D). (dots) representing individual values; (black line) linear regression plot; (shade areas) 95% confidence interval.
Figure 3. Correlation analysis between C and AA with grade of dive during competition for before dive AA (A), after dive AA (B), before dive C (C), and after dive C (D). (dots) representing individual values; (black line) linear regression plot; (shade areas) 95% confidence interval.
Stresses 04 00034 g003
Figure 4. T-test analysis with arithmetic means and standard deviations between males and females in AA (black) and C (grey).
Figure 4. T-test analysis with arithmetic means and standard deviations between males and females in AA (black) and C (grey).
Stresses 04 00034 g004
Figure 5. Correlation analysis between C and AA during day 1 (A), day 2 (B), and day 3 (C). (dots) representing individual values; (black line) linear regression plot; (shade areas) 95% confidence interval.
Figure 5. Correlation analysis between C and AA during day 1 (A), day 2 (B), and day 3 (C). (dots) representing individual values; (black line) linear regression plot; (shade areas) 95% confidence interval.
Stresses 04 00034 g005
Figure 6. Sample collection timeline with mean sample data before the dive (training and competition) and directly after the dive (training and competition)—some sample times differ from the timeline due to the different duration of dives.
Figure 6. Sample collection timeline with mean sample data before the dive (training and competition) and directly after the dive (training and competition)—some sample times differ from the timeline due to the different duration of dives.
Stresses 04 00034 g006
Table 1. Post-hoc analysis and effect sizes among samples during three days of the competition on the total sample of measurements for AA, with p-levels shown in the table.
Table 1. Post-hoc analysis and effect sizes among samples during three days of the competition on the total sample of measurements for AA, with p-levels shown in the table.
Day 1
VariableMeanSDSample 1Sample 2Sample 3Sample 4Sample 5Sample 6
Sample 1179.96103.79 1.000.961.00--
Sample 2167.25172.661.00 0.951.00--
Sample 3222.96196.020.960.95 0.98--
Sample 4189.09115.171.001.000.98 --
Day 2
Sample 1185.25117.87 0.72 *1.001.000.99 *0.98
Sample 2326.34280.730.72 * 0.91 *0.950.76 *0.71 *
Sample 3174.59134.081.000.91 * 1.000.99 *0.97
Sample 4214.40235.231.000.951.00 0.96 *0.94
Sample 574.3324.810.99 *0.76 *0.99 *0.96 * 1.00 *
Sample 6136.88143.340.980.71 *0.970.941.00 *
Day 3
Sample 1171.58128.59 0.71 *1.000.94 *1.000.43 **
Sample 2364.50287.130.71 * 0.920.990.80 *0.99
Sample 3234.11198.571.000.92 1.001.000.67 *
Sample 4287.05235.580.94 *0.991.00 0.980.84 *
Sample 5192.98169.511.000.80 *1.000.98 0.51 **
Sample 6466.49218.390.43 **0.990.67 *0.84 *0.51 **
Legend: SD, standard deviation; *, moderate effect size; **, large effect size.
Table 2. Post-hoc analysis and effect sizes among samples during three days of the competition on the total sample of measurements for C, with p-levels shown in the table.
Table 2. Post-hoc analysis and effect sizes among samples during three days of the competition on the total sample of measurements for C, with p-levels shown in the table.
Day 1
VariableMeanSDSample 1Sample 2Sample 3Sample 4Sample 5Sample 6
Sample 10.530.21 1.001.000.57 *--
Sample 20.560.141.00 1.000.83 *--
Sample 30.530.101.001.00 0.58 *--
Sample 40.660.170.570.830.58 --
Day 2
Sample 10.500.13 0.84 *0.60 *0.03 **1.00 *1.00
Sample 20.610.230.84 * 0.990.23 *0.98 *0.94 *
Sample 30.650.150.60 *0.99 0.67 *0.90 **0.82 **
Sample 40.890.290.03 **0.23 *0.67 * 0.34 **0.26 **
Sample 50.390.121.00 *0.98 *0.90 **0.34 ** 1.00
Sample 60.440.011.000.94 *0.82 **0.26 **1.00
Day 3
Sample 10.420.15 0.75 *1.000.131.001.00
Sample 20.600.180.75 * 0.85 *0.83 *0.56 **0.98 *
Sample 30.450.171.000.85 * 0.19 *0.991.00
Sample 40.760.320.130.83 *0.19 * 0.07 **0.52 *
Sample 50.380.181.000.56 **0.990.07 ** 0.97 *
Sample 60.500.121.000.98 *1.000.52 *0.97 *
Legend: SD, standard deviation; *, moderate effect size; **, large effect size.
Disclaimer/Publisher’s Note: The statements, opinions and data contained in all publications are solely those of the individual author(s) and contributor(s) and not of MDPI and/or the editor(s). MDPI and/or the editor(s) disclaim responsibility for any injury to people or property resulting from any ideas, methods, instructions or products referred to in the content.

Share and Cite

MDPI and ACS Style

Perić, M.; Pavlinović, V.; Foretić, N.; Nikolovski, Z.; Vrdoljak, D. Dynamics of Stress Biomarker in Cliff Divers during Official Competition. Stresses 2024, 4, 534-545. https://doi.org/10.3390/stresses4030034

AMA Style

Perić M, Pavlinović V, Foretić N, Nikolovski Z, Vrdoljak D. Dynamics of Stress Biomarker in Cliff Divers during Official Competition. Stresses. 2024; 4(3):534-545. https://doi.org/10.3390/stresses4030034

Chicago/Turabian Style

Perić, Mia, Vladimir Pavlinović, Nikola Foretić, Zoran Nikolovski, and Dario Vrdoljak. 2024. "Dynamics of Stress Biomarker in Cliff Divers during Official Competition" Stresses 4, no. 3: 534-545. https://doi.org/10.3390/stresses4030034

APA Style

Perić, M., Pavlinović, V., Foretić, N., Nikolovski, Z., & Vrdoljak, D. (2024). Dynamics of Stress Biomarker in Cliff Divers during Official Competition. Stresses, 4(3), 534-545. https://doi.org/10.3390/stresses4030034

Article Metrics

Back to TopTop