Abstract
The morphological plasticity of plant roots is a key factor in their ability to tolerate a wide range of edaphic stresses. There are many unanswered questions relating to nanotechnology and its potential uses for sustainable agriculture. The main purpose of this study was to examine the effects of salinity-induced morphogenic responses and zinc oxide nanoparticles (ZnO-NPs) on root characteristics, growth, MDA content, antioxidant enzymatic activity, and root ion accumulation in rice (Oryza sativa L.). The experiment was conducted in a hydroponic culture containing 50 mg/L of ZnO-NPs and different concentrations (60, 80, and 100 mM) of NaCl for 14 days. The results indicated a decrease in rice root growth due to exposure to salinity (length, fresh, and root dry weight). The results showed that salinity caused a reduction in rice root growth (length, fresh, and root dry weight). Higher root sodium (Na+) accumulation, MDA content, and potassium level decreased with increasing salinity. Root length, root fresh weight, root dry weight, root K+ content, and root antioxidant enzymatic activity were all enhanced by applying 50 mg/L ZnO-NPs often in salinity. SEM analysis revealed that ZnO-NPs treatments significantly improved root morphology. There was a notable decrease in root Na+ content as a result, which improved the K+/Na+ ratio in the rice’s root system. These findings suggest that O. sativa, when treated with ZnO-NPs, can thrive under salt-stress conditions, opening up the possibility of cultivating the plant in extreme climates.
1. Introduction
The world population is expected to reach 9.6 billion by 2050 and approximately 83 million people are added every year which may present a major task for agricultural producers to make a balance between demand and supply, and any type of hindrance between supply and demand may cause food security-related problems [1,2]. However, agricultural lands have also been limited due to climate change and global warming [3]. Worldwide, 53% of Asia and Australia, 13% of Latin America, 10% of Europe, 9% of Africa, and 2% of North American lands are affected by salinity [4]. According to an estimation, more than 20% of irrigated lands have high salinity and 50% are affected by medium or secondary salinity [1,3,5]. In soil, accumulation of excessive salt contents Na+, K+, Ca2+, Mg2+, and Cl−, has the potential to affect plant physiology, directly inhibiting their growth and decreasing crop production [5]. Roots’ adaptability to salinity stress is crucial because they are among the first parts of a plant to experience environmental stress [6]. Root morphology may involve mechanisms that prevent salt accumulation in roots, allowing for continued water uptake even in highly salty soils [7]. Root hair development and formation are largely controlled by salt stress [8]. In plants, salt-induced ion disequilibrium is responsible for the inhibition of root growth and development [8,9]. This ionic disequilibrium may affect the root length and biomass that are sensitive to ions and osmotic stresses [10]. Ionic imbalance and osmotic stress introduced by excessive salt levels have been shown to have destructive effects on plant root morphology, biomass, and biochemical processes. The accumulation of excess Na+ and Cl− ions causes a number of physiological changes in root systems under salinity stress [11,12]. These changes include a deficiency in nutrient availability and a decrease in the soil water potential that caused the ionic toxicity [13]. This ion toxicity hampers the essential biological processes, which reduces the activity of enzymes [14]. Soil salinity directly raises plant root Na+ and Cl− contents, which raises the ratio of Na+/K+, which ultimately disrupts regular plant ionic activities [15]. Several plant species have responded to these threats by adopting a variety of adaptations. The first is an osmotic adjustment, which transports the extra Na+ ions to the vacuole, and the second is osmolyte synthesis, which helps cells deal with the situation [16,17]. Protecting membrane potential, osmotic, and turgor pressures all depend on a balanced K+/Na+ ratio.
Plant root cells typically contain mineral elements such as ions, which are used to make up the structural substances of the cell [18]. Enzymes and other biological components rely on mineral components to control and maintain their activity. They aid in electrochemical processes such as osmotic regulation, colloidal stabilization, and charge neutralization. The regulation of ion metabolism is crucial to plant growth and development because it ensures that cell membranes remain stable. An imbalance between Na+ and Cl- and other essential ions like Ca2+ and K+ is the main cause of salt damage. Plants respond to the high levels of sodium in the soil by accumulating salt. The uptake of Cl− is promoted by a chemical gradient and can be aided by a decrease in membrane potential due to an ion gradient [13]. Osmotic and ionic imbalance, membrane dysfunction, and increased production of reactive oxygen species (ROS) are all consequences of an excess of Na+, impacting cell proliferation and development [19]. During salinity stress, the salinization process decreases and alters the electron flow from central transport chains to oxygen-reduction pathways, of photosynthesis, respiration, and other metabolic processes that lead to the overproduction of reactive oxygen species (ROS), e.g., superoxide radical (O2•−), singlet oxygen (1O2), hydrogen peroxide (H2O2), and hydroxyl radical (OH•) [20,21]. These ROS are lethal and cause damage to lipids, proteins, and DNA, and affect normal cellular biological processes [22,23]. Balancing the redox homeostasis in plants during salinity stress caused by ROS is counter-balanced by antioxidant machinery, e.g., SOD, CAT, APX, and this machinery is necessary for the detoxification of ROS for the cellular survival of plants [24,25,26].
Nanotechnology is an emerging field of science in various branches like agriculture, medicine, pharmaceuticals, microbiology, and biotechnology [27]. Uses of nanoparticles (NPs) seem to be a potential solution to overcome plant salinity stress problems [28]. The size of NPs is between 1 to 100 nm, which influences plant root adaptation against salinity stress by scavenging ROS, upregulating the antioxidant enzyme activities, and decreasing the Na+/K+ ratio [29].
Zinc (Zn) is an important player in the physiological and biochemical processes of enzyme activation in plants, such as RNA polymerases, superoxide dismutase, alcohol dehydrogenase, carbonic anhydrase, protein synthesis, metabolism of carbohydrate, lipid, and nucleic acid [30,31,32]. Zinc ions are also a part of transcription factors, e.g., the Zn finger family of transcription factors that control the proliferation and differentiation of cells [30,31,33,34,35,36]. In plants, Zn deficiency reduces growth, tolerance to stress, and chlorophyll synthesis [35,36,37]. The total amount of Zn in agricultural soil depends on parent rock, weathering, organic matter, texture, and pH. Thus, the soil’s critical amount of Zn is between 70 to 400 mg/kg [38,39].
In semi-arid regions, salinity is a common problem where saline and sodic soils with high pH values lead to zinc deficiency which may reduce the crop yield [40,41,42,43]. The Zn ion reverse effect of salinity by reducing the excessive Na+ accumulation and improving the K+/Na+ ratio in plants under saline conditions also promoted root growth [44,45,46]. Zinc oxide nanoparticles (ZnO-NPs) are the most commonly used material with photoactivity, non-toxic, long-term appearances, and is inexpensive [47,48,49,50]. ZnO-NPs are safe for plants compared to other metal oxides and per annum and approximately 550 tons of ZnO-NPs are produced globally for various types of uses. ZnO-NPs have broad advantages like helping improve soil fertility, deficiency of Zn ion that enhances plant development, and protection against the various types of abiotic stress [39,51,52].
Rice (Oryza sativa L.) is one of the major edible staple crops for more than 50% of the world’s population. However, salinity is a significant barrier to rice production because of its sensitivity towards salinity. Because of this problem, the characterization of rice physiology under salinity is a critical requirement for production. In order to improve rice in the future, a deeper understanding of root system architecture is needed, with a focus on root morphological traits under salinity stress. The goal of this study was to investigate ZnO-’P's impact on root morphology and architecture under salinity stress. We used one landrace genotype, Kargi, and a salt-tolerant rice cultivar, CSR 30, to study plant root growth under different NaCl and ZnO-NP concentrations in hydroponic culture for 14 days. Finally, we observed that ZnO-NPs application reduced oxidative stress and increased antioxidant accumulation in the roots of hydroponically grown rice seedlings, thus, also reducing the detrimental effects of salinity stress. The possible mechanisms of action of ZnO NPs in reducing salt stress with an improvement in root morphology are also discussed.
2. Results
2.1. Root Growth of Rice Genotypes under Salinity Stress
The root elongation of different salinity treatments and ZnO NPs of Kargi and CSR 30 rice genotypes were screened. The root length, fresh, and dry weight of Kargi and CSR 30 compared to the control was decreased in saline treatment, respectively (Table 1), however, a significant increase in RL (Root Length), RFW (Root Fresh Weight), and RDW (Root Dry Weight) was observed in ZnO NPs treatment (Table 1) (Supplementary Figure S1).
Table 1.
Impact of ZnO-NPs, NaCl in control and saline conditions in the root parameters RL (Root Length), RFW (Root Fresh Weight), and RDW (Root Dry Weight) of Kargi and CSR 30 seeds after 14 days of treatments. Values are means of three replicates. Error bars show the least significant value (LSD) at p ≤ 0.01 among the treatments.
2.2. Rice Root Na+, K+, and Zn Accumulation Analysis under Salinity Stress
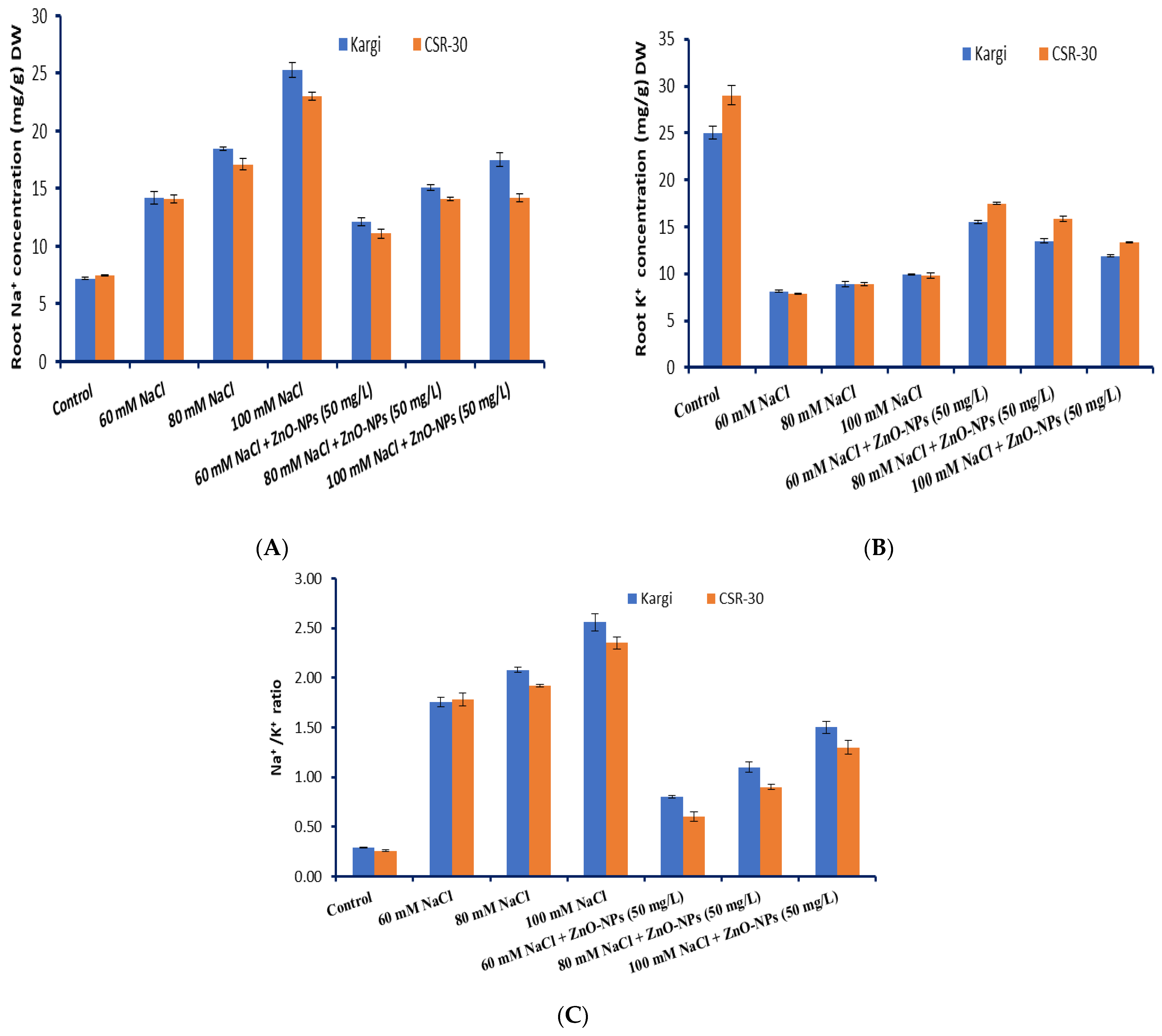
Salinity stress can cause significant changes in the roots’ concentration of Na+ and K+ (Figure 1A,B). Under saline conditions, the root Na+ concentration rises from 1.97 to 3.51 fold in Kargi and from 1.88 to 3.07 fold in CSR 30 genotypes. Kargi (1.68–2.43 fold) and CSR 30 (1.48–1.189 fold) rice genotypes treated with ZnO-NPs showed the lowest increment in Na+ (Figure 1A). When subjected to salinity stress, the potassium concentration in the roots of both rice genotypes decreased considerably (Figure 1B). Root K+ concentrations decreased by as much as 2.93–3.67 fold in the Kargi genotype and 2.53–3.09 fold in the CSR 30 genotype in the saline treatment, respectively, when compared to their respective control plants (Figure 1B). However, ZnO-NP treatment decreased less K+ concentrations in the Kargi (1.61–2.10 fold) and CSR (1.66–2.18 fold) rice genotypes compared to the control. It was found that the Na+/K+ ratio in the roots was significantly altered and increased in the Kargi and CSR 30 under saline treatments, but was only slightly altered in the ZnO-NPs treatments (Figure 1C). In all treatments, Kargi showed a slightly higher Na+/K+ ratio than CSR 30 (Figure 1C).
Figure 1.
Impact of ZnO-NPs in control and saline conditions in the Na+, (A), K+ (B), and Na+/K+ ratio (C), in the root of Kargi and CSR 30 after 14 days of treatments. Values are means of three replicates. Error bars indicate the least significant value (LSD) at p ≤ 0.01 among the treatments.
Zn content accumulation in the roots of Kargi and CSR 30 plants that were subjected to saline treatments was significantly lower when compared to non-stressed plants (Table 1). The incorporation of an external Zn supply in the form of ZnO-NPs resulted in increased levels of zinc in the Kargi and CSR 30 root systems (Table 1). In the saline and ZnO-NP treatments, Kargi accumulated perhaps less Zn than CSR 30.
2.3. Effect of Salinity Treatment on Rice Root MDA
The MDA concentration in the Kargi (1.56–2.45 fold) and CSR 30 (1.50–2.20 fold) saline treatments was significantly higher than that of the control plants (Figure 2). It was found that the ZnO-NPs treatments seemed to not affect the MDA concentration in the roots of either Kargi (1.14–1.82 fold) or CSR 30 (1.12–1.75 fold), as compared to the controls and the NaCl treatments. In addition to this, it was found that the MDA levels in the root of Kargi were slightly higher than in CSR 30 across all treatments (Figure 2).
Figure 2.
Impact of ZnO-NPs in control and saline conditions in the MDA concentration in the root of Kargi and CSR 30 after 14 days of treatments. Values are means of three replicates. Error bars indicate the least significant value (LSD) at p ≤ 0.01 among the treatments.
2.4. Activity of Antioxidant Enzymes
A significant change in antioxidant enzyme activity was observed in the root of the Kargi and CSR 30 rice plants under saline and non-saline conditions along with applying ZnO-NPs. The analysis also showed that applying ZnO-NPs increased the activity of the antioxidant enzymes in plants treated with NaCl.
2.4.1. APX Activity
Roots of the Kargi and CSR 30 species that were subjected to salinity showed increased APX enzyme activity by 1.3–1.8 and 1.4–1.9 fold, respectively, compared to controls (Figure 3). However, ZnO-NPs significantly increased the induced APX activities in the Kargi (1.5–2 fold) and CSR 30 (1.6–2.1 fold) rice genotypes compared to the untreated saline control plants.
Figure 3.
Impact of ZnO-NPs in control and saline conditions in the APX activity in the root of Kargi and CSR 30 after 14 days of treatments. Values are means of three replicates. Error bars indicate the least significant value (LSD) at p ≤ 0.01 among the treatments.
2.4.2. CAT (Catalase) Activity
When exposed to salinity, the root CAT concentrations of both the Kargi and CSR 30 genotypes were increased by 1.46–2.29 fold and 1.53–2.31 fold, respectively, when compared to the control (Figure 4). ZnO-NPs treatments increased CAT activity compared to both the Kargi (1.75–2.50 fold) and CSR 30 (1.76–2.51 fold) controls, as well as saline plants (Figure 4). However, the CSR 30 CAT activity was marginally higher than the Kargi’s in both the saline and ZnO-NPs treatments (Figure 4).
Figure 4.
Impact of ZnO-NPs in control and saline conditions in the CAT activity in the root of Kargi and CSR 30 after 14 days of treatments. Values are means of three replicates. Error bars indicate the least significant value (LSD) at p ≤ 0.01 among the treatments.
2.4.3. SOD Activity
Under conditions of salinity stress, the root concentration of the SOD-producing enzyme was elevated in the Kargi and CSR 30 genotypes. NaCl treatment increased SOD antioxidant enzyme activity in Kargi (1.34–1.89 fold) and CSR 30 (1.40–2.01 fold) compared to their respective controls (Figure 5). In comparison to untreated controls, ZnO-NPs treatments increased SOD activity in the roots of both Kargi (1.56–1.93) and CSR 30 (1.66–2.18) plants (Figure 5). After being exposed to NaCl and NaCl+ ZnO-NPs, SOD activity in CSR 30 was marginally higher than in Kargi.
Figure 5.
Impact of ZnO-NPs in control and saline conditions in the SOD activity in the root of Kargi and CSR 30 after 14 days of treatments. Values are means of three replicates. Error bars indicate the least significant value (LSD) at p ≤ 0.01 among the treatments.
2.5. SEM (Scanning Electron Microscope) Analysis of Effect of Salinity on Rice Root
As a result of exposure to salinity, the size and shape of the roots were found to undergo transformations (Figure 6). The SEM was used to examine root morphology in order to determine the effects of salinity on the Kargi and CSR 30 genotypes. When compared to the control, the root morphological architecture and deformation of Kargi and CSR 30 were altered by the NaCl treatments (Figure 6A,B), whereas the ZnO-NPs treatments caused less harm to the roots of these plants. Figure 6A,B show the destructive effect of NaCl on the morphology of Kargi and CSR 30 root, while also demonstrating the mitigating effect of ZnO-NPs on salinity [53].
Figure 6.
Impact of ZnO NPs in control and saline conditions and morphological deformations of the root of (A) Kargi and (B) CSR 30 after 14 days of treatments. Subfigures represent different treatments with ZnO-NPs: (I)—control, (II)—60 mM NaCl, (III)—80 mM NaCl, (IV)—100 mM NaCl, (V)—60 mM NaCl + ZnO-NPs (50 mg/L), (VI)—80 mM NaCl + ZnO-NPs (50 mg/L), and (VII)—100 mM NaCl+ ZnO-NPs (50 mg/L); red arrows indicate deformation and reformation of Kargi and CSR 30 rice root.
3. Discussion
Abiotic stresses reduce the germination, flowering, and productivity of crops by affecting the biological developmental processes of plants. It affects photosynthesis, respiration, protein synthesis, and lipids’ metabolism, which developed biochemical regulation by creating osmotic, oxidative, and ionic stress [12,54,55,56]. Salt injury scores under salt-treated conditions reflected the degree to which the leaf, flower, and siliqua were damaged. Excess accumulation of the salt that boosted leaf senescence is likely the cause of the drying of leaves under salinity stress [57]. Another possible explanation for leaf discoloration is the breakdown of chlorophyll molecules brought on by salinity stress [58]. Osmotic stress, ion toxicity, and mineral deficiency were the main mechanisms by which salinity harmed plants [59,60,61,62]. Root system architecture and expansion are largely governed by the efficiency with which water and nutrients are absorbed; however, these root processes are modified in distinct ways by salinity stress [63]. Root fresh and dry weights of rice were negatively impacted by salinity (Table 1), with the roots taking the brunt of the stress. This suggests that root cells are sensitive to salt concentration, or that increased water availability in the soil could mitigate the negative impact of salinity [64].
In our study, we observed that ZnO-NPs significantly improved both the salt tolerance and plant root growth of the Kargi and CSR 30 rice genotypes. All organisms require zinc as a necessary micronutrient [65]. ZnO-NPs play an important role in the biosynthesis of auxins that influence many plants’ developmental processes, e.g., root development, plant fertility, pollen development, and seed germination [53,66]. Our study shows that treating Kargi and CSR 30 rice with NaCl and ZnO-NPs significantly increases the levels of the antioxidant enzymes APX, CAT, and SOD, while also decreasing the levels of MDA and Na+ ion concentrations and promoting root growth. Under salinity stress, the application of ZnO-NPs has a potential role in the detoxification of ROS and protecting the plant root cell membrane by controlling the inclusion and exclusion of Na+, thus, promoting plant root growth [67,68,69,70].
Root potassium uptake is impeded by the high concentration of Na+ ions caused by salinity stress. Potassium is the most abundant cation in living cells and is essential for proper root cell turgidity and the function of many enzymes. The root cell’s growth and development were stopped due to a lack of K+ ions [56]. The excessive intake of Na+ into the root cytoplasm can hinder the activity of essential enzymes. If the Na+/K+ ratio is high it can create an adverse effect on the plant roots [71,72,73,74]. Our study found that under salt stress, the rice genotypes Kargi and CSR 30 exhibited the highest Na+ concentration and the lowest K+ concentration. Maximum K+ was measured in the ZnO-NPs-treated rice genotypes compared with control and salinity stress plant roots. Plants of both maize and cotton showed similar outcomes [75,76].
The higher accumulation of Na+ triggers the production of ROS that leads to membrane lipid peroxidation and the final product of lipid peroxidation is malondialdehyde (MDA) during oxidative stress that damages the membrane [77,78,79,80]. The result of this study shows that the application of ZnO-NPs with NaCl shows a significant decline in the MDA concentration compared with treatment that has only NaCl and that has maximum MDA content with higher membrane damage. This study is also consistent with other results [79,81], suggesting that salinity stress disrupted the lipid and protein composition of the membrane which affected their architecture. However, the application of ZnO-NPs extended the MDA concentration and mitigated the injury caused by salinity. Other studies also reported [64] that ZnO-NP's case defensive impact on salinity stress, especially in the cell membrane, improves the membrane’s permeability and oxidative stress in seedlings.
Other studies suggested that when plant roots are exposed to salinity stress, they produce ROS resulting in the turn-on of the defense mechanism of antioxidant enzymes [69,75]. The salinity stress produced reactive oxygen species, e.g., superoxide radical (O2•−), singlet oxygen (1O2), hydrogen peroxide (H2O2), and hydroxyl radical (OH•) [20]. In this study, it is observed that rice genotypes Kargi and CSR 30, when exposed to salinity the level of antioxidant enzymes (APX, CAT, and SOD) start increasing Present work confirmed that applications of ZnO NPs improve activities like APX, CAT, and SOD in Kargi and CSR 30 rice plants roots under salinity stress.
During salinity stress, excessive accumulation of NaCl created oxidative stress that leads to the production of reactive oxygen species (ROS), e.g., superoxide radical (O2•−), singlet oxygen (1O2), hydrogen peroxide (H2O2) and hydroxyl radical (OH•) [20,82]. ROS have destructive in nature that can damage the cell and its organization to overcome this problem antioxidant enzymes come into the picture and help in the detoxification of reactive oxygen species radicals [83]. Furthermore, the applications of ZnO-NPs give a higher concentration of antioxidant enzymes compared with the control and NaCl-treated plants this result was similar to other work on maize [84]. The increase in the concentration level of APX, CAT, and SOD activity in ZnO NPs-treated rice plants in salinity stress suggested that NPs can effectively modify the enzyme activity.
4. Materials and Methods
4.1. NPs Preparation
For our experiment using commercial-grade zinc oxide (ZnO-NP) powder (particle size < 50 nm) was purchased from Sisco Research Laboratories (SRL) Pvt. Ltd, Maharashtra, India, batch no, 6,063,960. Purchased ZnO NPs were used as received, without any modification, and prepared using a method described by Rajput et al. [85]. The ZnO-NPs were poured into DDW (double distilled water) to prepare the required concentration. The NPs solution was shaken in an ultra-sonicator (stabilization step) to achieve a well-mixed dispersion to minimize aggregation, before application in the batch experiments.
4.2. Plant Material, Seed Germination, and Hydroponic Culture
Healthy rice seeds of a landrace Kargi were collected from a farmer from Pauha village Machhlishahr, Jaunpur, Uttar Pradesh, India, and CSR-30 salt-tolerant basmati cultivar was obtained from Basmati Export Development Foundation, Meerut, India. The seeds of rice genotypes were sterilized with 0.01% HgCl2 for 2 min and washed with distilled water. Twenty-five seeds of both two genotypes were transferred on a round piece of wet filter paper in clean Petri dishes and kept in an incubator at 25 °C for germination. All treatments were performed in triplicate. After five days, the germination was halted, and the 10 germinated seeds were transferred into a test tube (in triplicate) containing 50 mL of half-strength of Hogland’s solution with and without ZnO-NPs (50 mg/L) and different concertation of NaCl (60 mM, 80 mM 100 mM), test tubes were placed in a growth chamber. The growth chamber was set at 28 ± 1 °C with light intensity 300–500 μEm-2 s-1, relative humidity 75–80%, and 14 h/8 h photoperiod. After 14 days, plant roots were harvested, washed with double distilled water, and used for further studies.
Details of the treatments are given below:
- Control
- 60 mM NaCl
- 80 mM NaCl
- 100 mM NaCl
- 60 mM NaCl + Zn0-NPs (50 mg/L)
- 80 mM NaCl +Zn0-NPs (50 mg/L)
- 100 mM NaCl + Zn0-NPs (50 mg/L)
4.3. Morphological Indices Determination
The treated rice plants (treatments triplicate) were collected, and roots were separated from them. The different treatments’ root length (cm) was measured using a meter scale (Supplementary Figure S1).
4.4. Quantification of Na+ and K+ Concentrations
The Na+ and K+ concentrations in the roots were determined by a flame photometer (Elico-CL36, Hyderabad, India) using a method described by Hara et al. [86]. The dried rice root material was placed in 1 N HCl for 12 h, and the concentrations of Na+ and K+ were estimated from the Na+ and K+ standard curves.
4.5. Zn Content
This study’s aim was to quantify the amount of zinc present in rice roots with different treatments, grinding them into a powder, and then 0.5 g grind root powders were transferred into 10 mL of a 2:1 nitric acid and perchloric acid solution. This pre-digestive concoction sat out overnight. After 24 h, the flasks were transferred to a hot plate of digestion unit blocks and heated to between 150 and 235 °C until the orange fumes turned white. The altered coloration confirmed that the root samples were completely digested. Additionally, it was filtered by adding 2–3 mL of deionized water to 50 mL glass volumetric flasks and then we topped off the volume with additional deionized water in 100 mL flasks [87].
4.6. Measurement of Lipid Peroxidation (MDA)
MDA (Malondialdehyde) content in rice root was measured by the thiobarbituric acid (TBA) method as described by Assaha et al. [88]. Fresh root (0.1 g) was homogenized in an extraction buffer (10 mM HEPES, pH 7, 15% tricarboxylic acid, 0.375% thiobarbituric acid, 0.25 N HCl, 0.04% butylated hydroxyl toluene, and 2% ethanol) and then heated to 95 oC before being centrifuged. The supernatant was read between 532 nm and 600 nm, and the extinction coefficient was used to calculate the MDA content (155 mM−1 cm−1) [89].
4.7. Measurement of Antioxidant Enzymes’ Activity
4.7.1. APX and CAT
CAT (EC 1.11.1.6) and APX (EC 1.11.1.11) activity were determined through enzyme extraction carried out using a 0.5 g fresh root sample of rice by the strategy of Takagi and Yamada [90]. To begin with, 50 mM potassium phosphate buffer (pH 7.0), 10 mM H2O2, and 5% enzyme extract were all present in a one mL CAT assay mixture. At 240 nm, a decrease in H2O2 was noted, and activity was estimated as mmol H2O2, consumed per minute. For APX activity, a 1 mL assay mixture included 10% enzyme extract, 25 mM phosphate buffer (pH 7.0), 0.25 mM ascorbic acid, 0.1 mM EDTA, and 0.1 mM H2O2. At 290 nm, the rate of ascorbate oxidation was observed, and its concentration was determined using its extinction coefficient of 2.8 mM−1 cm−1. One unit of APX is equal to 1 µmol of ascorbate oxidized per minute.
4.7.2. SOD
SOD (EC 1.15.1.1) activity was detected by the following method of Beyer and Fridovich [91] technique, by inhibition of the photoreduction of NBT (nitrotetrazolium). To begin with, 50 mM sodium phosphate buffer, pH 7.6, 0.1 mM EDTA, 50 mM sodium carbonate, 12 mM L-methionine, 50 μM NBT, 10 μM riboflavin, and 100 μM of crude extract were added to the reaction mixture, which contained a final volume of 3.0 mL. There was no crude extract used in the reaction. SOD reaction was carried out for 15 min at room temperature in 4000 lux under 15 W fluorescent lights. Using a spectrophotometer, the absorbance at 560 nm was measured after 15 min of incubation.
4.8. Root Anatomy Observation by Scanning Electron Microscope
SEM (Zeiss EVO LS10, Oberkochen, Germany) was used to examine the root morphology of rice genotypes CSR 30 and Kargi after being subjected to NaCl and ZnO NPs at 20 kv in a water-free, high-vacuum environment.
4.9. Statistical Analyses
The statistical analyses were performed by one and two-way ANOVA using SPSS software 16.0 version and every experiment was triplicated. Means differing significantly were compared using Duncan’s test at a significance level of p ≤ 0.01.
5. Conclusions
For plants, salinity is one of the most damaging abiotic stresses because it causes a wide variety of abnormal changes in the morphology and physiology of roots. We aimed to investigate the effect of ZnO-NPs on morpho-physiochemical attributes under normal and salt stress conditions. Our results show that under both control and salt stress conditions, the morpho-physiochemical response of Oryza sativa roots to ZnO-NPs was significantly higher than in the contexts of the corresponding control and saline treatments. Furthermore, our study shows the significant efficacy of ZnO-NPs in promoting root growth, decreasing Na+ and MDA content, stimulating K+ uptake, improving the Na+/K+ ratio, and enhancing the activity of antioxidant enzymes. This ensures a low Na+/K+ ratio in the roots of Kargi and CSR 30 plants by maintaining ion homeostasis and limiting Na+ transport to the roots. Increased growth of Oryza sativa under salt stress results from improved cellular function, reduced accumulation of reactive oxygen species, and protection of biomolecules. These findings with SEM level analysis suggest that ZnO-NP-induced tolerance in the Kargi and CSR 30 rice genotypes may result from the ZnO-NPs protecting the root tissue morphology, thus, reducing water loss and enhancing nutrient and water transport. In addition, ZnO-NPs can increase antioxidant levels and nutrient uptake, both of which may play essential roles in water uptake under NaCl stress conditions, facilitating the growth of a robust root system and illuminating the mechanisms underlying plants’ salinity tolerance and adaptability.
Supplementary Materials
The following supporting information can be downloaded at: https://www.mdpi.com/article/10.3390/stresses3010004/s1, Figure S1: Impact of ZnO NPs in control and saline conditions and morphology of the root of (A) CSR 30 and (B) Kargi after 14 days of treatments.
Author Contributions
Conceptualization, A.S. and R.S.S.; methodology, A.S. and R.S.S.; software, A.S. and R.S.S.; validation, V.D.R.; formal analysis, A.S., R.S.S., U.P.S. and K.A.G.; data curation, writing—original draft preparation, A.S., R.S.S., U.P.S., V.D.R., T.M. and K.A.G.; visualization, A.S. and R.S.S.; supervision, R.S.S. All authors have read and agreed to the published version of the manuscript.
Funding
This research received no external funding.
Institutional Review Board Statement
Not applicable.
Informed Consent Statement
Not applicable.
Data Availability Statement
The datasets used and/or analyzed during the current study are available from the corresponding author upon reasonable request.
Acknowledgments
The authors thank the central facilities of the National Institute of Plant Genome Research, New Delhi, India, for providing SEM facilities. KAG would like to acknowledge the support by the Science Committee of RA, in the frames of the research project № 21AG-4C075.
Conflicts of Interest
The authors declare no conflict of interest.
References
- Munns, R. Genes and salt tolerance: Bringing them together. New Phytol. 2005, 167, 645–663. [Google Scholar] [CrossRef] [PubMed]
- Repeta, D.J.; Ferrón, S.; Sosa, O.A.; Johnson, C.G.; Repeta, L.D.; Acker, M.; Delong, E.F.; Karl, D.M. Marine methane paradox explained by bacterial degradation of dissolved organic matter. Nat. Geosci. 2016, 9, 884–887. [Google Scholar] [CrossRef]
- Ruan, C.J.; da Silva, J.A.T.; Mopper, S.; Pei, Q.; Lutts, S. Halophyte Improvement for a Salinized World. Crit. Rev. Plant Sci. 2010, 29, 329–359. [Google Scholar] [CrossRef]
- Singh, V.K.; Singh, R.; Tripathi, S.; Devi, R.S.; Srivastava, P.; Singh, P.; Kumar, A.; Bhadouria, R. Seed priming: State of the art and new perspectives in the era of climate change. Clim. Chang. Soil Interact. 2020, 8, 143–170. [Google Scholar] [CrossRef]
- Manuel, R.; Machado, A.; Serralheiro, R.P.; Alvino, A.; Freire, M.I.; Ferreira, R. Soil Salinity: Effect on Vegetable Crop Growth. Management Practices to Prevent and Mitigate Soil Salinization. Horticulturae 2017, 3, 30. [Google Scholar] [CrossRef]
- An, P.; Inanaga, S.; Li, X.; Shimizu, H.; Tanimoto, E. Root characteristics in salt tolerance. Root Res. 2003, 12, 125–132. [Google Scholar] [CrossRef]
- Schleiff, U.; Muscolo, A. Fresh look at plant salt tolerance as affected by dynamics at the soil/root-interface using Leek and Rape as model crops. Eur. J. Plant Sci. Biotechnol. 2011, 5, 27–32. [Google Scholar]
- Wang, Y.; Zhang, W.; Li, K.; Sun, F.; Han, C.; Wang, Y.; Li, X. Salt-induced plasticity of root hair development is caused by ion disequilibrium in Arabidopsis thaliana. J. Plant Res. 2008, 121, 87–96. [Google Scholar] [CrossRef]
- Schiefelbein, J.W. Constructing a plant cell. The genetic control of root hair development. Plant Physiol. 2000, 124, 1525–1531. [Google Scholar] [CrossRef]
- Kafi, M.; Rahimi, Z. Effect of salinity and silicon on root characteristics, growth, water status, proline content and ion accumulation of purslane (Portulaca oleracea L.). Soil Sci. Plant Nutr. 2011, 57, 341–347. [Google Scholar] [CrossRef]
- Villalta, I.; Reina-Sánchez, A.; Bolarín, M.C.; Cuartero, J.; Belver, A.; Venema, K.; Carbonell, E.A.; Asins, M.J. Genetic analysis of Na+ and K+ concentrations in leaf and stem as physiological components of salt tolerance in Tomato. Theor. Appl. Genet. 2008, 116, 869–880. [Google Scholar] [CrossRef] [PubMed]
- Rasel, M.; Tahjib-Ul-Arif, M.; Hossain, M.A.; Hassan, L.; Farzana, S.; Brestic, M. Screening of Salt-Tolerant Rice Landraces by Seedling Stage Phenotyping and Dissecting Biochemical Determinants of Tolerance Mechanism. J. Plant Growth Regul. 2021, 40, 1853–1868. [Google Scholar] [CrossRef]
- Van Zelm, E.; Zhang, Y.; Testerink, C. Salt Tolerance Mechanisms of Plants. Annu. Rev. Plant Biol. 2020, 71, 403–433. [Google Scholar] [CrossRef] [PubMed]
- Zhang, H.X.; Blumwald, E. Transgenic salt-tolerant tomato plants accumulate salt in foliage but not in fruit. Nat. Biotechnol. 2001, 19, 765–768. [Google Scholar] [CrossRef]
- Reddy, I.N.B.L.; Kim, B.K.; Yoon, I.S.; Kim, K.H.; Kwon, T.R. Salt Tolerance in Rice: Focus on Mechanisms and Approaches. Rice Sci. 2017, 24, 123–144. [Google Scholar] [CrossRef]
- Queirós, F.; Fontes, N.; Silva, P.; Almeida, D.; Maeshima, M.; Gerós, H.; Fidalgo, F. Activity of tonoplast proton pumps and Na+/H+ exchange in potato cell cultures is modulated by salt. J. Exp. Bot. 2009, 60, 1363–1374. [Google Scholar] [CrossRef]
- Rahneshan, Z.; Nasibi, F.; Moghadam, A.A. Effects of salinity stress on some growth, physiological, biochemical parameters and nutrients in two pistachio (Pistacia vera L.) rootstocks. J. Plant Interact. 2018, 13, 73–82. [Google Scholar] [CrossRef]
- Zafar, S.; Perveen, S.; Khan, M.K.; Shaheen, M.R.; Hussain, R.; Sarwar, N.; Rashid, S.; Nafees, M.; Farid, G.; Alamri, S.; et al. Effect of zinc nanoparticles seed priming and foliar application on the growth and physio-biochemical indices of spinach (Spinacia oleracea L.) under salt stress. PLoS ONE 2022, 17, e0263194. [Google Scholar] [CrossRef]
- Singh, A.; Sengar, R.S.; Rajput, V.D.; Minkina, T.; Singh, R.K. Zinc Oxide Nanoparticles Improve Salt Tolerance in Rice Seedlings by Improving Physiological and Biochemical Indices. Agriculture 2022, 12, 1014. [Google Scholar] [CrossRef]
- Das, K.; Roychoudhury, A. Reactive oxygen species (ROS) and response of antioxidants as ROS-scavengers during environmental stress in plants. Front. Environ. Sci. 2014, 2, 53. [Google Scholar] [CrossRef]
- Massange-Sánchez, J.A.; Sánchez-Hernández, C.V.; Hernández-Herrera, R.M.; Palmeros-Suárez, P.A. The Biochemical Mechanisms of Salt Tolerance in Plants. In Plant Stress Physiology-Perspectives in Agriculture; IntechOpen: London, UK, 2021. [Google Scholar] [CrossRef]
- Sofo, A.; Scopa, A.; Nuzzaci, M.; Vitti, A. Ascorbate Peroxidase and Catalase Activities and Their Genetic Regulation in Plants Subjected to Drought and Salinity Stresses. Int. J. Mol. Sci. 2015, 16, 13561–13578. [Google Scholar] [CrossRef] [PubMed]
- Foyer, C.H.; Noctor, G. Redox homeostasis and antioxidant signaling: A metabolic interface between stress perception and physiological responses. Plant Cell 2005, 17, 1866–1875. [Google Scholar] [CrossRef] [PubMed]
- Gill, S.S.; Tuteja, N. Reactive oxygen species and antioxidant machinery in abiotic stress tolerance in crop plants. Plant Physiol. Biochem. 2010, 48, 909–930. [Google Scholar] [CrossRef] [PubMed]
- Gill, S.S.; Tuteja, N. Cadmium stress tolerance in crop plants: Probing the role of sulfur. Plant Signal. Behav. 2011, 6, 215. [Google Scholar] [CrossRef]
- Huang, H.; Ullah, F.; Zhou, D.X.; Yi, M.; Zhao, Y. Mechanisms of ROS regulation of plant development and stress responses. Front. Plant Sci. 2019, 10, 800. [Google Scholar] [CrossRef]
- Rajput, V.; Minkina, T.; Mazarji, M.; Shende, S.; Sushkova, S.; Mandzhieva, S.; Burachevskaya, M.; Chaplygin, V.; Singh, A.; Jatav, H. Accumulation of nanoparticles in the soil-plant systems and their effects on human health. Ann. Agric. Sci. 2020, 65, 137–143. [Google Scholar] [CrossRef]
- Rajput, V.D.; Minkina, T.; Kumari, A.; Shende, S.S.; Ranjan, A.; Faizan, M.; Barakvov, A.; Gromovik, A.; Gorbunova, N.; Rajput, P.; et al. A review on nanobioremediation approaches for restoration of contaminated soil. Eurasian J. Soil Sci. 2022, 11, 43–60. [Google Scholar] [CrossRef]
- Khan, M.N.; Mobin, M.; Abbas, Z.K.; AlMutairi, K.A.; Siddiqui, Z.H. Role of nanomaterials in plants under challenging environments. Plant Physiol. Biochem. 2017, 110, 194–209. [Google Scholar] [CrossRef]
- Vallee, B.L.; Falchuk, K.H. The biochemical basis of zinc physiology. Physiol. Rev. 1993, 73, 79–118. [Google Scholar] [CrossRef]
- Cakmak, I. Tansley Review No. 111 Possible roles of zinc in protecting plant cells from damage by reactive oxygen species. New Phytol. 2000, 146, 185–205. [Google Scholar] [CrossRef]
- Grotz, N.; Guerinot, M. Lou Molecular aspects of Cu, Fe and Zn homeostasis in plants. Biochim. Biophys. Acta 2006, 1763, 595–608. [Google Scholar] [CrossRef] [PubMed]
- Lin, C.W.; Chang, H.B.; Huang, H.J. Zinc induces mitogen-activated protein kinase activation mediated by reactive oxygen species in rice roots. Plant Physiol. Biochem. 2005, 43, 963–968. [Google Scholar] [CrossRef] [PubMed]
- Palmer, C.M.; Guerinot, M. Lou Facing the challenges of Cu, Fe and Zn homeostasis in plants. Nat. Chem. Biol. 2009, 5, 333–340. [Google Scholar] [CrossRef] [PubMed]
- Sharma, A.; Patni, B.; Shankhdhar, D.; Shankhdhar, S.C. Zinc—An Indispensable Micronutrient. Physiol. Mol. Biol. Plants 2013, 19, 11. [Google Scholar] [CrossRef] [PubMed]
- Natasha, N.; Shahid, M.; Bibi, I.; Iqbal, J.; Khalid, S.; Murtaza, B.; Bakhat, H.F.; Farooq, A.B.U.; Amjad, M.; Hammad, H.M.; et al. Zinc in soil-plant-human system: A data-analysis review. Sci. Total Environ. 2022, 808, 152024. [Google Scholar] [CrossRef] [PubMed]
- Kabata-Pendias, A. Trace Elements in Soils and Plants, 4th ed.; CRC press: Boca Raton, FL, USA, 2010; pp. 1–520. [Google Scholar] [CrossRef]
- Curtis, T.; Halford, N.G. Food security: The challenge of increasing wheat yield and the importance of not compromising food safety. Ann. Appl. Biol. 2014, 164, 354–372. [Google Scholar] [CrossRef]
- Srivastav, A.; Ganjewala, D.; Singhal, R.K.; Rajput, V.D.; Minkina, T.; Voloshina, M.; Srivastava, S.; Shrivastava, M. Effect of ZnO Nanoparticles on Growth and Biochemical Responses of Wheat and Maize. Plants 2021, 10, 2556. [Google Scholar] [CrossRef]
- Ma, L.; Liu, X.; Lv, W.; Yang, Y. Molecular mechanisms of plant responses to salt stress. Front. Plant Sci. 2022, 13, 934877. [Google Scholar] [CrossRef]
- Zhu, J.K. Cell signaling under salt, water and cold stresses. Curr. Opin. Plant Biol. 2001, 4, 401–406. [Google Scholar] [CrossRef]
- Tavallali, V.; Rahemi, M.; Maftoun, M.; Panahi, B.; Karimi, S.; Ramezanian, A.; Vaezpour, M. Zinc influence and salt stress on photosynthesis, water relations, and carbonic anhydrase activity in pistachio. Sci. Hortic. 2009, 123, 272–279. [Google Scholar] [CrossRef]
- Daneshbakhsh, B.; Khoshgoftarmanesh, A.H.; Shariatmadari, H.; Cakmak, I. Phytosiderophore release by wheat genotypes differing in zinc deficiency tolerance grown with Zn-free nutrient solution as affected by salinity. J. Plant Physiol. 2013, 170, 41–46. [Google Scholar] [CrossRef] [PubMed]
- Saleh, J.; Maftoun, M.; Safarzadeh, S.; Gholami, A. Growth, Mineral Composition, and Biochemical Changes of Broad Bean as Affected by Sodium Chloride and Zinc Levels and Sources. Commun. Soil Sci. Plant Anal. 2009, 40, 3046–3060. [Google Scholar] [CrossRef]
- Nadeem, F.; Azhar, M.; Anwar-ul-Haq, M.; Sabir, M.; Samreen, T.; Tufail, A.; Awan, H.U.M.; Juan, W. Comparative Response of Two Rice (Oryza sativa L.) Cultivars to Applied Zinc and Manganese for Mitigation of Salt Stress. J. Soil Sci. Plant Nutr. 2020, 20, 2059–2072. [Google Scholar] [CrossRef]
- Tolay, I. The impact of different Zinc (Zn) levels on growth and nutrient uptake of Basil (Ocimum basilicum L.) grown under salinity stress. PLoS ONE 2021, 16, e0246493. [Google Scholar] [CrossRef]
- Kandjani, A.E.; Mohammadtaheri, M.; Thakkar, A.; Bhargava, S.K.; Bansal, V. Zinc oxide/silver nanoarrays as reusable SERS substrates with controllable “hot-spots” for highly reproducible molecular sensing. J. Colloid Interface Sci. 2014, 436, 251–257. [Google Scholar] [CrossRef]
- Lee, Y.-C.; Moon, J.-Y. Bionanotechnology in Agriculture, Food, Cosmetic and Cosmeceutical. Introd. Bionanotechnol. 2020, 199–217. [Google Scholar] [CrossRef]
- Alabdallah, N.M.; Alzahrani, H.S. The potential mitigation effect of ZnO nanoparticles on [Abelmoschus esculentus L. Moench] metabolism under salt stress conditions. Saudi J. Biol. Sci. 2020, 27, 3132–3137. [Google Scholar] [CrossRef]
- Navia-Mendoza, J.M.; Filho, O.A.E.; Zambrano-Intriago, L.A.; Maddela, N.R.; Duarte, M.M.M.B.; Quiroz-Fernández, L.S.; Baquerizo-Crespo, R.J.; Rodríguez-Díaz, J.M. Advances in the Application of Nanocatalysts in Photocatalytic Processes for the Treatment of Food Dyes: A Review. Sustainability 2021, 13, 11676. [Google Scholar] [CrossRef]
- Rossi, L.; Fedenia, L.N.; Sharifan, H.; Ma, X.; Lombardini, L. Effects of foliar application of zinc sulfate and zinc nanoparticles in coffee (Coffea arabica L.) plants. Plant Physiol. Biochem. 2019, 135, 160–166. [Google Scholar] [CrossRef]
- Neto, M.E.; Britt, D.W.; Lara, L.M.; Cartwright, A.; Dos Santos, R.F.; Inoue, T.T.; Batista, M.A. Initial Development of Corn Seedlings after Seed Priming with Nanoscale Synthetic Zinc Oxide. Agronomy 2020, 10, 307. [Google Scholar] [CrossRef]
- Rajput, V.D.; Minkina, T.M.; Behal, A.; Sushkova, S.N.; Mandzhieva, S.; Singh, R.; Gorovtsov, A.; Tsitsuashvili, V.S.; Purvis, W.O.; Ghazaryan, K.A.; et al. Effects of zinc-oxide nanoparticles on soil, plants, animals and soil organisms: A review. Environ. Nanotechnol. Monit. Manag. 2018, 9, 76–84. [Google Scholar] [CrossRef]
- Mohamed, I.A.A.; Shalby, N.; El-Badri, A.M.A.; Saleem, M.H.; Khan, M.N.; Nawaz, M.A.; Qin, M.; Agami, R.A.; Kuai, J.; Wang, B.; et al. Stomata and Xylem Vessels Traits Improved by Melatonin Application Contribute to Enhancing Salt Tolerance and Fatty Acid Composition of Brassica napus L. Plants. Agronomy 2020, 10, 1186. [Google Scholar] [CrossRef]
- Alam, H.; Khattak, J.Z.K.; Ksiksi, T.S.; Saleem, M.H.; Fahad, S.; Sohail, H.; Ali, Q.; Zamin, M.; El-Esawi, M.A.; Saud, S.; et al. Negative impact of long-term exposure of salinity and drought stress on native Tetraena mandavillei L. Physiol. Plant. 2021, 172, 1336–1351. [Google Scholar] [CrossRef] [PubMed]
- Yasmin, H.; Mazher, J.; Azmat, A.; Nosheen, A.; Naz, R.; Hassan, M.N.; Noureldeen, A.; Ahmad, P. Combined application of zinc oxide nanoparticles and biofertilizer to induce salt resistance in safflower by regulating ion homeostasis and antioxidant defence responses. Ecotoxicol. Environ. Saf. 2021, 218, 112262. [Google Scholar] [CrossRef] [PubMed]
- Siddiqui, M.H.; Mohammad, F.; Khan, M.N. Morphological and physio-biochemical characterization of Brassica juncea L. Czern. & Coss. genotypes under salt stress. Taylor Fr. 2009, 4, 67–80. [Google Scholar] [CrossRef]
- Reddy, M.; Vora, A.B. Changes in pigment composition, Hill reaction activity and saccharides metabolism in Bajra (Pennisetum typhoides S & H) leaves under NaCl salinity. Photosynthetica 1986, 20, 50–55. [Google Scholar]
- Zhu, J.K. Plant salt tolerance. Trends Plant Sci. 2001, 6, 66–71. [Google Scholar] [CrossRef]
- Munns, R. Comparative physiology of salt and water stress. Plant. Cell Environ. 2002, 25, 239–250. [Google Scholar] [CrossRef]
- Flowers, T.J. Improving crop salt tolerance. J. Exp. Bot. 2004, 55, 307–319. [Google Scholar] [CrossRef]
- Netondo, G.W.; Onyango, J.C.; Beck, E. Sorghum and Salinity. Crop Sci. 2004, 44, 797–805. [Google Scholar] [CrossRef]
- Tsai, Y.C.; Hong, C.Y.; Liu, L.F.; Kao, C.H. Expression of ascorbate peroxidase and glutathione reductase in roots of rice seedlings in response to NaCl and H2O2. J. Plant Physiol. 2005, 162, 291–299. [Google Scholar] [CrossRef] [PubMed]
- Yazici, I.; Türkan, I.; Sekmen, A.H.; Demiral, T. Salinity tolerance of purslane (Portulaca oleracea L.) is achieved by enhanced antioxidative system, lower level of lipid peroxidation and proline accumulation. Environ. Exp. Bot. 2007, 61, 49–57. [Google Scholar] [CrossRef]
- Khaghani, S.; Saffari, J. Microwave-Assisted Chemical Preparation of ZnO Nanoparticles and Its Application on the Improving Grain Yield, Quantity and Quality of Safflower (Carthamus Tinctorius L.). J. Nanostructures 2016, 6, 46–51. [Google Scholar] [CrossRef]
- Vissenberg, K.; Claeijs, N.; Balcerowicz, D.; Schoenaers, S. Hormonal regulation of root hair growth and responses to the environment in Arabidopsis. J. Exp. Bot. 2020, 71, 2412–2427. [Google Scholar] [CrossRef] [PubMed]
- Fathi, A.; Zahedi, M.; Torabian, S.; Khoshgoftar, A. Response of wheat genotypes to foliar spray of ZnO and Fe2O3 nanoparticles under salt stress. J. Plant Nutr. 2017, 40, 1376–1385. [Google Scholar] [CrossRef]
- Rajput, V.; Minkina, T.; Sushkova, S.; Behal, A.; Maksimov, A.; Blicharska, E.; Ghazaryan, K.; Movsesyan, H.; Barsova, N. ZnO and CuO nanoparticles: A threat to soil organisms, plants, and human health. Environ. Geochem. Health 2020, 42, 147–158. [Google Scholar] [CrossRef]
- Verma, Y.; Singh, S.K.; Jatav, H.S.; Rajput, V.D.; Minkina, T. Interaction of zinc oxide nanoparticles with soil: Insights into the chemical and biological properties. Environ. Geochem. Health 2022, 44, 221–234. [Google Scholar] [CrossRef]
- Mohammad Alabdallah, N.; Saeed Alzahrani, H. Impact of ZnO Nanoparticles on Growth of Cowpea and Okra Plants under Salt Stress Conditions. Biosci. Biotechnol. Res. Asia 2020, 17, 329–340. [Google Scholar] [CrossRef]
- Noohpisheh, Z.; Amiri, H.; Mohammadi, A.; Farhadi, S. Effect of the foliar application of zinc oxide nanoparticles on some biochemical and physiological parameters of Trigonella foenum-graecum under salinity stress. Plant Biosyst. Int. J. Deal. Asp. Plant Biol. 2020, 155, 267–280. [Google Scholar] [CrossRef]
- Abdelaziz, M.N.; Xuan, T.D.; Mekawy, A.M.M.; Wang, H.; Khanh, T.D. Relationship of Salinity Tolerance to Na+ Exclusion, Proline Accumulation, and Antioxidant Enzyme Activity in Rice Seedlings. Agriculture 2018, 8, 166. [Google Scholar] [CrossRef]
- Heikal, Y.M.; El-Esawi, M.A.; El-Ballat, E.M.; Abdel-Aziz, H.M.M. Applications of nanoparticles for mitigating salinity and drought stress in plants: An overview on the physiological, biochemical and molecular genetic aspects. New Zealand J. Crop Hortic. Sci. 2021, 1–31. [Google Scholar] [CrossRef]
- Afzal, S.; Singh, M.P.; Chaudhary, N.; Singh, N.K. Application of nanoparticles in developing resilience against abiotic stress in rice plant (Oryza sativa L.). Plant Perspect. Glob. Clim. Chang. 2022, 151–172. [Google Scholar] [CrossRef]
- AbdElgawad, H.; Zinta, G.; Hegab, M.M.; Pandey, R.; Asard, H.; Abuelsoud, W. High salinity induces different oxidative stress and antioxidant responses in maize seedlings organs. Front. Plant Sci. 2016, 7, 276. [Google Scholar] [CrossRef]
- Hussein, M.M.; Abou-Baker, N.H. The contribution of nano-zinc to alleviate salinity stress on cotton plants. R. Soc. Open Sci. 2018, 5, 171809. [Google Scholar] [CrossRef] [PubMed]
- Meloni, D.A.; Oliva, M.A.; Martinez, C.A.; Cambraia, J. Photosynthesis and activity of superoxide dismutase, peroxidase and glutathione reductase in cotton under salt stress. Environ. Exp. Bot. 2003, 49, 69–76. [Google Scholar] [CrossRef]
- Okuma, E.; Murakami, Y.; Shimoishi, Y.; Tada, M.; Murata, Y. Effects of exogenous application of proline and betaine on the growth of tobacco cultured cells under saline conditions. Soil Sci. Plant Nutr. 2011, 50, 1301–1305. [Google Scholar] [CrossRef]
- Galal, A. Exogenous application of zinc mitigates the deleterious effects in eggplant grown under salinity stress. J. Plant Nutr. 2019, 42, 915–927. [Google Scholar] [CrossRef]
- Yasmin, H.; Naeem, S.; Bakhtawar, M.; Jabeen, Z.; Nosheen, A.; Naz, R.; Keyani, R.; Mumtaz, S.; Hassan, M.N. Halotolerant rhizobacteria Pseudomonas pseudoalcaligenes and Bacillus subtilis mediate systemic tolerance in hydroponically grown soybean (Glycine max L.) against salinity stress. PLoS ONE 2020, 15, e0231348. [Google Scholar] [CrossRef]
- Alzahrani, Y.; Kuşvuran, A.; Alharby, H.F.; Kuşvuran, S.; Rady, M.M. The defensive role of silicon in wheat against stress conditions induced by drought, salinity or cadmium. Ecotoxicol. Environ. Saf. 2018, 154, 187–196. [Google Scholar] [CrossRef]
- Mittler, R. Oxidative stress, antioxidants and stress tolerance. Trends Plant Sci. 2002, 7, 405–410. [Google Scholar] [CrossRef]
- Sharma, P.; Jha, A.B.; Dubey, R.S.; Pessarakli, M. Reactive Oxygen Species, Oxidative Damage, and Antioxidative Defense Mechanism in Plants under Stressful Conditions. J. Bot. 2012, 2012, 1–26. [Google Scholar] [CrossRef]
- Rizwan, M.; Ali, S.; Zia ur Rehman, M.; Adrees, M.; Arshad, M.; Qayyum, M.F.; Ali, L.; Hussain, A.; Chatha, S.A.S.; Imran, M. Alleviation of cadmium accumulation in maize (Zea mays L.) by foliar spray of zinc oxide nanoparticles and biochar to contaminated soil. Environ. Pollut. 2019, 248, 358–367. [Google Scholar] [CrossRef] [PubMed]
- Rajput, V.D.; Minkina, T.; Fedorenko, A.; Chernikova, N.; Hassan, T.; Mandzhieva, S.; Sushkova, S.; Lysenko, V.; Soldatov, M.A.; Burachevskaya, M. Effects of Zinc Oxide Nanoparticles on Physiological and Anatomical Indices in Spring Barley Tissues. Nanomaterials 2021, 11, 1722. [Google Scholar] [CrossRef] [PubMed]
- Hara, T.; Furuta, T.; Sonoda, Y.; Iwai, I. Growvth response of cabbage plants to beryllium and strontium under water culture conditions. Soil Sci. Plant Nutr. 1977, 23, 373–380. [Google Scholar] [CrossRef]
- Abdelhamid, M.T.; Sekara, A.; Pessarakli, M.; Alarcón, J.J.; Brestic, M.; El-Ramady, H.; Gad, N.; Mohamed, H.I.; Fares, W.M.; Heba, S.S.; et al. New Approaches for Improving Salt Stress Tolerance in Rice. Rice Res. Qual. Improv. Genomics Genet. Eng. 2020, 247–268. [Google Scholar] [CrossRef]
- Assaha, D.V.M.; Liu, L.; Mekawy, A.M.M.; Ueda, A.; Nagaoka, T.; Saneoka, H. Effect of salt stress on Na accumulation, antioxidant enzyme activities and activity of cell wall peroxidase of huckleberry (Solanum scabrum) and eggplant (Solanum melongena). Int. J. Agric. Biol. 2015, 17, 1149–1156. [Google Scholar] [CrossRef]
- Dionisio-Sese, M.L.; Tobita, S. Antioxidant responses of rice seedlings to salinity stress. Plant Sci. 1998, 135, 1–9. [Google Scholar] [CrossRef]
- Takagi, H.; Yamada, S. Roles of enzymes in anti-oxidative response system on three species of chenopodiaceous halophytes under NaCl-stress condition. Soil Sci. Plant Nutr. 2013, 59, 603–611. [Google Scholar] [CrossRef]
- Beyer, W.F.; Fridovich, I. Assaying for superoxide dismutase activity: Some large consequences of minor changes in conditions. Anal. Biochem. 1987, 161, 559–566. [Google Scholar] [CrossRef]
Disclaimer/Publisher’s Note: The statements, opinions and data contained in all publications are solely those of the individual author(s) and contributor(s) and not of MDPI and/or the editor(s). MDPI and/or the editor(s) disclaim responsibility for any injury to people or property resulting from any ideas, methods, instructions or products referred to in the content. |
© 2022 by the authors. Licensee MDPI, Basel, Switzerland. This article is an open access article distributed under the terms and conditions of the Creative Commons Attribution (CC BY) license (https://creativecommons.org/licenses/by/4.0/).





