Biogenic Synthesis of Copper and Zinc Oxide from Eucalyptus dunnii Leaves for Pinus elliottii Wood Preservation
Abstract
1. Introduction
2. Materials and Methods
2.1. Obtaining and Processing Leaves and EXTRACT Preparation
2.2. Green Synthesis of CuO and ZnO Oxides
2.3. Fabrication of Test Specimens and Impregnation
2.4. Weathering Aging
2.5. Decay Attack
2.6. The Characterization of the Woods
2.7. Statistical Analysis
3. Results and Discussion
3.1. Colorimetry
3.2. Physical Properties
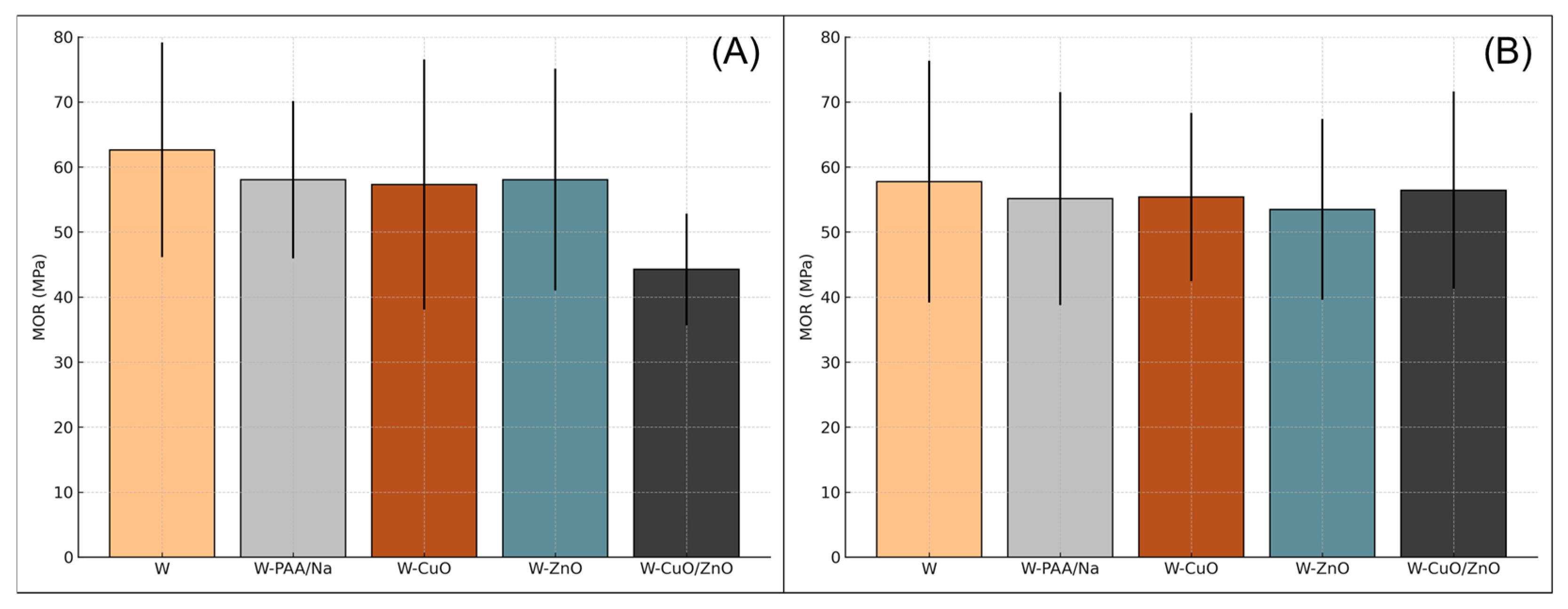
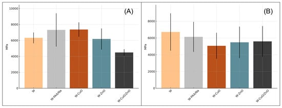
3.3. Mechanical Properties
3.4. Decay Resistance
4. Conclusions
Author Contributions
Funding
Institutional Review Board Statement
Informed Consent Statement
Data Availability Statement
Conflicts of Interest
References
- Olmedo, G.M.; Hornink, B.; Arenhardt, B.B.; Nunes, A.J.; de Oliveira, C.; Amaral, I.S.d.; Santos, M.R.d.; Fontana, C.; Oliveira, J.M.d. Growth Dynamic and Climate Signals on Abandoned Plantation of Pinus elliottii in Southern Brazil: A Dendrochronological Contribution. Dendrochronologia 2023, 82, 126136. [Google Scholar] [CrossRef]
- Dias, M.C.; Ferreira de Oliveira, J.M.P.; Marum, L.; Pereira, V.; Almeida, T.; Nunes, S.; Araújo, M.; Moutinho-Pereira, J.; Correia, C.M.; Santos, C. Pinus elliottii and P. elliottii × P. caribaea Hybrid Differently Cope with Combined Drought and Heat Episodes. Ind. Crops Prod. 2022, 176, 114428. [Google Scholar] [CrossRef]
- Zhang, S.; Xie, H.; Huang, J.; Chen, Q.; Li, X.; Chen, X.; Liang, J.; Wang, L. Ultrasound-Assisted Extraction of Polyphenols from Pine Needles (Pinus elliottii): Comprehensive Insights from RSM Optimization, Antioxidant Activity, UHPLC-Q-Exactive Orbitrap MS/MS Analysis and Kinetic Model. Ultrason. Sonochem. 2024, 102, 106742. [Google Scholar] [CrossRef] [PubMed]
- Drezza, T.R.; Mastella, A.D.F.; Schneider, C.R.; Palma, V.H.; Schimaleski, A.C.C.; Souza, K.K.F.d.; Kratz, D.; Angelo, A.C. Composição, Estrutura e Dinâmica Da Regeneração Natural Ao Longo de 18 Meses de Estudo Em Sub-Bosque de Pinus elliottii Engelm. Res. Soc. Dev. 2022, 11, e33311830016. [Google Scholar] [CrossRef]
- Alonso, L.; Rodríguez-Dorna, A.; Picos, J.; Costas, F.; Armesto, J. Automatic Differentiation of Eucalyptus Species through Sentinel-2 Images, Worldview-3 Images and LiDAR Data. ISPRS J. Photogramm. Remote Sens. 2024, 207, 264–281. [Google Scholar] [CrossRef]
- Varga, D.; Tolvaj, L.; Molnar, Z.; Pasztory, Z. Leaching Effect of Water on Photodegraded Hardwood Species Monitored by IR Spectroscopy. Wood Sci. Technol. 2020, 54, 1407–1421. [Google Scholar] [CrossRef]
- Jirouš-Rajković, V.; Miklečić, J. Enhancing Weathering Resistance of Wood—A Review. Polymers 2021, 13, 1980. [Google Scholar] [CrossRef]
- Bejo, L.; Tolvaj, L.; Kannar, A.; Preklet, E. Effect of Water Leaching on Photodegraded Spruce Wood Monitored by IR Spectroscopy. J. Photochem. Photobiol. A Chem. 2019, 382, 111948. [Google Scholar] [CrossRef]
- Negrão, D.R.; da Silva Júnior, T.A.F.; Passos, J.R.d.S.; Sansígolo, C.A.; Minhoni, M.T.d.A.; Furtado, E.L. Biodegradation of Eucalyptus urograndis Wood by Fungi. Int. Biodeterior. Biodegrad. 2014, 89, 95–102. [Google Scholar] [CrossRef]
- Acosta, A.P.; Barbosa, K.T.; Amico, S.C.; Missio, A.L.; de Avila Delucis, R.; Gatto, D.A. Improvement in Mechanical, Physical and Biological Properties of Eucalyptus and Pine Woods by Raw Pine Resin in Situ Polymerization. Ind. Crops Prod. 2021, 166, 113495. [Google Scholar] [CrossRef]
- Jasmani, L.; Rusli, R.; Khadiran, T.; Jalil, R.; Adnan, S. Application of Nanotechnology in Wood-Based Products Industry: A Review. Nanoscale Res. Lett. 2020, 15, 207. [Google Scholar] [CrossRef]
- Barbero-López, A.; Akkanen, J.; Lappalainen, R.; Peräniemi, S.; Haapala, A. Bio-Based Wood Preservatives: Their Efficiency, Leaching and Ecotoxicity Compared to a Commercial Wood Preservative. Sci. Total Environ. 2021, 753, 142013. [Google Scholar] [CrossRef] [PubMed]
- Ahmed, A.R. CCA-Treated Wood. In Encyclopedia of Toxicology; Elsevier: Amsterdam, The Netherlands, 2024; pp. 657–666. [Google Scholar]
- Yang, J.; Han, X.; Yang, W.; Hu, J.; Zhang, C.; Liu, K.; Jiang, S. Nanocellulose-Based Composite Aerogels toward the Environmental Protection: Preparation, Modification and Applications. Environ. Res. 2023, 236, 116736. [Google Scholar] [CrossRef] [PubMed]
- Evans, P.D.; Matsunaga, H.; Preston, A.F.; Kewish, C.M. Wood Protection for Carbon Sequestration—A Review of Existing Approaches and Future Directions. Curr. For. Rep. 2022, 8, 181–198. [Google Scholar] [CrossRef]
- Gonçalves, R.A.; Toledo, R.P.; Joshi, N.; Berengue, O.M. Green Synthesis and Applications of ZnO and TiO2 Nanostructures. Molecules 2021, 26, 2236. [Google Scholar] [CrossRef]
- Singh, J.; Dutta, T.; Kim, K.-H.; Rawat, M.; Samddar, P.; Kumar, P. ‘Green’ Synthesis of Metals and Their Oxide Nanoparticles: Applications for Environmental Remediation. J. Nanobiotechnol. 2018, 16, 84. [Google Scholar] [CrossRef]
- Şahin, B.; Soylu, S.; Kara, M.; Türkmen, M.; Aydin, R.; Çetin, H. Superior Antibacterial Activity against Seed-Borne Plant Bacterial Disease Agents and Enhanced Physical Properties of Novel Green Synthesized Nanostructured ZnO Using Thymbra Spicata Plant Extract. Ceram. Int. 2021, 47, 341–350. [Google Scholar] [CrossRef]
- Salgado, P.; Mártire, D.O.; Vidal, G. Eucalyptus Extracts-Mediated Synthesis of Metallic and Metal Oxide Nanoparticles: Current Status and Perspectives. Mater. Res. Express 2019, 6, 082006. [Google Scholar] [CrossRef]
- Khadiran, T.; Jasmani, L.; Rusli, R. Application of Nanomaterials for Wood Protection. In Emerging Nanomaterials; Springer International Publishing: Cham, Switzerland, 2023; pp. 179–196. [Google Scholar]
- Jain, S.; Mehata, M.S. Medicinal Plant Leaf Extract and Pure Flavonoid Mediated Green Synthesis of Silver Nanoparticles and Their Enhanced Antibacterial Property. Sci. Rep. 2017, 7, 15867. [Google Scholar] [CrossRef]
- Hano, C.; Abbasi, B.H. Plant-Based Green Synthesis of Nanoparticles: Production, Characterization and Applications. Biomolecules 2021, 12, 31. [Google Scholar] [CrossRef]
- Oliveira, M.C.; Fonseca, V.S.; Andrade Neto, N.F.; Ribeiro, R.A.P.; Longo, E.; de Lazaro, S.R.; Motta, F.V.; Bomio, M.R.D. Connecting Theory with Experiment to Understand the Photocatalytic Activity of CuO–ZnO Heterostructure. Ceram. Int. 2020, 46, 9446–9454. [Google Scholar] [CrossRef]
- Bhatt, K.; Jain, V.K.; Khan, F. Antibacterial Study of Eucalyptus grandis Fabricated Zinc Oxide and Magnesium Doped Zinc Oxide Nanoparticles and Its Characterization. J. Indian Chem. Soc. 2022, 99, 100441. [Google Scholar] [CrossRef]
- Obeizi, Z.; Benbouzid, H.; Ouchenane, S.; Yılmaz, D.; Culha, M.; Bououdina, M. Biosynthesis of Zinc Oxide Nanoparticles from Essential Oil of Eucalyptus globulus with Antimicrobial and Anti-Biofilm Activities. Mater. Today Commun. 2020, 25, 101553. [Google Scholar] [CrossRef]
- Droepenu, E.K.; Amenyogbe, E.; Boatemaa, M.A.; Opoku, E. Study of the Antimicrobial Activity of Zinc Oxide Nanostructures Mediated by Two Morphological Structures of Leaf Extracts of Eucalyptus robusta Sm. Heliyon 2024, 10, e25590. [Google Scholar] [CrossRef] [PubMed]
- Mizrahi, I.; Traverso, J.R.; Juárez, M.A.; Bandoni, A.L.; Muschietti, L.; Van Baren, C. Composition of the Essential Oil of Eucalyptus dunnii Maiden Growing in Argentina. J. Essent. Oil Res. 1997, 9, 715–717. [Google Scholar] [CrossRef]
- Zini, C.A.; Zanin, K.D.; Christensen, E.; Caramão, E.B.; Pawliszyn, J. Solid-Phase Microextraction of Volatile Compounds from the Chopped Leaves of Three Species of Eucalyptus. J. Agric. Food Chem. 2003, 51, 2679–2686. [Google Scholar] [CrossRef] [PubMed]
- Liu, Y.; Jin, X.; Chen, Z. The Formation of Iron Nanoparticles by Eucalyptus Leaf Extract and Used to Remove Cr(VI). Sci. Total Environ. 2018, 627, 470–479. [Google Scholar] [CrossRef] [PubMed]
- Abou El Azm, N.; Fleita, D.; Rifaat, D.; Mpingirika, E.Z.; Amleh, A.; El-Sayed, M.M.H. Production of Bioactive Compounds from the Sulfated Polysaccharides Extracts of Ulva Lactuca: Post-Extraction Enzymatic Hydrolysis Followed by Ion-Exchange Chromatographic Fractionation. Molecules 2019, 24, 2132. [Google Scholar] [CrossRef]
- Ermeydan, M.A.; Cabane, E.; Hass, P.; Koetz, J.; Burgert, I. Fully Biodegradable Modification of Wood for Improvement of Dimensional Stability and Water Absorption Properties by Poly(ε-Caprolactone) Grafting into the Cell Walls. Green Chem. 2014, 16, 3313. [Google Scholar] [CrossRef]
- Naseer, M.; Aslam, U.; Khalid, B.; Chen, B. Green Route to Synthesize Zinc Oxide Nanoparticles Using Leaf Extracts of Cassia Fistula and Melia Azadarach and Their Antibacterial Potential. Sci. Rep. 2020, 10, 9055. [Google Scholar] [CrossRef]
- Cruz, N.D.; Gallio, E.; Gatto, D.A. Síntese Verde de Nanopartículas de Óxido de Zinco. Matéria 2020, 25. [Google Scholar] [CrossRef]
- Spavento, E.; de Troya-Franco, M.T.; Acuña-Rello, L.; Murace, M.; Santos, S.M.; Casado-Sanz, M.; Martínez-López, R.D.; Martín-Gil, J.; Álvarez-Martínez, J.; Martín-Ramos, P. Silver Nanoparticles and Chitosan Oligomers Composites as Poplar Wood Protective Treatments against Wood-Decay Fungi and Termites. Forests 2023, 14, 2316. [Google Scholar] [CrossRef]
- Casado-Sanz, M.M.; Silva-Castro, I.; Ponce-Herrero, L.; Martín-Ramos, P.; Martín-Gil, J.; Acuña-Rello, L. White-Rot Fungi Control on Populus Spp. Wood by Pressure Treatments with Silver Nanoparticles, Chitosan Oligomers and Propolis. Forests 2019, 10, 885. [Google Scholar] [CrossRef]
- Pařil, P.; Baar, J.; Čermák, P.; Rademacher, P.; Prucek, R.; Sivera, M.; Panáček, A. Antifungal Effects of Copper and Silver Nanoparticles against White and Brown-Rot Fungi. J. Mater. Sci. 2017, 52, 2720–2729. [Google Scholar] [CrossRef]
- Kuka, E.; Andersons, B.; Cirule, D.; Andersone, I.; Kajaks, J.; Militz, H.; Bicke, S. Weathering Properties of Wood-Plastic Composites Based on Heat-Treated Wood and Polypropylene. Compos. Part A Appl. Sci. Manuf. 2020, 139, 106102. [Google Scholar] [CrossRef]
- Acosta, A.P.; Amico, S.; Delucis, R.d.A.; Missio, A.L.; Bueno Rodrigues, M.B.; Ribeiro, A.C.R.; Goularte, M.d.P.; Gatto, D.A. Superficial Analysis of Different Wood Polymer Composites Exposed to Artificial Weathering. J. Wood Chem. Technol. 2024, 44, 88–101. [Google Scholar] [CrossRef]
- ASTM D143-23; Standard Test Methods for Density and Specific Gravity (Relative Density) of Wood and Wood-Based Materials. ASTM International: West Conshohocken, PA, USA, 2023.
- ASTM D2395-17; Standard Test Methods for Small Clear Specimens of Timber. ASTM International: West Conshohocken, PA, USA, 2022.
- Gallio, E.; Zanatta, P.; Cruz, N.D.; Zanol, G.S.; Schulz, H.R.; Gatto, D.A. Influence of Thermal Rectification and Furfurylation Treatments on Technological Properties of a Conifer. Rev. Mater. 2019, 24, e12424. [Google Scholar] [CrossRef]
- Humar, M.; Kalan, P.; Šentjurc, M.; Pohleven, F. Influence of Carboxylic Acids on Fixation of Copper in Wood Impregnated with Copper Amine Based Preservatives. Wood Sci. Technol. 2005, 39, 685–693. [Google Scholar] [CrossRef]
- Humar, M.; Žlindra, D. Influence of Temperature on Fixation of Copper–Ethanolamine-Based Wood Preservatives. Build. Environ. 2007, 42, 4068–4071. [Google Scholar] [CrossRef]
- da Poubel, D.S.; Garcia, R.A.; Lelis, R.C.C.; Riedl, B. Efeito de Nanopartículas de ZnO Na Resistência da Madeira de Pinus Tratada Termicamente à Radiação UV. Sci. For. 2017, 45, 49–62. [Google Scholar] [CrossRef]
- Ali, H.; Hashim, S. Determining Efficacy and Persistence of the Wood Preservative Copper Chrome Arsenate Type C against The Wood Destroying Insects and Treated Wood Durability. Egypt. Acad. J. Biol. Sci. A Entomol. 2019, 12, 65–78. [Google Scholar] [CrossRef]
- Holy, S.; Temiz, A.; Köse Demirel, G.; Aslan, M.; Mohamad Amini, M.H. Physical Properties, Thermal and Fungal Resistance of Scots Pine Wood Treated with Nano-Clay and Several Metal-Oxides Nanoparticles. Wood Mater. Sci. Eng. 2022, 17, 176–185. [Google Scholar] [CrossRef]
- Phiwdang, K.; Phensaijai, M.; Pecharapa, W. Study of Antifungal Activities of CuO/ZnO Nanocomposites Synthesized by Co-Precipitation Method. Adv. Mater. Res. 2013, 802, 89–93. [Google Scholar] [CrossRef]
- Shiny, K.S.; Nair, S.; Mamatha, N.; Sundararaj, R. Decay Resistance of Wood Treated with Copper Oxide Nanoparticles Synthesised Using Leaf Extracts of Lantana camara L. and Nerium oleander L. Wood Mater. Sci. Eng. 2022, 17, 727–733. [Google Scholar] [CrossRef]
- Shiny, K.S.; Sundararaj, R.; Mamatha, N.; Lingappa, B. A New Approach to Wood Protection: Preliminary Study of Biologically Synthesized Copper Oxide Nanoparticle Formulation as an Environmental Friendly Wood Protectant against Decay Fungi and Termites. Maderas. Cienc. Tecnol. 2019, 21, 347–356. [Google Scholar] [CrossRef]
- Bak, M.; Németh, R. Effect of Different Nanoparticle Treatments on the Decay Resistance of Wood. BioResources 2018, 13, 7886–7899. [Google Scholar] [CrossRef]
- Acosta, A.P.; Gallio, E.; Cruz, N.; Aramburu, A.B.; Lunkes, N.; Missio, A.L.; Delucis, R.d.A.; Gatto, D.A. Alumina as an Antifungal Agent for Pinus elliottii Wood. J. Fungi 2022, 8, 1299. [Google Scholar] [CrossRef]
- Adeyemi, J.O.; Onwudiwe, D.C.; Oyedeji, A.O. Biogenic Synthesis of CuO, ZnO, and CuO–ZnO Nanoparticles Using Leaf Extracts of Dovyalis Caffra and Their Biological Properties. Molecules 2022, 27, 3206. [Google Scholar] [CrossRef]
- Mantanis, G.; Terzi, E.; Kartal, S.N.; Papadopoulos, A.N. Evaluation of Mold, Decay and Termite Resistance of Pine Wood Treated with Zinc- and Copper-Based Nanocompounds. Int. Biodeterior. Biodegrad. 2014, 90, 140–144. [Google Scholar] [CrossRef]
- Terzi, E.; Kartal, S.N.; Yılgör, N.; Rautkari, L.; Yoshimura, T. Role of Various Nano-Particles in Prevention of Fungal Decay, Mold Growth and Termite Attack in Wood, and Their Effect on Weathering Properties and Water Repellency. Int. Biodeterior. Biodegrad. 2016, 107, 77–87. [Google Scholar] [CrossRef]










| Code | Description |
|---|---|
| W | Wood |
| W-PAA/Na | Wood with poly(acrylic acid sodium salt) |
| W-CuO | Wood with PAA/Na and CuO |
| W-ZnO | Wood with PAA/Na and ZnO |
| W-CuO/ZnO | Wood with PAA/Na and CuO/ZnO |
| BW | Before weathering |
| AW | After weathering |
Disclaimer/Publisher’s Note: The statements, opinions and data contained in all publications are solely those of the individual author(s) and contributor(s) and not of MDPI and/or the editor(s). MDPI and/or the editor(s) disclaim responsibility for any injury to people or property resulting from any ideas, methods, instructions or products referred to in the content. |
© 2025 by the authors. Licensee MDPI, Basel, Switzerland. This article is an open access article distributed under the terms and conditions of the Creative Commons Attribution (CC BY) license (https://creativecommons.org/licenses/by/4.0/).
Share and Cite
Nunes, N.V.V.d.; da Silva, S.K.S.; Rodrigues, M.B.B.; Cruz, N.D.; Nascimento, A.S.d.; Kegles, E.S.M.; Beltrame, R.; Gatto, D.A.; Delucis, R.A.; Missio, A.L. Biogenic Synthesis of Copper and Zinc Oxide from Eucalyptus dunnii Leaves for Pinus elliottii Wood Preservation. Compounds 2025, 5, 15. https://doi.org/10.3390/compounds5020015
Nunes NVVd, da Silva SKS, Rodrigues MBB, Cruz ND, Nascimento ASd, Kegles ESM, Beltrame R, Gatto DA, Delucis RA, Missio AL. Biogenic Synthesis of Copper and Zinc Oxide from Eucalyptus dunnii Leaves for Pinus elliottii Wood Preservation. Compounds. 2025; 5(2):15. https://doi.org/10.3390/compounds5020015
Chicago/Turabian StyleNunes, Nathalia V. V. de, Sarah K. S. da Silva, Marlon B. B. Rodrigues, Nidria D. Cruz, Augusto S. do Nascimento, Ester S. M. Kegles, Rafael Beltrame, Darci A. Gatto, Rafael A. Delucis, and André L. Missio. 2025. "Biogenic Synthesis of Copper and Zinc Oxide from Eucalyptus dunnii Leaves for Pinus elliottii Wood Preservation" Compounds 5, no. 2: 15. https://doi.org/10.3390/compounds5020015
APA StyleNunes, N. V. V. d., da Silva, S. K. S., Rodrigues, M. B. B., Cruz, N. D., Nascimento, A. S. d., Kegles, E. S. M., Beltrame, R., Gatto, D. A., Delucis, R. A., & Missio, A. L. (2025). Biogenic Synthesis of Copper and Zinc Oxide from Eucalyptus dunnii Leaves for Pinus elliottii Wood Preservation. Compounds, 5(2), 15. https://doi.org/10.3390/compounds5020015

