Abstract
The dinuclear platinum(IV) compound {Pt(CH3)3}2(μ-I)2(μ-adenine) (abbreviated Pt2ad), obtained by treating cubic [PtIV(CH3)3(μ3-I)]4 with two equivalents of adenine, was isolated and structurally characterized by single crystal X-ray diffraction. The National Cancer Institute Developmental Therapeutics Program’s in vitro sulforhodamine B assays showed Pt2ad to be particularly cytotoxic against the central nervous system cancer cell line SF-539, and the human renal carcinoma cell line RXF-393. Furthermore, Pt2ad displayed some degree of cytotoxicity against non-small cell lung cancer (NCI-H522), colon cancer (HCC-2998, HCT-116, HT29, and SW-620), melanoma (LOX-IMVI, Malme-3M, M14, MDA-MB-435, SK-MEL-28, and UACC-62), ovarian cancer (OVCAR-5), renal carcinoma (A498), and triple negative breast cancer (BT-549, MDA-MB-231, and MDA-MB-468) cells. Although anticancer studies involving some adenine platinum(II) compounds have been reported, this study marks the first assessment of the anticancer activity of an adenine platinum(IV) complex.
1. Introduction
FDA-approved platinum-based chemotherapy agents such as cisplatin, carboplatin, and oxaliplatin are the clinical first-line standard of care for epithelial ovarian cancer [1] and non-small cell lung cancer [2,3] and often also play significant roles in treating other types of cancer [4]. The anticancer effectiveness arises from the interaction between the platinum compound and the cancerous DNA [5,6], although alternative mechanisms involving platinum–protein interactions also likely contribute to the cytotoxicity [7]. To facilitate interactions with DNA, some experimental platinum-based anticancer drugs have been fitted with flat aromatic ancillary ligands capable of engaging in π–π interactions with nucleobases [8,9,10,11]. These π–π interactions drive the intercalation of the platinum compound into the major or minor grooves of the DNA and bring the platinum center within the bonding proximity of the nucleobases.
In light of the significance of such π–π interactions, platinum compounds with nucleobase ligands would seem to be ideal anticancer agents, since the nucleobase ligand would naturally intercalate between base pair layers in the DNA. Indeed, various platinum(II) complexes of nucleotides [12], nucleosides [13,14,15], and nucleobase derivatives [16] have been reported to be highly lethal to different kinds of cancers. Several platinum(II) compounds containing adenosine [17,18] or an adenine derivative [19,20,21,22,23,24,25,26,27,28,29,30] as ancillary ligands have also been reported to be highly cytotoxic toward various cancer cell lines.
However, electronically and coordinatively unsaturated platinum(II) complexes undergo unwanted side reactions with the many Lewis base biomolecules in living systems, rendering such compounds unsafe for chemotherapy drugs. One innovative solution is to use electronically and coordinatively saturated platinum(IV) complexes, which tend to undergo fewer unwanted side reactions in living systems. Our group recently reported the cytotoxicity of octahedral PtIV(CH3)2I2{2,2′-bipyridine} toward the human breast cancer cell line ZR-75-1 [31]. This compound is easily prepared by treating [Pt(CH3)2I2]x with 2,2′-bipyridine. Indeed, the Lewis acids [Pt(CH3)2X2}x (X = Br, I) and cubic [Pt(CH3)3(μ3-I)]4 [32] can be treated with diverse Lewis base ligands to produce a variety of organoplatinum(IV) derivatives, which could display a broad spectrum of very different anticancer properties.
In this work, we report the synthesis, structural characterization, and in vitro anticancer activity of {Pt(CH3)3}2(μ-I)2(μ-adenine), a compound prepared by treating [PtIV(CH3)3(μ3-I)]4 with adenine. Although several platinum(IV) complexes with adenine derivatives as ligands have been reported in the literature [33], none have been tested as anticancer drugs. This present study is the first assessment of the anticancer properties of an adenine platinum(IV) complex.
2. Materials and Methods
General Considerations. All 1H, 13C, and 195Pt NMR spectra were obtained at room temperature on a Bruker Ascend 600 MHz FTNMR spectrometer running Topspin 3.6 at frequencies of 600.16 MHz, 150.91 MHz, and 129.015 MHz, respectively. 1H and 13C chemical shifts were reported in parts per million relative to SiMe4 (δ = 0) and were referenced internally with respect to the protic solvent impurity (δ = 3.31 ppm for HD2COD) or the 13C resonances (δ = 49.15 ppm for CD3OD), respectively. 195Pt NMR spectra were referenced externally to a solution of K2PtCl4 in D2O (δ = −1620 ppm) [34]. Infrared spectra were recorded as KBr pellets on a Nicolet Magna-IR 560 spectrometer. Elemental analyses were carried out by Atlantic Microlab, Inc. (Norcross, GA, USA). Unless otherwise noted, all reactions and manipulations were carried out in the presence of air. All reagents and solvents were obtained from commercial suppliers and were used without further purification. [Pt(CH3)3(μ3-I)]4 was prepared by a procedure (vide infra) modified from that of Clark and Manzer [32].
Synthesis of [Pt(CH3)3(μ3-I)]4. A solution consisting of [1,5-cyclooctadiene]Pt(CH3)2 (0.653 g, 1.96 mmol) in CH3I (6 mL) in a glass bomb was stirred magnetically at 70 °C for 4.5 h. The pale yellow homogeneous solution was cooled to room temperature, and pale yellow crystals precipitated. Yield = 0.370 g (51%). The crystals were spectroscopically identical to [Pt(CH3)3(μ3-I)]4 and were used without any further purification.
Synthesis of {fac-Pt(CH3)3}2(μ-I)2(μ-adenine). A mixture of [Pt(CH3)3(μ3-I)]4 (0.311 g, 0.212 mmol) and adenine (0.058 g, 0.429 mmol) in CHCl3/CH3OH (1:1 by volume, 10 mL) was stirred at 75 °C for 4 h. The volatile components were removed in vacuo, and the residue was washed with CHCl3 (2 × 5 mL), extracted into CH3OH (10 mL), and crystallized from the CH3OH solution at room temperature as a white powder (yield = 0.135 g). A second batch of the product was crystallized from CHCl3 washes (yield = 0.156 g). Yield = 0.291 g (79%). Anal. Calc. for C11H23I2N5Pt2: C, 15.20%; H, 2.67%; N, 8.06%. Found: C, 15.30%; H, 2.86%; N, 7.94%. 1H NMR (CD3OD, δ ppm): 1.396 ppm (s, 6 H, 2JPt-H = 75 Hz), 1.399 ppm (s, 6 H, 2JPt-H = 75 Hz), 1.68 ppm (s, 3 H, 2JPt-H = 74 Hz), 1.76 ppm (s, 3 H, 2JPt-H = 74 Hz), 8.22 ppm (s, 1 H, 3JPt-H = 13 Hz), 8.51 ppm (s, 1 H, 3JPt-H = 10 Hz). 13C{1H} NMR (CD3OD, δ ppm): −8.04 ppm (1JPt-C = 659 Hz), −7.16 ppm (1JPt-C = 661 Hz), 10.19 ppm (1JPt-C = 708 Hz), 11.68 ppm (1JPt-C = 718 Hz), 112.4 ppm, 144.0 ppm, 154.3 ppm, 155.8 ppm, 157.0 ppm. 195Pt{1H} NMR (CD3OD, δ ppm): −2863 ppm, −2929 ppm. IR (KBr): 3442 (vs), 2963 (m), 2911 (m), 2898 (s), 2853 (m), 2816 (m), 1653 (s), 1560 (m), 1541 (m), 1509 (w), 1507 (w), 1472 (m), 1457 (m), 1397 (m), 1322 (w), 1266 (w), 1224 (m), 1109 (m), 1082 (m), 1028 (w), 911 (w), 789 (m), 732 (m), 668 (m), 611 (s), 560 (s), 467 (m).
X-ray Diffraction Studies. Pale yellow plates of {fac-Pt(CH3)3}2(μ-I)2(μ-adenine) were crystallized by the slow addition of CHCl3 (g) to a C2H5OH solution at room temperature. X-ray intensity data were collected using a Bruker D8 Venture diffractometer equipped with a graphite monochromator and a Mo Κα microfocus INCOATEC Iμs 3.0 sealed tube at 0.71073 Å. Data sets were corrected for Lorentz and polarization effects and absorption. The criterion for the observed reflections is I > 2σ(I). Lattice parameters were determined from least squares analysis and reflection data. Empirical absorption corrections were applied using SADABS [35]. The structure was solved by direct methods and refined by full-matrix least squares analysis of F2 using X-Seed [36] equipped with SHELXT [37]. All nonhydrogen atoms were refined anisotropically by full-matrix least squares on F2 using the SHELXL [37] program. Hydrogen atoms were included in idealized geometric positions with Uiso = 1.2 Ueq of the atom to which they are attached (Uiso = 1.5 Ueq for methyl groups). The hydrogen atoms attached to nitrogen or oxygen were located in difference maps and assigned 1.2 × Ueq. The frames were integrated with the Bruker SAINT software package version 8.40 using a narrow-frame algorithm. The structure was solved and refined using the Bruker SHELXTL software package version 2018/2, and the cell data and refinement parameters are summarized in Table 1.
Table 1.
Crystal and intensity collection data for {fac-Pt(CH3)3}2(μ-I)2(μ-adenine) ·CHCl3· CH3CH2OH.
In vitro Sulforhodamine B Assays. In vitro assays involving sixty human tumor cell lines were carried out by staff members in the National Cancer Institute’s Developmental Therapeutics Program following a standardized procedure [38,39,40].
3. Results
3.1. Synthesis and Spectroscopic Data
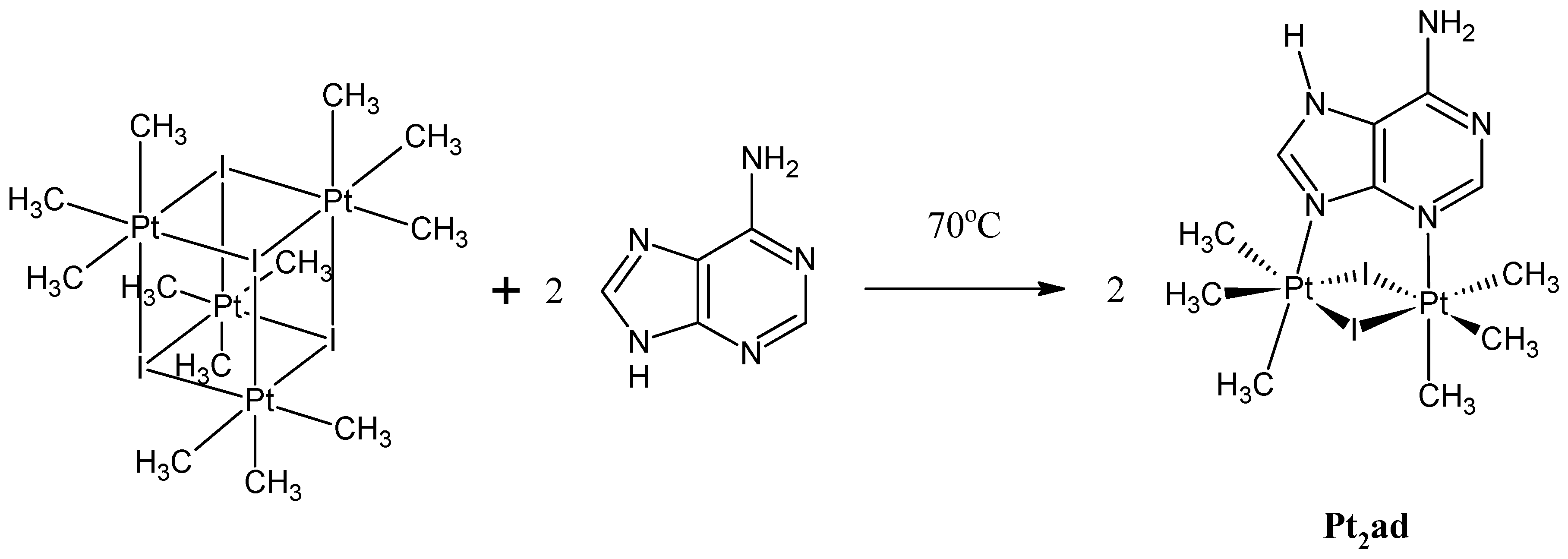
The new compound {fac-Pt(CH3)3}2(μ-I)2(μ-adenine) (abbreviated Pt2ad) was prepared by treating [Pt(CH3)3(μ3-I)]4 with two equivalents of adenine, as shown in Figure 1, and was isolated as an air-stable crystalline solid. The two platinum atoms in Pt2ad were chemically inequivalent, so the 195Pt{1H} NMR spectrum featured two peaks at δ–2863 and –2929 ppm. Four sets of methyl peaks appeared with their 195Pt satellites in the 1H NMR spectrum at δ 1.396 ppm (6H, 2J = 75 Hz), 1.399 ppm (6H, 2J = 75 Hz), 1.68 ppm (3H, 2J = 74 Hz), and 1.76 ppm (3H, 2J = 74 Hz); similarly, the 13C{1H} NMR spectrum revealed four sets of methyl groups with their 195Pt satellites at δ–8.04 ppm (1J = 659 Hz), –7.16 ppm (1J = 661 Hz), 10.19 ppm (1J = 708 Hz), and 11.68 ppm (1J = 718 Hz). NMR and infrared spectra are included in the Supplementary Materials.
Figure 1.
Synthesis of {fac-Pt(CH3)3}2(μ-I)2(μ-adenine) (Pt2ad).
3.2. Single Crystal X-Ray Structure
Pt2ad was structurally characterized by single-crystal X-ray diffraction. Figure 2 shows a thermal ellipsoid plot (50% probability) with the nonhydrogen atoms labeled. Table 1 shows the crystal and intensity collection data, while Table 2 shows select metrical data.
Figure 2.
Thermal ellipsoid plot (50%) from the X-ray structure of {fac-Pt(CH3)3}2(μ-I)2(μ-adenine) ∙ CHCl3 ∙ CH3CH2OH.
Table 2.
Selected metrical data.
Adenine is known to coordinate with both platinum(II) and platinum(IV) through a variety of diverse coordination modes [31]. The particular coordination mode in Pt2ad involves bridging two Pt(IV) centers by a neutral tautomer of adenine, as shown in Figure 2. A similar coordination mode was proposed for {PtIVCl3(H2O)}2(μ-Cl){μ-adenine(−1)}, where adenine(−1) is a deprotonated adenine anion, but this compound was not structurally characterized by X-ray crystallography [41].
The coordination geometry for each Pt(IV) center in Pt2ad is octahedral. The plane defined by I(1)–Pt(1)–I(2) intersects the plane defined by I(1)–Pt(2)–I(2) at an angle of 32.49°. The three-center four-electron Pt–I bond lengths in Pt2ad are intermediate between the terminal two-center two-electron Pt–I bonds in Pt(CH3)2I2{2,2′-bipyridine} (2.6355(5) and 2.6569(5) Å) [32], and the four-center six-electron bonds in cubic [Pt(CH3)3(μ3-I)]4 ∙ ½ CH3I (2.8105(8) to 2.8366(7) Å) [42]. The Pt–N bond distances in Pt2ad closely resemble those in trinuclear [{PtIV(CH3)3(μ-9-methyladenine(−1))}3] ∙ O=C(CH3)2 (2.18(1)–2.25(1) Å) and in trinuclear [{PtIV(CH3)3(μ-9-methyladenine(−1))}3] ∙ 1.5 Et2O ·2 H2O (2.180(7)–2.226(7) Å) [43]. The Pt(1) ---- Pt(2) distance in Pt2ad (3.805 Å) is within the sum of the van der Waals radii of two platinum atoms [44], suggesting an intramolecular electronic interaction between the two platinum atoms.
This study selected Adenine as an ancillary ligand because it was thought that such a ligand would naturally intercalate into tumor DNA, facilitating the interaction of the platinum centers with natural nucleobases. Intermolecular π–π contacts between the adenine ligand and the DNA nucleobases were expected to drive this intercalation. However, the X-ray structural study revealed that there were two independent molecules of Pt2ad in the unit cell, and that there were no intermolecular π–π interactions between these two molecules.
3.3. In Vitro Anticancer Activity
The National Cancer Institute’s Developmental Therapeutics Program (NCI/DTP) tested the anticancer activity of Pt2ad against 60 cancer cell lines by an in vitro sulforhodamine B assay. Specifically, there were six leukemia cell lines, nine non-small cell lung cancer cell lines, seven colon cancer cell lines, six central nervous system cancer cell lines, nine melanoma cell lines, seven ovarian cancer cell lines, eight renal cancer cell lines, two prostate cancer cell lines, and six breast cancer cell lines. Pt2ad exhibited cytotoxicity toward some but not all cancer cell lines. The results involving only those cell lines affected by Pt2ad are summarized in Table 3. For comparison, the results involving cisplatin against the same cell lines are also included in Table 3, as values in parentheses.
Table 3.
In vitro sulforhodamine B assay results for Pt2ad. The values in parentheses are the results for cisplatin.
These in vitro cell viability assays clearly underscore the importance of using multiple cell lines of the same type of cancer. For instance, Pt2ad was particularly lethal toward the central nervous system (CNS) cancer cell line SF-539, with an LC50 = 5.20 μM, but Pt2ad was completely inactive toward five other CNS cancer cell lines (SF-268, SF-295, SNB-19, SNB-75, and U251). In comparison, cisplatin was inactive toward all six CNS cancer cell lines. The SF-539 cell line was derived from glioblastoma multiforme cells located in the right temporoparietal region of the brain of a 34-year-old white female in 1986 [50]. Glioblastoma multiforme is the deadliest of all brain cancers. Combined with radiotherapy, temozolomide [63] is a first-line standard of care chemotherapy drug for treating glioblastoma multiforme, but, interestingly, the NCI/DTP assays showed that temozolomide was completely inactive (LC50 > 100 μM) against the SF-539 cell line. Indeed, the NCI/DTP tests showed that temozolomide was inactive against all six CNS cell lines. Thus, Pt2ad is significantly more cytotoxic toward the SF-539 cell line than either cisplatin or temozolomide.
Pt2ad is also more cytostatic than either cisplatin or temozolomide against CNS SF-539 cancer cells, as seen by comparing the growth inhibition values in Table 3. For total growth inhibition (TGI), the concentration of Pt2ad needed to be only 2.76 μM compared with the required concentration of 7.67 μM for cisplatin. However, for 50% growth inhibition (GI50) of a population of SF-539 cells, a cisplatin solution with a concentration of only 0.600 μM was needed, compared to a 1.47 μM solution of Pt2ad. Interestingly, for temozolomide, GI50 > 100 μM and TGI > 100 μM.
In addition to demonstrating cytotoxicity toward cancer cells in vitro, a good chemotherapeutic drug for treating glioblastoma multiforme must be able to penetrate the blood–brain barrier. The free web tool Swiss ADME [64] predicts that Pt2ad should be able to penetrate the blood–brain barrier, and that the gastrointestinal tract would highly absorb Pt2ad. The Swiss ADME calculation also revealed the low water-solubility and high molar mass of Pt2ad as limitations on the usefulness of this compound as a chemotherapy drug.
Pt2ad was also particularly cytotoxic and cytostatic toward the renal cancer cell line RXF-393 [40], with an LC50 = 5.99 μM and TGI = 2.63 μM. For this same cell line, the LC50 = 24.2 μM and TGI = 4.58 μM for cisplatin. Conversely, cisplatin was more cytotoxic and cytostatic than Pt2ad against the renal cancer cell line A498. Although notably less cytotoxic toward ovarian and breast cancer cell lines, Pt2ad was nonetheless more cytotoxic than cisplatin toward both ovarian OVCAR-5 cells and the triple-negative breast cancer cell lines MDA-MB-231 and BT-549.
4. Discussion
Although Pt2ad is the first adenine-stabilized Pt(IV) complex to be tested as an anticancer drug, several Pt(II) complexes stabilized by chemically modified derivatives of adenine have been tested against various cell lines of breast cancer [22,23,24,25,26,27,28,29], leukemia [24,27,28,29], non-small cell lung cancer [22,25], melanoma [22,23,25,27,28,29], osteosarcoma [22,23,25,26,27,28,29] ovarian cancer [21,22,23,25], cervical cancer [22,23,25], and urinary bladder cancer [30]. In most cases, the platinum(II) complex displayed cytotoxicity comparable to or slightly better than cisplatin. Pt2ad also displayed cytotoxicity against cell lines of breast cancer, ovarian cancer, and melanoma that were comparable to or slightly better than cisplatin. However, Pt2ad displayed the greatest cytotoxicity against the central nervous system glioblastoma multiforme cell line SF-539 and the renal adenocarcinoma cell line RXF-393. The cytotoxicity of the platinum(II) complexes against central nervous system and renal carcinoma cell lines was not reported.
Pt2ad is particularly cytotoxic toward the CNS cell line SF-539 but notably less cytotoxic toward the other five CNS cell lines (SF-268, SF-295, SNB-19, and U251) used in this study. Similarly, Pt2ad was cytotoxic toward the renal adenocarcinoma RXF-393 cell line but much less cytotoxic toward the other seven renal cancer cell lines (786-0, A498, ACHN, CAKI-1, SN12C, TK-10, and U0-31) used in this study. These differences in anticancer activity toward different cell lines of the same cancer are not understood.
5. Conclusions
Pt2ad joins a growing list of organometallic platinum(IV) derivatives that exhibit anticancer properties [31,65,66,67,68,69,70].
Pt2ad was more cytotoxic than cisplatin against three colon cancer cell lines (HCT-116, HT29, and SW-620), the glioblastoma multiforme SF-539 cell line, three melanoma cell lines (LOX IMVI, Malme-3M, and SK-MEL-28), the ovarian cancer cell line OVCAR-5, the renal cancer cell line RXF-393, and the triple-negative breast cancer cell lines MDA-MB-231 and BT-549. Nevertheless, there were also some cell lines for which cisplatin was more cytotoxic than Pt2ad, and a number of cell lines against which Pt2ad displayed little to no cytotoxicity. When assessing the anticancer properties of a new compound in vitro, the use of as many different cell lines as possible is necessary to accurately gauge its chemotherapeutic potential.
Supplementary Materials
The following supporting information can be downloaded at: https://www.mdpi.com/article/10.3390/compounds5020016/s1. Figure S1: Portion of the 1H NMR spectrum of Pt2ad, showing only those peaks representing the [Pt–CH3] moieties. Solvent = CD3OD; Figure S2: Portion of the 1H NMR spectrum of Pt2ad, showing only those peaks representing the [C–H] groups in the bridging adenine ligand. Solvent = CD3OD; Figure S3: Portion of the 13C{1H} NMR spectrum of Pt2ad, showing only those peaks representing the [Pt–CH3] moieties. Solvent = CD3OD; Figure S4: Portion of the 13C{1H} NMR spectrum of Pt2ad, showing only those peaks representing the carbon atoms in the bridging adenine ligand. Solvent = CD3OD; Figure S5:195Pt{1H} NMR spectrum of Pt2ad, from −4500 to 500 ppm. Solvent = CD3OD; Figure S6: Infrared spectrum of Pt2ad, in a KBr pellet.
Author Contributions
Conceptualization, writing, project administration, W.A.H.; synthesis, spectroscopic characterization, A.M.O.; X-ray crystallography, K.A.W. All authors have read and agreed to the published version of the manuscript.
Funding
This research received no external funding.
Data Availability Statement
Crystallographic data have been deposited with the Cambridge Crystallographic Data Centre, under deposition number CCDC 2298069. These data can be obtained free of charge at https://www.ccdc.cam.ac.uk/ or from the Cambridge Crystallographic Data Centre, 12, Union Road, Cambridge CB2 1EZ, UK; email: deposit@ccdc.cam.ac.uk; fax: +44 (0)1223-336408. Any other data are available on request from the corresponding.
Acknowledgments
The authors thank the Department of Chemistry and Biochemistry at the University of Alaska Fairbanks (UAF) for financial support of this work. At UAF, the 600 MHz NMR spectrometer was purchased with funding from the US Army Medical Research and Material Command (05178001), and the 300 MHz NMR spectrometer was purchased with funding from the National Science Foundation (DUE−9850731). Undergraduate research support for A.M.O. and support for maintaining the 600 MHz NMR spectrometer at UAF were supplied by an Institutional Development Award (IDeA) from the National Institute of General Medical Sciences of the National Institutes of Health (NIH) under grant number P20GM103395. The content is solely the responsibility of the authors and does not necessarily reflect the official views of the NIH. A.M.O. also acknowledges undergraduate research support from the UAF Office of Undergraduate Research and Scholarly Activity (URSA). UAF is an affirmative action/equal employment opportunity employer and education institution: www.alaska.edu/nondiscrimination. The National Science Foundation’s Major Research Instrumentation is acknowledged for their support (1827313) in the purchase of the Bruker D8 Venture X-ray diffractometer at Whitworth University. The authors thank the National Cancer Institute Developmental Therapeutics Program (NCI/DTP) and acknowledge NCI/DTP (https://dtp.cancer.gov) for providing the in vitro sulforhodamine B assay data for Pt2ad (NSC 842139), cisplatin (NSC 119875), and temozolomide (NSC 362856/32).
Conflicts of Interest
The authors declare no conflicts of interest.
References
- Richardson, D.L.; Eskander, R.N.; O’Malley, D.M. Advances in Ovarian Cancer Care and Unmet Treatment Needs for Patients with Platinum Resistance: A Narrative Review. J. Am. Med. Assoc. Oncol. 2023, 9, 851–859. [Google Scholar] [CrossRef] [PubMed]
- Baxevanos, P.; Mountzios, G. Novel Chemotherapy Regimens for Advanced Lung Cancer: Have We Reached a Plateau? Ann. Transl. Med. 2018, 6, 139–147. [Google Scholar] [CrossRef] [PubMed]
- Rossi, A.; Di Maio, M. Platinum-Based Chemotherapy in Advanced Non-Small Cell Lung Cancer: Optimal Number of Treatment Cycles. Expert Rev. Anticancer Ther. 2016, 16, 653–660. [Google Scholar] [CrossRef]
- Rottenberg, S.; Disler, C.; Perego, P. The Re-Discovery of Platinum-Based Cancer Therapy. Nat. Rev. Cancer 2021, 21, 37–50. [Google Scholar] [CrossRef] [PubMed]
- Basu, A.; Krishnamurthy, S. Cellular Responses to Cisplatin-Induced DNA Damage. J. Nucleic Acids 2010, 2010, 201367. [Google Scholar] [CrossRef]
- Eastman, A. Activation of Programmed Cell Death by Anticancer Agents: Cisplatin as a Model System. Cancer Cells 1990, 2, 275–280. [Google Scholar]
- Casini, A.; Reedijk, J. Interactions of Anticancer Pt Compounds with Proteins: An Overlooked Topic in Medicinal Inorganic Chemistry? Chem. Sci. 2012, 3, 3135–3144. [Google Scholar] [CrossRef]
- Zamora, A.; Wachter, E.; Vera, M.; Heidary, D.K.; Rodríguez, V.; Ortega, E.; Fernández-Espín, V.; Janiak, C.; Glazer, E.C.; Barone, G.; et al. Organoplatinum(II) Complexes Self-Assemble and Recognize AT-Rich Duplex DNA Sequences. Inorg. Chem. 2021, 60, 2178–2187. [Google Scholar] [CrossRef]
- Veclani, D.; Tolazzi, M.; Cerón-Carrasco, J.P.; Melchior, A. Intercalation Ability of Novel Monofunctional Platinum Anticancer Drugs: A Key Step in Their Biological Action. J. Chem. Inf. Model. 2021, 61, 4391–4399. [Google Scholar] [CrossRef]
- Wang, F.-Y.; Liu, R.; Huang, K.-B.; Feng, H.-W.; Liu, Y.-N.; Liang, H. New Platinum(II)-Based DNA Intercalator: Synthesis, Characterization, and Anticancer Activity. Inorg. Chem. Commun. 2019, 105, 182–187. [Google Scholar] [CrossRef]
- Pages, B.J.; Garbutcheon-Singh, K.B.; Aldrich-Wright, J.R. Platinum Intercalators of DNA as Anticancer Agents. Eur. J. Inorg. Chem. 2017, 2017, 1613–1624. [Google Scholar] [CrossRef]
- Tan, Y.; Xiang, D.; Pei, J.; Tan, X. Novel Anti-Tumor Compound and Application Thereof in Preparing Anti-Tumor Drugs. U.S. Patent 2020/0377545 A1, 3 December 2020. [Google Scholar]
- Leitão, M.I.P.S.; Orsini, G.; Murtinheira, F.; Gomes, C.S.B.; Herrera, F.; Petronilho, A. Synthesis, Base Pairing Properties and Biological Activity Studies of Platinum(II) Complexes Based on Uracil Nucleosides. Inorg. Chem. 2023, 62, 16412–16425. [Google Scholar] [CrossRef] [PubMed]
- D’Errico, S.; Falanga, A.P.; Greco, F.; Piccialli, G.; Oliviero, G.; Borbone, N. State of Art in the Chemistry of Nucleoside-Based Pt(II) Complexes. Bioorg. Chem. 2023, 131, 106325. [Google Scholar] [CrossRef] [PubMed]
- De Castro, F.; De Luca, E.; Girelli, C.R.; Barca, A.; Romano, A.; Migoni, D.; Verri, T.; Benedetti, M.; Fanizzi, F.P. First Evidence for N7-Platinated Guanosine Derivatives Cell Uptake Mediated by Plasma Membrance Transport Processes. J. Inorg. Biochem. 2022, 226, 111660. [Google Scholar] [CrossRef] [PubMed]
- Pullen, S.; Hiller, W.G.; Lippert, B. Regarding the Diamagnetic Components in Rosenberg’s “Platinum Pyrimidine Blues”: Species in the Cis-Pt(NH3)2-1-Methyluracil System. Inorg. Chim. Acta 2019, 494, 168–180. [Google Scholar] [CrossRef]
- Montagner, D.; Gandin, V.; Marzano, C.; Longato, B. Synthesis, Characterization and Cytotoxic Properties of Platinum(II) Complexes Containing Nucleosides Adenosine and Cytidine. J. Inorg. Biochem. 2011, 105, 919–926. [Google Scholar] [CrossRef] [PubMed]
- Cleare, M.J.; Hoeschele, J.D. Studies on the Antitumor Activity of Group VIII Transition Metal Complexes. Part I. Platinum(II) Complexes. Bioinorg. Chem. 1973, 2, 187–210. [Google Scholar] [CrossRef]
- Mueller, K.; Schütz, C.; Rüffer, T.; Bette, M.; Kaluderović, G.N.; Steinborn, D.; Schmidt, H. Synthesis, Characterization, Structures and in vitro Antitumor Activity of Platinum(II) Complexes Bearing Adeninato or Methylated Adeninato Ligands. Inorg. Chim. Acta 2020, 507, 119539. [Google Scholar] [CrossRef]
- Aseman, M.D.; Aryamanesh, S.; Shojaeifard, Z.; Hemmateenejad, B.; Nabavizadeh, S.M. Cycloplatinated(II) Derivatives of Mercaptopurine Capable of Binding Interactions with HSA/DNA. Inorg. Chem. 2019, 58, 16154–16170. [Google Scholar] [CrossRef]
- Liskova, B.; Zerzankova, L.; Novakova, O.; Kostrhunova, H.; Travnicek, Z.; Brabec, V. Cellular Response to Antitumor Cis-Dichlorido Platinum(II) Complexes of CDK Inhibitor Bohemine and Its Analogues. Chem. Res. Toxicol. 2012, 25, 500–509. [Google Scholar] [CrossRef]
- Dvořák, Z.; Štarha, P.; Trávníček, Z. Evaluation of In Vitro Cytotoxicity of 6-Benzylaminopurine Carboplatin Derivatives against Human Cancer Cell Lines and Primary Human Hepatocytes. Toxicol. Vitr. 2011, 25, 652–656. [Google Scholar] [CrossRef] [PubMed]
- Trávníček, Z.; Štarha, P.; Popa, I.; Vrzal, R.; Dvořák, Z. Roscovitine-Based CDK Inhibitors Acting as N-Donor Ligands in the Platinum(II) Oxalato Complexes: Preparation, Characterization, and In Vitro Cytotoxicity. Eur. J. Med. Chem. 2010, 45, 4609–4614. [Google Scholar] [CrossRef] [PubMed]
- Dvořák, L.; Popa, I.; Štarha, P.; Trávníček, Z. In Vitro Cytotoxic-Active Platinum(II) Complexes Derived from Carboplatin and Involving Purine Derivatives. Eur. J. Inorg. Chem. 2010, 2010, 3441–3448. [Google Scholar] [CrossRef]
- Vrzal, R.; Štarha, P.; Dvořák, Z.; Trávníček, Z. Evaluation of In Vitro Cytotoxicity and Hepatotoxicity of Platinum(II) and Palladium(II) Oxalato Complexes with Adenine Derivatives and Carrier Ligands. J. Inorg. Biochem. 2010, 104, 1130–1132. [Google Scholar] [CrossRef]
- Štarha, P.; Trávníček, Z.; Popa, I. Platinum(II) Oxalato Complexes with Adenine-Based Carrier Ligands Showing Significant In Vitro Antitumor Activity. J. Inorg. Biochem. 2010, 104, 639–647. [Google Scholar] [CrossRef]
- Scűčová, L.; Trávníček, Z.; Zatloukal, M.; Popa, I. Novel Platinum(II) and Palladium(II) Complexes with Cyclin-Dependent Kinase Inhibitors: Synthesis, Characterization and Antitumour Activity. Bioorg. Med. Chem. 2006, 14, 479–491. [Google Scholar] [CrossRef]
- Maloň, M.; Trávníček, Z.; Marek, R.; Strnad, M. Synthesis, Spectral Study and Cytotoxicity of Platinum(II) Complexes with 2,9-Disubstituted-6-Benzylaminopurines. J. Inorg. Biochem. 2005, 99, 2127–2138. [Google Scholar] [CrossRef]
- Trávníček, Z.; Maloň, M.; Zatloukal, M.; Doležal, K.; Strnad, M.; Marek, J. Mixed Ligand Complexes of Platinum(II) and Palladium(II) with Cytokinin-Derived Compounds Bohemine and Olomoucine: X-ray Structure of [Pt(BohH+-N7)Cl3 · 9/5 H2O {Boh = 6-(Benzylamino)-2-[(3-Hydroxypropyl)-Amino]-9-Isopropylpurine, Bohemine}. J. Inorg. Biochem. 2003, 94, 307–316. [Google Scholar] [CrossRef]
- Baranowska-Kortylewicz, J.; Pavlik, E.J.; Smith, W.T., Jr.; Flanigan, R.C.; Van Nagell, J.R., Jr.; Ross, D.; Kenady, D.E. Dichloro(6-aminoethylaminopurine)platinum(II) and its Hydroxy Analogues: Synthesis and Preliminary Evaluation. Inorg. Chim. Acta 1985, 108, 91–98. [Google Scholar] [CrossRef]
- Arabi, A.; Cogley, M.O.; Fabrizio, D.; Stitz, S.; Howard, W.A.; Wheeler, K.A. Anticancer Activity of Nonpolar Pt(CH3)2I2{bipy} Is Found to be Superior among Four Similar Organoplatinum(IV) Complexes. J. Mol. Struct. 2023, 1274, 134551. [Google Scholar] [CrossRef]
- Clark, H.C.; Manzer, L.E. Reactions of (π-1,5-Cyclooctadiene)organoplatinum(II) Compounds and the Synthesis of Perfluoroalkylplatinum Complexes. J. Organomet. Chem. 1973, 59, 411–428. [Google Scholar] [CrossRef]
- Štarha, P.; Vančo, J.; Trávníček, Z. Platinum Complexes Containing Adenine-Based Ligands: An Overview of Selected Structural Features. Coord. Chem. Rev. 2017, 332, 1–29. [Google Scholar] [CrossRef]
- Appleton, T.G. NMR Spectroscopy, Heteronuclei, La-Hg. In Encyclopedia of Spectroscopy and Spectrometry, 3rd ed.; Lindon, J.C., Tranter, G.E., Koppenaal, D.W., Eds.; Elsevier: Amsterdam, The Netherlands, 2017; pp. 342–345. [Google Scholar]
- Sheldrick, G.M. SADABS and TWINABS—Program for Area Detector Absorption Corrections; University of Göttingen: Göttingen, Germany, 2014. [Google Scholar]
- Barbour, L.J. X-Seed 4: Updates to a Program for Small-Molecule Supramolecular Crystallography. J. Appl. Cryst. 2020, 53, 1141–1146. [Google Scholar] [CrossRef]
- Sheldrick, G.M. SHELXT—Integrated Space-Group and Crystal-Structure Determination. Acta Cryst. A 2015, 71, 3–8. [Google Scholar] [CrossRef] [PubMed]
- Morris, J.; Kunkel, M.W.; White, S.L.; Wishka, D.G.; Lopez, O.D.; Bowles, L.; Brady, P.S.; Ramsey, P.; Grams, J.; Rohrer, T.; et al. Targeted Investigational Oncology Agents in the NCI60: A Phenotypic Systems-Based Resource. Mol. Cancer. Ther. 2023, 22, 1270–1279. [Google Scholar] [CrossRef]
- Shoemaker, R.H. The NCI60 Human Tumor Cell Line Anticancer Drug Screen. Nat. Rev. Cancer 2006, 6, 813–823. [Google Scholar] [CrossRef] [PubMed]
- Monks, A.; Scudiero, D.; Skehan, P.; Shoemaker, R.; Paull, K.; Vistica, D.; Hose, C.; Langley, J.; Cronise, P.; Vaigro-Wolff, A.; et al. Feasibility of a High-Flux Anticancer Drug Screen Using a Diverse Panel of Cultured Human Tumor Cell Lines. J. Natl. Cancer Inst. 1991, 83, 757–766. [Google Scholar] [CrossRef]
- Khan, B.T.; Kumari, S.V.; Goud, G.N. Complexes of Platinum (II & IV) with Adenine & Guanine. Indian J. Chem. A 1982, 21, 264–267. [Google Scholar]
- Ebert, K.H.; Massa, W.; Donath, H.; Lorberth, J.; Seo, B.-S.; Herdtweck, E. Organoplatinum Compounds: VI. Trimethylplatinum Thiomethylate and Trimethylplatinum Iodide. The Crystal Structures of [Pt(CH3)3S(CH3)]4 and [Pt(CH3)3I]4 ∙ 0.5 CH3I. J. Organomet. Chem. 1998, 559, 203–207. [Google Scholar] [CrossRef]
- Zhu, X.; Rusanov, E.; Kluge, R.; Schmidt, H.; Steinborn, D. Synthesis, Characterization, and Structure of [{PtMe3(9-MeA)}3] (9-MeA = 9-Methyladenine): A Cyclic Trimeric Platinum(IV) Complex with a Nucleobase. Inorg. Chem. 2002, 41, 2667–2671. [Google Scholar] [CrossRef]
- Batsanov, S.S. Van der Waals Radii of Elements. Inorg. Mater. 2001, 37, 871–885. [Google Scholar] [CrossRef]
- Gazdar, A.F.; Minna, J.D. NCI Series of Cell Lines: An Historical Perspective. J. Cell. Biochem. Suppl. 1996, 24, 1–11. [Google Scholar] [CrossRef]
- Yamori, T.; Matsunaga, A.; Sato, S.; Yamazaki, K.; Komi, A.; Ishizu, K.; Mita, I.; Edatsugi, H.; Matsuba, Y.; Takezawa, K.; et al. Potent Antitumor Activity of MS-247, a Novel DNA Minor Groove Binder, Evaluated by an In Vitro and In Vivo Human Cancer Cell Line Panel. Cancer Res. 1999, 59, 4042–4049. [Google Scholar] [PubMed]
- Rajput, A.; San Martin, I.D.; Rose, R.; Beko, A.; LeVea, C.; Sharratt, E.; Mazurchuk, R.; Hoffman, R.M.; Brattain, M.G.; Wang, J. Characterization of HCT116 Human Colon Cancer Cells in an Orthotopic Model. J. Surg. Res. 2008, 147, 276–281. [Google Scholar] [CrossRef] [PubMed]
- Fogh, J.; Trempe, G. Human Tumor Cells In Vitro; Springer: Boston, MA, USA, 1975; pp. 115–159. [Google Scholar]
- Siekmann, W.; Tina, E.; Von Sydow, A.K.; Gupta, A. Effect of Lidocaine and Ropivacaine on Primary (SW480) and Metastatic (SW620) Colon Cancer Cell Lines. Oncol. Lett. 2019, 18, 395–401. [Google Scholar] [CrossRef]
- Rutka, J.T.; Giblin, J.R.; Høifødt, H.K.; Dougherty, D.V.; Bell, C.W.; McCulloch, J.R.; Davis, R.L.; Wilson, C.B.; Rosenblum, M.L. Establishment and Characterization of a Cell Line from a Human Gliosarcoma. Cancer Res. 1986, 46, 5893–5902. [Google Scholar]
- Fodstad, O.; Aamdal, S.; McMenamin, M.; Nesland, J.M.; Pihl, A. A New Experimental Metastasis Model in Athymic Nude Mice, the Human Malignant Melanoma LOX. Int. J. Cancer 1988, 41, 442–449. [Google Scholar] [CrossRef]
- Fogh, J.; Fogh, J.M.; Orfeo, T. One Hundred and Twenty-Seven Cultured Human Tumor Cell Lines Producing Tumors in Nude Mice. J. Natl. Cancer Inst. 1977, 59, 221–226. [Google Scholar] [CrossRef]
- Chambers, A.F. MDA-MB-435 and M14 Cell Lines: Identical but not M14 Melanoma. Cancer Res. 2009, 69, 5292–5293. [Google Scholar] [CrossRef]
- Rae, J.M.; Creighton, C.J.; Meck, J.M.; Haddad, B.R.; Johnson, M.D. MDA-MB-435 cells are derived from M14 Melanoma cells––a loss for breast cancer, but a boon for melanoma research. Breast Cancer Res. Treat. 2007, 104, 13–19. [Google Scholar] [CrossRef]
- Carey, T.E.; Takahashi, T.; Resnick, L.A.; Oettgen, H.F.; Old, L.J. Cell surface antigens of human malignant melanoma. I. Mixed hemadsorption assays for humoral immunity to cultured autologous melanoma cells. Proc. Natl. Acad. Sci. USA 1976, 73, 3278–3282. [Google Scholar] [CrossRef] [PubMed]
- Sustarsic, E.G.; Junnila, R.K.; Kopchick, J.J. Human metastatic melanoma cell lines express high levels of growth hormone receptor and respond to GH treatment. Biochem. Biophys. Res. Commun. 2013, 441, 144–150. [Google Scholar] [CrossRef] [PubMed]
- Johnson, S.W.; Laub, P.B.; Beesley, J.S.; Ozols, R.F.; Hamilton, T.C. Increased platinum-DNA damage tolerance is associated with cisplatin resistance and cross-resistance to various chemotherapeutic agents in unrelated human ovarian cancer cell lines. Cancer Res. 1997, 57, 850–856. [Google Scholar] [PubMed]
- Blayney, J.K.; Davison, T.; McCabe, N.; Walker, S.; Keating, K.; Delaney, T.; Greenan, C.; Williams, A.R.; McCluggage, W.G.; Capes-Davis, A.; et al. Prior knowledge transfer across transcriptional data sets and technologies using compositional statistics yields new mislabelled ovarian cell line. Nucleic Acids Res. 2016, 44, e137. [Google Scholar] [CrossRef]
- Giard, D.J.; Aaronson, S.A.; Todaro, G.J.; Arnstein, P.; Kersey, J.H.; Dosik, H.; Parks, W.P.J. In vitro cultivation of human tumors: Establishment of cell lines derived from a series of solid tumors. Natl. Cancer Inst. 1973, 51, 1417–1423. [Google Scholar] [CrossRef]
- Cailleau, R.; Young, R.; Olivé, M.; Reeves, W.J.J., Jr. Breast tumor cell lines from pleural effusions. Natl. Cancer Inst. 1974, 53, 661–674. [Google Scholar] [CrossRef] [PubMed]
- Neve, R.M.; Chin, K.; Fridlyand, J.; Yeh, J.; Baehner, F.L.; Fevr, T.; Clark, L.; Bayani, N.; Coppe, J.-P.; Tong, F.; et al. A collection of breast cancer cell lines for the study of functionally distinct cancer subtypes. Cancer Cell 2006, 10, 515–527. [Google Scholar] [CrossRef]
- Cailleau, R.; Olivé, M.; Cruciger, Q.V.J. Long-term human breast carcinoma cell lines of metastatic origin: Preliminary characterization. In Vitro 1978, 14, 911–915. [Google Scholar] [CrossRef]
- Stupp, R.; Mason, W.P.; van den Bent, M.J.; Weller, M.; Fisher, B.; Taphoorn, M.J.B.; Belanger, K.; Brandes, A.A.; Marosi, C.; Bogdahn, U.; et al. Radiotherapy Plus Concomitant and Adjuvant Temozolomide for Glioblastoma. N. Engl. J. Med. 2005, 352, 987–996. [Google Scholar] [CrossRef]
- Daina, A.; Michielin, O.; Zoete, V. SwissADME: A Free Web Tool to Evaluate Pharmacokinetics, Drug-Likeness and Medicinal Chemistry Friendliness of Small Molecules. Sci. Rep. 2017, 7, 42717. [Google Scholar] [CrossRef]
- Pouryasin, Z.; Yousefi, R.; Nabavizadeh, S.M.; Rashidi, M.; Hamidizadeh, P.; Alavianmehr, M.-M.; Moosavi-Movahedi, A.A. Anticancer and DNA Binding Activities of Platinum(IV) Complexes: Importance of Leaving Group Departure Rate. Appl. Biochem. Biotechnol. 2014, 172, 2604–2617. [Google Scholar] [CrossRef] [PubMed]
- Escolà, A.; Crespo, M.; López, C.; Quirante, J.; Jayaraman, A.; Polat, I.H.; Badía, J.; Baldomà, L.; Cascante, M. On the Stability and Biological Behavior of Cyclometallated Pt(IV) Complexes with Halido and Aryl Ligands in the Axial Positions. Bioorg. Med. Chem. 2016, 24, 5804–5815. [Google Scholar] [CrossRef] [PubMed]
- Crespo, M. Cyclometallated Platinum(IV) Compounds as Promising Antitumour Agents. J. Organomet. Chem. 2019, 879, 15–26. [Google Scholar] [CrossRef]
- Tan, M.-X.; Wang, Z.-F.; Qin, Q.-P.; Huang, X.-L.; Zou, B.-Q.; Liang, H. Complexes of Platinum(II/IV) with 2-Phenylpyridine Derivatives as a New Class of Promising Anticancer Agents. Inorg. Chem. Commun. 2019, 108, 107510. [Google Scholar] [CrossRef]
- Annunziata, A.; Amoresano, A.; Cucciolito, M.E.; Esposito, R.; Ferraro, G.; Iacobucci, I.; Imbimbo, P.; Lucignano, R.; Melchiorre, M.; Monti, M.; et al. Pt(II) Versus Pt(IV) in Carbene Glycoconjugate Antitumor Agents: Minimal Structural Variations and Great Performance Changes. Inorg. Chem. 2020, 59, 4002–4014. [Google Scholar] [CrossRef]
- Bauer, E.; Domingo, X.; Balcells, C.; Polat, I.H.; Crespo, M.; Quirante, J.; Badía, J.; Baldomà, L.; Font-Bardia, M.; Cascante, M. Synthesis, Characterization and Biological Activity of New Cyclometallated Platinum(IV) Iodido Complexes. Dalton Trans. 2017, 46, 14973–14987. [Google Scholar] [CrossRef]
Disclaimer/Publisher’s Note: The statements, opinions and data contained in all publications are solely those of the individual author(s) and contributor(s) and not of MDPI and/or the editor(s). MDPI and/or the editor(s) disclaim responsibility for any injury to people or property resulting from any ideas, methods, instructions or products referred to in the content. |
© 2025 by the authors. Licensee MDPI, Basel, Switzerland. This article is an open access article distributed under the terms and conditions of the Creative Commons Attribution (CC BY) license (https://creativecommons.org/licenses/by/4.0/).

